Spillovers and Asset Allocation
Abstract
:1. Introduction
2. Simulation Study
2.1. Return Spillovers
2.1.1. Influence of Return Spillovers on Asset Characteristics
2.1.2. Influence of Return Spillovers on Portfolio Characteristics
2.1.3. Return Frequencies and Asset Characteristics
2.1.4. Return Frequencies and Portfolio Characteristics
2.2. Volatility Spillovers
2.2.1. Influence of Volatility Spillovers on Asset Characteristics
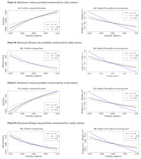
2.2.2. Influence of Volatility Spillovers on Portfolio Characteristics
2.3. Regression Analysis
2.3.1. Relative Importance of Return Spillovers
2.3.2. Relative Importance of Volatility Spillovers
2.4. Diebold–Yilmaz Spillover Index
2.5. Multi-Asset Portfolios
3. Empirical Analysis
3.1. Influence of Spillovers on Assets’ Characteristics
3.2. Influence of Spillovers on Portfolio Characteristics
4. Conclusions
Author Contributions
Funding
Institutional Review Board Statement
Informed Consent Statement
Data Availability Statement
Conflicts of Interest
| 1 | Google Scholar yields about 10,000 articles based on the search term “volatility spillover” and about 1000 articles based on the search term “return spillover” (as of July 2019). |
| 2 | We define spillovers as non-contemporaneous correlations of two markets, assets or asset classes, and we define interdependence or connectedness as contemporaneous correlations of two markets, assets or asset classes. Consistent with the literature we view the terms “return spillover” and “mean spillover” as similar and interchangeable and we also view the terms “volatility spillover” and “variance spillover” as similar and interchangeable. |
| 3 | Since our focus is on the marginal effect of spillovers on asset allocation we need to control for other factors and thus do not consider the out-of-sample performance of the generated portfolios. |
| 4 | A more general formulation including the same and all higher frequency spillovers is where j denotes the frequency level and J is the highest frequency level, e.g., 1-second returns. The equation represents the idea that spillovers at frequencies f and higher, e.g., daily, hourly, minutes, seconds, are fully embedded in return, variance and correlation estimates at frequency f. |
| 5 | Hereafter, by “optimal portfolio”, we mean portfolios constructed using Modern Portfolio Theory. |
| 6 | The chosen intervals of and are based on observed empirical distributions of daily stock returns of 30 Dow Jones Industrial Average (DJIA) constituents from 1998 to 2018. |
| 7 | http://mba.tuck.dartmouth.edu/pages/faculty/ken.french/Data_Library/f-f_factors.html (accessed on 30 May 2020). |
| 8 | We conduct the tests with several different sets of GARCH parameters and find that all the results are qualitatively similar. |
| 9 | Analogous to the return spillovers case, the expected returns are randomly generated between 0.03 and 0.08. |
| 10 | The contemporaneous correlation parameter a is randomly withdrawn from [−0.5,0.5] in both return and volatility spillovers. Other parameters are similar to Section 2.1 and Section 2.2. |
| 11 | When we allow average a to be positive (negative), we find a similar pattern with the blue (red) line in Figure 1c. |
| 12 | We also simulate smaller and larger sets of assets and obtain similar results. |
| 13 | Due to the well known day-of-the-week effect in which returns are significantly different after the weekend (on Mondays) and before the weekend (on Fridays) (French 1980; Lakonishok and Levi 1982), the middle-of-the-week prices on Wednesday potentially have the least bias compared with other weekdays. |
| 14 | We use the VAR(1) model in the mean equation to eliminate return spillovers from volatility spillovers. |
References
- Arshanapalli, Bala, and John Doukas. 1993. International stock market linkages: Evidence from the pre-and post-October 1987 period. Journal of Banking & Finance 17: 193–208. [Google Scholar]
- Barclay, Michael J., and Terrence Hendershott. 2008. A comparison of trading and non-trading mechanisms for price discovery. Journal of Empirical Finance 15: 839–49. [Google Scholar] [CrossRef]
- Barndorff-Nielsen, Ole E., Silja Kinnebrock, and Neil Shephard. 2008. Measuring downside risk-realised semivariance. CREATES Research Paper 2008-42. [Google Scholar] [CrossRef] [Green Version]
- Bartram, Söhnke M., Stephen J. Taylor, and Yaw-Huei Wang. 2007. The Euro and European financial market dependence. Journal of Banking & Finance 31: 1461–81. [Google Scholar]
- Baruník, Jozef, Evžen Kočenda, and Lukáš Vácha. 2016. Asymmetric connectedness on the US stock market: Bad and good volatility spillovers. Journal of Financial Markets 27: 55–78. [Google Scholar] [CrossRef]
- BenSaïda, Ahmed. 2019. Good and bad volatility spillovers: An asymmetric connectedness. Journal of Financial Markets 43: 78–95. [Google Scholar] [CrossRef]
- Bollerslev, Tim. 1986. Generalized autoregressive conditional heteroskedasticity. Journal of Econometrics 31: 307–27. [Google Scholar] [CrossRef] [Green Version]
- Booth, G. Geoffrey, Teppo Martikainen, and Yiuman Tse. 1997. Price and volatility spillovers in Scandinavian stock markets. Journal of Banking & Finance 21: 811–23. [Google Scholar]
- Cheung, Yin-Wong, and Lilian K. Ng. 1996. A causality-in-variance test and its application to financial market prices. Journal of Econometrics 72: 33–48. [Google Scholar] [CrossRef]
- Collet, Jerome, and Florian Ielpo. 2018. Sector spillovers in credit markets. Journal of Banking & Finance 94: 267–78. [Google Scholar]
- Dahl, Roy Endré, and Erlendur Jonsson. 2018. Volatility spillover in seafood markets. Journal of Commodity Markets 12: 44–59. [Google Scholar] [CrossRef]
- De Santis, Roberto A., and Srečko Zimic. 2018. Spillovers among sovereign debt markets: Identification through absolute magnitude restrictions. Journal of Applied Econometrics 33: 727–47. [Google Scholar] [CrossRef]
- Diebold, Francis X., and Kamil Yilmaz. 2009. Measuring financial asset return and volatility spillovers, with application to global equity markets. The Economic Journal 119: 158–71. [Google Scholar] [CrossRef] [Green Version]
- Diebold, Francis X., and Kamil Yilmaz. 2012. Better to give than to receive: Predictive directional measurement of volatility spillovers. International Journal of Forecasting 28: 57–66. [Google Scholar] [CrossRef] [Green Version]
- Engle, Robert F. 1982. Autoregressive conditional heteroscedasticity with estimates of the variance of United Kingdom inflation. Econometrica 50: 987–1007. [Google Scholar] [CrossRef]
- Engle, Robert F., III, Takatoshi Ito, and Wen-Ling Lin. 1990. Meteor Showers or Heat Waves? Heteroskedastic Intra-Daily Volatility in the Foreign Exchange Market. Econometrica 58: 525–42. [Google Scholar] [CrossRef]
- Eun, Cheol S., and Sangdal Shim. 1989. International transmission of stock market movements. Journal of Financial and Quantitative Analysis 24: 241–56. [Google Scholar] [CrossRef]
- Forbes, Kristin J., and Roberto Rigobon. 2002. No contagion, only interdependence: Measuring stock market comovements. The Journal of Finance 57: 2223–61. [Google Scholar] [CrossRef]
- Francq, Christian, Lajos Horvath, and Jean-Michel Zakoian. 2016. Variance targeting estimation of multivariate GARCH models. Journal of Financial Econometrics 14: 353–82. [Google Scholar] [CrossRef] [Green Version]
- French, Kenneth R. 1980. Stock returns and the weekend effect. Journal of Financial Economics 8: 55–69. [Google Scholar] [CrossRef]
- French, Kenneth R., and James M. Poterba. 1991. Investor Diversification and International Equity Markets. The American Economic Review 81: 222–226. [Google Scholar]
- Gilbert, Thomas, Christopher Hrdlicka, Jonathan Kalodimos, and Stephan Siegel. 2014. Daily Data is Bad for Beta: Opacity and Frequency-Dependent Betas. The Review of Asset Pricing Studies 4: 78–117. [Google Scholar] [CrossRef]
- Goetzmann, William N., Lingfeng Li, and K. Geert Rouwenhorst. 2001. Long-Term Global Market Correlations. Journal of Business 78: 1–38. [Google Scholar] [CrossRef] [Green Version]
- Green, Rikard, Karl Larsson, Veronika Lunina, and Birger Nilsson. 2018. Cross-commodity news transmission and volatility spillovers in the German energy markets. Journal of Banking & Finance 95: 231–43. [Google Scholar]
- Greenwood-Nimmo, Matthew, Viet Hoang Nguyen, and Barry Rafferty. 2016. Risk and return spillovers among the G10 currencies. Journal of Financial Markets 31: 43–62. [Google Scholar] [CrossRef]
- Hamao, Yasushi, Ronald W. Masulis, and Victor Ng. 1990. Correlations in price changes and volatility across international stock markets. The Review of Financial Studies 3: 281–307. [Google Scholar] [CrossRef]
- Ji, Qiang, Tongshui Xia, Fan Liu, and Jin-Hua Xu. 2019. The information spillover between carbon price and power sector returns: Evidence from the major European electricity companies. Journal of Cleaner Production 208: 1178–87. [Google Scholar] [CrossRef]
- Kang, Sang Hoon, Ron McIver, and Seong-Min Yoon. 2017. Dynamic spillover effects among crude oil, precious metal, and agricultural commodity futures markets. Energy Economics 62: 19–32. [Google Scholar] [CrossRef]
- King, Mervyn A., and Sushil Wadhwani. 1990. Transmission of volatility between stock markets. The Review of Financial Studies 3: 5–33. [Google Scholar] [CrossRef]
- Lakonishok, Josef, and Maurice Levi. 1982. Weekend effects on stock returns: A note. The Journal of Finance 37: 883–89. [Google Scholar] [CrossRef]
- Lin, Wen-Ling, Robert F. Engle, and Takatoshi Ito. 1994. Do bulls and bears move across borders? International transmission of stock returns and volatility. Review of Financial Studies 7: 507–38. [Google Scholar] [CrossRef]
- Markowitz, Harry. 1952. Portfolio selection. The Journal of Finance 7: 77–91. [Google Scholar]
- Pukthuanthong, Kuntara, and Richard Roll. 2015. Internationally correlated jumps. The Review of Asset Pricing Studies 5: 92–111. [Google Scholar] [CrossRef]
- Reboredo, Juan C. 2018. Green bond and financial markets: Co-movement, diversification and price spillover effects. Energy Economics 74: 38–50. [Google Scholar] [CrossRef]
- Rittler, Daniel. 2012. Price discovery and volatility spillovers in the European Union emissions trading scheme: A high-frequency analysis. Journal of Banking & Finance 36: 774–85. [Google Scholar]
- Sims, Christopher A. 1980. Macroeconomics and reality. Econometrica 48: 1–48. [Google Scholar] [CrossRef] [Green Version]
- Solnik, Bruno, and Thaisiri Watewai. 2016. International Correlation Asymmetries: Frequent-but-Small and Infrequent-but-Large Equity Returns. The Review of Asset Pricing Studies 6: 221–60. [Google Scholar] [CrossRef] [Green Version]
- Symitsi, Efthymia, and Konstantinos J. Chalvatzis. 2018. Return, volatility and shock spillovers of Bitcoin with energy and technology companies. Economics Letters 170: 127–30. [Google Scholar] [CrossRef] [Green Version]
- Tse, Yiuman. 1999. Price discovery and volatility spillovers in the DJIA index and futures markets. Journal of Futures Markets 19: 911–30. [Google Scholar] [CrossRef]
- Xu, Weiju, Feng Ma, Wang Chen, and Bing Zhang. 2019. Asymmetric volatility spillovers between oil and stock markets: Evidence from China and the United States. Energy Economics 80: 310–20. [Google Scholar] [CrossRef]
- Yang, Zihui, and Yinggang Zhou. 2017. Quantitative easing and volatility spillovers across countries and asset classes. Management Science 63: 333–54. [Google Scholar] [CrossRef]
- Yarovaya, Larisa, Janusz Brzeszczyński, and Chi Keung Marco Lau. 2017. Asymmetry in spillover effects: Evidence for international stock index futures markets. International Review of Financial Analysis 53: 94–111. [Google Scholar] [CrossRef]












| Panel A: MinVaras the Dependent Variable | |||||||
| Negative Return Spillover | Positive Return Spillover | ||||||
| (1) | (2) | (3) | (4) | (5) | (6) | ||
| −0.051 *** | −0.002 *** | 0.069 *** | 0.003 *** | ||||
| (0.009) | (0.0003) | (0.009) | (0.0003) | ||||
| 0.457 *** | 0.457 *** | 0.457 *** | 0.457 *** | ||||
| (0.0002) | (0.0002) | (0.0002) | (0.0002) | ||||
| 0.344 *** | 0.346 *** | 0.345 *** | 0.349 *** | ||||
| (0.001) | (0.001) | (0.001) | (0.001) | ||||
| 0.336 *** | 0.333 *** | 0.337 *** | 0.333 *** | ||||
| (0.001) | (0.001) | (0.001) | (0.001) | ||||
| −0.0003 | −0.0003 | −0.001 | −0.0004 | ||||
| (0.001) | (0.001) | (0.001) | (0.001) | ||||
| −0.001 * | −0.001 | 0.001 | −0.0002 | ||||
| (0.001) | (0.001) | (0.001) | (0.001) | ||||
| Constant | 0.869 *** | 0.032 *** | 0.033 *** | 0.866 *** | 0.030 *** | 0.031 *** | |
| (0.002) | (0.001) | (0.001) | (0.002) | (0.001) | (0.001) | ||
| Adjusted | 0.007 | 0.999 | 0.999 | 0.013 | 0.999 | 0.999 | |
| Adjusted | 0.000 | 0.000 | |||||
| Panel B: WeightZas the Dependent Variable | |||||||
| (7) | (8) | (9) | (10) | (11) | (12) | ||
| 0.074 *** | −0.001 *** | −0.078 *** | 0.001 *** | ||||
| (0.002) | (0.0002) | (0.002) | (0.0003) | ||||
| −0.007 *** | −0.007 *** | −0.008 *** | −0.008 *** | ||||
| (0.0002) | (0.0002) | (0.0002) | (0.0002) | ||||
| 0.408 *** | 0.408 *** | 0.408 *** | 0.409 *** | ||||
| (0.001) | (0.001) | (0.001) | (0.001) | ||||
| −0.404 *** | −0.405 *** | −0.403 *** | −0.404 *** | ||||
| (0.001) | (0.001) | (0.001) | (0.001) | ||||
| −0.001 | −0.001 | −0.001 | −0.001 | ||||
| (0.001) | (0.001) | (0.001) | (0.001) | ||||
| 0.002 ** | 0.002 *** | 0.0002 | −0.0001 | ||||
| (0.001) | (0.001) | (0.001) | (0.001) | ||||
| Constant | 0.504 *** | 0.496 *** | 0.496 *** | 0.505 *** | 0.494 *** | 0.494 *** | |
| (0.0003) | (0.001) | (0.001) | (0.0003) | (0.001) | (0.001) | ||
| Adjusted | 0.243 | 0.990 | 0.990 | 0.276 | 0.990 | 0.990 | |
| Adjusted | 0.000 | 0.000 | |||||
| Panel A: MaxSharpeas the Dependent Variable | |||||||
| Negative Return Spillover | Positive Return Spillover | ||||||
| (1) | (2) | (3) | (4) | (5) | (6) | ||
| 0.025 *** | −0.002 *** | 0.028 *** | −0.004 *** | ||||
| (0.003) | (0.001) | (0.004) | (0.001) | ||||
| −0.027 *** | −0.027 *** | −0.034 *** | −0.034 *** | ||||
| (0.001) | (0.001) | (0.001) | (0.001) | ||||
| −0.027 *** | −0.024 *** | −0.017 *** | −0.022 *** | ||||
| (0.002) | (0.003) | (0.002) | (0.002) | ||||
| −0.018 *** | −0.022 *** | −0.034 *** | −0.028 *** | ||||
| (0.002) | (0.003) | (0.002) | (0.002) | ||||
| 0.592 *** | 0.592 *** | 0.529 *** | 0.529 *** | ||||
| (0.003) | (0.003) | (0.002) | (0.002) | ||||
| 0.525 *** | 0.526 *** | 0.582 *** | 0.583 *** | ||||
| (0.003) | (0.003) | (0.002) | (0.002) | ||||
| Constant | 0.070 *** | 0.053 *** | 0.054 *** | 0.072 *** | 0.060 *** | 0.060 *** | |
| (0.001) | (0.002) | (0.002) | (0.001) | (0.002) | (0.002) | ||
| Adjusted | 0.011 | 0.944 | 0.944 | 0.011 | 0.972 | 0.973 | |
| Adjusted | 0.000 | 0.001 | |||||
| Panel B: WeightZ as the Dependent Variable | |||||||
| (7) | (8) | (9) | (10) | (11) | (12) | ||
| 0.310 *** | −0.004 | 0.141 *** | −0.013 | ||||
| (0.032) | (0.015) | (0.026) | (0.012) | ||||
| −0.073 *** | −0.073 *** | 0.060 *** | 0.060 *** | ||||
| (0.011) | (0.011) | (0.009) | (0.009) | ||||
| 0.396 *** | 0.391 *** | 0.435 *** | 0.420 *** | ||||
| (0.042) | (0.038) | (0.031) | (0.035) | ||||
| −0.421 *** | −0.415 *** | −0.419 *** | −0.401 *** | ||||
| (0.041) | (0.035) | (0.029) | (0.034) | ||||
| −4.471 *** | −4.472 *** | −4.454 *** | −4.455 *** | ||||
| (0.042) | (0.042) | (0.034) | (0.034) | ||||
| 5.048 *** | 5.047 *** | 3.809 *** | 3.815 *** | ||||
| (0.043) | (0.042) | (0.033) | (0.033) | ||||
| Constant | 0.500 *** | 0.494 *** | 0.494 *** | 0.512 *** | 0.528 *** | 0.525 *** | |
| (0.006) | (0.030) | (0.030) | (0.005) | (0.025) | (0.025) | ||
| Adjusted | 0.018 | 0.857 | 0.857 | 0.006 | 0.840 | 0.840 | |
| Adjusted | 0.000 | 0.000 | |||||
| Panel A: MinVaras the Dependent Variable | |||||||
| Negative Return Spillover | Positive Return Spillover | ||||||
| (1) | (2) | (3) | (4) | (5) | (6) | ||
| 0.703 *** | −0.024 *** | 0.862 *** | −0.020 *** | ||||
| (0.021) | (0.002) | (0.022) | (0.001) | ||||
| 1.067 *** | 1.076 *** | 0.957 *** | 0.964 *** | ||||
| (0.001) | (0.001) | (0.001) | (0.001) | ||||
| 0.326 *** | 0.327 *** | 0.380 *** | 0.379 *** | ||||
| (0.001) | (0.001) | (0.001) | (0.001) | ||||
| 0.306 *** | 0.304 *** | 0.353 *** | 0.354 *** | ||||
| (0.001) | (0.001) | (0.001) | (0.001) | ||||
| −0.001 | −0.0005 | −0.0004 | −0.001 | ||||
| (0.001) | (0.001) | (0.001) | (0.001) | ||||
| −0.004 *** | −0.003 ** | −0.0004 | 0.001 * | ||||
| (0.001) | (0.001) | (0.001) | (0.001) | ||||
| Constant | 1.942 *** | 0.211 *** | 0.210 *** | 1.938 *** | −0.077 *** | −0.077 *** | |
| (0.004) | (0.003) | (0.003) | (0.004) | (0.002) | (0.002) | ||
| Adjusted | 0.188 | 0.996 | 0.996 | 0.226 | 0.998 | 0.998 | |
| Adjusted | 0.000 | 0.000 | |||||
| Panel B: WeightZ as the Dependent Variable | |||||||
| (7) | (8) | (9) | (10) | (11) | (12) | ||
| 0.062 *** | −0.001 ** | −0.106 *** | −0.002 *** | ||||
| (0.004) | (0.001) | (0.005) | (0.001) | ||||
| −0.007 *** | −0.007 *** | −0.012 *** | −0.011 *** | ||||
| (0.0004) | (0.0004) | (0.001) | (0.001) | ||||
| 0.165 *** | 0.165 *** | 0.206 *** | 0.206 *** | ||||
| (0.0004) | (0.0004) | (0.001) | (0.001) | ||||
| −0.159 *** | −0.160 *** | −0.212 *** | −0.212 *** | ||||
| (0.0003) | (0.0003) | (0.0005) | (0.0005) | ||||
| 0.0001 | 0.0001 | −0.001 *** | −0.001 *** | ||||
| (0.0003) | (0.0003) | (0.0005) | (0.0005) | ||||
| 0.001 ** | 0.001 *** | 0.0002 | 0.0004 | ||||
| (0.0003) | (0.0003) | (0.0004) | (0.0004) | ||||
| Constant | 0.504 *** | 0.483 *** | 0.483 *** | 0.507 *** | 0.516 *** | 0.516 *** | |
| (0.001) | (0.001) | (0.001) | (0.001) | (0.001) | (0.001) | ||
| Adjusted | 0.050 | 0.984 | 0.984 | 0.085 | 0.982 | 0.982 | |
| Adjusted | 0.000 | 0.000 | |||||
| Panel C: MaxSharpe as the Dependent Variable | |||||||
| Negative Return Spillover | Positive Return Spillover | ||||||
| (13) | (14) | (15) | (16) | (17) | (18) | ||
| 0.002 | −0.004 ** | 0.015 * | −0.004 * | ||||
| (0.008) | (0.002) | (0.008) | (0.002) | ||||
| −0.077 *** | −0.076 *** | −0.065 *** | −0.064 *** | ||||
| (0.001) | (0.001) | (0.001) | (0.001) | ||||
| −0.028 *** | −0.028 *** | −0.021 *** | −0.022 *** | ||||
| (0.001) | (0.001) | (0.001) | (0.001) | ||||
| −0.021 *** | −0.022 *** | −0.029 *** | −0.028 *** | ||||
| (0.001) | (0.001) | (0.001) | (0.001) | ||||
| 0.279 *** | 0.279 *** | 0.218 *** | 0.218 *** | ||||
| (0.001) | (0.001) | (0.001) | (0.001) | ||||
| 0.254 *** | 0.255 *** | 0.249 *** | 0.250 *** | ||||
| (0.001) | (0.001) | (0.001) | (0.001) | ||||
| Constant | 0.158 *** | 0.120 *** | 0.119 *** | 0.161 *** | 0.143 *** | 0.143 *** | |
| (0.001) | (0.003) | (0.003) | (0.001) | (0.003) | (0.003) | ||
| Adjusted | −0.0002 | 0.957 | 0.957 | 0.0005 | 0.956 | 0.956 | |
| Adjusted | 0.000 | 0.000 | |||||
| Panel D: WeightZ as the Dependent Variable | |||||||
| (19) | (20) | (21) | (22) | (23) | (24) | ||
| 0.211 *** | 0.003 | 0.266 *** | −0.014 | ||||
| (0.026) | (0.013) | (0.033) | (0.017) | ||||
| −0.056 *** | −0.057 *** | 0.081 *** | 0.086 *** | ||||
| (0.008) | (0.009) | (0.011) | (0.012) | ||||
| 0.147 *** | 0.146 *** | 0.193 *** | 0.193 *** | ||||
| (0.008) | (0.008) | (0.010) | (0.010) | ||||
| −0.150 *** | −0.150 *** | −0.179 *** | −0.178 *** | ||||
| (0.007) | (0.007) | (0.010) | (0.010) | ||||
| −0.712 *** | −0.712 *** | −1.142 *** | −1.142 *** | ||||
| (0.007) | (0.007) | (0.009) | (0.009) | ||||
| 0.800 *** | 0.800 *** | 0.970 *** | 0.971 *** | ||||
| (0.007) | (0.007) | (0.009) | (0.009) | ||||
| Constant | 0.497 *** | 0.477 *** | 0.477 *** | 0.506 *** | 0.516 *** | 0.515 *** | |
| (0.004) | (0.022) | (0.022) | (0.006) | (0.029) | (0.029) | ||
| Adjusted | 0.013 | 0.840 | 0.840 | 0.012 | 0.826 | 0.826 | |
| Adjusted | 0.000 | 0.000 | |||||
| Panel A: Effects of Daily Volatility Spillovers on Daily Minimum Variance Portfolio | |||||||
| Portfolio’s Standard Deviation | Weight of the Spillover-Receiving Asset | ||||||
| (1) | (2) | (3) | (4) | (5) | (6) | ||
| 0.129 *** | −0.006 *** | −0.987 *** | 0.046 *** | ||||
| (0.003) | (0.001) | (0.005) | (0.012) | ||||
| 0.070 *** | 0.070 *** | 0.008 *** | 0.008 *** | ||||
| (0.0001) | (0.0001) | (0.001) | (0.001) | ||||
| 0.315 *** | 0.318 *** | 2.858 *** | 2.840 *** | ||||
| (0.024) | (0.024) | (0.242) | (0.242) | ||||
| 0.361 *** | 0.376 *** | −2.825 *** | −2.946 *** | ||||
| (0.001) | (0.003) | (0.009) | (0.033) | ||||
| 0.001 | 0.001 | −0.003 | −0.003 | ||||
| (0.001) | (0.001) | (0.014) | (0.014) | ||||
| 0.00001 | −0.00002 | 0.002 | 0.002 | ||||
| (0.001) | (0.001) | (0.014) | (0.014) | ||||
| Constant | 0.136 *** | 0.004 | 0.0004 | 0.507 *** | 0.497 *** | 0.524 *** | |
| (0.0002) | (0.005) | (0.005) | (0.0003) | (0.048) | (0.048) | ||
| Adjusted | 0.124 | 0.991 | 0.991 | 0.827 | 0.905 | 0.905 | |
| Adjusted | 0.000 | 0.000 | |||||
| Panel B: Effects of Daily Volatility Spillovers on Daily Maximum Sharpe Ratio Portfolio | |||||||
| Portfolio’s Sharpe Ratio | Weight of the Spillover-Receiving Asset | ||||||
| (7) | (8) | (9) | (10) | (11) | (12) | ||
| −0.348 *** | 0.012 | −0.911 *** | 0.095 * | ||||
| (0.016) | (0.014) | (0.026) | (0.049) | ||||
| −0.180 *** | −0.180 *** | 0.011 *** | 0.011 *** | ||||
| (0.001) | (0.001) | (0.003) | (0.003) | ||||
| −0.947 *** | −0.951 *** | 4.246 *** | 4.208 *** | ||||
| (0.288) | (0.288) | (0.980) | (0.980) | ||||
| −1.015 *** | −1.046 *** | −2.634 *** | −2.885 *** | ||||
| (0.011) | (0.039) | (0.037) | (0.134) | ||||
| 3.662 *** | 3.662 *** | −6.217 *** | −6.217 *** | ||||
| (0.016) | (0.016) | (0.056) | (0.056) | ||||
| 3.805 *** | 3.805 *** | 6.126 *** | 6.127 *** | ||||
| (0.016) | (0.016) | (0.056) | (0.056) | ||||
| Constant | 0.372 *** | 0.344 *** | 0.351 *** | 0.506 *** | 0.193 | 0.250 | |
| (0.001) | (0.057) | (0.057) | (0.002) | (0.192) | (0.195) | ||
| Adjusted | 0.046 | 0.940 | 0.940 | 0.113 | 0.749 | 0.749 | |
| Adjusted | 0.000 | 0.000 | |||||
| Panel C: Effects of Daily Volatility Spillovers on Weekly Minimum Variance Portfolio | |||||||
| Portfolio’s Standard Deviation | Weight of the Spillover-Receiving Asset | ||||||
| (13) | (14) | (15) | (16) | (17) | (18) | ||
| 0.286 *** | 0.007 *** | −0.990 *** | −0.002 | ||||
| (0.008) | (0.002) | (0.006) | (0.009) | ||||
| 0.155 *** | 0.155 *** | 0.008 *** | 0.008 *** | ||||
| (0.0002) | (0.0002) | (0.001) | (0.001) | ||||
| 0.330 *** | 0.331 *** | 1.237 *** | 1.237 *** | ||||
| (0.003) | (0.003) | (0.015) | (0.015) | ||||
| 0.358 *** | 0.351 *** | −1.262 *** | −1.260 *** | ||||
| (0.001) | (0.003) | (0.004) | (0.011) | ||||
| 0.001 | 0.001 | 0.0004 | 0.0004 | ||||
| (0.001) | (0.001) | (0.003) | (0.003) | ||||
| −0.0003 | −0.0003 | −0.0004 | −0.0004 | ||||
| (0.001) | (0.001) | (0.003) | (0.003) | ||||
| Constant | 0.303 *** | 0.003 | 0.006 *** | 0.507 *** | 0.514 *** | 0.513 *** | |
| (0.0005) | (0.002) | (0.002) | (0.0004) | (0.007) | (0.008) | ||
| Adjusted | 0.118 | 0.990 | 0.990 | 0.719 | 0.904 | 0.904 | |
| Adjusted | 0.000 | 0.000 | |||||
| Panel D: Effects of Daily Volatility Spillovers on Weekly Maximum Sharpe Ratio Portfolio | |||||||
| Portfolio’s Sharpe Ratio | Weight of the Spillover-Receiving Asset | ||||||
| (19) | (20) | (21) | (22) | (23) | (24) | ||
| −0.779 *** | −0.061 ** | −0.913 *** | 0.033 | ||||
| (0.036) | (0.024) | (0.026) | (0.036) | ||||
| −0.404 *** | −0.404 *** | 0.010 *** | 0.010 *** | ||||
| (0.002) | (0.002) | (0.003) | (0.003) | ||||
| −0.847 *** | −0.851 *** | 1.079 *** | 1.081 *** | ||||
| (0.038) | (0.038) | (0.058) | (0.058) | ||||
| −1.007 *** | −0.940 *** | −1.177 *** | −1.213 *** | ||||
| (0.011) | (0.028) | (0.016) | (0.042) | ||||
| 1.642 *** | 1.642 *** | −1.245 *** | −1.245 *** | ||||
| (0.008) | (0.008) | (0.011) | (0.011) | ||||
| 1.706 *** | 1.706 *** | 1.229 *** | 1.229 *** | ||||
| (0.008) | (0.008) | (0.011) | (0.011) | ||||
| Constant | 0.834 *** | 0.721 *** | 0.694 *** | 0.506 *** | 0.552 *** | 0.567 *** | |
| (0.002) | (0.018) | (0.021) | (0.002) | (0.027) | (0.031) | ||
| Adjusted | 0.045 | 0.937 | 0.937 | 0.110 | 0.746 | 0.746 | |
| Adjusted | 0.000 | 0.000 | |||||
| Dependent Variable: | ||||||
|---|---|---|---|---|---|---|
| Panel A: Return Spillovers | ||||||
| (1) | (2) | (3) | (4) | (5) | (6) | |
| −0.001 * | −0.003 | −0.102 | 0.460 ** | −0.030 *** | −0.061 *** | |
| (0.0005) | (0.002) | (0.158) | (0.185) | (0.007) | (0.015) | |
| 0.0001 *** | 0.0004 *** | 0.028 *** | 0.035 *** | 0.002 *** | 0.005 *** | |
| (0.00003) | (0.0002) | (0.010) | (0.012) | (0.0005) | (0.001) | |
| −0.001 | −0.005 | 0.475 * | 0.138 | 0.088 *** | 0.168 *** | |
| (0.001) | (0.004) | (0.287) | (0.337) | (0.013) | (0.027) | |
| Constant | 0.001 *** | 0.003 *** | 0.337 *** | 0.302 *** | 0.017 *** | 0.036 *** |
| (0.00002) | (0.0001) | (0.006) | (0.007) | (0.0003) | (0.001) | |
| Adjusted | 0.006 | 0.006 | 0.029 | 0.080 | 0.130 | 0.110 |
| Panel B: Volatility Spillovers | ||||||
| (7) | (8) | (9) | (10) | (11) | (12) | |
| 0.003 *** | 0.011 *** | 0.546 ** | 0.509 * | 0.121 *** | 0.265 *** | |
| (0.001) | (0.004) | (0.245) | (0.295) | (0.011) | (0.023) | |
| Constant | 0.001 *** | 0.003 *** | 0.337 *** | 0.293 *** | 0.017 *** | 0.033 *** |
| (0.00002) | (0.0001) | (0.006) | (0.007) | (0.0003) | (0.001) | |
| Adjusted | 0.012 | 0.010 | 0.005 | 0.002 | 0.130 | 0.133 |
| Panel A: Portfolios Formed by Daily Returns | |||||||||||
| Minimum Variance Portfolio | Maximum Sharpe Ratio Portfolio | ||||||||||
| Standard Deviation | Weight of Stock A | Sharpe Ratio | Weight of Stock A | ||||||||
| (1) | (2) | (3) | (4) | (5) | (6) | (7) | (8) | ||||
| −0.00001 | 0.241 *** | −0.002 | −0.072 | ||||||||
| (0.001) | (0.076) | (0.005) | (0.143) | ||||||||
| −0.006 *** | −0.162 | 0.014 ** | 0.115 | ||||||||
| (0.002) | (0.099) | (0.007) | (0.186) | ||||||||
| −0.009 ** | 1.113 *** | 0.061 *** | 1.157 ** | ||||||||
| (0.005) | (0.294) | (0.021) | (0.552) | ||||||||
| −0.024 *** | −1.671 *** | 0.083 *** | −0.841 * | ||||||||
| (0.004) | (0.270) | (0.019) | (0.507) | ||||||||
| 0.009 *** | 0.009 *** | 0.225 *** | 0.201 *** | −0.017 *** | −0.018 *** | −0.071 | −0.078 | ||||
| (0.001) | (0.0005) | (0.033) | (0.032) | (0.002) | (0.002) | (0.058) | (0.060) | ||||
| 11.136 *** | 11.693 *** | −798.858 *** | −709.528 *** | −11.858 *** | −12.376 *** | −775.234 *** | −712.042 *** | ||||
| (0.326) | (0.376) | (21.329) | (24.371) | (1.459) | (1.726) | (37.407) | (45.742) | ||||
| 7.302 *** | 6.425 *** | 808.852 *** | 694.633 *** | −12.054 *** | −9.700 *** | 762.038 *** | 702.968 *** | ||||
| (0.269) | (0.332) | (17.565) | (21.500) | (1.201) | (1.523) | (30.805) | (40.353) | ||||
| 0.349 * | 0.459 ** | −102.477 *** | −95.033 *** | 32.120 *** | 31.667 *** | 790.944 *** | 794.214 *** | ||||
| (0.198) | (0.187) | (12.931) | (12.139) | (0.884) | (0.860) | (22.679) | (22.784) | ||||
| 0.537 *** | 0.668 *** | 5.732 | 25.201 ** | 25.679 *** | 25.362 *** | −600.309 *** | −593.656 *** | ||||
| (0.160) | (0.154) | (10.446) | (10.006) | (0.714) | (0.709) | (18.321) | (18.781) | ||||
| Constant | 0.005 *** | 0.005 *** | 0.470 *** | 0.488 *** | 0.016 *** | 0.014 *** | 0.412 *** | 0.405 *** | |||
| (0.0003) | (0.0003) | (0.017) | (0.020) | (0.001) | (0.001) | (0.029) | (0.037) | ||||
| Adjusted | 0.850 | 0.868 | 0.911 | 0.923 | 0.864 | 0.874 | 0.858 | 0.860 | |||
| Adjusted | 0.018 | 0.012 | 0.010 | 0.002 | |||||||
| Panel B: Portfolios Formed by Weekly Returns | |||||||||||
| Minimum Variance Portfolio | Maximum Sharpe Ratio Portfolio | ||||||||||
| Standard Deviation | Weight of Stock A | Sharpe Ratio | Weight of Stock A | ||||||||
| (9) | (10) | (11) | (12) | (13) | (14) | (15) | (16) | ||||
| −0.004 | 0.149 * | 0.002 | −0.067 | ||||||||
| (0.003) | (0.078) | (0.016) | (0.148) | ||||||||
| −0.016 *** | −0.169 * | 0.044 ** | 0.242 | ||||||||
| (0.003) | (0.099) | (0.020) | (0.188) | ||||||||
| −0.012 | 1.324 *** | 0.118 ** | 0.600 | ||||||||
| (0.010) | (0.288) | (0.058) | (0.547) | ||||||||
| −0.042 *** | −1.894 *** | 0.237 *** | −0.698 | ||||||||
| (0.009) | (0.263) | (0.053) | (0.499) | ||||||||
| 0.017 *** | 0.018 *** | 0.223 *** | 0.210 *** | −0.030 *** | −0.034 *** | −0.029 | −0.038 | ||||
| (0.001) | (0.001) | (0.026) | (0.027) | (0.005) | (0.005) | (0.046) | (0.051) | ||||
| 5.644 *** | 5.932 *** | −194.906 *** | −170.304 *** | −7.572 *** | −8.302 *** | −204.440 *** | −196.203 *** | ||||
| (0.158) | (0.185) | (4.815) | (5.463) | (0.920) | (1.100) | (8.389) | (10.374) | ||||
| 3.517 *** | 3.165 *** | 185.324 *** | 155.314 *** | −6.877 *** | −5.067 *** | 190.582 *** | 180.784 *** | ||||
| (0.132) | (0.168) | (4.007) | (4.972) | (0.766) | (1.001) | (6.982) | (9.443) | ||||
| 0.102 | 0.129 | −14.100 *** | −12.829 *** | 16.388 *** | 16.158 *** | 156.995 *** | 157.661 *** | ||||
| (0.085) | (0.081) | (2.574) | (2.380) | (0.492) | (0.479) | (4.485) | (4.519) | ||||
| 0.144 ** | 0.218 *** | −5.416 ** | −0.056 | 12.494 *** | 12.174 *** | −120.431 *** | −119.494 *** | ||||
| (0.069) | (0.069) | (2.113) | (2.024) | (0.404) | (0.408) | (3.681) | (3.843) | ||||
| Constant | 0.010 *** | 0.010 *** | 0.497 *** | 0.507 *** | 0.034 *** | 0.028 *** | 0.414 *** | 0.423 *** | |||
| (0.0004) | (0.001) | (0.014) | (0.018) | (0.003) | (0.004) | (0.024) | (0.034) | ||||
| Adjusted | 0.865 | 0.880 | 0.912 | 0.926 | 0.838 | 0.849 | 0.866 | 0.867 | |||
| Adjusted | 0.015 | 0.004 | 0.011 | 0.001 | |||||||
Publisher’s Note: MDPI stays neutral with regard to jurisdictional claims in published maps and institutional affiliations. |
© 2021 by the authors. Licensee MDPI, Basel, Switzerland. This article is an open access article distributed under the terms and conditions of the Creative Commons Attribution (CC BY) license (https://creativecommons.org/licenses/by/4.0/).
Share and Cite
Hoang, L.T.; Baur, D.G. Spillovers and Asset Allocation. J. Risk Financial Manag. 2021, 14, 345. https://doi.org/10.3390/jrfm14080345
Hoang LT, Baur DG. Spillovers and Asset Allocation. Journal of Risk and Financial Management. 2021; 14(8):345. https://doi.org/10.3390/jrfm14080345
Chicago/Turabian StyleHoang, Lai T., and Dirk G. Baur. 2021. "Spillovers and Asset Allocation" Journal of Risk and Financial Management 14, no. 8: 345. https://doi.org/10.3390/jrfm14080345
APA StyleHoang, L. T., & Baur, D. G. (2021). Spillovers and Asset Allocation. Journal of Risk and Financial Management, 14(8), 345. https://doi.org/10.3390/jrfm14080345

