Next Article in Journal
Overconfidence, Financial Advice Seeking and Household Portfolio Under-Diversification
Next Article in Special Issue
Implementation Risk Factors of Collaborative Housing in Poland: The Case of ‘Nowe Żerniki’ in Wrocław
Previous Article in Journal
How Many Stocks Are Sufficient for Equity Portfolio Diversification? A Review of the Literature
Previous Article in Special Issue
Churn Management in Telecommunications: Hybrid Approach Using Cluster Analysis and Decision Trees
 
 
Font Type:
Arial Georgia Verdana
Font Size:
Aa Aa Aa
Line Spacing:
Column Width:
Background:
Article

Impact of Geopolitical Risk on the Information Technology, Communication Services and Consumer Staples Sectors of the S&P 500 Index

by
Gerard Atabong Fossung
,
Vasileios Chatzis Vovas
and
A. M. M. Shahiduzzaman Quoreshi
*
Department of Industrial Economics, Blekinge Institute of Technology, 371 41 Karlskrona, Sweden
*
Author to whom correspondence should be addressed.
J. Risk Financial Manag. 2021, 14(11), 552; https://doi.org/10.3390/jrfm14110552
Submission received: 20 September 2021 / Revised: 8 November 2021 / Accepted: 8 November 2021 / Published: 16 November 2021
(This article belongs to the Special Issue Trends in Information Technology)

Abstract

:
We investigate the effect of geopolitical risk on the returns of firms in the Information Technology, Communication Services, and Consumer Staples sectors within the S&P 500 index. We use the event study methodology and perform more than 17,000 regressions to provide empirical evidence at sector level that geopolitical risk leads to different responses across these three sectors. The response of the Information Technology sector is negative for all event windows under study, except the one spanning 10 days prior to the geopolitical event and 10 days after. The Communication Services sector has positive returns as a result of geopolitical events for all event windows, except the one from the geopolitical event date and 5 days after. The Consumer Staples sector shows a negative impact on geopolitical risk for all event windows except the one from the geopolitical event date and 5 days after, demonstrating a negative correlation to the Communication Services sector.

1. Introduction

“Geopolitics covers a diverse set of events with a wide range of causes and consequences, from terrorist attacks to climate change, from Brexit to the Global Financial Crisis” (Caldara and Iacoviello 2018). Adverse geopolitical events and threats often result in uncertainties or risks on global economies, local economies, as well as general financial markets such as the stock exchange. Campbell et al. (2012) asserted that uncertainty plays a vital role in financial economics it has an impact on the behavior of investors and market prices. Carney (2016) identified geopolitical uncertainty, economic uncertainty, and policy uncertainty, as the “uncertainty trinity” that influences economic performance. Geopolitical risk (GPR) exists not only because of the risks associated with the realization of (adverse) events but also due to the escalations thereof. Caldara and Iacoviello (2018) found that while the realization of adverse geopolitical events leads to smaller economic effects because the uncertainty is usually addressed and resolved, the shocks of geopolitical threats are usually protracted, leading to a rise in uncertainty and adverse economic activity. Their study also revealed that in the U.S., as well as around the world, stock returns respond asymmetrically to the threats and realizations of geopolitical events. Derousseau (2018) established that the defense industry, the oil industry, and the consumer industry are three industries where stocks should be owned during risky times. On the global economic front, both the World Bank (2020) and Dimitrijevic et al. (2019) concurred that political and trade tensions erode confidence and investment plans, as well as stifle expectations of global economic growth. Lastly, according to Dimitrijevic et al. (2019), the U.S.–China trade and technology disputes, the proxy wars in the Middle East, U.S. President Trump’s impeachment hearings in the U.S., and the Brexit imbroglio are drivers of global tensions that lead to slower global economic growth, with the U.S.–China relationship as the main catalyst of this economic slowdown.
Wade and Lauro (2019) argued that geopolitical risk is on the rise, and in the future it will be fueled by two factors which are: the rise of China, and the rise of populism. The authors also identified the uncertainty surrounding the U.S.–China trade tension and the decision of the U.K. to leave the European Union as recent events to which close attention needs to be paid regarding geopolitical risk. Furthermore, Wade and Lauro (2019) analyzed the performance of “safe” and “risky” assets during periods of high GPR and observed that the portfolio of “safe” assets delivered higher risk-adjusted returns than those of the “risky” assets in four out of five periods considered. As a result, they advised investors to consider GPR, as it benefits portfolio performance through diversification of assets from “risky” to safe-haven assets when GPR becomes high.
A lot of studies have been performed by researchers on the impact that geopolitical risk has on stock volatility within some economic industries. For example, Chkili et al. (2014) and Antonakakis et al. (2017) both studied the effect of GPR on the oil industry, while Caldara and Iacoviello (2018) analyzed and summarized the GPR effects on general market price indexes at the industry-level (49 industries) and across 17 countries between 2005 and 2018. Caldara and Iacoviello (2018) used forecasting regressions and vector autoregressive (VAR) models, and showed that a shock to geopolitical risk impacts stock markets. In contrast, our study investigates the GPR impact on the stock returns of firms on the S&P 500 index (in the U.S.) at sector level (132 sector-level firms from three different sectors) between 1962 and 2020, using a time-series event study methodology (MacKinlay 1997; Campbell et al. 2012).
To provide an easy understanding of the structure of the industries and sectors in the U.S. S&P 500 index to the reader, we capture the breadth, depth, and evolution of its industry sectors in Figure 1 below. Alternatively, every S&P 500 index sector and their underlying industries can clearly be seen in Ross (2020). In particular, the S&P 500 index consists of 505 firms, spanning 11 sectors, 126 industries (Slickcharts 2020).
Apart from geopolitical risk, other types of risk are also known to impact the stock return of firms. Examples of other risks include risk from the financial crises (such as recession (BenMim and BenSaïda 2019), banking crises (Miyajima and Yafeh 2007)), risk due to government policy and regulatory decisions (Grout and Zalewska 2006; Lamdin 2001; Jeon et al. 2020), risk due to natural disasters and climate/weather change (Atems et al. 2020; Bourdeau-Brien and Kryzanowski 2017), risk from political fallouts (Buigut and Kapar 2019), risk as a result of the occurrence of infectious diseases such as COVID-19 and SARs (Mazura et al. 2020; Chen et al. 2007; Bai et al. 2020; Kim et al. 2020), risk due to M&A/joint ventures (Hanvanich and Çavuşgil 2001; Koh and Venkatraman 1991; Park et al. 2002; Dranev et al. 2019; Cuéllar-Fernández et al. 2011), risk due to industrial chemical accidents (Makino 2016), disruption of goods or services in the supply chain (Chen et al. 2019), announcements (Dobija et al. 2012; Hanvanich and Çavuşgil 2001; Jeon et al. 2020), trading of gold and oil market futures (Junttila et al. 2018), trading on the U.S. dollar (the U.S. reserve currency) (Kocaarslan and Soytas 2019), IT infrastructure changes (Wagener et al. 2010), food safety events (Seo et al. 2013), etc.
Caldara and Iacoviello (2018) have developed a geopolitical risk index which measures the fluctuations in geopolitical risk over a given period of time, and we intend to further explore geopolitical risk using this index in order to forecast the impact of this specific risk (GPR) on stock returns of the S&P 500 index. To identify geopolitical risk on the stock prices, we employ an event study which is a commonly used econometric methodology used to estimate the impact of such events (MacKinlay 1997) (Campbell et al. 2012). Obviously, some other methodologies such as structural break and conditional correlation may have been employed.
In our study, we investigate the impact of geopolitical risk on the market returns of the Information Technology, Communication Services, and Consumer Staples sectors of the S&P 500 index, as well as compare the GPR impact between these sector returns. These three sectors were randomly chosen due to the heavy computational work involved in the analysis.
To build on our theory, we map the research domains covered by extant literature to corresponding firm sectors presented in MSCI (2020). To do this, we follow the GICS® (Global Industry Classification Standard) methodology and guidelines presented by MSCI (2020) (e.g., due to the definition of its principal business activity, etc.) to associate research domains covered in extant literature to firm sectors categorized in MSCI (2020). After identifying the firm sector involved in extant research, we investigate how different types of risks affect the stock returns of these identified sectors from extant research. For example, we consider extant research on stocks such as food stocks, cigarette/tobacco stocks, etc., to be associated with stocks in the Consumer Staples sector of the S&P 500 index; we consider extant research on stocks such as entertainment stocks, telecommunication operators’ stocks, social media firm stocks (such as Twitter, Facebook, etc.), to be associated with stocks in the Communication Services sector; and consider extant research on stocks such as software stocks, IT stocks, etc., to be associated with the Information Technology sector, in accordance to the guidelines from MSCI (2020).
From the extant literature, we derive the following observations: First, Mazura et al. (2020) provide evidence that diseases, such as COVID-19, cause food stocks (Consumer Staples sector) and software stocks (Information Technology sector) on the U.S. stock market to earn high positive returns, while entertainment stocks (Communication Services sector) fall dramatically. Second, after M&A, acquirer firms in the Information Technology sector experience significant positive average abnormal returns in the short-term and negative average abnormal returns in the long-term (Dranev et al. 2019). Third, Information Technology (IT) sector infrastructure changes (such as the upgrade of the information technology electronic trading system at the Deutsche Börse (the German stock exchange)) lead to an increase in price efficiency (Wagener et al. 2010). Fourth, announcements of joint ventures of parent firms in the U.S. Information Technology sector lead to a significant increase in the market value of the stocks for the participating parent firms. Furthermore, there is a significant and positive relationship between intended and realized joint venture strategies (Koh and Venkatraman 1991). Fifth, the telecommunication operators’ (telcos) market (Communication services sector) in China has a negative evaluation of the introduction of 5G technology due to its immaturity and uncertainty. Furthermore, a firm’s 5G activities also decrease that firm’s value, with this effect having more significance than government policy announcements (Jeon et al. 2020). Sixth, M&A activities of telecommunications sector firms (Communication Services sector) bring negative news to the market, leading to negative market returns. Furthermore, a cross-border (international) M&A deal is the main driver of the negative market reaction, rather than a domestic M&A deal (Park et al. 2002). Seventh, when acting as a source of sentimental data, Twitter (a Communication Services sector firm) has a statistically strong association with stock prices in the Communication Services sector and that prediction markets manage to effectively pool decentralized information better than alternative sources (Teti et al. 2019). Eighth, food safety events negatively impact food-related firms (Consumer Staples sector), particularly in the first days following the outbreak of events. The effects diminish after approximately two working months after the event and turn to positive after almost one year on from food safety events (Seo et al. 2013). Ninth, according to Atems et al. (2020), a natural weather phenomenon (such as the El Nino-Southern Oscillation (ENSO)) causes a majority of the U.S. food and agricultural stocks (Consumer Staples sector) to have positive and significant returns, resulting in a minority of the stock returns not being significantly different from zero. These effects are, however, short-lived, generally becoming statistically indistinguishable from 3 to 6 months after the shock.
The scope of this study is being confined to the U.S. S&P 500 index because within the last century, the U.S. has been a leading economy in the global market. At the same time, the U.S. has been an active participant in geopolitical events which, as we can infer from Caldara and Iacoviello (2018), should expose its stock market to geopolitical risk (and is also the subject of our investigation). As a leading global economy, the U.S. has Fortune500 companies such as Amazon, Alphabet, Apple Inc., and Microsoft, which have tremendously contributed to the development of technology through innovation and secured a place in history as the first U.S. companies to hit the $1 trillion capitalization value (Berne 2020).

2. Literature Review

The Geopolitical risk index is the outcome of a study by Caldara and Iacoviello (2018) aimed at quantifying and creating an index of such (geopolitical) events. By counting the mentions of geopolitical risk in newspapers since 1900, a geopolitical risk index is created through an empirical approach. The study focusses on creating a link between geopolitical risk and their ability to suppress economic activity. It shows that the geopolitical risk index is correlated with a decrease in both economic activity and U.S. stock returns, due to fear of retaliation. According to Caldara and Iacoviello (2018), geopolitical events are a source of risk in the markets. In particular, such events impact different asset classes in different ways, and equities, being an asset class by themselves, are impacted by geopolitical risk.
Amiti et al. (2019) study the correlation between tariffs and changes in consumer prices. This study claims that the revenue captured from U.S. tariffs does not cover the losses incurred by the added cost of consumer imports. The researchers conclude that the global value chains will need to be reorganized if the current tariff policy continues, thus creating further added costs for firms with active investments in the U.S. and China. Qiu et al. (2019) focus on the current trade war based on theories such as imperfect competition, increasing returns, terms of trade arguments, and political economy arguments. The study concludes that protectionism seems to enable specific industries to earn higher returns than the opportunity costs of the resources they possess. However, the benefits of protectionism are diluted by the added complexities that come with such policies, thereby making free trade the path of least resistance. Finally, the study claims that the existing literature on trade cannot fully explain the U.S.–China trade war. While the previous research has focused on the impact of geopolitical events from a theoretical perspective, Huang et al. (2018) focus on the link between trade policies and firm value. The authors emphasize the impact that trade war announcements have on the U.S. and Chinese markets. The study finds a significant correlation between trade policy announcements and stock prices. Every 10 per cent increase in a firm’s sales to China produced 0.8 per cent lower average returns.
Chong and Li (2019) compare the ongoing trade war with other historical trade conflicts aiming to reveal the major cause(s) leading to such situations. The authors study the impact on trade by considering the effect on exchange rate between U.S. dollar and Chinese Yuan of historical conflicts of a similar nature. Based on the search for similar events in history, the study concludes that the impact of trade volume decrease between the U.S. and China seems to be over-estimated.
Engle (2019) argues that, while global volatility has been generally low since the end of the global financial crisis, occasional hikes have been observed (such as during U.S. President Donald Trump’s election and the Brexit vote), and that volatility across assets, asset classes, industries, and countries tend to be correlated. In addition, he observed that volatility is more predictable, unlike forecasting asset returns, with the ARCH and GARCH models showing that volatility shocks are persistent. Beaulieu et al. (2005) examine the impact of political risks on the volatility of stock returns in Canada. They employ a modified bivariate GARCH model to assess this relationship since this model explicitly measures time-varying financial returns features such as varying volatility and volatility clustering. It also helps in estimating a conditional risk premium and in assessing whether it depends on their proxy for political risk. The authors obtain a sample of 82 political news items (from the U.S.-based Wall Street Journal and The Toronto Globe and Mail) likely to affect the perception of political risk associated with Quebec’s independence over the period between 1990 and 1996. Their result shows the relevance and extent to which political news about the possible separation of Quebec (Canada’s only mainly French-speaking province out of its 13 provinces and territories) from Canada has on the volatility of stock returns. Furthermore, they show that stock return volatility varies with the degree of a firm’s exposure to political risks (political risks affects stock return volatility of domestic firms, but not of international firms) and that investors do not require a risk premium because it can be diversified in a way that does not affect investors’ required returns.
Balcilar et al. (2018) research the effects that geopolitical uncertainty have on return and volatility dynamics in Brazil, Russia, India China and South Africa (BRICS) stock markets using nonparametric causality-in-quantiles tests for all BRICS countries. They analyze monthly data on geopolitical risk from the recent work of Caldara and Iacoviello (2018), while the data on the GPR indices are obtained from Iacoviello (2020). They use monthly stock market indices for the BRICS countries and daily stock market returns to calculate the realized volatility estimates for each month. Their results show that the effect of geopolitical risk is heterogeneous across the BRICS stock markets, suggesting that news regarding geopolitical tensions do not uniformly affect return dynamics in these markets. Generally, it is found that news on geopolitical tensions impacts volatility measures, but not the volatility returns, indicating that GPR is a vector of bad volatility in the BRICS markets. They argue that while Russia is seen to have the greatest GPR risk exposure among the BRICS countries in terms of returns and volatility, India is observed to be the most resilient, with geopolitical shocks being undermined through a strong financial apparatus and an open economy. Altogether, the findings suggest that GPRs may be transmitted via volatility interactions across the BRICS markets, with Russia and China acting as the major transmitters of volatility shocks partially driven by geopolitical uncertainties (Balcilar et al. 2018).
Antonakakis et al. (2017) used monthly data from the U.S.-based West Texas Intermediate (WTI) crude oil index and the S&P 500 stock index for a period spanning over a century (1899–2016) to investigate the impact and extent of geopolitical risk on oil-stock covariance, their returns, and their variances, using Caldara and Iacoviello’s (2018) GPR index. The authors show that geopolitical risk triggers a negative effect, mainly on oil returns and volatility, and to a lesser extent on the covariance between the stocks and oil markets. Chkili et al. (2014) examine the dynamic relationship between the U.S. stock market and two international crude oil (WT Oil and Brent Oil) markets using a DCC-FIAPARCH model that measures the time-varying properties of conditional return and volatility of both markets as well as the dynamic correlation in the period from 1987–2013. The results show a strong dynamic conditional correlation (DCC) between these two markets and that the DCC is seen to be impacted by economic and geopolitical events. They surmise that long memory and asymmetric behavior both characterize the conditional volatility of the oil and stock market returns. Finally, they advise investors in the U.S. market to invest more in stocks than oil assets in order to reduce their risk portfolio.
Mazura et al. (2020) investigate the performance of the U.S. stock market during the crash that occurred in March 2020 as a result of COVID-19. Their results provide evidence that the natural gas, food, healthcare, and software stocks earn high positive returns, whereas equity values in petroleum, real estate, entertainment, and hospitality sectors fall dramatically. Furthermore, the stocks that lose exhibit extreme asymmetric volatility that correlates negatively with stock returns. Teti et al. (2019) explore the use of Twitter (Communication Services sector firm) to invest in or verify the relationship with the stock prices in the U.S. communication technology industry. The results show that Twitter (as a source of sentimental data) has a statistically strong association with stock prices in the Communication Services sector and that prediction markets manage to effectively pool decentralized information better than alternative sources. Further results indicate a higher association between the stock prices of companies with high social media coverage than that with low coverage.
Dranev et al. (2019) investigate the post-acquisition performance of the acquirer firms in both the Information Technology and financial sectors (fintech) measured by abnormal returns after recent mergers and acquisitions. They discover significant positive average abnormal returns after the acquisition of fintech companies in the short-term and negative average abnormal returns in the long-term using event studies, which is consistent with some prior studies on technology M&A.
Atems et al. (2020) examine the response of twelve U.S. food and agricultural stock returns to El Nino-Southern Oscillation (ENSO) (a naturally occurring weather phenomenon that involves fluctuations in winds and ocean surface temperatures in the central and east-central equatorial Pacific Ocean) shocks using a recursive VAR model. Their results indicate that, for seven of the stock returns, an ENSO shock has positive and significant effects, while five of the 12 stock returns are not significantly different from zero. However, the effects are short-lived, generally becoming statistically indistinguishable from three to six months after the shock. Variance decomposition analyses show that ENSO shocks have little explanatory power for fluctuations in U.S. agricultural stock returns. They also find that, historically, movements in U.S. agricultural stock returns have been driven by other shocks, rather than ENSO shocks.
Wagener et al. (2010) use an event study analysis and show that IT infrastructure changes such as the upgrade of the information technology electronic trading system at the Deutsche Börse (the German stock exchange) led to an increase in price efficiency, measured in terms of the price gaps between the observed future prices and their theoretical values in the cash market. Seo et al. (2013) use event studies to investigate how food safety events (e.g., the 2002 E. coli bacteria outbreak) impact the value of food-related firms, based on a conceived theoretical model relating food safety events and firm value. They observe that food safety events have negative impacts on food-related firms, particularly noting that the daily abnormal returns (ARs) are significantly negative on the first day (t1) and the second day (t2) following the outbreak of events. Cumulative abnormal returns (CARs) are found to be significantly negative and diminished after approximately two working months after the event. Furthermore, the negative CARs turn to positive values after almost one year from food safety events. Additionally, from the results obtained, firm-specific factors such as past history, firm size, and the amplifying effect of media messages on poor firm values are significant factors influencing changes in stock returns due to food safety event outbreaks.
Jeon et al. (2020) examine the impact of the government’s 5G policy announcements on telecommunication operators’ (telcos) firm value in China, where the government has great control. They find that government policy announcements, in general, negatively affect telecommunication operators’ stock return, and when the government announces policies with a higher level of interference, the decline in firm value is more pronounced. Further results show that the firms’ 5G activities also decrease their firm value, and this effect is more significant than government policy announcements. These results imply that the market has a negative evaluation of the introduction of 5G technology due to its immaturity and uncertainty. Koh and Venkatraman (1991) analyze the impact of joint venture formation strategies on the market value of parent firms in the information technology sector using the event study methodology and conclude that announcements of joint ventures lead to a significant increase in the market value of the stocks for the participating parent firms. Further analysis of the impact of intended and realized joint venture strategies using a subsample also reveal a significant and positive relationship. Park et al. (2002) evaluate how telecommunications firms react to mergers and acquisitions (M&As). Their findings showed that M&A activities for these sector firms bring negative news to the market, leading to negative market returns. Furthermore, a cross-border (international) M&A deal is seen to be the main driver of the negative market reaction, rather than a domestic M&A deal. Baur and Smales (2020) investigate the relationship between geopolitical risk and asset prices of precious metals such as gold, silver, platinum, and palladium, then compare these with industrial metals such as copper. Their results show that precious metals are hedges to geopolitical threats as a form of geopolitical risk, and not to geopolitical acts. Further results show that stocks and bonds respond negatively to geopolitical risk and geopolitical threats. Another result shows that, for extreme geopolitical risks, only gold and silver consistently portray a safe haven for investment, and that a way of lowering the impact of geopolitical risk is to hold precious metals within a diversified portfolio.
Fama (1970) introduces the efficient market hypothesis, whereby the price of a stock at a given time captures and reflects the accumulation of all publicly available information. Furthermore, he argues that the value of a firm is quantified by its stock price. The stock market is one instance where the efficient market hypothesis can be applied. To test the efficient market hypothesis in a selected subset of a stock market, Fama (1991) recommends the use of an event study. Such studies can be used to quantify the effect(s) of a certain event (such as the impact of a geopolitical event) towards firms in a particular economic sector. According to Campbell et al. (2012), the market model has been the dominant model choice for event studies since 1970, and in the market model, there is a built-in assumption that the expected returns of stocks are linearly related to the returns of the market from which the specific stock is part of Bowman (1983) presents event study research as a methodology that originates not only from announcements made by firms, but also announcements made from outside of firms (e.g., an accounting standard body such as the FASB) or from other general events/happenings such as an oil embargo. This paper presents a framework for designing event studies, differentiates them by type, and carries out more exploratory analysis on event studies. The five steps of event studies as well as the identification of alternative techniques, to provide a basis for understanding and conducting event studies are discussed.
A comprehensive study of event studies is presented by MacKinlay (1997). In his paper, MacKinlay (1997) reviews and summarizes event study methods and discusses a possible procedure for conducting an event study. He presents statistical choices for modelling the normal return such as the Constant Mean Return Model, the Market Model, and the Factor Model. He also presents economic models that provide more constrained normal returns such as the Capital Asset Pricing Model (CAPM), and the Arbitrage Pricing Theory (APT). Binder (1998) reviews developments in the event study methodology beginning with Fama et al. (1969). Some of these developments include hypothesis testing, the use of different benchmarks for the normal rate of return, the power of event studies in different applications, and the modelling of abnormal returns as coefficients in a (multivariate) regression framework. Binder (1998) also researches frequently encountered statistical problems in event studies and their solutions. Kwok and Brooks (1990) examine the event study methodology used by Brown and Warner in the foreign exchange market, by comparing the performance of four alternative abnormal return models (the random walk model, the mean adjusted returns model, the market-adjusted returns model, and the market model) under different experimental conditions. Some of their findings agree with those of Brown and Warner, while some do not. Further results show that a careful design of the methodology may improve its sensitivity and demonstrate that some of the findings of Brown and Warner are not generalizable to the foreign exchange market.
Barnhill and Maxwell (2002) go beyond the current portfolio risk estimation methodologies that calculates market and credit risk in separate analyses, to introduce a methodology that combines these risk measures into one overall portfolio risk assessment to assess the correlated market and credit risk. The risk assessment methodology applies to a single bond demonstrates that out of the four important risk factors (interest rate, spread, credit, and FX (foreign exchange) risk), the most important for non-investment grade bonds is credit risk. Klein and Rosenfeld (1987) use simulation techniques as well as an actual event to examine the reliability of four separate return-generating models to test for possible biases in the specification of abnormal returns for the bull (periods of growth) and bear (periods of decline) markets. They find minor differences only among the models over the 2-day announcement period. Their results further show that both the pre-event and post-event CARs (Cumulative Abnormal Returns) are significantly positive (negative) during bull (bear) markets for those models that do not adjust for market trends, such as the mean-adjusted and raw-market returns. Szegö (2002) discusses some classical measures of risk such as the mean, linear correlation coefficient, and Value at Risk (VaR). The author presents measures to measure risks such as Conditional Value at Risk (CVaR) and Expected Regret (ER) and exposes the limitation of the VaR in measuring risk.
In his paper, Agmon (1973) measures and describes the share-price fluctuations associated uniquely with their country of origin and estimates the country factor in share-price movements in the equity markets of the United Kingdom, Germany, and Japan. The findings show that although movements of share prices in the equity markets of the United Kingdom, Germany, and Japan are related to price changes in the U.S. market index, once the U.S. factor is removed, the non-U.S. country indices are virtually independent of each other, as there is another residual factor affecting share-price fluctuations in these three markets.
Cowan and Sergeant (1996) examine the effects of thin trading on the specification of event study tests using simulations of upper and lower tail tests with and without variance increases on the event date across levels of the trading volume. The authors note that the traditional Patell standardized test is poorly specified for thinly traded stocks, so the best way to replace the standardized test depends on the conditions of the study. Accordingly, they observe that the rank test presented the best specification and power for general use if the return variance is unlikely to increase on the event date. Additionally, they report that the rank statistic is incorrectly specified in lower-tailed tests regardless of volume and in upper-tail tests for several samples, while they recommend that the standardized cross-sectional statistic should be preferred for upper-tailed tests and the generalized sign statistic for lower-tailed tests. Vennet (1996) analyzes a sample of 492 takeovers to examine the performance effects of acquisitions and mergers between EC credit institutions over the period 1988–1993. A performance analysis is performed to determine whether or not bank mergers entail real economic gains. The results indicate that domestic mergers among equal-sized partners significantly increase the performance of the merged banks. Vennet (1996) further reports that an improvement of cost efficiency is also found in cross-border acquisitions, while, conversely, domestic takeovers are found to be predominantly influenced by defensive and managerial motives such as size maximization.
The properties of daily stock returns and the ways in which some particular characteristics of these data affect event study methodologies are investigated by Brown and Warner (1985). Using the results from simulations, they conclude that methodologies based on the OLS market model and using standard parametric tests are well-specified under a variety of conditions. Further results indicate a striking similarity between the empirical power of the event study procedures and the theoretical power. Sykulski (2014) presents the concept of geopolitical risk as consisting of possible threats resulting from international competition between states for access to and use of natural resources, the expansion of their zones of political and economic influence, as well as competition for control of strategic areas. The author refers to international relations as cross-border relations between political entities and argues that there is a lack of central authority (a regulator) capable of managing the political life of international entities in an organized manner.

3. Data

Based on existing research, such as Campbell et al. (2012), the effect of an event is directly/immediately reflected on the stock prices (Campbell et al. 2012, p. 149). Consequently, the effect of geopolitical events has a direct economic impact on stock prices. In our data analysis design, we use the data series consisting of historical stock prices of firms in the Information Technology, Communication Services, and Consumer Staples sectors on the S&P 500 index.
Due to the large number of regressions needed and the heavy computational effort involved in calculating the expected stock returns for the 505 firms from all 11 sectors of the S&P 500 index, and over a large number of geopolitical events, we choose to randomly sample three economic sectors as follows: Information Technology, Communication Services, and Consumer Staples. This resulted in the analysis of 131 firms belonging to these three sectors.
Since not all firms are listed in the stock exchange since 1962, for each event, a subset of firms is available to be averaged in order to calculate the AR. For example, one of the firms under study was The Hershey Company (ticker: HSY) which belongs in the Consumer Staples sector of the S&P 500 index. Hershey has been listed in the stock market since 17 March 1980, according to the Yahoo! Finance historical database (Yahoo! Finance 2020). Therefore, for this company, we have not been able to perform the event study steps for the events of interest preceding 17 March 1980.
The firms’ daily return historical data are collected for each of the sampled firms from Yahoo! Finance (Yahoo! Finance 2020). This source is chosen to minimize the effort of creating primary data while leveraging on the already existing free and up-to-date database of Yahoo! Finance. Moreover, this database includes a vast amount of historical information for indexes as well as individual stocks which would be of key importance for this study. Since the sampled companies in the S&P 500 from the selected economic sectors have available stock price data starting in 1962 (at the earliest), the choice is made to investigate only the impact of geopolitical risk on the U.S. equities between 1962 and 2020.
After successfully collecting the stock and index price data, the focus of data collection shifts to the GPR index historic values. Based on the study carried out by Caldara and Iacoviello on the GPR index (Caldara and Iacoviello 2018), the data are collected from the outcome of that study. On their website, they have been continuously providing an updated version of the GPR index on a monthly as well as a daily basis. Moreover, they have been creating charts, illustrating the actual events associated with each GPR spike (Caldara and Iacoviello 2020). Within the scope of this study, the selection of geopolitical events under study is limited to the named and highlighted events found in the historical GPR index charts, which in total accounted for 73 events, ranging from 1900 until 2020. However, due to the availability of individual stock data from 1962, the focus of this study is the events starting from 1962, and as a result, we ignore previous events before 1962. This results in 58 events, starting from 1962.
In line with the second step from Campbell et al. (2012), we define, as events of interest, the 58 geopolitical events between 1962 until 2020 from Caldara and Iacoviello’s historical GPR chart (Caldara and Iacoviello 2020). Each event is connected to a specific date when the GPR index spiked. Descriptive Statistics for the daily-returns of the sampled firms for the event “Moscow theater hostage crisis” for the (−10,10) event window are given in the Appendix A (see Table A1). A list of geopolitical events from 1962–2020 is given in the Appendix A (Table A2). The average abnormal returns and cumulative average abnormal returns for the three sectors for the same event and event window can be found in Table A3 of Appendix A.
To perform the event study analysis in our research, we followed the seven systematic steps as presented by Campbell et al. (2012).
According to Campbell et al. (2012), the first step is captured as follows: “The initial step when performing an event study is to define the events of interest and the timespan in which the security’s price will be examined, also known as the event window”.
For the event study timeline, the framework shown in Figure 2 is chosen (MacKinlay 1997).
For each of the events, we define T0 to denote the start of the estimation window, and T1 as the end of the estimation window. The duration of the estimation window is then represented as (T0,T1). Then, T1+1 is defined as the start of the event window, “0” is set as the event date that the GPR index spiked, and T2 is set as the end of the event window. The duration of the event window is then represented as (T1+1,T2). For this study, four different event windows are chosen to keep the scope to a manageable level. For the first scenario (−3,3), T1+1 is set to 3 days before the event date, and T2 is set to 3 days after the event in order to capture short-term reactions before and after the actual event. Then, a (0,5) event window is selected to capture only post-event fluctuations in the share prices. The (0,1) event window is chosen to capture the immediate impact of the event after its occurrence. Finally, a (−10,10) window is chosen to cover the case where early information leakages have started to adjust the market price before the actual event. Descriptive statistics for the S&P 500 index, Information Technology, Communication Services, and Consumer Staples sectors for estimation period and event windows are given in Table 1.
To be more accurate, an event should have occurred 253 working days after the day a firm was listed in the stock market for us to be able to perform an event study analysis and calculate the AR for that firm. This is because we have chosen an estimation window of 253 days to capture a full calendar year before a particular event, as described in more detail. Table A4 in Appendix A captures the number of events that are possible to analyze for all 131 firms under investigation in the Information Technology, Communication Services, and Consumer Staples sectors.

4. Model

In this paper, we want to capture the effect of an event or GPR on stock return. If an event has an impact on the stock return, we may expect that the return of the stock will deviate from its normal return. Several methods such as the factor model, Capital Asset Pricing model (CAPM), Arbitrage Pricing Model (APT), constant mean return model, and market model could be used to measure the impact of GPR in a time series framework. In this paper, we study the impact of GPR on stock return, hence we may employ CAPM, APT, and the market model. The reason we chose this approach rather than other options (such as the constant mean return model and the asset pricing model) is because the market model has higher validity (Campbell et al. 2012). A vivid discussion on the model choice is to be found in (MacKinlay 1997). The market model according to MacKinlay (1997) can be written as follows:
R i t = α i + β i R m t + e i t
where E ( e i t ) = 0 and V a r ( e i t ) = σ e i 2 . The R i t denotes the return of a firm i at time t and R m t represents the return of the market ( m ) and time t . The expected value of (1) is:
E ( R i t ) = α i ^ + β ^ R m t
which is considered as a normal return of the stock i. The effect of an event can be reflected in stock return deviating from the normal return which we call abnormal return (MacKinlay 1997). Following Equation (2) above (MacKinlay 1997), which is in accordance with the third step from Campbell et al. (2012), we calculate the daily expected returns for each company based on the market model.
A R i τ = R i τ α i ^ + β ^ R m τ .  
The abnormal return A R i τ is the deviation from or disturbance term of the market model. The τ [ T 1 + 1 , T 2 ] which is an out of sample or the event window. Condition of the event window and under the null hypothesis A R i τ ~ ( 0 , σ ( A R i τ ) ) where:
σ ( A R i τ ) = σ e i 2 + 1 L 1 [ 1 + ( R m τ μ ^ m ) 2 σ m 2 ]
The L 1 is the length of the estimated window, μ ^ m = 1 L 1 τ = T 0 + 1 T i R m τ and V a r ( R m t ) = σ m 2 . The second part of the right-hand side approaches zero as L 1 increases. An observation of the abnormal return in a window under the null hypothesis is A R i τ ~ N ( 0 , σ ( A R i τ ) )   (MacKinlay 1997). In order to draw inferences for the event of interest, the abnormal return must be aggregated. We can aggregate over time and across firms. The sample cumulative abnormal return C A R i ( τ 1 , τ 2 ) over time is:
C A R i ( τ 1 , τ 2 ) = τ = τ 1 < T 1 τ 2 T 2 A R i τ
Asymptotically, the variance of cumulative abnormal return C A R i ( τ 1 , τ 2 ) is:
σ i 2 ( τ 1 , τ 2 ) = ( τ 2 τ 1 + 1 ) σ e i 2
This estimator of variance for the large sample can be used for reasonable values of L 1 . For a small sample, the variance of cumulative abnormal return should be adjusted for estimation error. Under the null hypothesis, the distribution of the cumulative abnormal return is:
C A R i ( τ 1 , τ 2 ) ~ N ( 0 , σ i 2 ( τ 1 , τ 2 ) ) .
For N events, the sample average abnormal return for an individual firm i and period τ is:
A A R t =   A R τ ¯ = 1 N i = 1 N   A R i τ
Additionally, for large L 1 , the corresponding variance is:
V A R ( A R τ ¯ ) = 1 N 2 i N σ e i 2    
The cumulative average abnormal return for n days within the event window τ is:
C A A R e = 1 n τ = τ 1 < T 1 τ 2 T 2   A A R τ  
A R (   C A R ¯ ( τ 1 , τ 2 ) ) = τ = τ 1 < T 1 τ 2 T 2 V A R (     A R τ ¯ ) .  
Alternatively, and equivalently, we can form CAARs firm by firm and the aggregate through time (MacKinlay 1997). Finally, after iterating through the 58 geopolitical events identified earlier in the study (from the spikes on the GPR index), the events that resulted in a statistically significant CAAR are recorded and passed to the final stage of the analysis. In the final stage, we calculate the historical average CAAR as follows:
HistoricalACAAR = 0 N e C A A R 0 N e
where Ne is the Number of events with statistically significant CAAR. Finally, the last step according to Campbell et al. (2012) is “Interpretation and insights from the results are made. Additional analyses may be necessary to single out relevant factors that affect the share prices”. This step is fulfilled in Section 5 (Empirical findings and Analysis).

4.1. Estimation Technique

The fourth step would be to set the estimation window according to Campbell et al. (2012) as follows: “After selecting the model, the parameters must be estimated by using data from before the event period, also known as the estimation window”.
The estimation window is the time period before the event window starts, during which data is gathered to estimate the expected returns during the event window. For our study, an estimation window of 253 days before the event window starts (T1) is chosen. This choice was made because there are, on average, 253 trading days in the year on which the U.S. stock market is open, and we want to capture a full-year ahead of an event in our analysis. By doing this, we guarantee that we have collected enough data for our market model to produce an accurate estimation of expected returns. To avoid any potential biases that the events of interest could introduce during the data collection process within the estimation window, we chose not to overlap the estimation window with the event window. From the framework presented in Figure 2, the duration between T0 and T1 was set to 253 days.

4.2. Testing Procedure

According to Campbell et al. (2012), the fifth step is as follows: “Once the estimation procedure was completed and the parameters estimated, the abnormal returns could be calculated. The framework in which the abnormal returns are tested must be designed and null hypothesis should be defined”.
To prove a causal relationship (or a covariation) between a geopolitical event and the stock returns, the results must be statistically significant (Ghauri and Grønhaug 2010, p. 83). To verify if the AAR for a given geopolitical event is statistically significant, a t-test according to Müller (2020) is performed as follows:
  A A R t v a l u e e = N A A R e S t d D e v A A R  
where:
AARtvaluee = Value of t-test for the AAR for event e;
StdDevAAR = Standard deviation of the AAR values within the estimation window;
N = the number of AR’s (from different firms) averaged to create the AAR for that date.
If the t-test of an AAR value results in an absolute value greater than 1.96 ( | A A R t v a l u e e | > 1.96 ), it implies that the specific AAR is statistically significant at 0.05. To verify if the CAAR for a given geopolitical event is statistically significant, a t-test according to Müller (2020) is performed as follows:
CAARtvalue e = C A A R e S t d D e v A A R × Number   of   days   in   the   event   window
where:
CAARtvaluee = Value of t-test for the CAAR for event e
StdDevAAR = Standard deviation of the AAR values within the estimation window
If the t-test of a CAAR value results in an absolute value greater than 1.96 ( | C A A R t v a l u e e | > 1.96 ), it implies that the specific CAAR is statistically significant at 0.05. To be able to test the null hypothesis for a given geopolitical event, a criterion was added. This criterion requires the CAAR for a given geopolitical event as well as at least 1 AAR within the event window to be statistically significant at 0.05.

5. Empirical Findings and Analysis

Since we consider four event windows and 58 geopolitical events in our study, Table A5 (Appendix A) captures the total number of regressions to be performed for a full S&P 500 index event study analysis. The difference between the possible number of regressions (117,160) and the actual number of regressions (73,140) is because some of the firms were not publicly listed when certain geopolitical events occurred. Table A6 (Appendix A) depicts both the possible number of regressions (30,392) and the actual number of regressions (17,388) performed within the scope of the study. This difference is due to the same reason as above. Therefore, for this study, more than 17,000 regressions were computed as part of the event study analysis.
In Figure 3, we visualize an example of the abnormal returns for Hershey within a (−3,3) event window for the Moscow theater hostage crisis (a geopolitical event that took place on 23 March 2002). The grey area in Figure 3 represents a part (subsection) of the estimation window. Within the estimation window, the necessary input (intercept— α i   , slope— β i ) from the market model (Equation (1)) is derived and based on that, the expected daily returns (including within the event window) for the firm are forecasted (represented by the dotted line with circle markers). The line with square markers in the graph (Figure 3) depicts the actual returns of the firm as obtained from the website of Yahoo! Finance (Yahoo! Finance 2020), while the line with triangle markers represents the difference between the actual and expected daily returns (also known as the abnormal returns), which is derived from Equation (3).
For illustration purposes, we divide the event window (−3,3) into two event sub-windows ((−3,0) and (0,3)), shown by the two light-blue background sections in Figure 3. The actual occurrence of the geopolitical event (the Moscow theater hostage crisis), also known as the “Event Date”, is captured between the two event sub-windows (and represented by the light-green background in Figure 3). After capturing the returns within the event window for this event we calculate the average abnormal returns for each day within the event window (−3,3).
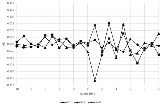
To visualize the abnormal returns (AR) as well as the cumulative abnormal returns (CAR) of individual firms during a geopolitical event and within an event window, we make use of Equations (3) and (5), respectively. An example of AR and CAR results for three firms, with one firm each from the individual sectors under study is presented in Figure A1 and Figure A2, respectively. In this example, we have used Apple (ticker:AAPL) from the Information Technology sector, Disney (ticker:DIS) from the Communications Services sector, and Coca-Cola (ticker:KO) from the Consumer Staples sector.
To calculate the CAAR per geopolitical event for the Information Technology, Communication Services, and Consumer Staples sectors, we average (for each geopolitical event) the statistically significant AR values for all companies within the sectors (Information Technology, Communication Services, and Consumer Staples). The final results consist of the calculation and presentation of the Historical Average CAAR (using Equation (12)) for the Information Technology, Communication Services, and Consumer Staples sectors. This is achieved by averaging the individual geopolitical event’s Information Technology, Communication Services, and Consumer Staples CAAR values for different events.
Table 2 below depicts the final results and descriptive statistics for this study. The number of statistically significant events per sector and event window is presented, as well as the average, min, max, and standard deviation of the CAAR values for the Information Technology, Communication Services, and Consumer Staples sectors.
The percentage of events with statistically significant CAAR results (per event window) for the Information Technology, Communication Services, and Consumer Staples sectors is presented in Figure A4.
By examining Table 2 and Figure A3, and specifically looking at the Historical Sector Average CAAR results, it becomes clear that there are different responses on the daily returns of stocks belonging to the Information Technology, Communication Services, or the Consumer Staples sectors. The Historical Sector Average CAAR of the Information Technology sector is negative for all event windows, except the (−10,10) event window. The Communication Services sector has positive returns as a result of geopolitical events for all event windows, except the (0,5) event window. Finally, the Consumer Staples sector shows a negative impact on geopolitical risk for all event windows except the (0,5) window, demonstrating a negative correlation to the Communication Services sector.
To understand the distribution of the results, we use the standard deviations of the Historical Average CAARs for the three sectors per event window. It is clear from Table 2 that the standard deviations of all three sectors increase in the (−10,10) event window compared to the other event windows. We also observe that the Information Technology sector has the worst negative impact as a result of geopolitical events compared to the Consumer Staples sector for all event windows, when examining the Historical Min CAAR. Finally, when examining the Historical Max CAAR, the results show that the Information Technology sector has the worst negative impact as a result of geopolitical events compared to the other sectors for the (−3,3) and (0,5) event windows, while for the (0,1) and (−10,10) event windows, it has the most positive impact from geopolitical events.
From the result, we observe the impact of geopolitical risk/events on the three different sectors is non-uniform when considering the Historical Sector Average CAAR across four event windows. This is in line with the findings of Caldara and Iacoviello (2018) and Iacoviello (2020), whose results point to an asymmetric (non-uniform) impact of geopolitical risk between industries—something that we also validate with our results. Furthermore, our results from studying the impact of geopolitical events on the Information Technology sector contradict the results of Mazura et al. (2020), and Dranev et al. (2019). However, we note that their research focused on different kinds of risks (COVID-19 and M&A, respectively) than the geopolitical risk that we are researching on. Additionally, our results from studying the impact of geopolitical events on the Communication Services sector contradicts the results of Jeon et al. (2020) and Park et al. (2002). However, we note that their research focused on different kinds of risks (introduction of 5G technology and M&A, respectively) than the geopolitical risk that we are researching on. Finally, our results obtained from studying the impact of geopolitical events on the Consumer Staples sector agrees with the results of Seo et al. (2013) and Atems et al. (2020) in the short run. We also note here that their research focused on risks of a different nature (food safety events and a natural weather phenomenon, respectively) than the geopolitical risk that we are researching.
Figure A4 summarizes the percentages of events that generated statistically significant CAAR for the Information Technology, Communication Services, and the Consumer Staples sectors across all four event windows. In particular, we observe that the Consumer Staples sector the highest number of events with statistically significant CAAR for the (−3,3) and (0,1) event windows compared to the other two sectors; at the same time, for the (0,5), and (−10,10) event windows, it has the least number of events with statistically significant CAAR compared to the other two sectors. On the other hand, the Communication Services sector has the highest number of events with statistically significant CAAR for the (0,5), and (−10,10) event windows compared to the other two sectors; at the same time, for the (−3,3) and (0,1) event windows, it has the least number of events with statistically significant CAAR compared to the other two sectors.
Our results have high validity because we ran the event study procedure over multiple event windows ((−3–3), (0,5), (0,1), and (−10,10)) with different interval durations (7 days, 6 days, 2 days, and 21 days, respectively), to capture the abnormal stock returns.
The results of our study are highly reliable for the following reasons: First, we chose an estimation window of 253 days to guarantee that we have collected enough data for the market model to produce an accurate estimation of expected returns. Second, we limited potential bias and improved the reliability and robustness of our results by performing the event study that applies the same parameters and repeats the same procedures on firms in the Information Technology, Communication Services, and Consumer Staples sectors. Third, we were also able to improve the reliability of our results by choosing not to overlap the estimation window with the event window, thereby reducing potential biases that the events of interest could have introduced within the estimation window.
Our results are ethically sound and objective because, during the process of obtaining these results, we collected public data after which we used strict and consistent procedures to analyze the data following the seven systematic steps of the event study analysis as presented by Campbell et al. (2012). Additionally, we prevented ethical issues by clearly defining the period of 1962–2020 as the observed period we consider for geopolitical events in this study.

6. Discussion

We began this study intending to explore the impact of geopolitical risk on the stock returns of the Information Technology, Communication Services, and Consumer Staples sector firms belonging to the U.S. S&P 500 index and compare the GPR impact between these sector returns. Geopolitical risk is a result of uncertainty introduced by geopolitical events, and we captured these events using the benchmark GPR index of Caldara and Iacoviello (2018). We have been able to measure this impact using the event study analysis tool (MacKinlay 1997; Campbell et al. 2012) which includes a longitudinal study of events from 1962 to 2020, and an evaluation of the average Historical CAAR results of the Information Technology, Communication Services, and Consumer Staples sectors from the historical stock prices of Information Technology, Communication Services, and Consumer Staples sectors firms belonging to the S&P 500 index. The event study makes use of the efficient market hypothesis which helps in analyzing the impact that geopolitical risk has on the Information Technology, Communication Services, and the Consumer Staples sectors.
The data for our study are collected from publicly available websites such as Yahoo! Finance (2020) and Slickcharts (2020). We also employed the quantitative empirical analysis as the preferred method in our study to analyze the data and followed the seven systematic steps of the event study methodology to quantitatively measure the operationalized variables (across multiple event windows with different interval durations). The above approaches strengthen the validity, robustness, reliability and ethics as well as the soundness of our results.
Our results are in tandem with the conclusions made by Caldara and Iacoviello (2018) and Iacoviello (2020), stipulating the asymmetric impact of geopolitical risk between the stock returns of different industries, where a sector (which is the area of our investigation) is a collection of industries. Our results also agree with those of Seo et al. (2013) and Atems et al. (2020) in the short run on their research about the Consumer Staples sector. However, our results do contradict the results of Mazura et al. (2020) and Dranev et al. (2019), and those of Jeon et al. (2020) and Park et al. (2002) who conducted research on the Information Technology and Communication Services sectors, respectively.
The results of our study can be generalized to other settings in terms of stock exchanges, firm economic sectors, and geography, as long as they closely resemble the S&P 500 index as a market.

6.1. Contributions, Implications, and Applications

In our study, we investigate the effect that geopolitical risk has on the daily abnormal returns of the Information Technology, Communication Services, and Consumer Staples sector firms within the U.S. S&P 500 index. The main contribution of our study is that we use the event study methodology and perform more than 17,000 regressions to provide empirical evidence at sector level (and not at industry level) that geopolitical risk leads to different responses across the Information Technology, Communication Services, and Consumer Staples sectors. This complements the results from Caldara and Iacoviello (2018), who use the VAR model to analyze the impact of geopolitical risk on an industry-level.
The results of our study have some implications. In the short run (for the (−3,3), (0,1), and (0,5) event windows), the Information Technology sector appears to have the worst impact from geopolitical events compared to the Communication Services and Consumer Staples sectors. However, in the long run (the (−10,10) event window), geopolitical events have a positive impact on the Information Technology sector. Additionally, the Communication Services sector has an overall positive response to geopolitical risk in contrast to the Consumer Staples sector in the (−3,3), (0,1), and (−10,10) event windows. However, there is an opposite effect in the (0,5) event window where the Consumer Staples sector has a positive response to geopolitical risk in contrast to the Communication Services sector.
Another element of the implications of our study is that our results are ethically sound for the following reasons: First, we rigorously followed the seven systematic steps involved in event study during our data analysis exercise, such that our analysis is identical and consistent for all firms, leading to objective findings, conclusions and interpretations. Second, the use of publicly available data makes our study reproducible and avoids ethical implications that could arise as a result of the use of private data.
Our results also have some real-life and practical applications as follows: Companies within the Information Technology, Communication Services, and Consumer Staples sectors in the U.S. can intentionally study geopolitical events to determine how their stock prices could react whenever these uncertain events occur.
Furthermore, geopolitical risk is often a major cause of concern to company stakeholders, which includes policymakers, corporations, financial investors, politicians, etc. In particular, investors can decide to buy Information Technology stocks when a geopolitical event occurs due to the initial negative impact it has on the stock prices of the firms within this sector (since the Information Technology firms’ stocks will be trading at a discount compared to their future prices (for example, 10 days after the event occurs)).

6.2. Shortcomings/Limitations and Suggestions for Future Research

Although we do not see any obvious shortcomings from the methods used in our study, we do, however, observe some limitations, especially relating to the scope of our study. Some of these limitations are presented below and form the basis of future research.
We have employed the event study methodology and used the market model to measure the impact of geopolitical risk on the stock returns of the Information Technology and Communication Services, and Consumer Staples sectors’ firms in the U.S. S&P 500 index. Future research could employ the Capital Asset Pricing Model (CAPM) (Campbell et al. 2012, pp. 181–84; Berk and DeMarzo 2017, pp. 417–24) instead to quantify the impact of geopolitical risk on the stock returns of the Information Technology, Communication Services, and Consumer Staples sectors. The results of the CAPM study can be compared with our results in an effort to determine whether similar or dissimilar results can be obtained.
Caldara and Iacoviello (2018) find that while the realization of adverse geopolitical events leads to smaller economic effects because the uncertainty is usually addressed and resolved, the shocks of geopolitical threats are usually protracted, leading to a rise in uncertainty and adverse economic activity. Future research might therefore include an event study measuring the impact of geopolitical risk on stocks, focusing on the events dates when the threats were initiated.
Modern technologies such as machine learning analysis, distributed ledger technology, block chains, and cryptocurrencies are currently being used to forecast the impact of certain risks on stock returns. Future research might include using these methods to investigate the impact of geopolitical risk on stock returns.
Finally, further studies may investigate the impact of geopolitical risk on the stocks of small and medium-sized enterprises (SMEs) in the U.S. stock market. Furthermore, additional research can be performed to evaluate the impact of geopolitical risk on the stock returns of other economic sectors within the S&P 500 index such as Health, Financials, Real Estate, etc. Additionally, this study is about the U.S. equity market, which has a western context. Further studies may research the impact of geopolitical risk on the stock returns of firms within a non-Western stock index such as the Shanghai Composite Index in China.

Author Contributions

G.A.F. and V.C.V. co-wrote the paper. A.M.M.S.Q. supervised the paper and contributed to the literature review, method, and data analysis. All authors have read and agreed to the published version of the manuscript.

Funding

This research received no external funding.

Institutional Review Board Statement

Not applicable.

Informed Consent Statement

Not applicable.

Data Availability Statement

Data is available on request from the authors.

Conflicts of Interest

The authors declare no conflict of interest.

Appendix A

Table A1. Table of Descriptive Statistics for the normal returns of the 3 sectors (“Moscow theater hostage crisis” Geopolitical event) and event window (−10,10)).
Table A1. Table of Descriptive Statistics for the normal returns of the 3 sectors (“Moscow theater hostage crisis” Geopolitical event) and event window (−10,10)).
TickersCompanySectorMeanStd. Dev.MaximumMinimum
S&P 500S&P 500 Index 0.030%0.960%4.959%−3.298%
ATVIActivision BlizzardCommunication Services0.066%3.608%11.707%−9.547%
GOOGLAlphabet Inc. (Class A)Communication ServicesNANANANA
GOOGAlphabet Inc. (Class C)Communication ServicesNANANANA
TAT&T Inc.Communication Services−0.279%2.459%8.028%−10.195%
CHTRCharter CommunicationsCommunication ServicesNANANANA
CMCSAComcast Corp.Communication Services−0.234%3.413%15.257%−12.890%
DISCADiscovery, Inc. (Class A)Communication ServicesNANANANA
DISCKDiscovery, Inc. (Class C)Communication ServicesNANANANA
DISHDish NetworkCommunication Services−0.078%3.228%13.217%−10.884%
EAElectronic ArtsCommunication Services0.170%2.835%11.393%−8.103%
FBFacebook, Inc.Communication ServicesNANANANA
FOXAFox Corporation (Class A)Communication ServicesNANANANA
FOXFox Corporation (Class B)Communication ServicesNANANANA
IPGInterpublic GroupCommunication Services−0.050%4.087%20.522%−23.831%
LYVLive Nation EntertainmentCommunication ServicesNANANANA
LUMNLumen TechnologiesCommunication ServicesNANANANA
NFLXNetflix Inc.Communication ServicesNANANANA
NWSANews Corp. Class ACommunication ServicesNANANANA
NWSNews Corp. Class BCommunication ServicesNANANANA
OMCOmnicom GroupCommunication Services−0.055%3.307%12.900%−19.701%
TMUST-Mobile USCommunication ServicesNANANANA
TTWOTake-Two InteractiveCommunication Services0.569%5.043%31.268%−31.362%
TWTRTwitter, Inc.Communication ServicesNANANANA
VZVerizon CommunicationsCommunication Services−0.174%2.504%9.272%−11.846%
VIACViacomCBSCommunication ServicesNANANANA
DISThe Walt Disney CompanyCommunication Services−0.068%2.770%8.437%−9.031%
MOAltria Group Inc.Consumer Staples−0.11%2.01%5.44%−11.40%
ADMArcher-Daniels-Midland CoConsumer Staples0.02%1.77%7.44%−8.53%
BF.BBrown-Forman Corp.Consumer StaplesNANANANA
CPBCampbell SoupConsumer Staples−0.07%1.58%4.99%−6.10%
CHDChurch & DwightConsumer Staples0.11%1.96%9.31%−7.25%
CLXThe Clorox CompanyConsumer Staples0.06%1.69%5.87%−5.35%
KOCoca-Cola CompanyConsumer Staples0.07%1.62%5.36%−5.93%
CLColgate-PalmoliveConsumer Staples−0.01%1.56%5.91%−6.58%
CAGConagra BrandsConsumer Staples0.04%1.52%5.10%−7.62%
STZConstellation BrandsConsumer Staples0.08%2.59%14.87%−13.20%
COSTCostco Wholesale Corp.Consumer Staples−0.02%2.41%9.77%−6.68%
ELEstée Lauder CompaniesConsumer Staples−0.06%1.95%5.70%−8.71%
GISGeneral MillsConsumer Staples0.02%1.67%4.17%−10.59%
HSYThe Hershey CompanyConsumer Staples0.01%2.13%25.28%−11.94%
HRLHormel Foods Corp.Consumer Staples0.00%1.68%5.25%−7.30%
SJMJM SmuckerConsumer Staples0.11%2.49%20.32%−4.82%
KKellogg Co.Consumer Staples0.09%1.63%7.43%−3.75%
KMBKimberly-ClarkConsumer Staples−0.03%1.45%5.68%−7.46%
KHCKraft Heinz CoConsumer StaplesNANANANA
KRKroger Co.Consumer Staples−0.23%2.09%5.65%−14.51%
LWLamb Weston Holdings Inc.Consumer StaplesNANANANA
MKCMcCormick & Co.Consumer Staples0.04%1.59%6.99%−5.11%
TAPMolson Coors Beverage CompanyConsumer Staples0.13%1.71%7.96%−7.28%
MDLZMondelez InternationalConsumer Staples0.05%1.68%5.98%−7.41%
MNSTMonster BeverageConsumer Staples0.10%3.10%13.33%−16.00%
PEPPepsiCo Inc.Consumer Staples−0.05%2.02%14.87%−10.17%
PMPhilip Morris InternationalConsumer StaplesNANANANA
PGProcter & GambleConsumer Staples0.09%1.51%4.53%−7.38%
SYYSysco Corp.Consumer Staples0.07%1.81%6.83%−5.43%
TSNTyson FoodsConsumer Staples0.07%2.78%12.97%−9.16%
WMTWalmartConsumer Staples0.02%1.94%8.03%−6.66%
WBAWalgreens Boots AllianceConsumer Staples−0.01%1.90%6.01%−9.24%
ACNAccenture plcInformation Technology0.0005540.0382130.108998−0.11842
ADBEAdobe Inc.Information Technology−0.000530.0420370.139202−0.29758
AMDAdvanced Micro Devices Inc.Information Technology−0.002080.0521980.181818−0.32402
AKAMAkamai Technologies Inc.Information Technology−0.004530.063340.22884−0.19205
APHAmphenol CorpInformation Technology−0.000640.0244930.101449−0.08636
ADIAnalog Devices, Inc.Information Technology−0.002030.0406350.11771−0.0996
ANSSANSYSInformation Technology0.0001290.0391310.132035−0.10498
AAPLApple Inc.Information Technology−0.000140.0319710.084557−0.15037
AMATApplied Materials Inc.Information Technology−0.000770.0423850.145161−0.14018
ANETArista NetworksInformation TechnologyNANANANA
ADSKAutodesk Inc.Information Technology−0.000890.0317860.095938−0.18718
ADPAutomatic Data ProcessingInformation Technology−0.000940.0245060.057002−0.23579
AVGOBroadcom Inc.Information TechnologyNANANANA
BRBroadridge Financial SolutionsInformation TechnologyNANANANA
CDNSCadence Design SystemsInformation Technology−0.001870.0337920.121036−0.18216
CDWCDWInformation TechnologyNANANANA
CSCOCisco SystemsInformation Technology−0.001410.0395940.243884−0.11306
CTXSCitrix SystemsInformation Technology−0.004440.0438990.156762−0.17753
CTSHCognizant Technology SolutionsInformation Technology0.0038750.0399190.186666−0.16814
GLWCorning Inc.Information Technology−0.005890.0579670.183024−0.35223
DXCDXC TechnologyInformation Technology−0.000370.0334760.180907−0.16098
FFIVF5 NetworksInformation Technology6.13 × 10−50.0602550.155556−0.2027
FISFidelity National Information ServicesInformation Technology−0.000730.0312240.123341−0.32746
FISVFiserv Inc.Information Technology−0.001040.0277760.089539−0.13368
FLTFleetCor Technologies Inc.Information TechnologyNANANANA
FLIRFLIR SystemsInformation Technology−0.000230.039210.137449−0.16223
FTNTFortinetInformation TechnologyNANANANA
ITGartner Inc.Information Technology−0.000740.0357870.13396−0.11917
GPNGlobal Payments Inc.Information Technology−0.000270.0307080.111255−0.14912
HPEHewlett Packard EnterpriseInformation TechnologyNANANANA
HPQHP Inc.Information Technology−0.00090.0319230.172883−0.06552
INTCIntel Corp.Information Technology−0.001320.0370140.108222−0.18519
IBMInternational Business MachinesInformation Technology−0.001870.0232090.077778−0.10118
INTUIntuit Inc.Information Technology0.0013860.0296490.108777−0.07632
IPGPIPG Photonics Corp.Information TechnologyNANANANA
JKHYJack Henry & AssociatesInformation Technology−0.002990.0343980.128923−0.26792
JNPRJuniper NetworksInformation Technology−0.003110.0580290.265625−0.18442
KEYSKeysight TechnologiesInformation TechnologyNANANANA
KLACKLA CorporationInformation Technology−5.6 × 10−50.0408250.154486−0.09582
LRCXLam ResearchInformation Technology−0.002620.0440310.122459−0.14244
LDOSLeidos HoldingsInformation TechnologyNANANANA
MAMastercard Inc.Information TechnologyNANANANA
MXIMMaxim Integrated Products Inc.Information Technology−0.001680.0412770.121053−0.11819
MCHPMicrochip TechnologyInformation Technology0.0009760.0402820.140351−0.10277
MUMicron TechnologyInformation Technology−0.001020.04640.128771−0.14915
MSFTMicrosoft Corp.Information Technology−0.000630.026540.111178−0.09472
MSIMotorola Solutions Inc.Information Technology−0.001630.0329050.109174−0.10509
NTAPNetAppInformation Technology−0.000140.0644950.276596−0.16574
NLOKNortonLifeLockInformation TechnologyNANANANA
NVDANvidia CorporationInformation Technology−0.004280.0546420.183349−0.31751
ORCLOracle Corp.Information Technology−0.001440.0397020.113768−0.14509
PAYXPaychex Inc.Information Technology−0.000730.0293680.097397−0.13182
PAYCPaycomInformation TechnologyNANANANA
PYPLPayPalInformation TechnologyNANANANA
QRVOQorvoInformation TechnologyNANANANA
QCOMQUALCOMM Inc.Information Technology−0.000320.0411670.186694−0.11856
CRMSalesforce.comInformation TechnologyNANANANA
STXSeagate TechnologyInformation TechnologyNANANANA
NOWServiceNowInformation TechnologyNANANANA
SWKSSkyworks SolutionsInformation Technology−0.003840.0694760.242924−0.20875
SNPSSynopsys Inc.Information Technology−0.000430.0280260.104531−0.08713
TELTE Connectivity Ltd.Information TechnologyNANANANA
TERTeradyneInformation Technology−0.003050.0457210.140481−0.15034
TXNTexas InstrumentsInformation Technology−0.001920.0370690.112323−0.08863
TYLTyler TechnologiesInformation Technology0.0017190.0393320.14375−0.11837
VRSNVerisign Inc.Information Technology−0.007060.0680250.27619−0.45779
VVisa Inc.Information TechnologyNANANANA
VNTVontierInformation TechnologyNANANANA
WDCWestern DigitalInformation Technology0.0039720.0578950.277473−0.20918
WUWestern Union CoInformation TechnologyNANANANA
XRXXeroxInformation Technology−0.000980.0433950.158878−0.25
XLNXXilinxInformation Technology−0.001410.0488010.150455−0.12053
ZBRAZebra TechnologiesInformation Technology0.0010420.0249910.163879−0.06394
Table A2. List of geopolitical events 1962–2020.
Table A2. List of geopolitical events 1962–2020.
NameStart Date (MM/DD/YYYY)
Cuban Missile Crisis10/1/1962
Escalation of Vietnam War2/1/1963
Tensions Middle East pre Six-Day War5/1/1967
Six Day War6/1/1967
Tet Offensive2/1/1968
Vietnam War: Operation Jefferson Glenn9/1/1970
Vietnam War: First Battle of Quảng Trị5/1/1972
Munich Massacre9/1/1972
Yom Kippur War10/1/1973
Grain Embargo against USSR1/1/1980
Falklands War begins4/1/1982
Lebanon and Falklands War6/1/1982
Able Archer 8312/1/1983
TWA Hijacking6/1/1985
Rome and Vienna terror attacks1/1/1986
US bombs Lybia4/15/1986
Tear down this wall speech6/12/1987
Mecca incident8/1/1987
Lockerbie bombing12/21/1988
Fall of Berlin Wall11/9/1989
Revolutions of 198912/1/1989
Kuwait Invasion8/2/1990
Gulf War8/2/1990
Gorbachev ousted10/1/1991
Oklahoma City Bombing4/19/1995
Taiwan strait crisis2/1/1996
Iraq refuses UN inspectors3/1/1996
Iraq disarmament crisis7/1/1996
1998 U.S. embassy bombings8/7/1998
Russian apartment bombings9/4/1999
USS Cole Bombings, 2nd Intifada10/12/2000
“9/11”9/11/2001
U.S. Invasion of Afghanistan10/7/2001
U.S. names sponsors of terror3/1/2002
Moscow theater hostage crisis10/23/2002
Moscow theater hostage crisis11/1/2002
Before Iraq Invasion2/1/2003
Iraq Invasion3/20/2003
Madrid bombings3/11/2004
Beslan school siege9/1/2004
London bombings7/7/2005
Tensions over Iran and nuclear treaty7/1/2006
2006 transatlantic aircraft plot8/1/2006
Obama announces surge Afghanistan12/1/2009
Arab Spring: Mubarak resigns2/11/2011
Arab Spring: Syrian Civil War and Lybian Civil War3/1/2011
North Korean satellite explodes4/12/2012
Boston Marathon Bombings4/15/2013
Westgate shopping mall attack, Nairobi9/21/2013
Russia annexes Crimea3/1/2014
Missile hits plane in Ukraine7/1/2014
Ukraine and ISIS8/1/2014
Paris Attacks11/13/2015
San Bernardino Shootings12/2/2015
Syrian tensions4/1/2018
U.S.–Iran tensions7/1/2018
U.S.–Iran tensions6/1/2019
U.S.–China tensions8/1/2019
Table A3. Average abnormal returns and cumulative average abnormal returns for the Information Technology, Communication Services, and Consumer Staples sectors for the “Moscow theater hostage crisis” geopolitical event and event window (−10,10).
Table A3. Average abnormal returns and cumulative average abnormal returns for the Information Technology, Communication Services, and Consumer Staples sectors for the “Moscow theater hostage crisis” geopolitical event and event window (−10,10).
“Moscow Theater Hostage Crisis” Geopolitical Event
Information TechnologyCommunication ServicesConsumer Staples
Event DayAARCAARAARCAARAARCAAR
−102.614%2.614%1.293%1.293%−0.972%−0.972%
−91.004%3.618%1.281%2.573%−0.756%−1.728%
−81.133%4.751%−0.609%1.964%−0.147%−1.875%
−70.039%4.790%−0.854%1.110%1.346%−0.529%
−60.112%4.902%−2.391%−1.281%−0.826%−1.355%
−5−2.509%2.394%0.690%−0.591%−0.253%−1.608%
−43.111%5.505%−4.123%−4.714%−0.774%−2.383%
−30.273%5.778%−0.598%−5.312%0.606%−1.777%
−23.013%8.792%0.645%−4.667%1.063%−0.714%
−1−1.099%7.692%0.857%−3.810%−1.153%−1.867%
02.410%10.102%1.769%−2.041%−0.148%−2.015%
11.195%11.297%0.080%−1.961%−0.408%−2.422%
20.611%11.908%−2.031%−3.992%−0.080%−2.502%
30.647%12.555%−1.360%−5.352%−1.391%−3.893%
4−1.706%10.848%0.496%−4.856%1.302%−2.591%
52.045%12.893%0.858%−3.998%−0.656%−3.248%
61.182%14.075%0.075%−3.923%0.185%−3.063%
72.159%16.234%0.614%−3.309%−0.318%−3.381%
82.642%18.876%2.759%−0.550%−2.418%−5.799%
9−1.258%17.618%−0.105%−0.655%0.099%−5.699%
101.959%19.577%0.053%−0.603%−0.698%−6.398%
Table A4. Number of events per firm in the Information Technology, Communication Services, and Consumer Staples sectors included in the event study.
Table A4. Number of events per firm in the Information Technology, Communication Services, and Consumer Staples sectors included in the event study.
TickersCompanySectorNumber of Events
ATVIActivision BlizzardCommunication Services34
GOOGLAlphabet Inc. (Class A)Communication Services19
GOOGAlphabet Inc. (Class C)Communication Services19
TAT&T Inc.Communication Services46
CHTRCharter CommunicationsCommunication Services14
CMCSAComcast Corp.Communication Services48
DISCADiscovery, Inc. (Class A)Communication Services17
DISCKDiscovery, Inc. (Class C)Communication Services15
DISHDish NetworkCommunication Services33
EAElectronic ArtsCommunication Services39
FBFacebook, Inc.Communication Services11
FOXAFox Corporation (Class A)Communication Services2
FOXFox Corporation (Class B)Communication Services2
IPGInterpublic GroupCommunication Services48
LYVLive Nation EntertainmentCommunication Services17
LUMNLumen TechnologiesCommunication Services0
NFLXNetflix Inc.Communication Services24
NWSANews Corp. Class ACommunication Services10
NWSNews Corp. Class BCommunication Services10
OMCOmnicom GroupCommunication Services48
TMUST-Mobile USCommunication Services15
TTWOTake-Two InteractiveCommunication Services30
TWTRTwitter, Inc.Communication Services9
VZVerizon CommunicationsCommunication Services46
VIACViacomCBSCommunication Services17
DISThe Walt Disney CompanyCommunication Services58
MOAltria Group Inc.Consumer Staples58
ADMArcher-Daniels-Midland Co.Consumer Staples48
BF.BBrown-Forman Corp.Consumer Staples48
CPBCampbell SoupConsumer Staples50
CHDChurch & DwightConsumer Staples48
CLXThe Clorox CompanyConsumer Staples50
KOCoca-Cola CompanyConsumer Staples58
CLColgate-PalmoliveConsumer Staples50
CAGConagra BrandsConsumer Staples48
STZConstellation BrandsConsumer Staples34
COSTCostco Wholesale Corp.Consumer Staples42
ELEstée Lauder CompaniesConsumer Staples33
GISGeneral MillsConsumer Staples48
HSYThe Hershey CompanyConsumer Staples48
HRLHormel Foods Corp.Consumer Staples48
SJMJM SmuckerConsumer Staples34
KKellogg Co.Consumer Staples50
KMBKimberly ClarkConsumer Staples48
KHCKraft Heinz Co.Consumer Staples6
KRKroger Co.Consumer Staples49
LWLamb Weston Holdings Inc.Consumer Staples4
MKCMcCormick & Co.Consumer Staples50
TAPMolson Coors Beverage CompanyConsumer Staples49
MDLZMondelez InternationalConsumer Staples27
MNSTMonster BeverageConsumer Staples44
PEPPepsiCo Inc.Consumer Staples51
PMPhilip Morris InternationalConsumer Staples15
PGProcter & GambleConsumer Staples58
SYYSysco Corp.Consumer Staples50
TSNTyson FoodsConsumer Staples48
WMTWalmartConsumer Staples51
WBAWalgreens Boots AllianceConsumer Staples48
CANAccenture plcInformation Technology27
ADBEAdobe Inc.Information Technology42
AMDAdvanced Micro Devices Inc.Information Technology48
AKAMAkamai Technologies Inc.Information Technology28
APHAmphenol Corp.Information Technology34
ADIAnalog Devices, Inc.Information Technology48
ANSSANSYSInformation Technology31
AAPLApple Inc.Information Technology48
AMATApplied Materials Inc.Information Technology48
ANETArista NetworksInformation Technology8
ADSKAutodesk Inc.Information Technology44
ADPAutomatic Data ProcessingInformation Technology48
AVGOBroadcom Inc.Information Technology15
BRBroadridge Financial SolutionsInformation Technology15
CDNSCadence Design SystemsInformation Technology42
CDWCDWInformation Technology10
CSCOCisco SystemsInformation Technology37
CTXSCitrix SystemsInformation Technology33
CTSHCognizant Technology SolutionsInformation Technology30
GLWCorning Inc.Information Technology48
DXCDXC TechnologyInformation Technology51
FFIVF5 NetworksInformation Technology29
FISFidelity National Information ServicesInformation Technology27
FISVFiserv Inc.Information Technology42
FLTFleetCor Technologies Inc.Information Technology14
FLIRFLIR SystemsInformation Technology34
FTNTFortinetInformation Technology15
ITGartner Inc.Information Technology34
GPNGlobal Payments Inc.Information Technology27
HPEHewlett Packard EnterpriseInformation Technology6
HPQHP Inc.Information Technology58
INTCIntel Corp.Information Technology48
IBMInternational Business MachinesInformation Technology58
INTUIntuit Inc.Information Technology34
IPGPIPG Photonics Corp.Information Technology15
JKHYJack Henry & AssociatesInformation Technology44
JNPRJuniper NetworksInformation Technology29
KEYSKeysight TechnologiesInformation Technology6
KLACKLA CorporationInformation Technology48
LRCXLam ResearchInformation Technology45
LDOSLeidos HoldingsInformation Technology15
MAMastercard Inc.Information Technology17
MXIMMaxim Integrated Products Inc.Information Technology40
MCHPMicrochip TechnologyInformation Technology34
MUMicron TechnologyInformation Technology45
MSFTMicrosoft Corp.Information Technology43
MSIMotorola Solutions Inc.Information Technology49
NTAPNetAppInformation Technology33
NLOKNortonLifeLockInformation Technology2
NVDANvidia CorporationInformation Technology29
ORCLOracle Corp.Information Technology43
PAYXPaychex Inc.Information Technology46
PAYCPaycomInformation Technology8
PYPLPayPalInformation Technology6
QRVOQorvoInformation Technology6
QCOMQUALCOMM Inc.Information Technology34
CRMSalesforce.comInformation Technology19
STXSeagate TechnologyInformation Technology22
NOWServiceNowInformation Technology11
SWKSSkyworks SolutionsInformation Technology45
SNPSSynopsys Inc.Information Technology34
TELTE Connectivity Ltd.Information Technology15
TERTeradyneInformation Technology50
TXNTexas InstrumentsInformation Technology51
TYLTyler TechnologiesInformation Technology48
VRSNVerisign Inc.Information Technology30
VVisa Inc.Information Technology15
VNTVontierInformation Technology0
WDCWestern DigitalInformation Technology49
WUWestern Union Co.Information Technology15
XRXXeroxInformation Technology49
XLNXXilinxInformation Technology37
ZBRAZebra TechnologiesInformation Technology35
Table A5. Summary of event study regressions needed vs. possible regressions for the S&P 500 index.
Table A5. Summary of event study regressions needed vs. possible regressions for the S&P 500 index.
Number of Event Windows4
Number of Geopolitical Events58
Sectors in the S&P 500 IndexNumber of Industries Per SectorNumber of Firms Per SectorPossible Regressions NeededActual Number of Regressions Needed
Communication Services1026 6032 2524
Consumer Discretionary2361 14,152 8108
Consumer Staples1232 7424 5572
Energy525 5800 3864
Financials1265 15,080 9828
Health Care1063 14,616 9424
Industrials1773 16,936 11,104
Information Technology1373 16,936 9292
Materials1128 6496 4004
Real Estate831 7192 4356
Utilities528 6496 5064
Total126 505 117,160 73,140
Table A6. Summary of event study regressions needed vs. possible regressions for the Information Technology, Communication Services, and Consumer Staples sectors of the S&P 500 index.
Table A6. Summary of event study regressions needed vs. possible regressions for the Information Technology, Communication Services, and Consumer Staples sectors of the S&P 500 index.
Number of Event Windows4
Number of Geopolitical Events58
Sectors in the S&P 500 IndexSector Randomly SelectedNumber of Industries AnalyzedNumber of Firms AnalyzedPossible Regressions NeededActual Number of Regressions Performed
Communication ServicesYes102660322524
Consumer DiscretionaryNo
Consumer StaplesYes123274245572
EnergyNo
FinancialsNo
Health CareNo
IndustrialsNo
Information TechnologyYes137316,9369292
MaterialsNo
Real EstateNo
UtilitiesNo
Total33513130,39217,388
Figure A1. Plot of abnormal returns for the “9/11” Geopolitical event and event window (−10,10).
Figure A1. Plot of abnormal returns for the “9/11” Geopolitical event and event window (−10,10).
Jrfm 14 00552 g0a1
Figure A2. Plot of cumulative abnormal returns for the “9/11” Geopolitical event and event window (−10,10).
Figure A2. Plot of cumulative abnormal returns for the “9/11” Geopolitical event and event window (−10,10).
Jrfm 14 00552 g0a2
Figure A3. Overview of the impact of geopolitical risk (Historical Sector Average CAAR) on the Information Technology, Communication Services, and Consumer Staples sectors.
Figure A3. Overview of the impact of geopolitical risk (Historical Sector Average CAAR) on the Information Technology, Communication Services, and Consumer Staples sectors.
Jrfm 14 00552 g0a3
Figure A4. Summary of events with statistically significant CAARs for the Information Technology, Communication Services, and Consumer Staples sectors.
Figure A4. Summary of events with statistically significant CAARs for the Information Technology, Communication Services, and Consumer Staples sectors.
Jrfm 14 00552 g0a4

References

  1. Agmon, Tamir. 1973. Country Risk: The Significance of the Country Factor for Share-Price Movements in the United Kingdom, Germany, and Japan. The Journal of Business 46: 24–32. Available online: http://www.jstor.com/stable/2351277 (accessed on 20 March 2020). [CrossRef]
  2. Amiti, Mary, Stephen J. Redding, and David E. Weinstein. 2019. The Impact of the 2018 Tariffs on Prices and Welfare. Journal of Economic Perspectives 33: 187–210. [Google Scholar] [CrossRef] [Green Version]
  3. Antonakakis, Nikolaos, Rangan Gupta, Christos Kollias, and Stephanos Papadamou. 2017. Geopolitical risks and the oil-stock nexus over 1899–2016. Finance Research Letters 23: 165–73. [Google Scholar] [CrossRef] [Green Version]
  4. Atems, Bebonchu, Michael Maresca, Baomei Ma, and Emily McGraw. 2020. The impact of El Nio-Southern Oscillation on U.S. food and agricultural stock returns. Water Resources and Economics 32: 100157. [Google Scholar] [CrossRef]
  5. Bai, Lan, Yu Wei, Guiwu Wie, Xiafei Li, and Songyun Zhang. 2020. Infectious disease pandemic and permanent volatility of international stock markets: A long-term perspective. Finance Research Letters 40: 101709. [Google Scholar] [CrossRef] [PubMed]
  6. Balcilar, Mehmet, Matteo Bonato, Riza Demirer, and Rangan Gupta. 2018. Geopolitical risks and stock market dynamics of the BRICS. Economic Systems 42: 295–306. [Google Scholar] [CrossRef] [Green Version]
  7. Barnhill, Theodore M., Jr., and William F. Maxwell. 2002. Modeling correlated market and credit risk in fixed income portfolios. Journal of Banking & Finance 26: 347–74. [Google Scholar] [CrossRef]
  8. Baur, Dirk G., and Lee A. Smales. 2020. Hedging geopolitical risk with precious metals. Journal of Banking & Finance 117: 105823. [Google Scholar] [CrossRef]
  9. Beaulieu, Marie-Claude, Jean-Claude Cosset, and Naceur Essaddam. 2005. The impact of political risk on the volatility of stock returns: The case of Canada. Journal of International Business Studies 36: 701–18. [Google Scholar] [CrossRef]
  10. BenMim, Imen, and Ahmed BenSaïda. 2019. Financial contagion across major stock markets: A study during crisis episodes. The North American Journal of Economics and Finance 48: 187–201. [Google Scholar] [CrossRef]
  11. Berk, Jonathan B., and Peter M. DeMarzo. 2017. Corporate Finance, Global Edition, 4th ed. Harlow: Pearson Education. [Google Scholar]
  12. Berne, Philip. 2020. Alphabet Becomes the Fourth Trillion Dollar Company. AndroidCentral.com. Available online: https://www.androidcentral.com/alphabet-becomes-fourth-trillion-dollar-company (accessed on 9 February 2020).
  13. Binder, John. 1998. The Event Study Methodology Since 1969. Review of Quantitative Finance and Accounting 11: 111–37. Available online: https://link.springer.com/article/10.1023/A:1008295500105 (accessed on 28 March 2020). [CrossRef]
  14. Bourdeau-Brien, Michael, and Lawrence Kryzanowski. 2017. The impact of natural disasters on the stock returns and volatilities of local firms. The Quarterly Review of Economics and Finance 63: 259–70. [Google Scholar] [CrossRef]
  15. Bowman, Robert G. 1983. Understanding and Conducting Event Studies. Journal of Business Finance & Accounting 10: 561–84. [Google Scholar] [CrossRef]
  16. Brown, Stephen J., and Jerold B. Warner. 1985. Using daily stock returns: The case of event studies. Journal of Financial Economics 14: 3–31. [Google Scholar] [CrossRef]
  17. Buigut, Steven, and Burcu Kapar. 2019. Effect of Qatar diplomatic and economic isolation on GCC stock markets: An event study approach. Finance Research Letters 37: 101352. [Google Scholar] [CrossRef]
  18. Caldara, Dario, and Matteo Iacoviello. 2018. Measuring Geopolitical Risk. FRB International Finance Discussion Paper No. 1222. Available online: https://ssrn.com/abstract=3117773 (accessed on 15 March 2020).
  19. Campbell, John Y., Andrew W. Lo, and A. Craig MacKinlay. 2012. Econometrics of Financial Markets. Princeton: Princeton University Press. [Google Scholar]
  20. Carney, Mark. 2016. Uncertainty, the Economy and Policy. Bank of England: Available online: https://www.bankofengland.co.uk/speech/2016/uncertainty-the-economy-and-policy (accessed on 8 February 2020).
  21. Chen, Ming-Hsiang, SooCheong (Shawn) Jang, and Woo Gon Kim. 2007. The impact of the SARS outbreak on Taiwanese hotel stock performance: An event-study approach. International Journal of Hospitality Management 26: 200–12. [Google Scholar] [CrossRef]
  22. Chen, Hsi Yueh, Ajay Das, and Dmitry Ivanov. 2019. Building resilience and managing post-disruption supply chain recovery: Lessons from the information and communication technology industry. International Journal of Information Management 49: 330–42. [Google Scholar] [CrossRef]
  23. Chkili, Walid, Chaker Aloui, and Duc Khuong Nguyen. 2014. Instabilities in the relationships and hedging strategies between crude oil and US stock markets: Do long memory and asymmetry matter? Journal of International Financial Markets, Institutions & Money 33: 354–66. [Google Scholar] [CrossRef]
  24. Chong, Terence Tai Leung, and Xiaoyang Li. 2019. Understanding the China–US trade war: Causes, economic impact, and the worst-case scenario. Economic And Political Studies 7: 185–202. [Google Scholar] [CrossRef]
  25. Cowan, Arnold R., and Anne M. A. Sergeant. 1996. Trading frequency and event study test specification. Journal of Banking & Finance 20: 1731–57. [Google Scholar] [CrossRef]
  26. Cuéllar-Fernández, Beatriz, Yolanda Fuertes-Callén, and José A. Laínez-Gadea. 2011. The impact of strategic alliances on the market value of telecommunications firms. The Journal of High Technology Management Research 22: 1–13. [Google Scholar] [CrossRef]
  27. Derousseau, Ryan. 2018. Three Stocks to Own in Risky Times. Fortune Magazine. Available online: https://fortune.com/2018/06/26/stocks-to-buy-chevron-kinder-morgan-kraft-heinz/ (accessed on 8 February 2020).
  28. Dimitrijevic, Alexandra, Terry Chan, David Tesher, Gareth Williams, Paul Gruenwald, Jose Perez-Gorozpe, and Paul Watters. 2019. S&P Global Ratings. Global Credit Conditions, Q3 2019: Ebbing Growth, Rising Risks. Available online: https://www.spglobal.com/_assets/documents/ratings/research/sp-global-credit-conditions-q3-2019_updated.pdf (accessed on 9 February 2020).
  29. Dobija, Dorota, Karol Marek Klimczak, Narcyz Roztocki, and Heinz Roland Weistroffer. 2012. Information technology investment announcements and market value in transition economies: Evidence from Warsaw Stock Exchange. The Journal of Strategic Information Systems 21: 308–19. [Google Scholar] [CrossRef]
  30. Dranev, Yuri, Ksenia Frolova, and Elena Ochirova. 2019. The impact of fintech M&A on stock returns. Research in International Business and Finance 48: 353–64. [Google Scholar] [CrossRef]
  31. Engle, Robert F. 2019. Global Signals for Financial Markets: Volatility and Geopolitical Risk. Bloomberg Professional Services. Available online: https://www.bloomberg.com/professional/blog/global-signals-for-financial-markets-volatility-and-geopolitical-risk/ (accessed on 9 February 2020).
  32. Fama, Eugene F. 1970. Efficient Capital Markets: A Review of Theory and Empirical Work. The Journal of Finance 25: 383–417. [Google Scholar] [CrossRef]
  33. Fama, Eugene F. 1991. Efficient Capital Markets: II. The Journal of Finance 46: 1575–617. [Google Scholar] [CrossRef]
  34. Fama, Eugene F., Lawrence Fisher, Michael C. Jensen, and Richard Roll. 1969. The Adjustment of Stock Prices to New Information. International Economic Review 10: 1–21. [Google Scholar] [CrossRef]
  35. Ghauri, Pervez, and Kjell Grønhaug. 2010. Research Methods in Business Studies, 4th ed. Harlow: Financial Times Prentice Hall. [Google Scholar]
  36. Grout, Paul A., and Anna Zalewska. 2006. The impact of regulation on market risk. Journal of Financial Economics 80: 149–84. [Google Scholar] [CrossRef]
  37. Hanvanich, Sangphet, and S.Tamer Çavuşgil. 2001. Stock market reactions to international joint venture announcement: An event analysis. International Business Review 10: 139–54. [Google Scholar] [CrossRef]
  38. Huang, Yi, Chen Lin, Sibo Liu, and Heiwai Tang. 2018. Trade Linkages and Firm Value: Evidence from the 2018 US-China Trade War. Working Paper No. HEIDWP11-2018. Graduate Institute of International and Development Studies. Available online: http://repec.graduateinstitute.ch/pdfs/Working_papers/HEIDWP11-2018.pdf (accessed on 11 March 2020).
  39. Iacoviello, Matteo. 2020. Geopolitical Risk (GPR) Index. Available online: https://www.matteoiacoviello.com//gpr.htm#data (accessed on 12 January 2020).
  40. Jeon, Chunmi, Seung Hun Han, Hyeong Joon Kim, and Sangsoo Kim. 2020. The effect of government 5G policies on telecommunication operators’ firm value: Evidence from China. Telecommunications Policy, 102040. [Google Scholar] [CrossRef]
  41. Junttila, Juha, Juho Pesonen, and Juhani Raatikainen. 2018. Commodity market based hedging against stock market risk in times of financial crisis: The case of crude oil and gold. Journal of International Financial Markets, Institutions and Money 56: 255–80. [Google Scholar] [CrossRef]
  42. Kim, Jaewook, Jewoo Kim, Seul Ki Lee, and Liang (Rebecca) Tang. 2020. Effects of epidemic disease outbreaks on financial performance of restaurants: Event study method approach. Journal of Hospitality and Tourism Management 43: 32–41. [Google Scholar] [CrossRef]
  43. Klein, April, and James Rosenfeld. 1987. The Influence of Market Conditions on Event-Study Residuals. The Journal of Financial and Quantitative Analysis 22: 345–51. Available online: http://www.jstor.com/stable/2330968 (accessed on 20 March 2020).
  44. Kocaarslan, Baris, and Ugur Soytas. 2019. Dynamic correlations between oil prices and the stock prices of clean energy and technology firms: The role of reserve currency (US dollar). Energy Economics 84: 104502. [Google Scholar] [CrossRef]
  45. Koh, Jeongsuk, and N. Venkatraman. 1991. Joint Venture Formations and Stock Market Reactions: An Assessment in the Information Technology Sector. The Academy of Management Journal 34: 869–92. Available online: http://www.jstor.org/stable/256393 (accessed on 31 October 2020).
  46. Kwok, Chuck C. Y., and LeRoy D. Brooks. 1990. Examining Event Study Methodologies in Foreign Exchange Markets. Journal of International Business Studies 21: 189–224. Available online: http://www.jstor.com/stable/155073 (accessed on 21 March 2020).
  47. Lamdin, Douglas J. 2001. Implementing and interpreting event studies of regulatory changes. Journal of Economics and Business 53: 171–83. [Google Scholar] [CrossRef]
  48. MacKinlay, A. Craig. 1997. Event Studies in Economics and Finance. Journal of Economic Literature 35: 13–39. Available online: http://www.jstor.org/stable/2729691 (accessed on 28 March 2020).
  49. Makino, Ryoji. 2016. Stock market responses to chemical accidents in Japan: An event study. Journal of Loss Prevention in the Process Industries 44: 453–58. [Google Scholar] [CrossRef]
  50. Mazura, Mieszko, Man Dang, and Miguel Vega. 2020. COVID-19 and the march 2020 stock market crash. Evidence from S&P1500. Finance Research Letters 38: 101690. [Google Scholar] [CrossRef]
  51. Miyajima, Hideaki, and Yishay Yafeh. 2007. Japan’s banking crisis: An event-study perspective. Journal of Banking & Finance 31: 2866–85. [Google Scholar] [CrossRef]
  52. MSCI. 2020. The Global Industry Classification Standard (GICS®). Available online: https://www.msci.com/our-solutions/indexes/gics (accessed on 10 March 2020).
  53. Müller, S. 2020. Significance Tests for Event Studies. Available online: https://www.eventstudytools.com/significance-tests#t-test (accessed on 20 February 2020).
  54. Park, Myeong-Cheol, Dong-Hoon Yang, Changi Nam, and Young-Wook Ha. 2002. Mergers and Acquisitions in the Telecommunications Industry: Myths and Reality. ETRI Journal 24: 56–64. [Google Scholar] [CrossRef]
  55. Qiu, Larry D., Chaoqun Zhan, and Xing Wei. 2019. An analysis of the China–US trade war through the lens of the trade literature. Economic And Political Studies 7: 148–68. [Google Scholar] [CrossRef]
  56. Ross, J. 2020. All S&P 500 Sectors and Industries by Size. Available online: https://advisor.visualcapitalist.com/wp-content/uploads/2020/08/s-p-500-sectors-sectors-industries.html (accessed on 6 November 2020).
  57. Seo, Soobin, SooCheong (Shawn) Jang, Li Miao, Barbara Almanza, and Carl Behnke. 2013. The impact of food safety events on the value of food-related firms: An event study approach. International Journal of Hospitality Management 33: 153–65. [Google Scholar] [CrossRef] [PubMed]
  58. Slickcharts. 2020. S&P 500 Companies by Weight. Available online: https://www.slickcharts.com/sp500 (accessed on 12 January 2020).
  59. Sykulski, Leszek. 2014. Geopolitical Risk in the Analysis of International Relations. Available online: https://www.academia.edu/39606204/Geopolitical_Risk_in_the_Analysis_of_International_Relations (accessed on 8 September 2020).
  60. Szegö, Giorgio. 2002. Measures of risk. Journal of Banking & Finance 26: 1253–72. [Google Scholar] [CrossRef]
  61. Teti, Emanuele, Maurizio Dallocchio, and Alberto Aniasi. 2019. The relationship between twitter and stock prices. Evidence from the US technology industry. Technological Forecasting and Social Change 149: 119747. [Google Scholar] [CrossRef]
  62. Vennet, Rudi Vander. 1996. The effect of mergers and acquisitions on the efficiency and profitability of EC credit institutions. Journal of Banking & Finance 20: 1531–58. [Google Scholar] [CrossRef]
  63. Wade, Keith, and Irene Lauro. 2019. Measuring the Impact of Geopolitics on Markets. Schroder Wealth Management: Available online: https://www.schroders.com/en/us/wealth-management/insights/strategy-and-economics/measuring-the-impact-of-geopolitics-on-markets/ (accessed on 9 February 2020).
  64. Wagener, Martin, Dennis Kundisch, Ryan Riordan, Fethi Rabhi, Philipp Herrmann, and Christof Weinhardt. 2010. Price efficiency in futures and spot trading: The role of information technology. Electronic Commerce Research and Applications 9: 400–9. [Google Scholar] [CrossRef]
  65. World Bank. 2020. Global Economic Prospects, January 2020: Slow Growth, Policy Challenges. Washington, DC: World Bank, Available online: https://openknowledge.worldbank.org/handle/10986/33044 (accessed on 9 February 2020).
  66. Yahoo! Finance. 2020. Available online: https://finance.yahoo.com/ (accessed on 12 January 2020).
Figure 1. Overview of the S&P 500 index, sectors, and industries.
Figure 1. Overview of the S&P 500 index, sectors, and industries.
Jrfm 14 00552 g001
Figure 2. Event study framework timeline.
Figure 2. Event study framework timeline.
Jrfm 14 00552 g002
Figure 3. HSY’s daily abnormal returns to the Moscow theater hostage crisis: Event window (−3,3).
Figure 3. HSY’s daily abnormal returns to the Moscow theater hostage crisis: Event window (−3,3).
Jrfm 14 00552 g003
Table 1. Descriptive statistics for the daily returns (multiplied by 100) of the S&P 500 index, Information Technology, Communication Services, and Consumer Staples sectors for the (−10,10) event window and the “Moscow theater hostage crisis” event.
Table 1. Descriptive statistics for the daily returns (multiplied by 100) of the S&P 500 index, Information Technology, Communication Services, and Consumer Staples sectors for the (−10,10) event window and the “Moscow theater hostage crisis” event.
PeriodObs.MeanStd. Dev.MaximumMinimumSkewnessKurtosis
S&P 500 IndexT0T12530.0300.9604.959−3.286−0.0644.287
T1+1–010−0.0120.5810.739−1.089−0.409−0.952
0–T210−0.3511.6211.876−2.978−0.381−0.837
T1+1T221−0.2161.2091.876−2.978−0.6740.780
Information TechnologyT0T1253−0.1062.5749.219−5.0680.4610.102
T1+1–0101.6333.9246.822−5.879−0.428−0.618
0–T2101.5481.8674.611−0.1670.575−1.863
T1+1T2211.3743.1516.822−5.879−0.213−0.169
Communication ServicesT0T1253−0.0132.1357.144−7.3580.1730.851
T1+1–0100.1381.9513.186−2.2070.490−1.427
0–T2101.0291.3483.814−0.4600.959−0.117
T1+1T2210.5341.7073.814−2.2070.328−0.824
Consumer stapleT0T12530.0271.0063.990−4.032−0.0611.625
T1+1–0100.0231.2981.987−1.725−0.052−1.635
0–T210−0.1070.662−0.597−1.943−2.2676.531
T1+1T2210.0041.0281.987−1.943−0.2940.293
Table 2. Summary of Historical Sector cumulative and average CAAR results for all events windows.
Table 2. Summary of Historical Sector cumulative and average CAAR results for all events windows.
(−3,3)(0,5)(0,1)(−10,10)
SectorsInformation TechnologyCommunication ServicesConsumer StaplesInformation EchnologyCommunication ServicesConsumer StaplesInformation TechnologyCommunication ServicesConsumer StaplesInformation TechnologyCommunication ServicesConsumer Staples
Number of Statistically significant Events4172365210565
Historical Sector Average CAAR−7.75%2.94%−1.16%−5.14%−0.49%0.90%−1.30%2.62%−0.71%4.31%0.97%−1.30%
Historical Sector CAAR Standard Deviation2.07%0.00%3.89%0.00%5.55%2.97%5.24%1.29%1.70%15.61%12.52%6.12%
Historical Sector Min CAAR−10.44%2.94%−4.28%−5.14%−3.67%−3.31%−7.44%1.71%−2.69%−12.50%−21.10%−7.19%
Historical Sector Max CAAR−5.41%2.94%4.88%−5.145.92%4.58%4.73%3.54%2.49%19.58%13.02%6.04%
Publisher’s Note: MDPI stays neutral with regard to jurisdictional claims in published maps and institutional affiliations.

Share and Cite

MDPI and ACS Style

Fossung, G.A.; Vovas, V.C.; Quoreshi, A.M.M.S. Impact of Geopolitical Risk on the Information Technology, Communication Services and Consumer Staples Sectors of the S&P 500 Index. J. Risk Financial Manag. 2021, 14, 552. https://doi.org/10.3390/jrfm14110552

AMA Style

Fossung GA, Vovas VC, Quoreshi AMMS. Impact of Geopolitical Risk on the Information Technology, Communication Services and Consumer Staples Sectors of the S&P 500 Index. Journal of Risk and Financial Management. 2021; 14(11):552. https://doi.org/10.3390/jrfm14110552

Chicago/Turabian Style

Fossung, Gerard Atabong, Vasileios Chatzis Vovas, and A. M. M. Shahiduzzaman Quoreshi. 2021. "Impact of Geopolitical Risk on the Information Technology, Communication Services and Consumer Staples Sectors of the S&P 500 Index" Journal of Risk and Financial Management 14, no. 11: 552. https://doi.org/10.3390/jrfm14110552

APA Style

Fossung, G. A., Vovas, V. C., & Quoreshi, A. M. M. S. (2021). Impact of Geopolitical Risk on the Information Technology, Communication Services and Consumer Staples Sectors of the S&P 500 Index. Journal of Risk and Financial Management, 14(11), 552. https://doi.org/10.3390/jrfm14110552

Article Metrics

Back to TopTop