Abstract
Background: The aim of this study was to evaluate the impact of a comprehensive cardiac rehabilitation (CR) programme on exercise capacity, left ventricular (LV) function and diameter and health related quality of life (HRQoL) in a cohort of stable heart failure (CHF) patients. Methods: 198 consecutive CHF patients (170 male/28 female, mean age 60.1 8 11.4 yrs) attending a 3 month outpatient cardiac rehabilitation programme with optional prolongation of 6 months were analysed. Results: Peak VO2 increased from 17.1 8 4.9 ml/min/kg to 19.5 8 6.8 ml/min/kg (p <0.001), LV ejection fraction (EF) increased from 28.1 8 7.6% to 34.3 8 10.0% (p <0.001), LV end-diastolic diameter (LVEDD) decreased from 64.4 8 9.1 mm to 61.3 8 8.4 mm (p <0.001) and brain natriuretic peptide (BNP) decreased from 396 8 422 pg/ml to 277 8 270 pg/ml (p <0.001). Minnesota Living with Heart Failure Questionnaire score decreased from 33.1 8 23.0 to 20.1 8 16.5 (p <0.001). The comparison of a subgroup of patients attending the programme for 9 months with patients followed at the outpatient heart failure clinic (HFC) but not participating in CR (n = 40) showed, that LVEF increased less (3.0% vs 11%, p <0.001), LVEDD increased slightly (+0.3 8 5.8 mm) and BNP increased (+109 8 391 pg/ml) instead of decreased (–163 8 320 pg/ml, p = 0.001) in the HFC group compared with the CR group. Conclusion: Exercise based CR in CHF patients improves exercise capacity and LV function, decreases LVEDD and improves HRQoL. Exercise training may lead to additional benefit beyond optimal medical treatment and should be a cornerstone in the management of all CHF patients.
Introduction
Chronic heart failure (CHF) is characterised by impaired exercise capacity and exertional dyspnoea, which strongly affects all aspects of health related quality of life (HRQoL) like social functioning, emotional well-being and general health perception [1,2]. Advanced heart failure [3] is associated with a high mortality rate, either due to pump failure or sudden cardiac death. The progress in medical and non-medical therapies over the last decade however have greatly improved the prognosis of these patients and the annual mortality rate has been lowered to approximately 10% as shown in several big randomised trials [4,5,6]. This mortality rate is no longer substantially different from the survival rate of patients undergoing heart transplantation [7,8].
Exercise training has been recognised in recent years as an important component in the management of CHF patients and is actually recommended by the European and American Guidelines on diagnosis and treatment of CHF [9,10]. Modern management of patients with heart failure implies a multidisciplinary approach with optimisation of medical treatment, risk factor intervention, teaching, exercise advice and training, as well as tailored psychosocial support [11]. This approach is expected to lead to a reduction of rehospitalisation rates [12], costs [13] and even mortality [14], although the latter is still debated [12,15].
In our centre, a comprehensive cardiac rehabilitation (CR) programme is offered to CHF patients since 1999. The main purpose of this study is to report the results of our programme during the first 5 years and to compare the effects on exercise capacity, parameters of left ventricular function and HRQoL with published data.
Methods
Data of patients with systolic left ventricular dysfunction and stable clinical condition, participating in the ambulatory heart failure CR programme between July 1999 and December 2004, were prospectively collected and analysed (table 1 and 2). All patients underwent clinical and laboratory evaluation, echocardiography, 6-minutes walk test (6-MWT) and cardio-pulmonary exercise testing (CPET) with respiratory gas analysis.
Table 1.
Baseline characteristics of patients participating in the cardiac rehabilitation programme (n = 198). Data are expressed as mean 8 SD.
Patients attended the standard CR programme 3 times a week for a period of 12 weeks. Thereafter, patients who wished to continue the programme were offered to attend a 6 months maintenance phase. During this phase, patients were encouraged to continue physical activity at home and to attend another supervised training per week at the hospital. In order to separate the effect of the CR programme on left ventricular function (LVEF) and diameter (LVEDD) from the effect of an optimal medical treatment without exercise training, we compared the echocardiographic data and B-type natriuretic peptide (BNP) levels in those patients who participated 9 months in CR (hospital-based standard programme plus home-based maintenance phase) with a group of patients who were followed at the outpatient heart failure clinic for the same period of time (control visits at an interval of 10.9 8 4.2 months), but who were not referred to CR.
Cardiac rehabilitation programme
Exercise training was composed mainly of aerobic endurance training, but included also resistance exercises and relaxation sessions. Each training cycle consisted of 2 sessions of 45 minutes, designed to achieve twice the training heart rate at the predetermined exercise intensity. Training intensity was aimed between 50 to 80% of peak VO2: At initiation of the programme, patients with NYHA functional class III were trained at 50% of peak VO2 and training intensity was increased progressively up to 80% of peak VO2 in patients with good exercise tolerance.
During 12 information sessions, patients were taught about different aspects of heart failure, role and importance of cardiac medication and received advice on “how to live with heart failure”. Special emphasis was given to dietary counselling, and in particular to the recognition and self-management of fluid overload. At each training session, the patients were visited by a physician who assessed the clinical status and optimised the medication if necessary. The patients were also offered tailored psychosocial support by a psychologist or a smoking cessation intervention by a specialised health professional when needed.
Exercise testing
Symptom-limited CPET was performed using an upright computer-controlled, rotational speed independent bicycle (Ergometrics 800S, Ergoline® GmbH, Bitz, Germany). One minute of resting data acquisition was followed by a 3 minute warmup phase, during which patients cycled without workload. Thereafter, workload was increased by 10 or 15 W/minute, using a ramp protocol. Respiratory gas exchange was measured breath-by-breath (Oxycon Alpha®, Jaeger-Toennies, Höchberg, Germany). A 12 lead ECG was recorded and blood pressure was measured every 2 minutes.
Peak oxygen uptake (peak VO2) was defined as the highest VO2 achieved during the last 30 seconds of maximal exercise with clear distinction of this value from outliers.
The 6-MWT was effectuated according to published standards [16].
Health-Related Quality of Life Assessment
HRQoL was assessed by the Minnesota Living with Heart Failure Questionnaire (MLHFQ), which is a measure of the patient’s perceptions of the effects of symptoms and treatment of heart failure on their lives. It is made up of 21 items that cover heart failure-related physical, psychological, and social impairments. The patient’s perception of such impairments is assessed on a scale ranging from no (score of 0) to very much (5). The total MLWHF score is obtained by adding the scores for all 21 items (range, 0–105); the higher the score, the worse the HRQoL. In addition, it is possible to calculate a summary of the impact of heart failure on physical dimensions, constructed on the basis of 8 items, and another summary of its impact on emotional dimensions, constructed on the basis of 5 items.
Statistical analysis
All statistical analysis was performed using the SPSS® for Windows® software (version 12.0, SPSS® Inc., Chicago, Illinois, USA). Data are expressed as mean values 8 SD. Mean comparisons were effectuated using non-parametric tests (Wilcoxon and Mann-Whitney). For nominal or ordinal-scaled variables, the Chi-square test was used. All statistical tests were two-tailed and a value of p < 0.05 was considered statistically significant.
Results
The baseline characteristics of the 198 analysed patients are summarised in table 1, medication at begin and at the end of the CR programme in table 2. The characteristics and medication of patients attending the programme during 9 months and those of the outpatient heart failure clinic are compared in table 3 and 4 respectively.
Table 2.
Medication at baseline and after 3 months (ACEI = Angiotensin converting enzyme inhibitor; ARB = Angiotensin receptor blocker).
Table 3.
Characteristics of patients attending cardiac rehabilitation during 9 months, compared with a group of patients from the outpatient heart failure clinic not referred to cardiac rehabilitation.
14 patients interrupted the programme prematurely (13 men, 1 woman): 3 patients experienced a deterioration of their clinical status, 9 patients could not make the time commitment for the programme or found it too exhausting, 1 patient stopped because of a herniated lumbar disc and another because of the diagnosis of a Non-Hodgkin lymphoma.
Exercise capacity
At baseline, patients performed 93 8 35 W which corresponds to 63 8 23% of the predicted value, with a mean peak oxygen uptake (VO2) of 17.1 8 4.9 ml/min/kg (65 8 15% of the predicted value). Mean distance completed during the 6-MWT, was 426 8 146 m. After 3 months, exercise capacity increased to 107 8 42 W (71 8 24% of the predicted value; p <0.001), peak VO2 to 19.5 8 6.8 ml/min/kg (72 8 17% of the predicted value; p <0.001) and 6-minutes walking distance (6-MWD) to 478 8 127 m (p <0.001).
After 9 months, in those patients who continued to attend the programme (n = 64/198), exercise capacity (118 8 45 W, p = 0.52 vs 3 months) and peak VO2(19.5 8 5.0, p = 0.080 vs 3 months) remained constant, but 6MWD increased further to 525 8 130 m (p = 0.001).
Left ventricular function, diameter and BNP
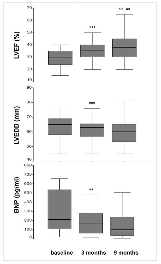
LVEF increased after 3 months of the CR from 28.1 8 7.6% to 34.3 8 10.0% (p < 0.001) and end-diastolic LVEDD decreased from 64.4 8 9.1 mm to 61.3 8 8.4 mm (p < 0.001). During the 6 months follow-up, LVEF further increased to 38.7 8 11.1% (p = 0.002 vs 3 months) but no further statistical difference was noted in LVEDD (60.1 8 10.1 mm, p = 0.911 vs 3 months). BNP levels decreased from 396 8 422 pg/ml to 277 8 270 pg/ml (p <0.001) after 3 months (n = 115) without further significant change after 9 months (168 8 174 pg/ml, p = 0.120 vs 3 months) (n = 28, fig. 1).
Figure 1.
Change of ejection fraction (LVEF), left ventricular end-diastolic diameter (LVEDD) and brain natriuretic peptide (BNP) after rehabilitation and 9 months follow-up. *** = p <0.001 vs baseline; ** = p <0.05 vs baseline; ### = p <0.001 vs 3 months.
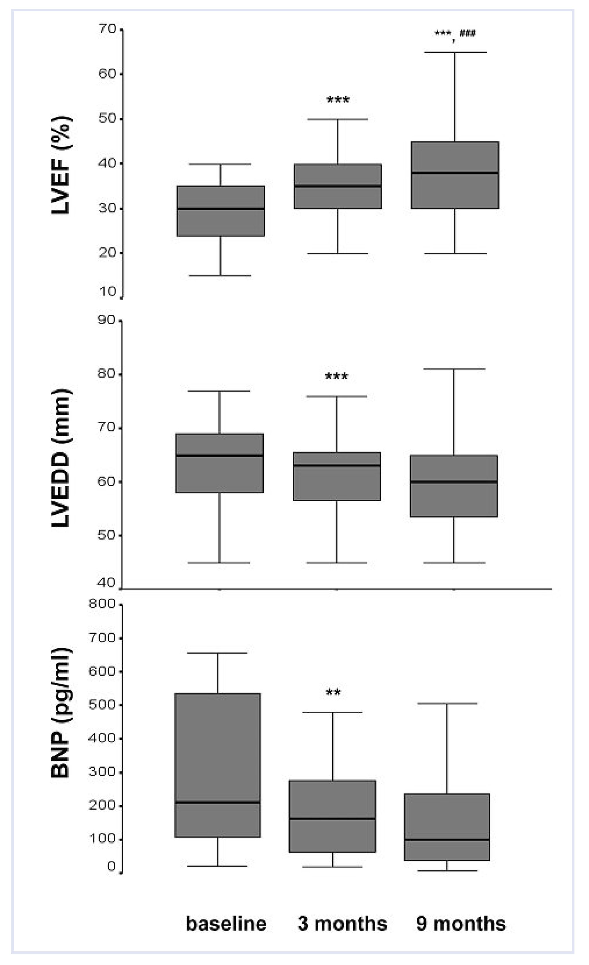
In the outpatient heart failure clinic group, ejection fraction increased by 3.0% (absolute number) and LVEDD increased slightly (+0.3 8 5.8 mm), whereas in the CR group, ejection fraction increased by 11% (p <0.001) and LVEDD significantly decreased (–4.2 8 7.4 mm, p = 0.014). BNP increased by 109 8 391 pg/ml in the heart failure clinic group and decreased by 163 8 320 pg/ml in the CR group (p <0.001) (fig. 2).
Figure 2.
Comparison of 9 months follow-up of a cardiac rehabilitation programme (n = 64) vs outpatient heart failure clinic (n = 40) on left ventricular ejection fraction (LVEF), left ventricular end-diastolic diameter (LVEDD) and brain natriuretic peptide (BNP).
Health-Related Quality of Life
The total score of the MLHFQ decreased from 33.1 8 23.0 to 20.1 8 16.5 (p < 0.001) during the first 3 months and remained at 20.1 8 14.7 during the following 6 months (p = 0.024 vs baseline). Considering the subscales of the MLHFQ, both improved: the physical dimension (14.3 8 10.1 to 8.4 8 7.8; p <0.001) as well as the emotional dimension (6.6 8 6.0 to 4.1 8 4.4; p = 0.002). Both effects persisted after the 9 months followup: the physical dimension was scored 9.3 8 7.1 (p = 0.018 vs baseline), the emotional dimension 3.4 8 3.6 (p = 0.047 vs baseline) (fig. 3).
Figure 3.
Change of health-related quality of life (Minnesota Living with Heart Failure Questionnaire) during rehabilitation and 9 months follow-up. A Total score. B Physical and emotional subscales.
Discussion
Our CR programme resulted in a significant improvement in exercise capacity, parameters of left ventricular function and HRQoL. The effects were seen during an initial 3 month “build-up” phase and maintained or further improved after a 6 month maintenance phase. This model of an initial ambulatory hospital-based programme, combined with a second, partially home-based phase with a training session at the centre once a week, seems to suit heart failure patients especially well. In particular, it allows a close follow up after hospitalisation for cardiac decompensation. The majority of patients reach a stable clinical condition with satisfactory physical condition and optimal medication after 3 months, whereas some patients need a longer period to achieve these goals.
The improvement in exercise capacity (peak VO2: +2.4 ml/kg/min.; work capacity: +14 W and 6-MWD: +52 m) is similar to the results of the recent Cochrane review on CR in adults of all ages with CHF [15]. In this analysis of 29 randomised controlled trials of exercise-based interventions with a total of 1126 patients, compared with usual medical care or placebo, peak VO2 improved by 2.2 ml/kg/min (95% CI 2.8–1.5), work capacity by 15 W (95% CI 18–13) and distance on the six minute walk test by 41 m (95% CI 65–17).
Baseline mean peak VO2 of our patients was 17.1 8 4.9 ml/kg/min with a range between 8.1 and 32.8 ml/kg/min. This corresponds to a patient population with a moderately impaired functional capacity which is typically seen in an outpatient programme. Peak exercise (VO2) improved by 14% and submaximal exercise (6-MWD) by 12% after 3 months. In contrast to peak VO2, 6-MWD continued to improve over the following 6 months in those who continued the CR for 9 months and reached a total of + 23%. This unequal course may be explained by the fact that increase in peak VO2 typically levels off after a certain time period and that further improvement mainly affects sub-maximal exercise capacity. Furthermore, it might reflect a more active lifestyle and/or further clinical improvement after the CR programme, which would be one of the major achievements of such an intervention.
The assessment of LVEF, LVEDD and BNP before and after rehabilitation showed a significant reversal of left ventricular remodelling and an improvement in systolic function, which was paralleled by a significant decrease of BNP. Whether this effect is attributable to the exercise component of CR or optimisation of medical therapy is difficult to discern. The patients entering our programme had to be clinically stable, but were not necessarily on optimal medical treatment. The medication was further adapted during the programme, especially ACE-Inhibitors and beta-blockers (table 4). However, the comparison of left ventricular remodelling between CR patients and the outpatient heart failure clinic patients (fig. 2) confirmed the positive impact of exercise training independently from optimisation of medication. Furthermore, our results are in line with those of a recent review on the effect of exercise training on left ventricular remodelling in heart failure patients [17]. Importantly, also in this metaanalysis, the favourable effects associated with aerobic training were supplementary to the pharmacological benefits of the prescribed medication with proven antiremodelling effect.
Table 4.
Medication of patients attaining the programme during 9 months, compared with a control group, followed at a specialised outpatient heart failure clinic.
The mechanisms by which aerobic training attenuates left ventricular remodelling are still unclear, but two main hypothesis are discussed: (1) a reduction in vasoconstrictive neurohormones, including angiotensin II and aldosterone [18] or (2) a decline in haemodynamic load [19]. The haemodynamic load can be estimated indirectly by the BNP levels, which increase in response to volume expansion and pressure overload. The response of BNP in patients undergoing exercise rehabilitation has recently been addressed with contradictory results. While two studies [20,21] found a marked decrease in NTproBNP, in two other studies [22,23], BNP values did not decrease. The reason might be related to the severity of the clinical status in the different study populations. The population of Passino et al. [20] is quite comparable with our population (mean peak VO2 18.4 ml/kg/min.) and showed a significant decrease in BNP. Arad et al. [22] however studied a very sick population (peak VO2 11.3 ml/kg/ min) and the patients in the study of Jonsdottir et al. [23] had an EF of 41% and hardly elevated BNP values (122 pg/ml). Nevertheless, changes of BNP over time are associated with changes in morbidity and mortality [24]; therefore, a decrease of BNP plasma concentration appears to be a valuable marker of positive clinical response to training.
Heart failure is one of the leading chronic disorders affecting HRQoL [25]. Moreover, many patients with advanced heart failure give greater importance to HRQoL than they do to duration of life [26]. Therefore, HRQoL is particularly important as an end point in the assessment of the effects of such rehabilitation programmes [26,27]. Our data show a significant improvement in all aspects of HRQoL using the MLHFQ (physical, emotional, and social impairments) with a mean decrease of the total score of 10.1. This results are well in line with those of a meta-analysis of van Tol et al. [28] who reported a mean decrease of 9.7.
Study limitations
This study was not a randomised controlled trial but a prospective observational study with a control group not attending the CR programme for the extended study period. While the positive effects of the programme on several parameters are impressive, a considerable uncertainty persists concerning the differences one might find in a prospectively randomised control group.
Concerning the effect of exercise training on left ventricular remodelling, the patient population of the outpatient heart failure clinic was comparable regarding age, gender, aetiology of the disease and severity of left ventricular dysfunction. Furthermore, these patients were followed by heart failure specialists and received optimal medical treatment except for exercise training. Therefore, despite the small size of the control group and the lack of randomisation, the data from this control group is well substantiated to endorse the conclusions drawn from the comparison between the two groups.
Conclusion
A multidisciplinary CR programme with exercise training, cardiovascular risk factor intervention, optimisation of medical treatment and tailored psychosocial support significantly improves exercise capacity, left ventricular function and diameter as well as HRQoL in CHF patients. The effect of exercise training may be expected to occur in addition to an optimal medical treatment and should be the cornerstone in the management of these patients.
Conflicts of Interest
No conflict of interest to disclose.
References
- Hobbs, F.D.; Kenkre, J.E.; Roalfe, A.K.; Davis, R.C.; Hare, R.; Davies, M.K. Impact of heart failure and left ventricular systolic dysfunction on quality of life: A cross-sectional study comparing common chronic cardiac and medical disorders and a representative adult population. Eur Heart J. 2002, 23, 1867–1876. [Google Scholar] [CrossRef]
- Juenger, J.; Schellberg, D.; Kraemer, S.; Haunstetter, A.; Zugck, C.; Herzog, W.; et, al. Health related quality of life in patients with congestive heart failure: Comparison with other chronic diseases and relation to functional variables. Heart 2002, 87, 235–241. [Google Scholar] [CrossRef]
- Metra, M.; Ponikowski, P.; Dickstein, K.; McMurray, J.J.; Gavazzi, A.; Berghm, C.H.; et, al. Advanced chronic heart failure: A position statement from the Study Group on Advanced Heart Failure of the Heart Failure Association of the European Society of Cardiology. Eur J Heart Fail. 2007, 9, 684–694. [Google Scholar] [CrossRef] [PubMed]
- The Cardiac Insufficiency Bisoprolol Study II (CIBIS-II): A randomised trial. Lancet 1999, 353, 9–13. [CrossRef]
- Hjalmarson, A.; Goldstein, S.; Fagerberg, B.; Wedel, H.; Waagstein, F.; Kjekshus, J.; et, al. Effects of controlled-release metoprolol on total mortality, hospitalizations, and well-being in patients with heart failure: The Metoprolol CR/XL Randomized Intervention Trial in congestive heart failure (MERIT-HF). MERIT-HF Study Group. JAMA 2000, 283, 1295–1302. [Google Scholar] [CrossRef] [PubMed]
- Packer, M.; Coats, A.J.; Fowler, M.B.; Katus, H.A.; Krum, H.; Mohacsi, P.; et, al. Effect of carvedilol on survival in severe chronic heart failure. N Engl J Med. 2001, 344, 1651–1658. [Google Scholar] [CrossRef]
- Smits, J.M.; Vanhaecke, J.; Haverich, A.; de Vries, E.; Smith, M.; Rutgrink, E.; et al. Three-year survival rates for all consecutive heart-only and lungonly transplants performed in Eurotransplant, 1997–1999. Clin Transpl. 2003, 89–100. [Google Scholar]
- Taylor, D.O.; Edwards, L.B.; Aurora, P.; Christie, J.D.; Dobbels, F.; Kirk, R.; et al. Registry of the International Society for Heart and Lung Transplantation: Twenty-fifth official adult heart transplant report—2008. J Heart Lung Transplant. 2008, 27, 943–956. [Google Scholar] [CrossRef]
- Swedberg, K.; Cleland, J.; Dargie, H.; Drexler, H.; Follath, F.; Komajda, M.; et al. Guidelines for the diagnosis and treatment of chronic heart failure: Executive summary (update 2005): The Task Force for the Diagnosis and Treatment of Chronic Heart Failure of the European Society of Cardiology. Eur Heart J. 2005, 26, 1115–1140. [Google Scholar] [CrossRef]
- Pina, I.L.; Apstein, C.S.; Balady, G.J.; Belardinelli, R.; Chaitman, B.R.; Duscha, B.D.; et al. Exercise and heart failure: A statement from the American Heart Association Committee on exercise, rehabilitation, and prevention. Circulation 2003, 107, 1210–1225. [Google Scholar] [CrossRef]
- Grady, K.L.; Dracup, K.; Kennedy, G.; Moser, D.K.; Piano, M.; Stevenson, L.W.; et al. Team management of patients with heart failure: A statement for healthcare professionals from The Cardiovascular Nursing Council of the American Heart Association. Circulation 2000, 102, 2443–2456. [Google Scholar] [CrossRef] [PubMed]
- Gwadry-Sridhar, F.H.; Flintoft, V.; Lee, D.S.; Lee, H.; Guyatt, G.H. A systematic review and meta-analysis of studies comparing readmission rates and mortality rates in patients with heart failure. Arch Intern Med. 2004, 164, 2315–2320. [Google Scholar] [CrossRef] [PubMed]
- McAlister, F.A.; Lawson, F.M.; Teo, K.K.; Armstrong, P.W. A systematic review of randomized trials of disease management programs in heart failure. Am J Med. 2001, 110, 378–384. [Google Scholar] [CrossRef] [PubMed]
- Piepoli, M.F.; Davos, C.; Francis, D.P.; Coats, A.J. Exercise training metaanalysis of trials in patients with chronic heart failure (ExTraMATCH). BMJ 2004, 328, 189. [Google Scholar] [CrossRef]
- Rees, K.; Taylor, R.S.; Singh, S.; Coats, A.J.; Ebrahim, S. Exercise based rehabilitation for heart failure. Cochrane Database Syst Rev. 2004, CD003331. [Google Scholar]
- Guyatt, G.H.; Sullivan, M.J.; Thompson, P.J.; Fallen, E.L.; Pugsley, S.O.; Taylor, D.W.; et al. The 6-minute walk: A new measure of exercise capacity in patients with chronic heart failure. Can Med Assoc J. 1985, 132, 919–923. [Google Scholar]
- Haykowsky, M.J.; Liang, Y.; Pechter, D.; Jones, L.W.; McAlister, F.A.; Clark, A.M. A meta-analysis of the effect of exercise training on left ventricular remodeling in heart failure patients: The benefit depends on the type of training performed. J Am Coll Cardiol. 2007, 49, 2329–2336. [Google Scholar] [CrossRef]
- Braith, R.W.; Welsch, M.A.; Feigenbaum, M.S.; Kluess, H.A.; Pepine, C.J. Neuroendocrine activation in heart failure is modified by endurance exercise training. J Am Coll Cardiol. 1999, 34, 1170–1175. [Google Scholar] [CrossRef]
- Hambrecht, R.; Gielen, S.; Linke, A.; Fiehn, E.; Yu, J.; Walther, C.; et al. Effects of exercise training on left ventricular function and peripheral resistance in patients with chronic heart failure: A randomized trial. JAMA 2000, 283, 3095–3101. [Google Scholar] [CrossRef]
- Passino, C.; Severino, S.; Poletti, R.; Piepoli, M.F.; Mammini, C.; Clerico, A.; et al. Aerobic training decreases B-type natriuretic peptide expression and adrenergic activation in patients with heart failure. JAm Coll Cardiol. 2006, 47, 1835–1839. [Google Scholar] [CrossRef]
- Conraads, V.M.; Beckers, P.; Vaes, J.; Martin, M.; Van Hoof, V.; De Maeyer, C.; et al. Combined endurance/resistance training reduces NT-proBNP levels in patients with chronic heart failure. Eur Heart J. 2004, 25, 1797–1805. [Google Scholar] [CrossRef] [PubMed]
- Arad, M.; Adler, Y.; Koren-Morag, N.; Natanzon, S.; Sela, B.A.; Ben Dov, I.; et al. Exercise training in advanced heart failure patients: Discordance between improved exercise tolerance and unchanged NT-proBNP levels. Int J Cardiol. 2007. [Google Scholar] [CrossRef]
- Jonsdottir, S.; Andersen, K.K.; Sigurosson, A.F.; Sigurosson, S.B. The effect of physical training in chronic heart failure. Eur J Heart Fail. 2006, 8, 97–101. [Google Scholar] [CrossRef] [PubMed]
- Anand, I.S.; Fisher, L.D.; Chiang, Y.T.; Latini, R.; Masson, S.; Maggioni, A.P.; et al. Changes in brain natriuretic peptide and norepinephrine over time and mortality and morbidity in the Valsartan Heart Failure Trial (ValHeFT). Circulation. 2003, 107, 1278–1283. [Google Scholar] [CrossRef] [PubMed]
- Alonso, J.; Ferrer, M.; Gandek, B.; Ware JEJr Aaronson, N.K.; Mosconi, P.; et al. Health-related quality of life associated with chronic conditions in eight countries: Results from the International Quality of Life Assessment (IQOLA) Project. Qual Life Res. 2004, 13, 283–298. [Google Scholar] [CrossRef]
- Lewis, E.F.; Johnson, P.A.; Johnson, W.; Collins, C.; Griffin, L.; Stevenson, L.W. Preferences for quality of life or survival expressed by patients with heart failure. J Heart Lung Transplant. 2001, 20, 1016–1024. [Google Scholar] [CrossRef]
- Leidy, N.K.; Rentz, A.M.; Zyczynski, T.M. Evaluating Health-related quality-of-life outcomes in patients with congestive heart failure. A review of recent randomised controlled trials. Pharmacoeconomics 1999, 15, 19–46. [Google Scholar] [CrossRef]
- van Tol, B.A.; Huijsmans, R.J.; Kroon, D.W.; Schothorst, M.; Kwakkel, G. Effects of exercise training on cardiac performance, exercise capacity and quality of life in patients with heart failure: A meta-analysis. Eur J Heart Fail. 2006, 8, 841–850. [Google Scholar] [CrossRef]
© 2010 by the authors. Attribution - Non-Commercial - NoDerivatives 4.0.






