Characterization of Background Exposures to Ethylene Oxide in the United States: A Reality Check on Theoretical Health Risks for Potentially Exposed Populations near Industrial Sources
Abstract
1. Introduction
1.1. New Data Are Available for HEV Burdens in the U.S.
1.2. New Data Are Available for Exogenous Exposures to EO in Ambient Air
1.3. Question Regarding Previously Published TE and EE Background Assessments
Smoker Validation
1.4. Study Objectives
- To summarize and incorporate the recent data regarding background exposures to EO to update the distribution of TE and EE concentrations for U.S. nonsmoking and smoking populations;
- To quantify the important sources of uncertainty and variation that may impact TE and EE values;
- To provide a characterization of the contribution of different exposures pathways contributing to total EO exposure in the U.S. population;
- To demonstrate the utility of the updated background TE and/or EE values in providing context to the health significance of EO exposures associated with populations residing near emitting industrial facilities compared to populations experiencing only background ambient and EE-contributed exposures;
- To show how risk-specific concentration values from USEPA and TCEQ cancer potency estimates relate to the distribution of background TE concentrations and affect the ability of these agencies to manage and communicate EO risk;
- To address select criticisms of previous TE and EE assessments, and particularly, the ability of the TE/EE method to reliably estimate total systemic EO exposures (endogenous plus exogenous).
2. Materials and Methods
2.1. Derivation of Endogenous and Total EO Equivalent Exposures
- Endogenous Exposures: Internal exposure to EO that results from the production of ET by two general pathways, which is then metabolized to EO within the body (as summarized by Kirman et al. [1]): Pathway 1A: Production of ET by intestinal microflora; and Pathway 1B: Systemic production of ET (primarily hepatic). A small fraction of ET from both pathways is converted to EO within the body.
- Exogenous Exposures: Exogenous exposures to ET and EO arise from several possible pathways: Pathway 2A corresponds to the natural background of ET and EO in ambient air that results from natural sources of release (e.g., production of ET by plants; formation of ET and EO in wildfires); Pathway 2B corresponds to non-industrial anthropogenic releases of ET and EO (e.g., motor vehicle emissions, combustion of fuels) that can increase ambient air concentrations above natural background concentrations; Pathway 3 corresponds to smoking and serves as an important source of ET and EO; and Pathway 4 corresponds to industrial releases of EO that can result in ambient air concentrations that are above anthropogenic background concentrations. Potential exposures associated with the industrial release of ET were not considered in this assessment.
- Exogenous Background Exposure: Exogenous background exposures to EO reflect the combined contributions of ET and EO in air arising from the natural background (Pathway 2A) and anthropogenic, non-industrial releases (Pathway 2B). Monitoring data collected from rural and urban locations with no known industrial sources can be used to estimate the anthropogenic background.
- Total Background Exposure: Exposures reflecting the combined contributions from Pathways 1–3, which reflect typical exposures experienced by a nonsmoker or smoker who does not live near an industrial source.
2.1.1. Characterization of Total and Endogenous Exposures to EO
- HEVTns = Total HEV biomarker burden in nonsmokers (pmol/g hemoglobin);
- HEVE = HEV biomarker burden attributed to the endogenous production of EO (pmol/g hemoglobin);
- EOair = Concentration of EO in air (ppb, continuous);
- ETair = Concentration of ET in air (ppb, continuous);
- CF1 = Conversion factor to quantify the metabolic conversion of ET to EO within the body (unitless fraction);
- CF2 = Conversion factor based on the correlation between exogenous exposures to EO and HEV biomarker burden (pmol/g per ppb continuous).
2.1.2. Characterization of Total Exposures to EO (Parameters HEVTns, HEVTs)
2.1.3. Characterization of Exogenous Exposures to EO and ET
Exogenous Background Exposures to EO
Characterization of Exogenous Exposures to ET
2.1.4. Conversion Factors
2.1.5. Independent Validation of a Low-Dose Linear Relationship for HEV and EO Exposure Based on Smoker Data
2.1.6. Software
2.2. Application of Endogenous and Total Equivalent Exposure Estimates to Assess Exposures near EO Facilities
2.2.1. Characterization of Excess Exogenous EO Exposures near Industrial Facilities
2.2.2. Comparison of Near-Facility Population Total Exposure Concentration to Background TE Concentrations
3. Results
3.1. Endogenous and Total Equivalent Exposures
3.1.1. Total Exposures to EO
3.1.2. Background Exogenous Exposures to Ambient EO Concentrations in the U.S., EOair
3.1.3. Relationship Between Exogenous EO Exposures and HEV Biomarker Burdens (Parameter CF2)
Linear Regression Analysis of Worker HEV Data
Linear Regression Analysis of HEV Data from NHANES for Nonsmokers and Smokers
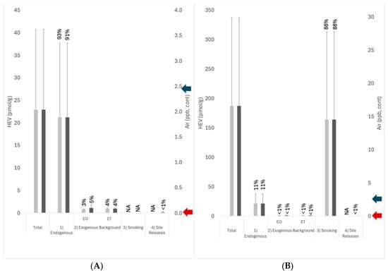
3.1.4. TE Values, EE Values, and Pathway Contributions to Total EO Exposure
3.1.5. Smoker Equivalent Exposures to EO
3.1.6. Independent Estimate of Smoking Exposure Equivalents for EO
3.2. Application of Endogenous and Total Exposure Estimates to Assess Exposures near EO Facilities
3.2.1. Risk Management and Risk Communication Context for Near-Facility Potential Population Exposure Concentrations
Comparisons to Background
Total Exposure and Total Equivalent Background Exposure Concentration Comparisons
Consistency of Background Exposure Concentrations with Risk-Specific Concentrations Inferred from USEPA and TCEQ Risk Assessments
4. Discussion
- Lack of Direct Endogenous EO Measurements—Direct measurements of endogenous EO levels are not required to quantify this pathway. Direct measurements are available for endogenous ET from closed-chamber studies of human volunteers [54,55], whose data were considered in the PBPK model developed for EO [20] and for which EO production from ET metabolism is consistent with toxicokinetic principles and model predictions (Figure 3). Hemoglobin biomarkers such as HEV serve as much better biomarkers of EO exposure than direct blood EO measurements, since they are cumulative biomarkers that reflect integrated exposures over several months prior to measurement, making them the biomarker of choice of EO for health agencies (e.g., CDC, DFG). More importantly, direct measurements for exogenous EO (USEPA’s air monitoring data) and for exogenous ET (Health Canada air monitoring data) account for only a fraction of the direct measurements made for total exposures to EO (CDC’s HEV data). Therefore, the indirect estimates of endogenous production based upon the difference between these two direct measurements of air monitoring and CDC’s total exposures remain scientifically sound.
- Other Biomarker Data Do Not Suggest a Large Endogenous Exposure—Data are also available for other biomarkers of exposure to ET, including measurements for ET in exhaled breath. USEPA [5] cites the study of Paardekooper et al. [56] as providing a baseline exhalation of ET (0.5 ppb; collected from measurements for a single breath) that does not support a large source of endogenous exposure. However, this exhalation value is inconsistent with other reported values in the published literature. For example, Popa et al. [57] reported exhalation levels of 27–29 ppb in healthy control subjects, and they historically range from 3–100 ppb in healthy individuals. Similarly, Bratu [58] reported baseline levels of ET for nose and mouth breathing of approximately 29–32 ppb. In closed-chamber studies of unexposed human volunteers, chamber concentrations of ET reached levels of approximately 20–50 ppb over a 1.5–2.5 h period [54,55]. Collectively, these data indicate that the unusually low levels reported in a single study [56] do not provide a strong argument to counter the indirect estimates for endogenous exposure obtained here using CDC’s HEV biomarker data.
- Background and Endogenous EO Exposures Are Not Integral to Estimate Extra Risk—the USEPA [5] asserts that endogenous and total background exposures to EO are not integral to extra risk determinations and therefore have no relevance to regulatory decision making. While true that both USEPA’s and TCEQ’s cancer potency derivation for EO does not need to include the consideration of these pathways, this is not the case when it comes to risk management and risk communication. By analogy to characterizations of background metals in soil, background comparisons are typically made for exposures to naturally occurring metals such as arsenic, chromium, and beryllium that may be present in soil [59], despite the fact that the cancer potency estimates for these metals are also derived in terms of extra risk [60]. The TE and EE values in Table 6 are intended to provide EO exposure comparisons that are analogous to USEPA’s approach for soils [59], in providing several options for identifying what level constitutes a “substantial difference” from the background, including (1) multiples of the mean background level, (2) multiples of the standard deviation for background levels, and (3) percentiles for the distribution of background levels.
5. Conclusions
Author Contributions
Funding
Institutional Review Board Statement
Informed Consent Statement
Data Availability Statement
Acknowledgments
Conflicts of Interest
References
- Kirman, C.R.; Li, A.A.; Sheehan, P.J.; Bus, J.S.; Lewis, R.C.; Hays, S.M. Ethylene oxide review: Characterization of total exposure via endogenous and exogenous pathways and their implications to risk assessment and risk management. J. Toxicol. Environ. Health Part B Crit. Rev. 2021, 24, 1–29. [Google Scholar]
- U.S. Environmental Protection Agency. Evaluation of the Inhalation Carcinogenicity of Ethylene Oxide (CASRN 75-21-8) in Support of Summary Information on the Integrated Risk Information System, EPA/635/R-16/350Fa; U.S. Environmental Protection Agency: Washington, DC, USA, 2016.
- TCEQ. Ethylene Oxide Carcinogenic Dose-Response Assessment; CAS Registry Number: 75-21-8; In Development Support Document Final, May 15, 2020; Texas Commission on Environmental Quality: Austin, TX, USA, 2020.
- Steenland, K.; Stayner, L.; Deddens, J. Mortality analyses in a cohort of 18 235 ethylene oxide exposed workers: Follow up ex-tended from 1987 to 1998. Occup. Environ. Med. 2004, 61, 2–7. [Google Scholar] [PubMed] [PubMed Central]
- U.S. Environmental Protection Agency. Summary of Public Comments and Responses for the Reconsideration of the 2020 National Emission Standards for Hazardous Air Pollutants: Miscellaneous Organic Chemical Manufacturing Residual Risk and Technology Review; U.S. Environmental Protection Agency Office of Air Quality Planning and Standards Sector Policies and Programs Division (EE-143-01): Research Triangle Park, NC, USA, 2022.
- U.S. Environmental Protection Agency (EPA). Guidance for Comparing Background and Chemical Concentrations in Soil for CERCLA Sites; Office of Emergency and Remedial Response U.S. Environmental Protection Agency: Washington, DC, USA, 2002; EPA 540-R-01-003, OSWER 9285.7–41.
- USEPA. HON Final Rule 05/16/2024. 89 FR 42932. 2024. Available online: https://www.federalregister.gov/documents/2024/05/16/2024-07002/new-source-performance-standards-for-the-synthetic-organic-chemical-manufacturing-industry-and (accessed on 17 September 2024).
- Bogen, K.T.; Sheehan, P.J.; Valdez-Flores, C.; Li, A.A. Reevaluation of historical exposures to ethylene oxide among U.S. steri-lization workers in the National Institute of Occupational Safety and Health (NIOSH) Study Cohort. Int. J. Environ. Res. Public Health 2019, 16, 1738. [Google Scholar] [CrossRef] [PubMed]
- Kirman, C.R.; Hays, S.M. Derivation of endogenous equivalent values to support risk assessment and risk management deci-sions for an endogenous carcinogen: Ethylene oxide. Regul. Toxicol. Pharmacol. 2017, 91, 165–172. [Google Scholar]
- Lewis, R.C.; Sheehan, P.J.; DesAutels, C.G.; Watson, H.N.; Kirman, C.R. Monitored and modeled ambient air concentrations of ethylene oxide: Contexualizing health risks for potentially exposed populations. Int. J. Environ. Res. Public Health 2022, 19, 3364. [Google Scholar]
- Sheehan, P.J.; Lewis, R.C.; Kirman, C.R.; Watson, H.N.; Winegar, E.D.; Bus, J.S. Ethylene oxide exposure in U.S. populations re-siding near sterilization and other industrial facilities: Context based on endogenous and total equivalent concentration ex-posures. Int. J. Environ. Res. Public Health 2021, 18, 607. [Google Scholar] [CrossRef]
- Centers for Disease Control and Prevention. National Report on Human Exposure to Environmental Chemicals: Ethylene Ox-ide Hemoglobin Adducts. Available online: https://www.cdc.gov/exposurereport/index.html (accessed on 11 January 2024).
- U.S. Environmental Protection Agency. Technical Note: Secondary Calibration Source Use for Ethylene Oxide Analysis in the National Air Toxics Trends Stations Network; Office of Air Quality Planning and Standards: Research Triangle Park, NC, USA, 2019.
- U.S. Environmental Protection Agency. Ethylene Oxide Measurements. Method TO-15/TO-15A Overview, Challenges, Re-sources and Next Steps. April 15, 2021. Available online: https://www.epa.gov/sites/default/files/2021-05/documents/eto-technical-webinar-041521-w-qandas.pdf (accessed on 13 November 2021).
- Georgia Department of Natural Resources. Ethylene Oxide Monitoring Report. Environmental Protection Division. Air Monitoring Branch. Atlanta, GA. May 12, 2022. Georgia Department of Natural Resources. Cobb County Air Quality Monitoring Test Results. Available online: https://epd.georgia.gov/cobb-county-air-quality-monitoring (accessed on 15 October 2021).
- U.S. Environmental Protection Agency. Effect of Canister Type on Background Ethylene Oxide Concentrations. Research Tri-angle Park, NC. May 7, 2021. Available online: https://www.epa.gov/sites/default/files/2021-05/documents/ord-eto-canister-background-memo-05072021.pdf (accessed on 15 May 2024).
- U.S. Environmental Protection Agency. Technical Note: The Ethylene Oxide (EtO) Canister Effect. Research Triangle Park, NC. May 25, 2021. Available online: https://www.epa.gov/sites/default/files/2021-05/documents/technical-note-on-eto-canister-effect-052521.pdf (accessed on 15 May 2024).
- U.S. Environmental Protection Agency. Air Quality System (AQS) Database. Available online: https://aqs.epa.gov/aqsweb/airdata/download_files.html (accessed on 4 August 2024).
- Health Canada. Windsor Exposure Assessment Study (2005–2006): Data Summary for Volatile Organic Compound Sampling. In Water, Air and Climate Change Bureau Healthy Environments and Consumer Safety Branch; H128-1/10-618E-PDF; Health Canada: Ottawa, ON, Canada, 2010. [Google Scholar]
- Filser, J.G.; Klein, D. A physiologically based toxicokinetic model for inhaled ethylene and ethylene oxide in mouse, rat, and human. Toxicol Lett. 2018, 286, 54–79. [Google Scholar]
- Csanady, G.A.; Denk, B.; Putz, C.; Kreuzer, P.E.; Kessler, W.; Baur, C.; Gargas, M.L.; Filser, J.G. A physiological Toxicokinetic model for exogenous and endogenous ethylene and ethylene oxide in rat, mouse, and human: Formation of 2-hydroxyethyl adducts with hemoglobin and DNA. Toxicol. Appl. Pharm. 2000, 165, 1–26. [Google Scholar]
- DFG. Ethylene Oxide: EKA and MAK Evaluation; DFG: Bonn, Germany, 1994. [Google Scholar]
- Lewalter, J. N-alkylvaline levels in globin as a new type of biomarker in risk assessment of alkylating agents. Int. Arch. Occup. Environ. Health 1996, 68, 519–530. [Google Scholar]
- Angerer, J.; Bader, M.; Krämer, A. Ambient and biochemical effect monitoring of workers exposed to ethylene oxide. Int. Arch. Occup. Environ. Health 1998, 71, 14–18. [Google Scholar]
- Boogaard, P.J.; Rocchi, P.S.; van Sittert, N.J. Biomonitoring of exposure to ethylene oxide and propylene oxide by determination of hemoglobin adducts: Correlations between airborne exposure and adduct levels. Int. Arch. Occup. Environ. Health 1999, 72, 142–150. [Google Scholar] [CrossRef] [PubMed]
- Yong, L.C.; Schulte, P.A.; Wiencke, J.K.; Boeniger, M.F.; Connally, L.B.; Walker, J.T.; Whelan, E.A.; Ward, E.M. Hemoglobin ad-ducts and sister chromatid exchanges in hospital workers exposed to ethylene oxide: Effects of glutathione S-transferase T1 and M1 genotypes. Cancer Epidemiol. Biomark. Prev. 2001, 10, 539–550. [Google Scholar]
- Hagmar, L.; Welinder, H.; Lindén, K.; Attewell, R.; Osterman-Golkar, S.; Törnqvist, M. An epidemiological study of cancer risk among workers exposed to ethylene oxide using hemoglobin adducts to validate environmental exposure assessments. Int. Arch. Occup. Environ. Health 1991, 63, 271–277. [Google Scholar] [CrossRef] [PubMed]
- Sarto, F.; Tornqvist, M.A.; Tomanin, R.; Bartolucci, G.B.; Osterman-Golkar, S.M.; Ehrenberg, L. Studies of biological and chemical monitoring of low-level exposure to ethylene oxide. Scand J. Work. Environ. Health 1991, 17, 60–64. [Google Scholar] [CrossRef]
- Duus, U.; Osterman-Golkar, S.; Törnqvist, M.; Mowrer, J.; Holm, S.; Ehrenberg, L. Studies of determinants of tissue dose and cancer risk from ethylene oxide exposure. In Proceedings of the Symposium on Management of Risk from Genotoxic Substances in the Environment; Swedish National Chemicals Inspectorate: Solna, Sweden, 1989; pp. 141–153. [Google Scholar]
- Ehrenberg, L.; Tornqvist, M. The research background for risk assessment of ethylene oxide: Aspects of dose. Mutat. Res. 1995, 330, 41–54. [Google Scholar] [CrossRef]
- Mayer, J.; Warburton, D.; Jeffrey, A.M.; Pero, R.; Walles, S.; Andrews, L.; Toor, M.; Latriano, L.; Wazneh, L.; Tang, D.; et al. Bio-logic markers in ethylene oxide-exposed workers and controls. Mutat. Res. 1991, 248, 163–176. [Google Scholar] [CrossRef]
- Osterman-Golkar, S.; Bergmark, E. Occupational exposure to ethylene oxide. Relation between in vivo dose and exposure dose. Scand. J. Work. Environ. Health 1988, 14, 372–377. [Google Scholar] [CrossRef]
- Liu, X.; Joza, P.; Masters, A.; Rickert, W. Determination of ethylene oxide in mainstream cigarette smoke using hydrobromic acid derivatization and gas chromoatograph-mass spectrometry. In Proceedings of the CORESTA Congress, Quebec, QC, Canada, 12–16 October 2014. Smoke Science/Product Technology Groups ST 71. [Google Scholar]
- Forster, M.; Fiebelkorn, S.; Yurteri, C.; Mariner, D.; Liu, C.; Wright, C.; McAdam, K.; Murphy, J.; Proctor, C. Assessment of novel tobacco heating product THP1.0. Part 3: Comprehensive chemical characterisation of harmful and potentially harmful aerosol emissions. Regul. Toxicol. Pharmacol. 2018, 93, 14. [Google Scholar] [CrossRef]
- Marano, K.M.; Liu, C.; Fuller, W.; Robinan Gentry, P. Quantitative risk assessment of tobacco products: A potentially useful component of substantial equivalence evaluations. Regul. Toxicol. Pharmacol. 2018, 95, 371–384. [Google Scholar] [CrossRef]
- Jaccard, G.; Djoko, D.T.; Korneliou, A.; Stabbert, R.; Belushkin, M.; Esposito, M. Mainstream smoke constituents and in vitro toxicity comparative analysis of 3R4F and 1R6F reference cigarettes. Toxicol. Rep. 2019, 6, 222. [Google Scholar] [CrossRef]
- U.S. Centers for Disease Control and Prevention (CDC). Smoking Is Down, But Almost 38 Million American Adults Still Smoke. Available online: https://archive.cdc.gov/#/details?url=https://www.cdc.gov/media/releases/2018/p0118-smoking-rates-declining.html (accessed on 2 August 2024).
- U.S. Environmental Protection Agency. Exposure Factors Handbook: 2011 Edition; EPA/600/R-090/052F, September 2011; U.S. Environmental Protection Agency: Washington, DC, USA, 2011.
- Georgia Department of Natural Resources. Cobb Air Quality Monitoring Test Results. Available online: https://epd.georgia.gov/cobb-county-air-quality-monitoring#main-content (accessed on 2 August 2024).
- Georgia Department of Natural Resources. Covington Air Quality Monitoring Test Results. Available online: https://epd.georgia.gov/covington-monitoring-results (accessed on 2 August 2024).
- Georgia Department of Natural Resources. Fulton County Air Quality Monitoring Test Results. Available online: https://epd.georgia.gov/fulton-county-monitoring-results (accessed on 2 August 2024).
- Georgia Department of Natural Resources. General Coffee State Park Air Quality Monitoring Test Results. Available online: https://epd.georgia.gov/gneral-coffee-monitoring-results (accessed on 2 August 2024).
- Georgia Department of Natural Resources. South DeKalb Air Quality Monitoring Test Results. Available online: https://epd.georgia.gov/south-dekalb-monitoring-results (accessed on 2 August 2024).
- Utah Department of Environmental Quality. Ethylene Oxide Monitoring Data from Ambient Monitoring and Health Risk Assessment of Ethylene Oxide Emissions from Commercial Sterilizers in Utah Provided on September 6, 2024, Based on a Request for Public Records; Utah Department of Environmental Quality: Salt Lake City, UT, USA, 2024.
- Agency for Toxic Substances and Disease Registry. Toxicological Profile for Ethylene Oxide, Draft for Public Comment; Agency for Toxic Substances and Disease Registry: Atlanta, GA, USA, 2022.
- Wu, K.-Y.; Chiang, S.-Y.; Huang, T.-H.; Tseng, Y.-S.; Chen, Y.-L.; Kuo, H.-W.; Hsieh, C.-L. Formation of N-(2-hydroxyethyl)valine in human hemoglobin—Effect of lifestyle factors. Mutat. Res. 2004, 559, 73–82. [Google Scholar] [CrossRef] [PubMed]
- Bader, M.; Lewalter, J.; Angerer, J. Analysis of N-alkylated amino acids in human hemoglobin: Evidence for elevated N-methylvaline levels in smokers. Int. Arch. Occup. Environ. Health 1995, 67, 237–242. [Google Scholar] [CrossRef] [PubMed]
- Bailey, E.; Brooks, A.G.; Dollery, C.T.; Farmer, P.B.; Passingham, B.J.; Sleightholm, M.A.; Yates, D.W. Hydroxyethylvaline ad-duct formation in haemoglobin as a biological monitor of cigarette smoke intake. Arch. Toxicol. 1988, 62, 247. [Google Scholar] [CrossRef] [PubMed]
- Tornqvist, M.; Osterman-Golkar, S.; Kautianinen, A.; Jensen, S.; Farmer, P.B.; Ehrenberg, L. Tissue doses of ethylene oxide in cigarette smokers determined from adduct levels in hemoglobin. Carcinogenesis 1986, 7, 1519–1521. [Google Scholar] [CrossRef]
- USSG. The Health Consequences of Smoking—50 Years of Progress. In A Report of the Surgeon General; U.S. Department of Health and Human Services: Atlanta, GA, USA, 2014. [Google Scholar]
- Valdez-Flores, C.; Sielken, R.L., Jr.; Teta, M.J. Quantitative cancer risk assessment based on NIOSH and UCC epidemiological data for workers exposed to ethylene oxide. Regul. Toxicol. Pharmacol. 2010, 56, 312–320. [Google Scholar] [CrossRef]
- USSG. The Health Consequences of Smoking. In A Report of the Surgeon General; U.S. Department of Health and Human Services: Atlanta, GA, USA, 2004. [Google Scholar]
- U.S. Environmental Protection Agency. Guidelines for Carcinogen Risk Assessment; EPA/630/P-03/001F; U.S. Environmental Protection Agency|Risk Assessment Forum: Washington, DC, USA, 2005.
- Filser, J.G.; Denk, B.; Tornqvist, M.; Kessler, W.; Ehrenberg, L. Pharmacokinetics of ethylene in man; body burden with ethylene oxide and hydroxylation of hemoglobin due to endogenous and environmental ethylene. Arch. Toxicol. 1992, 66, 157–163. [Google Scholar] [CrossRef]
- Denk, B. Abshatzung des Kanzerogenen Risikos von Ethylen und Ethylenoxid fur den Menschen Durch Speziesextrapolation von der Ratte Unter Berticksichtigung der Pharmakokinetik; GSF-Beericht 20/90; Forschungszentrum für Umwelt und Gesundheit: Neuherberg, Germany, 1990; ISSN 0721-1964. [Google Scholar]
- Paardekooper, L.M.; van den Borgaart, G.; Kox, M.; Dingjan, I.; Neerincx, A.H.; Bendix, M.B.; ter Beest, M.; Harren, F.J.M.; Ris-by, T.; Pickkers, P.; et al. Ethylene, an early marker of systemic inflammation in humans. Sci. Rep. 2017, 7, 6889. [Google Scholar] [CrossRef]
- Popa, C.; Bratu, A.M.; Petrus, M. A comparative photoacoustic study of multi gases from human respiration: Mouth breathing vs. nasal breathing. Microchem. J. 2018, 139, 196–202. [Google Scholar] [CrossRef]
- Bratu, A.M. Spectroscopic study of breath ethylene via the mouth and nose. Lasers Med. Sci. 2019, 34, 773–778. [Google Scholar] [CrossRef]
- U.S. Environmental Protection Agency. Role of Background in the CERCLA Cleanup Program; OSWER 9285.6–07P; U.S. Environmental Protection Agency: Washington, DC, USA, 2002.
- U.S. Environmental Protection Agency. Integrated Risk Information System; (IRIS Database Accessed September 17, 2024); U.S. Environmental Protection Agency: Washington, DC, USA, 2022.






| HEV Concentration (pmol/g Hemoglobin) ** | |||||
|---|---|---|---|---|---|
| Population * | Detection Frequency | Detected Range | Arithmetic Mean | Standard Deviation | Percentiles |
| Nonsmokers (serum cotinine ≤10 μg/L) | 6415/6695 (95.8%) | 8.27–656 | 22.9 | 17.8 | P01 = 5.8 P05 = 9.2 P10 = 12.1 P25 = 15.4 P40 = 17.9 P50 = 19.7 P60 = 21.7 P75 = 25.9 P90 = 34.8 P95 = 42.2 P99 = 76.9 |
| Smokers (serum cotinine > 10 μg/L) | 1423/1428 (99.6%) | 8.59–1460 | 187 | 150 | P01 = 13.4 P05 = 22.3 P10 = 36.4 P25 = 83.3 P40 = 127.1 P50 = 154.4 P60 = 186.9 P75 = 249.7 P90 = 370.5 P95 = 459.2 P99 = 660.0 |
| Pre-Refinement 2 | Post-Refinement 3 | ||||
|---|---|---|---|---|---|
| Descriptor | 2019 | 2020 | 2021 | 2022 | 2023 |
| Unique States Reporting Data (N) | 11 | 19 | 20 | 19 | 22 |
| Unique Site Locations Reporting Data (N) | 26 | 45 | 61 | 56 | 56 |
| Collection Method: Passive (N) [% non-detect] 1 | 696 [11.8] | 1173 [6.4] | 1967 [11.3] | 2089 [18.9] | 1762 [11.0] |
| Collection Method: Pressurized (N) [% non-detect] 1 | 355 [8.5] | 989 [10.9] | 1470 [13.9] | 1200 [11.2] | 1117 [3.0] |
| Parameter (Abbreviation) | Units | Distribution | Basis |
|---|---|---|---|
| Total hydroxyethylvaline (HEVTns) | pmol/g hemoglobin | Custom Distribution based on percentiles: Min = 5.8 Max = 280 * P01 = 5.8 P05 = 9.2 P10 = 12.1 P25 = 15.4 P40 = 17.9 P50 = 19.7 P60 = 21.7 P75 = 25.9 P90 = 34.8 P95 = 42.2 P99 = 76.9 | Distribution is based on HEV measurements made for U.S. nonsmokers as reported by CDC NHANES (for 2013–2020 combined). Distribution reflects temporal and interindividual variation across various demographic, genetic, and health factors. |
| Concentration of EO in air (EOair) | ppb (continuous exposure) | Custom distribution based on percentiles: Min = 0.015 Max = 0.65 P01 = 0.015 P05 = 0.015 P10 = 0.015 P25 = 0.030 P50 = 0.050 P75 = 0.080 P90 = 0.11 P95 = 0.15 P99 = 0.40 | Distribution is based on ambient air concentrations of EO from USEPA air monitoring data. Distribution reflects daily temporal and geospatial variation and was used to characterize variation in the mean concentration experienced over the lifetime of an erythrocyte (120 days). Based on this simulation, the 120-day average exposure was characterized as a normal distribution (mean = 0.068, SD = 0.0066). |
| Concentration of ethylene in air (ETair) | ppb (continuous exposure) | Custom distribution based on percentiles: Min = 0.94 Max = 105 P05 = 1.4 P25 = 2.3 P50 = 3.1 P75 = 4.7 P90 = 9.0 P95 = 13.6 | Distribution is based on personal air concentrations of ET from Health Canada air monitoring data [19]. Distribution reflects daily temporal and interindividual variation, and was used to characterize variation in the mean concentration experienced over the lifetime of an erythrocyte (120 days). Based on this simulation the 120-day average exposure was characterized as a normal distribution (mean = 6.6, SD = 1.3). |
| Conversion Factor 1: Metabolic conversion fraction of ET to EO (CF1) | Unitless | Pert (0.005, 0.0125, 0.05) | Best estimate reflects predictions by the PBPK model of Filser and Klein [20] for humans exposed to either EO or ET; the upper limit is based upon the published estimate of Csanady et al. (2000) [21]; the lower limit is based on professional judgement. Distribution reflects uncertainty in the fraction of ET that is metabolically converted to EO within the body. |
| Conversion Factor 2: Correlation slope for HEV as a function of EO exposure (CF2) | pmol/g hemoglobin per ppb continuous exposure | Normal (11.3, 4.2) | Range reflects the uncertainty in the slope term based upon a robust errors linear regression of worker HEV data (Figure 3). The slope was converted to a continuous exposure basis adjusted for worker exposure frequency (250 vs. 365 days/year) and breathing rate (10 vs. 20 m3/day). Distribution encompasses slopes from pharmacokinetic model predictions (DFG 1994) [22] and PBPK modeling predictions [17]. |
| Facility | Location | Monitoring Dates | n (Sites) 1 | Dist. 2 |
|---|---|---|---|---|
| Sterigenics [39] | Smyrna, GA | 1/2021–9/2022 | 141 (6) | ~260–1640 |
| Becton Dickinson [40] | Covington, GA | 1/2021–9/2022 | 139 (5) | ~110–2370 |
| Sterilization Services [41] | Atlanta, GA | 1/2021–9/2022 | 106 (3) | ~110–5630 |
| Background [42] | General Coffee, GA | 1/2021–9/2022 | 26 (1) | >290,000 |
| Background [43] | South DeKalb, GA | 1/2021–9/2022 | 175 (1) | >22,500 |
| BD Medical [44] | Salt Lake City, UT | 1–3, 7–9/2022 | 109, 81 (8) | ~180–900 |
| Sterigenics [44] | Salt Lake City, UT | 1–3, 7/9/2022 | 47, 28 (4) | ~230–700 |
| Background [44] | Salt Lake City, UT | 1–3, 7–9/2022 | 53, 62 (5) | >4425 |
| 2019 | 2020 | 2019–2020 Pre-Refinement | 2021 | 2022 | 2023 | 2021–2023 Post-Refinement | ||||||||
|---|---|---|---|---|---|---|---|---|---|---|---|---|---|---|
| Statistic | Passive | Pressurized | Passive | Pressurized | Passive | Pressurized | Passive | Pressurized | Passive | Pressurized | Passive | Pressurized | Passive | Pressurized |
| N | 347 | 290 | 698 | 929 | 1045 | 1219 | 1318 | 1315 | 1552 | 1046 | 1222 | 979 | 4092 | 3340 |
| Mean (St. Dev.) | 0.113 (0.099) | 0.080 (0.054) | 0.076 (0.085) | 0.075 (0.058) | 0.088 (0.092) | 0.076 (0.057) | 0.064 (0.068) | 0.069 (0.063) | 0.068 (0.070) | 0.070 (0.062) | 0.064 (0.062) | 0.079 (0.072) | 0.066 (0.067) | 0.072 (0.065) |
| 5th Percentile | 0.015 | 0.015 | 0.015 | 0.015 | 0.015 | 0.015 | 0.015 | 0.015 | 0.015 | 0.015 | 0.015 | 0.020 | 0.015 | 0.015 |
| 10th Percentile | 0.015 | 0.015 | 0.015 | 0.015 | 0.015 | 0.015 | 0.015 | 0.015 | 0.015 | 0.015 | 0.015 | 0.030 | 0.015 | 0.015 |
| 25th Percentile | 0.03 | 0.050 | 0.050 | 0.045 | 0.050 | 0.045 | 0.035 | 0.040 | 0.015 | 0.040 | 0.040 | 0.040 | 0.030 | 0.040 |
| 50th Percentile (Median) | 0.085 | 0.070 | 0.050 | 0.065 | 0.050 | 0.065 | 0.050 | 0.055 | 0.050 | 0.060 | 0.050 | 0.060 | 0.050 | 0.060 |
| 75th Percentile | 0.158 | 0.100 | 0.055 | 0.090 | 0.100 | 0.093 | 0.070 | 0.080 | 0.090 | 0.085 | 0.080 | 0.090 | 0.080 | 0.085 |
| 90th Percentile | 0.245 | 0.130 | 0.120 | 0.125 | 0.200 | 0.130 | 0.100 | 0.123 | 0.130 | 0.115 | 0.100 | 0.120 | 0.110 | 0.120 |
| 95th Percentile | 0.320 | 0.165 | 0.250 | 0.165 | 0.283 | 0.165 | 0.150 | 0.170 | 0.157 | 0.139 | 0.140 | 0.190 | 0.150 | 0.165 |
| Hemoglobin Adduct (pmol/g) | Equivalent Exogenous EO Exposure (ppb, Continuous) | ||||
|---|---|---|---|---|---|
| Basis | Multiplier or Percentile | HEVTns | HEVE, Attributed to Endogenous Pathways (90% CI) | TE, Corresponding to Total HEV (90% CI) | EE, Corresponding to Endogenous HEV (90% CI) |
| Multiples of HEVTns Mean (22.9 pmol/g) | 0.1 | 2.3 | 2.1 (1.9–2.2) | 0.35 (0.13–0.52) | 0.33 (0.11–0.5) |
| 0.25 | 5.7 | 5.2 (4.7–5.6) | 0.87 (0.31–1.3) | 0.82 (0.27–1.3) | |
| 0.5 | 11.5 | 10.4 (9.4–11.1) | 1.7 (0.63–2.6) | 1.6 (0.53–2.5) | |
| 1 | 22.9 | 20.8 (18.9–22.2) | 3.5 (1.3–5.2) | 3.3 (1.1–5) | |
| 2 | 45.8 | 41.6 (37.8–44.4) | 7 (2.5–10.4) | 6.6 (2.1–10.1) | |
| 3 | 68.7 | 62.4 (56.6–66.6) | 10.4 (3.8–15.6) | 9.9 (3.2–15.1) | |
| Multiples of HEVTns SD (17.8 pmol/g) | 0.1 | 1.8 | 1.6 (1.4–1.7) | 0.3 (0.1–0.4) | 0.3 (0.1–0.4) |
| 0.25 | 4.5 | 3.9 (3.4–4.3) | 0.7 (0.2–1) | 0.6 (0.2–1) | |
| 0.5 | 8.9 | 7.9 (6.9–8.6) | 1.4 (0.5–2) | 1.3 (0.4–1.9) | |
| 1 | 17.8 | 15.7 (13.8–17.1) | 2.7 (1–4.1) | 2.5 (0.8–3.9) | |
| 2 | 35.6 | 31.4 (27.6–34.2) | 5.4 (2–8.1) | 5 (1.6–7.7) | |
| 3 | 53.4 | 47.1 (41.3–51.3) | 8.1 (2.9–12.2) | 7.6 (2.4–11.6) | |
| Percentiles for HEVTns | 0.01 | 5.8 | 3.7 (1.8–5.1) | 0.9 (0.3–1.3) | 0.7 (0.1–1.1) |
| 0.05 | 9.2 | 7.1 (5.2–8.5) | 1.4 (0.5–2.1) | 1.2 (0.3–1.9) | |
| 0.1 | 12.1 | 10 (8.1–11.4) | 1.8 (0.7–2.8) | 1.7 (0.5–2.6) | |
| 0.25 | 15.4 | 13.3 (11.4–14.7) | 2.3 (0.8–3.5) | 2.2 (0.7–3.3) | |
| 0.4 | 17.9 | 15.8 (13.9–17.2) | 2.7 (1–4.1) | 2.5 (0.8–3.9) | |
| 0.5 | 19.7 | 17.6 (15.7–19) | 3 (1.1–4.5) | 2.8 (0.9–4.3) | |
| 0.6 | 21.7 | 19.6 (17.7–21) | 3.3 (1.2–4.9) | 3.1 (1–4.8) | |
| 0.75 | 25.9 | 23.8 (21.8–25.2) | 3.9 (1.4–5.9) | 3.7 (1.2–5.7) | |
| 0.9 | 34.8 | 32.7 (30.8–34.1) | 5.3 (1.9–7.9) | 5.1 (1.7–7.7) | |
| 0.95 | 42.2 | 40.1 (38.2–41.5) | 6.4 (2.3–9.6) | 6.2 (2.1–9.4) | |
| 0.99 | 76.9 | 74.8 (72.9–76.2) | 11.7 (4.2–17.5) | 11.5 (4–17.3) | |
| Statistic | Total HEV (pmol/g) (CDC, 2024) | Total Equivalent Exposure to EO (ppb, Continuous) |
|---|---|---|
| mean | 187.1 | 16.6 |
| P01 | 13.4 | 1.2 |
| P05 | 22.3 | 2.0 |
| P10 | 36.4 | 3.2 |
| P25 | 83.3 | 7.4 |
| P40 | 127.1 | 11.2 |
| P50 | 154.4 | 13.7 |
| P60 | 186.9 | 16.5 |
| P75 | 249.7 | 22.1 |
| P90 | 370.5 | 32.8 |
| P95 | 459.2 | 40.6 |
| P99 | 660.0 | 58.4 |
| Facility | Sample Site (n) 1 | Distance 2 | 2021 Mean (SD) 3,4,5,6 | 2021 P50 | 2022 Mean (SD) 3,4,5,6 | 2022 P50 |
|---|---|---|---|---|---|---|
| ppb | ppb | ppb | ppb | |||
| Georgia | ||||||
| Sterigenics | S1 (22) | ~1420 sw | 0.109 (0.054) | 0.097 | ||
| S2 (52) | ~1640 w | 0.098 (0.053) 6 | 0.084 | |||
| S3 (21) | ~910 e | 0.175 (0.132) 4,5 | 0.141 | |||
| S4 (18) | ~260 n | 0.120 (0.067) | 0.103 | |||
| S6 (12) | ~1570 nw | 0.136 (0.042) 4 | 0.130 | 0.160 (0.257) | 0.093 | |
| S7 (16) | ~1350 nw | 0.254 (0.230) 6 | 0.182 | 0.083 (0.030) | 0.076 | |
| Becton Dickinson | C2 (56) | ~1020 se | 0.133 (0.100) 4,6 | 0.108 | 0.089 (0.043) 4,6 | 0.108 |
| C3 (23) | ~730 s | 0.175 (0.239) | 0.113 | |||
| C4 (22) | ~800 w | 0.138 (0.084) | 0.115 | |||
| C5 (22) | ~330 s | 0.154 (0.172) | 0.104 | |||
| C7 (7) | ~400 se | 0.224 (0.242) 6 | 0.150 | |||
| C7SA/C3SA (9) | ~630 s | 0.094 (0.055) | 0.082 | |||
| Sterilization Services | F1 (34) | ~830 se | 0.152 (0.089) 4,6 | 0.128 | 0.096 (0.059) | 0.079 |
| F2 (55) | ~340 se | 0.213 (0.164) 4,5,6 | 0.173 | 0.171 (0.221) 4,5,6 | 0.121 | |
| F4 (17) | ~5360 nw | 0.109 (0.086) | 0.089 | |||
| Background | GC (26) | >290,000 | 0.056 (0.025) | 0.051 | 0.049 (0.021) | 0.046 |
| SD (1750) | >22,500 | 0.098 (0.058) | 0.085 | 0.073 (0.027) | 0.068 | |
| USPA | 0.064 (0.068) | 0.069 (0.063) | ||||
| USPR | 0.068 (0.070) | 0.070 (0.062) |
| Facility | Sample Site (n) 1 | Distance 2 | Summer Mean (SD) 3,4 | P50 | Winter Mean (SD) 3,4 | P50 |
|---|---|---|---|---|---|---|
| ppb | ppb | ppb | ppb | |||
| Utah | ||||||
| Sterigenics | SG1 (13, 8) | ~285 se | 0.236 (0.099) 4 | 0.214 | 0.121 (0.063) 4 | 0.106 |
| SG2 (12, 7) | ~450 nw | 0.419 (0.025) 4 | 0.340 | 0.091 (0.053) | 0.077 | |
| SG3 (12, 13) | ~700 n | 0.173 (0.074) | 0.157 | 0.067 (0.031) | 0.061 | |
| SG4 (10, -) | ~230 sw | 0.340 (0.284) 4 | 0.272 | |||
| BD Medical | BD1 (13, 6) | ~180 w | 0.405 (0.301) 4 | 0.321 | 0.127 (0.063) 4 | 0.113 |
| BD2 (12, 12) | ~300 w | 0.258 (0.123) 4 | 0.230 | 0.074 (0.043) | 0.066 | |
| BD3 (13, 7) | ~300 s | 0.344 (0.306) 4 | 0.263 | 0.088 (0.055) | 0.078 | |
| BD4 (16, 13) | ~780 s | 0.129 (0.043) | 0.123 | 0.050 (0.013) | 0048 | |
| BD5 (14, 13) | ~900 s | 0.192 (0.076) | 0.177 | 0.058 (0.012) | 0.057 | |
| BD6 (13, 9) | ~500 se | 0.496 (1.25) | 0.183 | 0.069 (0.029) | 0.064 | |
| BD7 (14, 9) | ~690 ne | 0.203 (0.174) | 0.169 | 0.048 (0.012) | 0.047 | |
| BD8 (14, 12) | ~1400 nw | 0.169 (0.121) | 0.143 | 0.047 (0.013) | 0.046 | |
| Background | BG1 (14, 11) | >1850 | 0.130 (0.048) | 0.123 | 0.044 (0.019) | 0.041 |
| BG2 (12, 13) | >1850 | 0.107 (0.058) | 0.095 | 0.047 (0.017) | 0.044 | |
| BG3 (12, 12) | >1850 | 0.142 (0.055) | 0.133 | 0.053 (0.012) | 0.052 | |
| BG4 (15, 13) | >1850 | 0.135 (0.057) | 0.125 | 0.059 (0.009) | 0.058 | |
| BG5 (-, 13) | >1850 | 0.045 (0.018) | 0.043 | |||
| BG1-5 S (53) | >1850 | 0.129 (0.054) | 0.119 | |||
| BG1-5 W (62) | >1850 | 0.050 (0.016) | 0.047 |
Disclaimer/Publisher’s Note: The statements, opinions and data contained in all publications are solely those of the individual author(s) and contributor(s) and not of MDPI and/or the editor(s). MDPI and/or the editor(s) disclaim responsibility for any injury to people or property resulting from any ideas, methods, instructions or products referred to in the content. |
© 2025 by the authors. Licensee MDPI, Basel, Switzerland. This article is an open access article distributed under the terms and conditions of the Creative Commons Attribution (CC BY) license (https://creativecommons.org/licenses/by/4.0/).
Share and Cite
Kirman, C.R.; Sheehan, P.J.; Li, A.A.; Bus, J.S.; Su, S.H.; Dopart, P.J.; Watson, H.N.; Moynihan, E.E.; Reiss, R. Characterization of Background Exposures to Ethylene Oxide in the United States: A Reality Check on Theoretical Health Risks for Potentially Exposed Populations near Industrial Sources. Int. J. Environ. Res. Public Health 2025, 22, 597. https://doi.org/10.3390/ijerph22040597
Kirman CR, Sheehan PJ, Li AA, Bus JS, Su SH, Dopart PJ, Watson HN, Moynihan EE, Reiss R. Characterization of Background Exposures to Ethylene Oxide in the United States: A Reality Check on Theoretical Health Risks for Potentially Exposed Populations near Industrial Sources. International Journal of Environmental Research and Public Health. 2025; 22(4):597. https://doi.org/10.3390/ijerph22040597
Chicago/Turabian StyleKirman, Christopher R., Patrick J. Sheehan, Abby A. Li, James S. Bus, Steave H. Su, Pamela J. Dopart, Heather N. Watson, Emma E. Moynihan, and Rick Reiss. 2025. "Characterization of Background Exposures to Ethylene Oxide in the United States: A Reality Check on Theoretical Health Risks for Potentially Exposed Populations near Industrial Sources" International Journal of Environmental Research and Public Health 22, no. 4: 597. https://doi.org/10.3390/ijerph22040597
APA StyleKirman, C. R., Sheehan, P. J., Li, A. A., Bus, J. S., Su, S. H., Dopart, P. J., Watson, H. N., Moynihan, E. E., & Reiss, R. (2025). Characterization of Background Exposures to Ethylene Oxide in the United States: A Reality Check on Theoretical Health Risks for Potentially Exposed Populations near Industrial Sources. International Journal of Environmental Research and Public Health, 22(4), 597. https://doi.org/10.3390/ijerph22040597

