Sustainable Development Goals (SDGs), Public Health Expenditures, and Maternal and Child Mortality in Selected African Countries: Forecasting Modelling
Abstract
1. Introduction
2. Literature Review
3. Materials and Methods
3.1. Estimating Technique
3.2. Model Specification
3.3. Forecasting Evaluation Method
4. Results
4.1. Regression Results
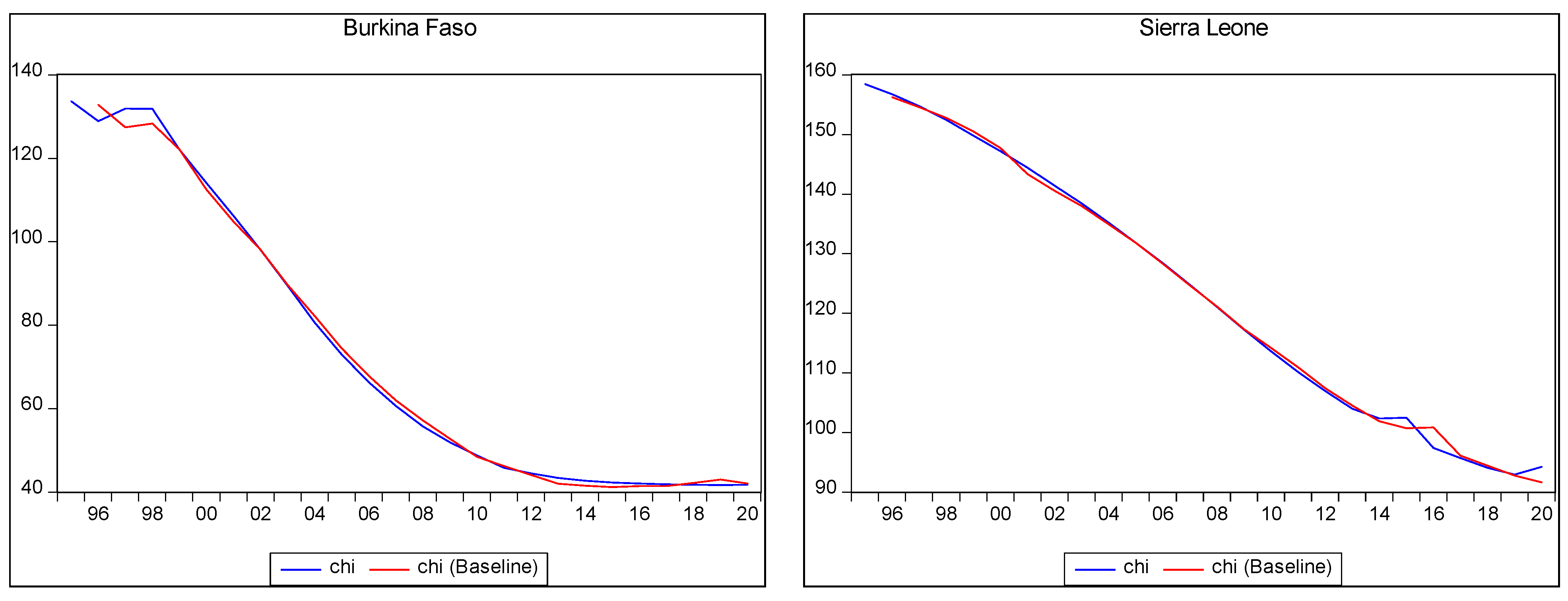
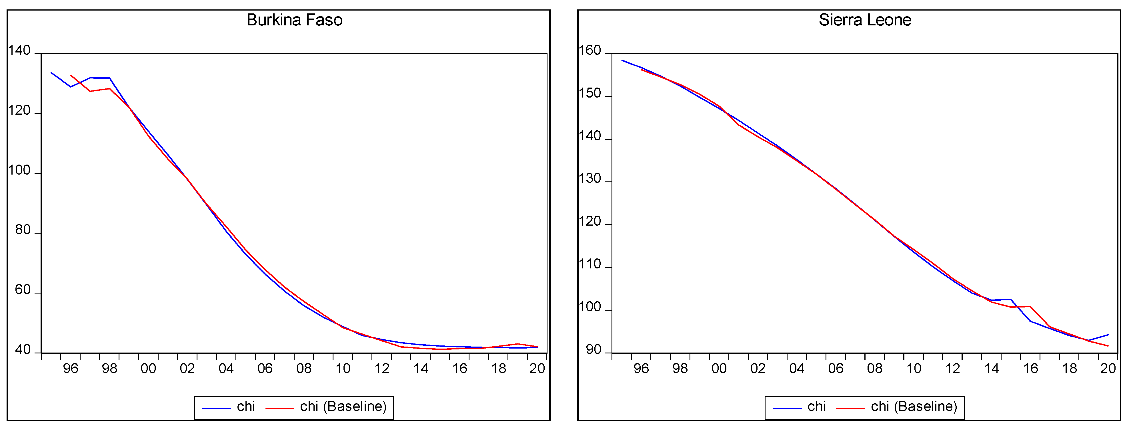
4.2. In-Sample and Out-of-Sample Result




| Country | 2021 Numbers Per 100,000 | 2025 Numbers Per 100,000 | 2030 Numbers Per 100,000 |
|---|---|---|---|
| Angola | 229 | 193 | 145 |
| Burkina Faso | 293 | 263 | 225 |
| Benin | 364 | 332 | 289 |
| Botswana | 136 | 120 | 103 |
| Burundi | 528 | 478 | 397 |
| Cameroon | 517 | 485 | 431 |
| CAR | 792 | 748 | 694 |
| Côte d’Ivoire | 596 | 558 | 502 |
| Eswatini | 426 | 414 | 380 |
| Gambia | 240 | 222 | 199 |
| Kenya | 337 | 284 | 211 |
| Lesotho | 556 | 521 | 456 |
| Mauritania | 755 | 734 | 703 |
| Mozambique | 253 | 193 | 138 |
| Namibia | 178 | 152 | 114 |
| Niger | 475 | 392 | 294 |
| Nigeria | 899 | 833 | 724 |
| Rwanda | 227 | 209 | 199 |
| Sierra Leone | Nil | Nil | Nil |
| South Africa | 112 | 98 | 79 |
| Senegal | 284 | 237 | 176 |
| Sudan | 274 | 236 | 181 |
| Tanzania | 498 | 442 | 373 |
| Togo | 386 | 367 | 335 |





| Country | 2021 | 2025 | 2030 |
|---|---|---|---|
| Angola | 86 | 82 | 74 |
| Burkina Faso | 42 | 40 | 34 |
| Benin | 67 | 65 | 63 |
| Botswana | 54 | 49 | 44 |
| Burundi | 55 | 49 | 40 |
| Cameroon | 58 | 52 | 40 |
| CAR | 121 | 121 | 120 |
| Côte d’Ivoire | Nil | Nil | Nil |
| Eswatini | 55 | 48 | 39 |
| Gambia | 45 | 43 | 41 |
| Kenya | 82 | 81 | 80 |
| Lesotho | 93 | 87 | 72 |
| Mauritania | 83 | 80 | 78 |
| Mozambique | 75 | 72 | 70 |
| Namibia | 49 | 45 | 34 |
| Niger | 61 | 57 | 52 |
| Nigeria | 92 | 87 | 77 |
| Rwanda | 40 | 37 | 35 |
| Sierra Leone | Nil | Nil | Nil |
| South Africa | 29 | 26 | 21 |
| Senegal | 38 | 33 | 18 |
| Sudan | 52 | 50 | 47 |
| Tanzania | 45 | 41 | 36 |
| Togo | 54 | 49 | 40 |
| Country | 2021 | 2025 | 2030 |
|---|---|---|---|
| Angola | 219 | 171 | 118 |
| Burkina Faso | 281 | 235 | 186 |
| Benin | 351 | 298 | 240 |
| Botswana | 128 | 104 | 82 |
| Burundi | 512 | 435 | 332 |
| Cameroon | 501 | 438 | 361 |
| CAR | 770 | 679 | 584 |
| Côte d’Ivoire | 578 | 505 | 421 |
| Eswatini | 412 | 373 | 317 |
| Gambia | 230 | 198 | 164 |
| Kenya | 325 | 254 | 174 |
| Lesotho | 527 | 430 | 323 |
| Mauritania | 734 | 666 | 592 |
| Mozambique | 242 | 171 | 112 |
| Namibia | 169 | 134 | 91 |
| Niger | 460 | 353 | 244 |
| Nigeria | 875 | 756 | 610 |
| Rwanda | 217 | 186 | 164 |
| Sierra Leone | Nil | Nil | Nil |
| South Africa | 104 | 84 | 62 |
| Senegal | 275 | 211 | 144 |
| Sudan | 263 | 210 | 148 |
| Tanzania | 482 | 399 | 312 |
| Togo | 373 | 330 | 279 |
| Child Mortality | 2021 | 2025 | 2030 |
|---|---|---|---|
| Angola | 79 | 69 | 57 |
| Burkina Faso | 39 | 31 | 24 |
| Benin | 60 | 54 | 48 |
| Botswana | 47 | 39 | 30 |
| Burundi | 48 | 39 | 25 |
| Cameroon | 50 | 39 | 25 |
| CAR | 110 | 105 | 94 |
| Côte d’Ivoire | Nil | Nil | Nil |
| Eswatini | 46 | 36 | 25 |
| Gambia | 39 | 31 | 24 |
| Kenya | 75 | 68 | 60 |
| Lesotho | 84 | 73 | 55 |
| Mauritania | 76 | 68 | 60 |
| Mozambique | 68 | 60 | 53 |
| Namibia | 42 | 35 | 22 |
| Niger | 54 | 47 | 39 |
| Nigeria | 85 | 74 | 60 |
| Rwanda | 34 | 28 | 23 |
| Sierra Leone | Nil | Nil | Nil |
| South Africa | 23 | 18 | 12 |
| Senegal | 32 | 25 | 15 |
| Sudan | 45 | 40 | 33 |
| Tanzania | 39 | 32 | 25 |
| Togo | 47 | 39 | 28 |
| Country | 2021 | 2025 | 2030 |
|---|---|---|---|
| Angola | 209 | 150 | 94 |
| Burkina Faso | 270 | 209 | 152 |
| Benin | 338 | 267 | 198 |
| Botswana | 120 | 89 | 59 |
| Burundi | 496 | 389 | 276 |
| Cameroon | 485 | 390 | 301 |
| CAR | 748 | 615 | 490 |
| Côte d’Ivoire | 560 | 456 | 352 |
| Eswatini | 392 | 335 | 263 |
| Gambia | 220 | 175 | 133 |
| Kenya | 313 | 226 | 142 |
| Lesotho | 510 | 387 | 268 |
| Mauritania | 692 | 550 | 420 |
| Mozambique | 231 | 150 | 89 |
| Namibia | 160 | 117 | 70 |
| Niger | 445 | 317 | 201 |
| Nigeria | 851 | 685 | 512 |
| Rwanda | 207 | 184 | 133 |
| Sierra Leone | Nil | Nil | Nil |
| South Africa | 96 | 71 | 46 |
| Senegal | 262 | 187 | 116 |
| Sudan | 252 | 186 | 120 |
| Tanzania | 466 | 359 | 259 |
| Togo | 360 | 296 | 231 |
| Country | 2021 | 2025 | 2030 |
|---|---|---|---|
| Angola | 72 | 57 | 42 |
| Burkina Faso | 30 | 22 | 13 |
| Benin | 53 | 43 | 35 |
| Botswana | 40 | 30 | 21 |
| Burundi | 41 | 30 | 18 |
| Cameroon | 44 | 32 | 18 |
| CAR | 105 | 90 | 75 |
| Côte d’Ivoire | Nil | Nil | Nil |
| Eswatini | 41 | 29 | 18 |
| Gambia | 33 | 25 | 17 |
| Kenya | 68 | 57 | 46 |
| Lesotho | 79 | 62 | 41 |
| Mauritania | 69 | 56 | 46 |
| Mozambique | 61 | 49 | 40 |
| Namibia | 36 | 27 | 13 |
| Niger | 47 | 37 | 27 |
| Nigeria | 78 | 62 | 45 |
| Rwanda | 28 | 20 | 14 |
| Sierra Leone | Nil | Nil | Nil |
| South Africa | 21 | 16 | 10 |
| Senegal | 30 | 21 | 9 |
| Sudan | 43 | 39 | 25 |
| Tanzania | 38 | 27 | 19 |
| Togo | 44 | 38 | 23 |
5. Discussion
6. Conclusions and Recommendations
6.1. Conclusions
6.2. Recommendations
Author Contributions
Funding
Institutional Review Board Statement
Informed Consent Statement
Data Availability Statement
Conflicts of Interest
References
- Adegoke, Y.; George, G.; Mbonigaba, J. Sustainable thresholds, health outcomes, health expenditures and education nexus in selected African countries: Quadratic and moderation modelling. Glob. Health 2022, 18, 84. [Google Scholar] [CrossRef] [PubMed]
- UN (United Nations). Transforming Our World: The 2030 Agenda for Sustainable Development A/RES/70/1. 2015. Available online: https://www.refworld.org/legal/resolution/unga/2015/en/111816 (accessed on 23 March 2020).
- Apeagyei, A.E.; Lidral-Porter, B.; Patel, N.; Solorio, J.; Tsakalos, G.; Wang, Y.; Warriner, W.; Wolde, A.; Zhao, Y.; Dieleman, J.L.; et al. Financing health in sub-Saharan Africa 1980–2050 Donor dependence and expected domestic health spending. PLoS Glob. Pub. Health 2024, 4, e0003433. [Google Scholar]
- Adegoke, Y.; Mbonigaba, J.; George, G. Macro-Economic Determinants, Maternal and Infant SDG targets in Nigeria: Correlation and Predictive Modelling. Front. Public Health 2022, 10, 999514. [Google Scholar] [CrossRef]
- Stenberg, K.; Hansen, O.; Edejer, T.; Bertram, M.; Brindley, C.; Meshreky, A.; Sanders, R. Financing transformative health systems towards achievement of the health Sustainable Development Goals: A model for projected resource needs in 67 low-income and middle-income countries. Lancet Glob. Health 2017, 5, e875–e887. [Google Scholar] [PubMed]
- WHO (World Health Organization). Global Health Expenditure Report Database: Rising to the Pandemic’s Challenges. 2022. Available online: https://apps.who.int/nha/database/select/indicators/en (accessed on 6 January 2023).
- Raghupathi, V.; Raghupathi, W. The influence of education on health: An empirical assessment of OECD countries 1995–2015. Arch. Pub. Health 2020, 78, 20–34. [Google Scholar] [CrossRef] [PubMed]
- McIntyre, D.; Filip, M.; John-Arne, R. What level of domestic government health Expenditure should we aspire to for universal health coverage? Health Econ. Policy Law 2017, 12, 125–137. [Google Scholar]
- Akinbode, I.; Dipeolu, A.; Bolarinwa, T.; Olukowi, O. Effect of health outcomes on economic growth in SSA: A system generalized method of moment approach. J. Dev. Econ. 2021, 23, 254–266. [Google Scholar]
- Adegoke, Y.; Mbonigaba, J.; George, G. Health and Total Factor Productivity nexus in selected sub-Saharan African countries: Quadratic and threshold modelling. BMJ Open 2023, 13, e066970. [Google Scholar]
- Akingba, I.; Shivee, R.; Hanny, Z. Impact of health capital on total factor productivity in Singapore. J. Ekon. Malays. 2019, 53, 83–98. [Google Scholar]
- OECD (Organization for Economic Cooperation and Development). A Comparative Analysis of Health Forecasting Methods; OECD Health 2012 Working Paper; OECD: Paris, France, 2012; Volume No. 59. [Google Scholar]
- OECD. (Organization for Economic Cooperation and Development). Public Expenditure Projections for Health and Long-Term Care for China Until 2030; OECD Health 2019 Working Paper; OECD: Paris, France, 2019; Volume No 84. [Google Scholar]
- Besseling, P.; Shestolova, V. Forecasting PHEs in the Netherlands. 2015. Available online: https://www.cpb.nl/sites/default/files/publicaties/download/medium-term-forecast-health-expenditures_0.pdf (accessed on 5 January 2023).
- Peacock, A.; Wiseman, J. Approaches to the analysis of Government expenditure growth. Public Fin Q. 1979, 7, 3–23. [Google Scholar] [CrossRef]
- Muremyi, R.; Dominique, H.; Francois, N. Prediction of out-of-pocket health expenditures in Rwanda using machine learning techniques. Pan. Afric. Med. J. 2020, 37, 357. [Google Scholar] [CrossRef]
- Njoroge, C. Health Expenditure and Health Outcomes in East and Southern Africa: Does Governance Matter? Unpublished. Master’s Thesis, University of Botswana, Gaborone, Botswana, 2020. [Google Scholar]
- Statistics South Africa. Public Health care: How much per person? 2017. Available online: https://www.statssa.gov.za/?p=10548 (accessed on 29 September 2021).
- Munteh, P.; Fonching, A. PHE and Child Mortality Rate as Determinants of Full Immunization Coverage and Poverty Rates in Cameroon. ARC J. Clin. Case Rep. 2020, 6, 17–30. [Google Scholar]
- Danladi, G. An Empirical Analysis of the impact of government PHE on the performance of the health sector of Nigeria. Int. J. Soc. Sci. Econ. Rev. 2021, 3, 35–44. [Google Scholar]
- Cyprian, M. Macroeconomics and health: Understanding the impact of a declining economy on health outcome of children and young Adult in South Africa. SSM-Popul. Health 2023, 22, 101404. [Google Scholar]
- Piscopo, J.; Pavlova, M.; Groot, W. The macroeconomic determinants of health outcomes in EU members State. Popul. Med. 2023 5, A1769.
- Bialowoski, P.; Kuszewski, T.; Witkowski, B. Macroeconomic forecasts in models with Bayesian averaging of classical estimates. Contemp. Econ. 2012, 6, 60–69. [Google Scholar] [CrossRef][Green Version]
- Westerlund, J.; Narayan, P. Testing for predictability in conditionally heteroscedasticity stock returns. J. Financ. Econom. 2015, 13, 342–375. [Google Scholar]
- Lewellwn, J. Predicting returns with financial ratios. J. Financ. Econ. 2004, 74, 209–235. [Google Scholar] [CrossRef]
- Salisu, A.; Omotor, D. Forecasting expenditure components in Nigeria. J. Econ. Stud. 2023, 51, 783–807. [Google Scholar] [CrossRef]
- Brolin, R.; Van, A.; Nordenstedt, H.; Hoijer, J.; Molnes, R.; Froseth, T. The impact of the West Africa Ebola outbreak on obstetric health care in Sierra Leone. PLoS ONE 2016, 11, e0150080. [Google Scholar]
- Olofin, O.; Oloko, T.; Kazeem, I.; Ahamuefula, E. Crude oil price-shale oil production nexus: A predictability analysis. Int. J. Energy Sect. Manag. 2019, 5, 729–744. [Google Scholar] [CrossRef]
- Abbasi, B. Ramification of healthcare expenditure on morbidity rates and life expectancy in the association of Southeast Asian Nations countries: A dynamic panel threshold analysis. Int. J. Health Plan. Manag. 2022, 37, 3218–3237. [Google Scholar] [CrossRef] [PubMed]
- Jin, H.; Li, B.; Jakovjevix, M. How China controls the COVID-19 epidemic through public health expenditure and policy? J. Med. Econ. 2022, 25, 437–449. [Google Scholar] [CrossRef] [PubMed]
| Country | Maternal Mortality Model | Child Mortality Model | ||
|---|---|---|---|---|
| Constant | Beta | Constant | Beta | |
| Angola | 0.3833 ** (0.1802) | −0.0487 * (0.0253) | 0.3417 (0.2855) | −0.0241 (0.0267) |
| Burkina Faso | 0.2350 * (0.1289) | −0.0211 (0.0173) | −0.4235 ** (0.1971) | −0.0345 (0.0318) |
| Benin | −0.1024 (0.2296) | −0.0073 (0.0086) | 0.6212 ** (0.2238) | −0.00003 (0.0042) |
| Botswana | 0.1998 (0.3042) | −0.0134 (0.0147) | 0.3634 * (0.1765) | −0.0176 * (0.0098) |
| Burundi | 0.3571 ** (0.1396) | −0.0444 ** (0.0223) | 0.2629 *** (0.0584) | −0.0611 *** (0.0132) |
| Cameroon | −0.0474 (0.1526) | −0.0169 (0.0122) | −0.3046 *** (0.0776) | −0.0288 *** (0.0077) |
| CAR | 0.8856 (0.6401) | −0.0057 (0.0182) | 0.7619 ** (0.3513) | −0.0013 ** (0.0005) |
| Côte d’Ivoire | 0.0470 (0.2947) | −0.0107 ** (0.0049) | 0.0828 *** (0.0332) | 0.0162 *** (0.0032) |
| Eswatini | 1.3503 *** (0.2642) | −0.0444 *** (0.0084) | 3.1321 *** (0.8269) | −0.0625 *** (0.0149) |
| Gambia | 0.2151 (0.1953) | −0.0107 (0.0076) | 0.4274 *** (0.1272) | −0.0146 ** (0.0054) |
| Kenya | 0.9180 ** (0.3985) | −0.0905 (0.0666) | 0.2957 *** (0.0680) | −0.0055 *** (0.0010) |
| Lesotho | 1.7660 ** (0.6734) | −0.0818 *** (0.0288) | 0.7056 (0.4219) | −0.0111 (0.0155) |
| Mauritania | 0.3311 (0.2511) | −0.0074 ** (0.0029) | 0.2069 *** (0.0673) | −0.0094 *** (0.0019) |
| Mozambique | 5.0635 (1.0313) | −0.0006 (0.0061) | 0.3215 *** (0.0708) | −0.0003 (0.0076) |
| Namibia | 0.5101 (0.4279) | −0.0596 (0.0371) | 0.3195 (0.3019) | −0.0966 * (0.0475) |
| Niger | 2.1183 *** (0.6618) | −0.0117 * (0.0062) | 0.2292 *** (0.0541) | −0.0133 (0.0136) |
| Nigeria | 0.5917 *** (0.0948) | −0.0380 *** (0.0074) | 0.1329 * (0.0665) | −0.0328 *** (0.0066) |
| Rwanda | 1.2979 ** (0.4721) | −0.0357 (0.0449) | 1.0869 *** (0.3450) | −0.0075 (0.0286) |
| Sierra Leone | 0.3608 *** (0.1152) | 0.0343 *** (0.0074) | 0.0601 (0.0599) | 0.0098 *** (0.0032) |
| South Africa | 0.4511 (0.3919) | −0.0364 * (0.0204) | 1.1223 *** (0.3392) | −0.0838 *** (0.0233) |
| Senegal | −0.0670 (0.1615) | −0.0216 (0.0378) | −0.2318 *** (0.0465) | −0.1414 *** (0.0173) |
| Sudan | 0.4719 ** (0.2007) | −0.0559 *** (0.0184) | 0.2571 *** (0.0285) | −0.0159 *** (0.0035) |
| Tanzania | 2.3167 ** (0.6448) | −0.0068 (0.0076) | 0.2109 *** (0.0498) | −0.0270 ** (0.0118) |
| Togo | 0.0974 (0.1718) | −0.0137 * (0.0067) | 0.7327 *** (0.2506) | −0.0061 * (0.0033) |
Disclaimer/Publisher’s Note: The statements, opinions and data contained in all publications are solely those of the individual author(s) and contributor(s) and not of MDPI and/or the editor(s). MDPI and/or the editor(s) disclaim responsibility for any injury to people or property resulting from any ideas, methods, instructions or products referred to in the content. |
© 2025 by the authors. Licensee MDPI, Basel, Switzerland. This article is an open access article distributed under the terms and conditions of the Creative Commons Attribution (CC BY) license (https://creativecommons.org/licenses/by/4.0/).
Share and Cite
Adegoke, Y.; Mbonigaba, J.; George, G. Sustainable Development Goals (SDGs), Public Health Expenditures, and Maternal and Child Mortality in Selected African Countries: Forecasting Modelling. Int. J. Environ. Res. Public Health 2025, 22, 482. https://doi.org/10.3390/ijerph22040482
Adegoke Y, Mbonigaba J, George G. Sustainable Development Goals (SDGs), Public Health Expenditures, and Maternal and Child Mortality in Selected African Countries: Forecasting Modelling. International Journal of Environmental Research and Public Health. 2025; 22(4):482. https://doi.org/10.3390/ijerph22040482
Chicago/Turabian StyleAdegoke, Yetunde, Josue Mbonigaba, and Gavin George. 2025. "Sustainable Development Goals (SDGs), Public Health Expenditures, and Maternal and Child Mortality in Selected African Countries: Forecasting Modelling" International Journal of Environmental Research and Public Health 22, no. 4: 482. https://doi.org/10.3390/ijerph22040482
APA StyleAdegoke, Y., Mbonigaba, J., & George, G. (2025). Sustainable Development Goals (SDGs), Public Health Expenditures, and Maternal and Child Mortality in Selected African Countries: Forecasting Modelling. International Journal of Environmental Research and Public Health, 22(4), 482. https://doi.org/10.3390/ijerph22040482

