Effect of Moringa oleifera Seeds Powder on Metallic Trace Elements Concentrations in a Wastewater Treatment Plant in Senegal
Abstract
1. Introduction
2. Materials and Methods
2.1. Site Description and Sampling Procedure
- TW = tap water;
 - F0 = wastewater samples collected from the septic tank;
 - F1 = wastewater samples collected from the bacterial filter;
 - F2 = wastewater samples collected from the infiltration well;
 - S1 = sediment samples collected from the bacterial filter;
 - S2 = sediment samples collected from the infiltration well;
 - S3 = sediment samples collected from the external soil in contact with the prototype.
 
2.2. Samples Preparation
2.3. Metallic Trace Elements Analysis by ICP-MS
2.4. Sediment Grain Size Distribution and Organic Matter Analysis
2.5. Geoaccumulation Index (Igeo), Enrichment Factor (EF), and Pollution Index (PI)
2.6. Data Analysis
3. Results and Discussion
3.1. Metal Content in Wastewater Samples
3.2. Sediment Physicochemical Parameters
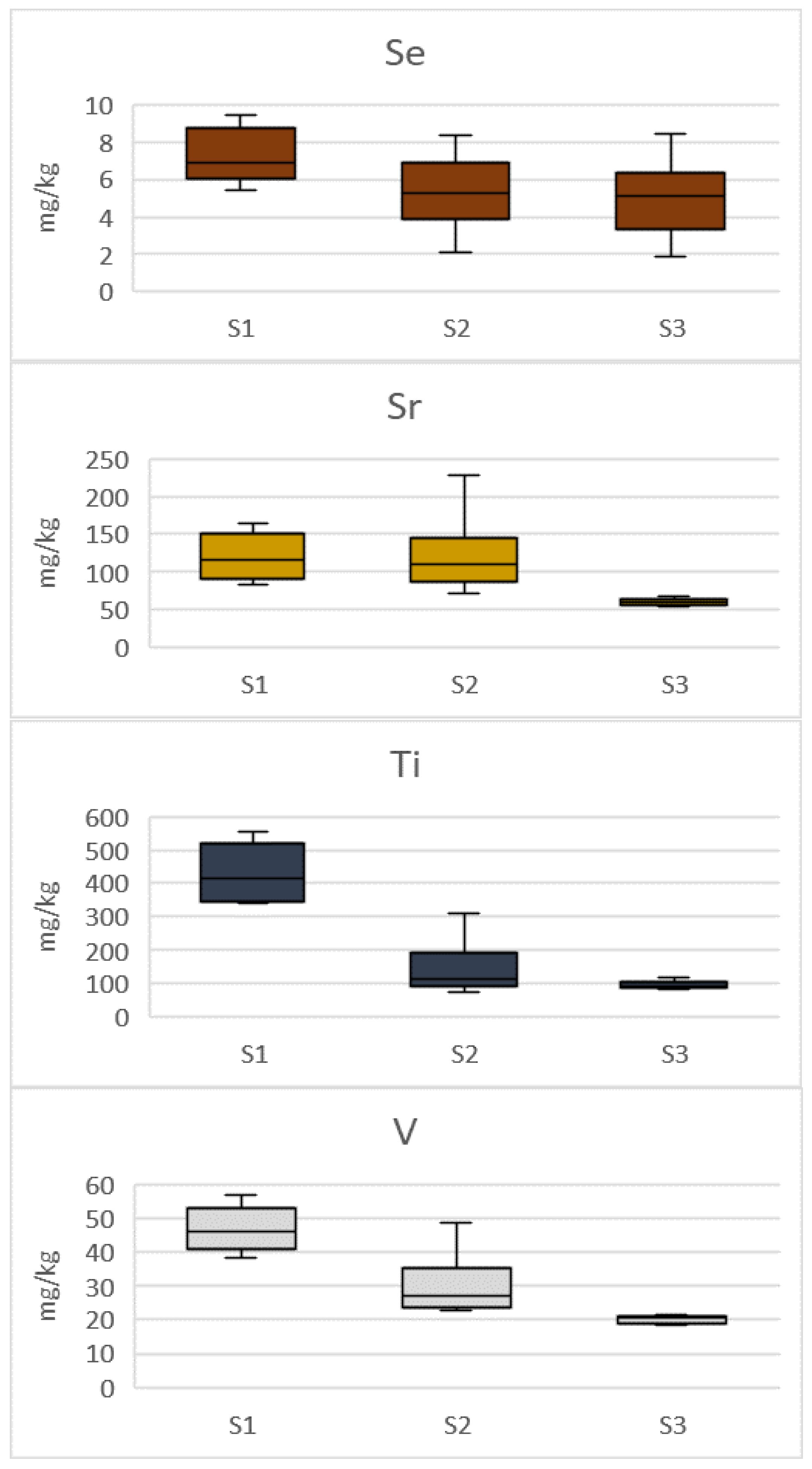
3.3. Metal Content in Sediment and Toxic Metal Pollution Assessment
4. Conclusions
Author Contributions
Funding
Institutional Review Board Statement
Informed Consent Statement
Data Availability Statement
Conflicts of Interest
References
- Edokpayi, J.N.; Odiyo, J.O.; Durowoju, O.S.; Edokpayi, J.N.; Odiyo, J.O.; Durowoju, O.S. Impact of Wastewater on Surface Water Quality in Developing Countries: A Case Study of South Africa. In Water Quality; IntechOpen: Rijeka, Croatia, 2017. [Google Scholar] [CrossRef]
 - Naidoo, S.; Olaniran, A.O. Treated Wastewater Effluent as a Source of Microbial Pollution of Surface Water Resources. Int. J. Environ. Res. Public Health 2014, 11, 249–270. [Google Scholar] [CrossRef]
 - Okoh, A.I.; Sibanda, T.; Gusha, S.S. Inadequately Treated Wastewater as a Source of Human Enteric Viruses in the Environment. Int. J. Environ. Res. Public Health 2010, 7, 2620–2637. [Google Scholar] [CrossRef]
 - Ndao, S. “Thiaroye” Aquifer in Senegal: A Still Usable Water Resource. Le Carnet de [VertigO]. 2015. Available online: https://vertigo.hypotheses.org/2033 (accessed on 24 March 2024).
 - Jhansi, S.C.; Mishra, S.K. Wastewater Treatment and Reuse: Sustainability Options. Consilience 2013, 10, 1–15. [Google Scholar]
 - Lam, K.L.; Zlatanović, L.; van der Hoek, J.P. Life cycle assessment of nutrient recycling from wastewater: A critical review. Water Res. 2020, 173, 115519. [Google Scholar] [CrossRef] [PubMed]
 - Khalid, S.; Shahid, M.; Natasha; Bibi, I.; Sarwar, T.; Shah, A.H.; Niazi, N.K. A Review of Environmental Contamination and Health Risk Assessment of Wastewater Use for Crop Irrigation with a Focus on Low and High-Income Countries. Int. J. Environ. Res. Public. Health 2018, 15, 895. [Google Scholar] [CrossRef]
 - Jamali, M.K.; Kazi, T.G.; Afridi, H.I.; Arain, M.B.; Jalbani, N.; Memon, A.R. Speciation of heavy metals in untreated domestic wastewater sludge by time saving BCR sequential extraction method. J. Environ. Sci. Health Part A 2007, 42, 649–659. [Google Scholar] [CrossRef] [PubMed]
 - Bottazzi, P.; Seck, S.M.; Niang, M.; Moser, S. Beyond motivations: A framework unraveling the systemic barriers to organic farming adoption in northern Senegal. J. Rural Stud. 2023, 104, 103158. [Google Scholar] [CrossRef]
 - Ba, A.B.; Barbier, B. Economic and Environmental Performances of Organic Farming System Compared to Conventional Farming System: A Case Study of the Horticulture Sector in the Niayes Region of Senegal. Procedia Environ. Sci. 2015, 29, 17–19. [Google Scholar] [CrossRef]
 - He, Z.L.; Yang, X.E.; Stoffella, P.J. Trace elements in agroecosystems and impacts on the environment. J. Trace Elem. Med. Biol. 2005, 19, 125–140. [Google Scholar] [CrossRef] [PubMed]
 - Bhattacharya, P.T.; Misra, S.R.; Hussain, M. Nutritional Aspects of Essential Trace Elements in Oral Health and Disease: An Extensive Review. Scientifica 2016, 2016, 5464373. [Google Scholar] [CrossRef] [PubMed]
 - Senesil, G.S.; Baldassarre, G.; Senesi, N.; Radina, B. Trace element inputs into soils by anthropogenic activities and implications for human health. Chemosphere 1999, 39, 343–377. [Google Scholar] [CrossRef] [PubMed]
 - Tucker, E.L.; Chickering, G.W.; Spreadbury, C.J.; Laux, S.J.; Townsend, T.G. A componential approach for evaluating the sources of trace metals in municipal solid waste. Chemosphere 2020, 260, 127524. [Google Scholar] [CrossRef] [PubMed]
 - Maruyama, T.; Hannah, S.A.; Cohen, J.M. Metal Removal by Physical and Chemical Treatment Processes. J. Water Pollut. Control Fed. 1975, 47, 962–975. [Google Scholar]
 - Diop, C.; Dewaelé, D.; Cazier, F.; Diouf, A.; Ouddane, B. Assessment of trace metals contamination level, bioavailability and toxicity in sediments from Dakar coast and Saint Louis estuary in Senegal, West Africa. Chemosphere 2015, 138, 980–987. [Google Scholar] [CrossRef] [PubMed]
 - Kilunga, P.I.; Sivalingam, P.; Laffite, A.; Grandjean, D.; Mulaji, C.K.; de Alencastro, L.F.; Mpiana, P.T.; Poté, J. Accumulation of toxic metals and organic micro-pollutants in sediments from tropical urban rivers, Kinshasa, Democratic Republic of the Congo. Chemosphere 2017, 179, 37–48. [Google Scholar] [CrossRef]
 - Appiah-Effah, E.; Nyarko, K.B.; Antwi, E.O.; Awuah, E. Heavy metals and microbial loads in raw fecal sludge from low income areas of Ashanti Region of Ghana. Water Pract. Technol. 2015, 10, 124–132. [Google Scholar] [CrossRef]
 - Hodomihou, R.N.; Feder, F.; Doelsch, E.; Agbossou, E.K.; Amadji, L.G.; Ndour-Badiane, Y.; Cazevieille, P.; Chevassus-Rosset, C.; Masse, D. Characterization of contamination risks of peri-urban agrosystems in Dakar by trace metal elements. Agron. Afr. 2015, 27, 69–82. [Google Scholar]
 - Sall, M.; Momar Gueye, P.; Ciss Wade, A.; Traore, A.; Dieye, G.; Diouf, S.; Lamine Sane, M.; Diop, D. Pollution Hazards of heavy metals in sewage sludge ash from the wastewater treatment plants in Camberene, Senegal. Int. J. Adv. Res. 2021, 9, 946–953. [Google Scholar] [CrossRef]
 - Bidar, G.; Pelfrêne, A.; Schwartz, C.; Waterlot, C.; Sahmer, K.; Marot, F.; Douay, F. Urban kitchen gardens: Effect of the soil contamination and parameters on the trace element accumulation in vegetables—A review. Sci. Total Environ. 2020, 738, 139569. [Google Scholar] [CrossRef] [PubMed]
 - Alves, L.R.; Reis, A.R.d.; Gratão, P.L. Heavy metals in agricultural soils: From plants to our daily life. Científica 2016, 44, 346–361. [Google Scholar] [CrossRef]
 - Gupta, U.C.; Gupta, S.C. Trace element toxicity relationships to crop production and livestock and human health: Implications for Management. Commun. Soil Sci. Plant Anal. 1998, 29, 1491–1522. [Google Scholar] [CrossRef]
 - Morais, S.; Garcia e Costa, F.; Pereira, M.d.L. Heavy Metals and Human Health; IntechOpen: Rijeka, Croatia, 2012. [Google Scholar] [CrossRef]
 - Fuhrimann, S.; Stalder, M.; Winkler, M.S.; Niwagaba, C.B.; Babu, M.; Masaba, G.; Kabatereine, N.B.; Halage, A.A.; Schneeberger, P.H.H.; Utzinger, J.; et al. Microbial and chemical contamination of water, sediment and soil in the Nakivubo wetland area in Kampala, Uganda. Environ. Monit. Assess. 2015, 187, 475. [Google Scholar] [CrossRef] [PubMed]
 - El-Safa, M.M.A.; Elsayed, S.; Elsherbiny, O.; Elmetwalli, A.H.; Gad, M.; Moghanm, F.S.; Eid, E.M.; Taher, M.A.; El-Morsy, M.H.E.; Osman, H.E.M.; et al. Environmental Assessment of Potentially Toxic Elements Using Pollution Indices and Data-Driven Modeling in Surface Sediment of the Littoral Shelf of the Mediterranean Sea Coast and Gamasa Estuary, Egypt. J. Mar. Sci. Eng. 2022, 10, 816. [Google Scholar] [CrossRef]
 - Wieczorek, J.; Baran, A. Pollution indices and biotests as useful tools for the evaluation of the degree of soil contamination by trace elements. J. Soils Sediments 2022, 22, 559–576. [Google Scholar] [CrossRef]
 - Mudgal, V.; Madaan, N.; Mudgal, A.; Singh, R.B.; Mishra, S. Effect of Toxic Metals on Human Health. Open Nutraceuticals J. 2010, 3, 94–99. [Google Scholar] [CrossRef]
 - Baysal, A.; Ozbek, N.; Akman, S.; Baysal, A.; Ozbek, N.; Akman, S. Determination of Trace Metals in Waste Water and Their Removal Processes. In Waste Water—Treatment Technologies and Recent Analytical Developments; IntechOpen: Rijeka, Croatia, 2013. [Google Scholar] [CrossRef]
 - Rehman, K.; Fatima, F.; Waheed, I.; Akash, M.S.H. Prevalence of exposure of heavy metals and their impact on health consequences. J. Cell. Biochem. 2018, 119, 157–184. [Google Scholar] [CrossRef]
 - Fraga, C.G. Relevance, essentiality and toxicity of trace elements in human health. Mol. Aspects Med. 2005, 26, 235–244. [Google Scholar] [CrossRef]
 - Carlos, L.; Einschlag, F.S.G.; González, M.C.; Mártire, D.O.; Carlos, L.; Einschlag, F.S.G.; González, M.C.; Mártire, D.O. Applications of Magnetite Nanoparticles for Heavy Metal Removal from Wastewater. In Waste Water—Treatment Technologies and Recent Analytical Developments; IntechOpen: Rijeka, Croatia, 2013. [Google Scholar] [CrossRef]
 - Alnawajha, M.M.; Abdullah, S.R.S.; Hasan, H.A.; Othman, A.R.; Kurniawan, S.B. Effectiveness of using water-extracted Leucaena leucocephala seeds as a coagulant for turbid water treatment: Effects of dosage, pH, mixing speed, mixing time, and settling time. Biomass Convers. Biorefin. 2024, 14, 11203–11216. [Google Scholar] [CrossRef]
 - Kumar, V.; Al-Gheethi, A.; Asharuddin, S.M.; Othman, N. Potential of cassava peels as a sustainable coagulant aid for institutional wastewater treatment: Characterisation, optimisation and techno-economic analysis. Chem. Eng. J. 2021, 420, 127642. [Google Scholar] [CrossRef]
 - Nazari, B.; Abdolalian, S.; Taghavijeloudar, M. An environmentally friendly approach for industrial wastewater treatment and bio-adsorption of heavy metals using Pistacia soft shell (PSS) through flocculation-adsorption process. Environ. Res. 2023, 235, 116595. [Google Scholar] [CrossRef]
 - Dunoyer, A.A.T.; Cuello, R.E.G.; Castillo, F.C. Use of natural mucilage extracted from the Stenocereus griseus (Cardón Guajiro) plant as a coagulant in the treatment of domestic wastewater. Rev. Ambiente Água 2021, 16, e2705. [Google Scholar] [CrossRef]
 - Teixeira, A.R.; Afonso, S.; Jorge, N.; Oliveira, I.V.; Gonçalves, B.; Peres, J.A.; Lucas, M.S. Valorization of Cherry By-Products as Coagulant/Flocculants Combined with Bentonite Clay for Olive Mill Wastewater Treatment. Water 2024, 16, 1530. [Google Scholar] [CrossRef]
 - Ahmad, A.; Abdullah, S.R.S.; Hasan, H.A.; Othman, A.R.; Kurniawan, S.B. Aquaculture wastewater treatment using plant-based coagulants: Evaluating removal efficiency through the coagulation-flocculation process. Results Chem. 2024, 7, 101390. [Google Scholar] [CrossRef]
 - Sharif, S.; Zaman, Q.; Hassan, F.; Javaid, S.; Arif, K.; Mansha, M.Z.; Ehsan, N.; Nazir, S.; Gul, R.; Iqbal, M.; et al. Coagulation of Metallic Pollutants from Wastewater Using a Variety of Coagulants Based on Metal Binding Interaction Studies. Z. Phys. Chem. 2021, 235, 467–481. [Google Scholar] [CrossRef]
 - Benettayeb, A.; Usman, M.; Tinashe, C.C.; Adam, T.; Haddou, B. A critical review with emphasis on recent pieces of evidence of Moringa oleifera biosorption in water and wastewater treatment. Environ. Sci. Pollut. Res. 2022, 29, 48185–48209. [Google Scholar] [CrossRef] [PubMed]
 - Vega Andrade, P.; Palanca, C.F.; de Oliveira, M.A.C.; Ito, C.Y.K.; dos Reis, A.G. Use of Moringa oleifera seed as a natural coagulant in domestic wastewater tertiary treatment: Physicochemical, cytotoxicity and bacterial load evaluation. J. Water Process Eng. 2021, 40, 101859. [Google Scholar] [CrossRef]
 - Rosmawanie, M.; Mohamed, R.; Al-Gheethi, A.; Pahazri, F.; Amir-Hashim, M.; Nur-Shaylinda, M. Sequestering of pollutants from public market wastewater using Moringa oleifera and Cicer arietinum flocculants. J. Environ. Chem. Eng. 2018, 6, 2417–2428. [Google Scholar] [CrossRef]
 - UN-EP. 22nd Meeting of the Contracting Parties to the Convention for the Protection of the Marine Environment and the Coastal Region of the Mediterranean and Its Protocols; United Nation: Antalya, Turkey, 2021; pp. 303–304. Available online: https://www.unep.org/unepmap/fr/meetings/cop-decisions/cop22-outcome-documents (accessed on 8 February 2024).
 - ASN. Non-Collective Sanitation Facilities—Part 1: Planning, Design and Requirements; Association Sénégalaise de Normalisation: Dakar, Senegal, 2021. [Google Scholar]
 - AFNOR. Non-Collective Sanitation Facilities—For Individual Residential Houses with up to 20 Main Rooms—Part 1-1: Specification of Standard Technical Clauses; AFNOR: Paris, France, 2013. [Google Scholar]
 - Sané, N.; Mbengue, M.; Laffite, A.; Stoll, S.; Poté, J.; Le Coustumer, P. Development of a Process for Domestic Wastewater Treatment Using Moringa oleifera for Pathogens and Antibiotic-Resistant Bacteria Inhibition under Tropical Conditions. Water 2022, 14, 2379. [Google Scholar] [CrossRef]
 - Nouhi, S.; Kwaambwa, H.M.; Gutfreund, P.; Rennie, A.R. Comparative study of flocculation and adsorption behaviour of water treatment proteins from Moringa peregrina and Moringa oleifera seeds. Sci. Rep. 2019, 9, 17945. [Google Scholar] [CrossRef]
 - Mavakala, B.K.; Le Faucheur, S.; Mulaji, C.K.; Laffite, A.; Devarajan, N.; Biey, E.M.; Giuliani, G.; Otamonga, J.-P.; Kabatusuila, P.; Mpiana, P.T.; et al. Leachates draining from controlled municipal solid waste landfill: Detailed geochemical characterization and toxicity tests. Waste Manag. 2016, 55, 238–248. [Google Scholar] [CrossRef]
 - Laffite, A.; Al Salah, D.M.M.; Slaveykova, V.I.; Otamonga, J.-P.; Poté, J. Impact of anthropogenic activities on the occurrence and distribution of toxic metals, extending-spectra β-lactamases and carbapenem resistance in sub-Saharan African urban rivers. Sci. Total Environ. 2020, 727, 138129. [Google Scholar] [CrossRef] [PubMed]
 - Poté, J.; Haller, L.; Loizeau, J.-L.; Garcia Bravo, A.; Sastre, V.; Wildi, W. Effects of a sewage treatment plant outlet pipe extension on the distribution of contaminants in the sediments of the Bay of Vidy, Lake Geneva, Switzerland. Bioresour. Technol. 2008, 99, 7122–7131. [Google Scholar] [CrossRef] [PubMed]
 - Larras, F.; Lambert, A.-S.; Pesce, S.; Rimet, F.; Bouchez, A.; Montuelle, B. The effect of temperature and a herbicide mixture on freshwater periphytic algae. Ecotoxicol. Environ. Saf. 2013, 98, 162–170. [Google Scholar] [CrossRef]
 - Ngweme, G.N.; Atibu, E.K.; Al Salah, D.M.M.; Muanamoki, P.M.; Kiyombo, G.M.; Mulaji, C.K.; Otamonga, J.-P.; Pote-Wembonyama, J. Heavy metal concentration in irrigation water, soil and dietary risk assessment of Amaranthus viridis grown in peri-urban areas in Kinshasa, Democratic Republic of the Congo. Watershed Ecol. Environ. 2020, 2, 16. [Google Scholar] [CrossRef]
 - Turekian, K.K.; Wedepohl, K.H. Distribution of the Elements in Some Major Units of the Earth’s Crust. Geol. Soc. Am. Bull. 1961, 72, 175. [Google Scholar] [CrossRef]
 - Thiombane, M.; De Vivo, B.; Niane, B.; Watts, M.J.; Marriott, A.L.; Di Bonito, M. A new hazard assessment workflow to assess soil contamination from large and artisanal scale gold mining. Environ. Geochem. Health 2023, 45, 5067–5091. [Google Scholar] [CrossRef] [PubMed]
 - Kayembe, J.M.; Sivalingam, P.; Salgado, C.D.; Maliani, J.; Ngelinkoto, P.; Otamonga, J.-P.; Mulaji, C.K.; Mubedi, J.I.; Poté, J. Assessment of water quality and time accumulation of heavy metals in the sediments of tropical urban rivers: Case of Bumbu River and Kokolo Canal, Kinshasa City, Democratic Republic of the Congo. J. Afr. Earth Sci. 2018, 147, 536–543. [Google Scholar] [CrossRef]
 - Zhang, H.; Zhou, X.; Wang, L.; Wang, W.; Xu, J. Concentrations and potential health risks of strontium in drinking water from Xi’an, Northwest China. Ecotoxicol. Environ. Saf. 2018, 164, 181–188. [Google Scholar] [CrossRef]
 - Peleka, J.C.M.; Diop, C.; Foko, R.F.; Daffe, M.L.; Fall, M. Health Risk Assessment of Trace Metals in Drinking Water Consumed in Dakar, Senegal. J. Water Resour. Prot. 2021, 13, 915–930. [Google Scholar] [CrossRef]
 - Oskarsson, A.; Norrgren, L. Copper pipes as a source of copper exposure in man and environment. Environ. Rev. 1998, 6, 139–150. [Google Scholar] [CrossRef]
 - WHO. Guidelines for Drinking-Water Quality: Fourth Edition Incorporating the First and Second Addenda. 2022. Available online: https://www.who.int/publications-detail-redirect/9789240045064 (accessed on 17 January 2024).
 - General Commission for Sustainable Development Soil Contamitation by Metals. Notre-Environnement. 2019. Available online: http://www.notre-environnement.gouv.fr/themes/sante/la-pollution-des-sols-ressources/article/la-contamination-des-sols-par-les-metaux (accessed on 22 December 2023).
 - Achmad, R.T.; Budiawan; Auerkari, E.I. Effects of Chromium on Human Body. Annu. Res. Rev. Biol. 2017, 13, 1–8. [Google Scholar] [CrossRef]
 - Tulcan, R.X.S.; Ouyang, W.; Lin, C.; He, M.; Wang, B. Vanadium pollution and health risks in marine ecosystems: Anthropogenic sources over natural contributions. Water Res. 2021, 207, 117838. [Google Scholar] [CrossRef] [PubMed]
 - Ravikumar, K.; Sheeja, A.K. Heavy Metal Removal from Water using Moringa oleifera Seed Coagulant and Double Filtration. Int. J. Sci. Eng. Res. 2016, 4, 4. [Google Scholar]
 - Marzougui, N.; Guasmi, F.; Dhouioui, S.; Bouhlel, M.; Hachicha, M.; Berndtsson, R.; Sleimi, N. Efficiency of Different Moringa oleifera (Lam.) Varieties as Natural Coagulants for Urban Wastewater Treatment. Sustainability 2021, 13, 13500. [Google Scholar] [CrossRef]
 - Linstedt, K.D.; Houck, C.P.; O’Connor, J.T. Trace Element Removals in Advanced Wastewater Treatment Processes. J. Water Pollut. Control Fed. 1971, 43, 1507–1513. [Google Scholar] [PubMed]
 - Teh, C.Y.; Budiman, P.M.; Shak, K.P.Y.; Wu, T.Y. Recent Advancement of Coagulation—Flocculation and Its Application in Wastewater Treatment. Ind. Eng. Chem. Res. 2016, 55, 4363–4389. [Google Scholar] [CrossRef]
 - Mehdinejad, M.H.; Bina, B. Application of Moringa oleifera coagulant protein as natural coagulant aid with alum for removal of heavy metals from raw water. Desalination Water Treat. 2018, 116, 187–194. [Google Scholar] [CrossRef]
 - Álvarez, E.A.; Mochón, M.C.; Sánchez, J.C.J.; Rodríguez, M.T. Heavy metal extractable forms in sludge from wastewater treatment plants. Chemosphere 2002, 47, 765–775. [Google Scholar] [CrossRef] [PubMed]
 - Antoni, V.; Arrouays, D.; Baize, D.; Barriuso, E.; Bispo, A.; Blanca, Y.; Boulonne, L.; Briand, O.; Brossard, M.; Cabidoche, Y.-M.; et al. The State of the Soil in France; Hromatiques Editions: Nancy, France, 2011. [Google Scholar]
 - European Union. Council Directive 86/278/EEC of 12 June 1986 on the Protection of the Environment, and in Particular of the Soil, When Sewage Sludge Is Used in Agriculture. Off. J. Eur. Union 1986, 181, 6–12. Available online: http://data.europa.eu/eli/dir/1986/278/oj/eng (accessed on 15 July 2024).
 - Reddy, K.V.; Ranjit, P.; Priyanka, E.; Maddela, N.R.; Prasad, R. Bioremediation of heavy metals-contaminated sites by microbial extracellular polymeric substances—A critical view. Environ. Chem. Ecotoxicol. 2024, in press. [Google Scholar] [CrossRef]
 - Baalousha, M.; Vd Kammer, F.; Motelica-Heino, M.; Baborowski, M.; Hofmeister, C.; Le Coustumer, P. Size-Based Speciation of Natural Colloidal Particles by Flow Field Flow Fractionation, Inductively Coupled Plasma-Mass Spectroscopy, and Transmission Electron Microscopy/X-ray Energy Dispersive Spectroscopy: Colloids−Trace Element Interaction. Environ. Sci. Technol. 2006, 40, 2156–2162. [Google Scholar] [CrossRef] [PubMed]
 - Masson, M.; Blanc, G.; Schäfer, J.; Parlanti, E.; Le Coustumer, P. Copper addition by organic matter degradation in the freshwater reaches of a turbid estuary. Sci. Total Environ. 2011, 409, 1539–1549. [Google Scholar] [CrossRef] [PubMed]
 - Baalousha, M.; Motelica-Heino, M.; Coustumer, P.L. Conformation and size of humic substances: Effects of major cation concentration and type, pH, salinity, and residence time. Colloids Surf. Physicochem. Eng. Asp. 2006, 272, 48–55. [Google Scholar] [CrossRef]
 - Palomino, D.; Yamunake, C.; Le Coustumer, P.; Stoll, S. Stability of TiO2 Nanoparticles in Presence of Fulvic Acids, Importance of pH. J. Colloid Sci. Biotechnol. 2013, 2, 62. [Google Scholar] [CrossRef][Green Version]
 - Mavakala, B.K.; Sivalingam, P.; Laffite, A.; Mulaji, C.K.; Giuliani, G.; Mpiana, P.T.; Poté, J. Evaluation of heavy metal content and potential ecological risks in soil samples from wild solid waste dumpsites in developing country under tropical conditions. Environ. Chall. 2022, 7, 100461. [Google Scholar] [CrossRef]
 - Salgado Bernal, I.; Sivalingam, P.; Martínez Sardiña, A.; Manduca Artiles, M.; Carballo Valdés, M.E.; Poté, J. Chemical characteristics with attention on toxic metals content in sediments of the urban tropical ecosystem Río Almendares, Havana, Cuba: Pollution risk assessment. J. South Am. Earth Sci. 2024, 133, 104691. [Google Scholar] [CrossRef]
 - Ullah, H.; Lun, L.; Rashid, A.; Zada, N.; Chen, B.; Shahab, A.; Li, P.; Ali, M.U.; Lin, S.; Wong, M.H. A critical analysis of sources, pollution, and remediation of selenium, an emerging contaminant. Environ. Geochem. Health 2023, 45, 1359–1389. [Google Scholar] [CrossRef]
 - Tytła, M. Assessment of Heavy Metal Pollution and Potential Ecological Risk in Sewage Sludge from Municipal Wastewater Treatment Plant Located in the Most Industrialized Region in Poland—Case Study. Int. J. Environ. Res. Public. Health 2019, 16, 2430. [Google Scholar] [CrossRef]
 














| Sample | As [μg/L] | Co [μg/L] | Cr [μg/L] | Cu [μg/L] | Ni [μg/L] | Pb [μg/L] | Se [μg/L] | Sr [μg/L] | Ti [μg/L] | V [μg/L] | 
|---|---|---|---|---|---|---|---|---|---|---|
| F0+MOS | 12 ± 2 | 3 ± 0.5 | 7 ± 2 | 7 ± 6 | 25 ± 22 | 0.2 ± 0.2 | 1 ± 0.4 | 368 ± 27 | 28 ± 20 | 2 ±1 | 
| F1+MOS | 12 ± 3 | 5 ± 2 | 9 ± 3 | 22 ± 13 | 21 ± 21 | 0.2 ± 0.2 | 0.4 ± 0.4 | 406 ± 103 | 21 ± 17 | 3 ± 1 | 
| F2+MOS | 13 ± 4 | 6 ± 2 | 6 ± 3 | 18 ± 7 | 18 ± 8 | 0.3 ± 0.3 | 1 ± 1 | 570 ± 179 | 23 ± 19 | 6 ± 3 | 
| F0 | 12 ± 3 | 5 ± 1 | 10 ± 3 | 14 ± 6 | 19 ± 13 | 0.3 ± 0.3 | 1 ± 1 | 424 ± 99 | 10 ± 6 | 2 ± 1 | 
| F1 | 11 ± 1 | 7 ± 1 | 22 ± 7 | 59 ± 16 | 16 ± 2 | 3 ± 1 | 2 ± 1 | 371 ± 25 | 34 ± 14 | 8 ± 3 | 
| F2 | 11 ± 1 | 7 ± 1 | 20 ± 9 | 62 ± 15 | 25 ± 6 | 2 ± 1 | 2 ± 2 | 476 ± 58 | 47 ± 18 | 8 ± 3 | 
| TW | 1 ± 0.1 | 0 | 5 ± 2 | 35 ± 8 | 6 ± 5 | 3 ± 2 | 0.3 ± 0.2 | 291 ± 18 | 8 ± 5 | 4 ± 1 | 
| UN-EP [43] | 100 | 50 | 100 | 200 | 200 | 100 | 20 | - | - | 100 | 
| Sample | As [mg/kg] | Co [mg/kg] | Cr [mg/kg] | Cu [mg/kg] | Ni [mg/kg] | Pb [mg/kg] | Se [mg/kg] | Sr [mg/kg] | Ti [mg/kg] | V [mg/kg] | 
|---|---|---|---|---|---|---|---|---|---|---|
| MOS | 1 ± 0.13 | 0.05 ± 0.006 | 0.2 ± 0.03 | 33 ± 0.2 | 0.8 ± 0.4 | 4 ± 0.1 | 0.5 ± 0.3 | 17 ± 0.06 | 7 ± 4 | 0.06 ± 0.02 | 
| S1 | 2 ± 1 | 10 ± 3 | 103 ± 14 | 86 ± 39 | 47 ± 15 | 4 ± 2 | 7 ± 2 | 120 ± 31 | 437 ± 85 | 47 ± 7 | 
| S2 | 2 ± 1 | 4 ± 2 | 97 ± 18 | 46 ± 26 | 18 ± 9 | 5 ± 2 | 5 ± 2 | 121 ± 50 | 150 ± 75 | 30 ± 8 | 
| S3 | 1 ± 0.1 | 2 ± 0.2 | 46 ± 4 | 4 ± 0.4 | 3 ± 1 | 2 ± 0.3 | 5 ± 2 | 60 ± 5 | 96 ± 11 | 19 ± 1 | 
| A | B | |||||
|---|---|---|---|---|---|---|
| Sample | Basalt [%] | Sand [%] | Silt [%] | Clay [%] | Sample | OM [%] | 
| S1 | 92 ± 6 | 8 ± 6 | 0 | 0 | S1 | 15 ± 4 | 
| S2 | 62 ± 31 | 37 ± 30 | 1 ± 1 | 0 | S2 | 5 ± 2 | 
| S3 | 11 ± 5 | 48 ± 31 | 35 ± 29 | 6 ± 4 | S3 | 1 ± 0.1 | 
| Igeo | S1 | S2 | S3 | 
|---|---|---|---|
| As | −3.2 | −3.4 | −4.8 | 
| Co | −1.6 | −2.8 | −3.8 | 
| Cr | −0.4 | −0.5 | −1.6 | 
| Cu | 0.4 | −0.6 | −4.3 | 
| Ni | −1.1 | −2.5 | −5.0 | 
| Pb | −3.0 | −2.6 | −4.2 | 
| Se | 3.0 | 2.6 | 2.5 | 
| Sr | −1.9 | −1.9 | −2.9 | 
| V | −2.0 | −2.7 | −3.3 | 
| Class 0 | Igeo ≤ 0 | Practically unpolluted | |
| Class 1 | 0 < Igeo ≤ 1 | Unpolluted to moderately polluted | |
| Class 2 | 1 < Igeo ≤ 2 | Moderately polluted | |
| Class 3 | 2 < Igeo ≤ 3 | Moderately to heavily polluted | |
| Class 4 | 3 < Igeo ≤ 4 | Heavily polluted | |
| Class 5 | 4 < Igeo ≤ 5 | Heavily to extremely polluted | |
| Class 6 | Igeo > 5 | Extremely polluted | |
| EF | S1 | S2 | S3 | 
|---|---|---|---|
| As | 1.7 | 4.3 | 2.6 | 
| Co | 5.4 | 6.4 | 5.0 | 
| Cr | 12.0 | 33.1 | 24.4 | 
| Cu | 20.5 | 31.2 | 3.8 | 
| Ni | 7.3 | 8.1 | 2.2 | 
| Pb | 2.0 | 7.4 | 3.8 | 
| Se | 129.2 | 271.4 | 396.8 | 
| Sr | 4.2 | 12.3 | 9.5 | 
| V | 3.8 | 7.2 | 7.4 | 
| EF < 1 | No enrichment | ||
| EF < 3 | Minor enrichment | ||
| EF 3–5 | Moderate enrichment | ||
| EF 5–10 | Moderately severe enrichment | ||
| EF 10–25 | Severe enrichment | ||
| EF 25–50 | Very severe enrichment | ||
| EF > 50 | Extremely severe enrichment | ||
| PI | S1 | S2 | S3 | 
|---|---|---|---|
| As | 0.2 | 0.1 | 0.1 | 
| Co | 0.5 | 0.2 | 0.1 | 
| Cr | 1.1 | 1.1 | 0.5 | 
| Cu | 1.9 | 1.0 | 0.1 | 
| Ni | 0.7 | 0.3 | 0.0 | 
| Pb | 0.2 | 0.2 | 0.1 | 
| Se | 12.3 | 8.8 | 8.3 | 
| Sr | 0.4 | 0.4 | 0.2 | 
| V | 0.4 | 0.2 | 0.2 | 
| PI < 1 | Non pollution | ||
| 1 ≤ PI < 2 | Low level of pollution | ||
| 2 ≤ PI < 3 | Moderate level of pollution | ||
| 3 ≤ PI < 5 | Strong level of pollution | ||
| PI ≥ 5 | Very strong level of pollution | ||
Disclaimer/Publisher’s Note: The statements, opinions and data contained in all publications are solely those of the individual author(s) and contributor(s) and not of MDPI and/or the editor(s). MDPI and/or the editor(s) disclaim responsibility for any injury to people or property resulting from any ideas, methods, instructions or products referred to in the content.  | 
© 2024 by the authors. Licensee MDPI, Basel, Switzerland. This article is an open access article distributed under the terms and conditions of the Creative Commons Attribution (CC BY) license (https://creativecommons.org/licenses/by/4.0/).
Share and Cite
Sané, N.; Mbengue, M.; Ndoye, S.; Stoll, S.; Poté, J.; Le Coustumer, P. Effect of Moringa oleifera Seeds Powder on Metallic Trace Elements Concentrations in a Wastewater Treatment Plant in Senegal. Int. J. Environ. Res. Public Health 2024, 21, 1031. https://doi.org/10.3390/ijerph21081031
Sané N, Mbengue M, Ndoye S, Stoll S, Poté J, Le Coustumer P. Effect of Moringa oleifera Seeds Powder on Metallic Trace Elements Concentrations in a Wastewater Treatment Plant in Senegal. International Journal of Environmental Research and Public Health. 2024; 21(8):1031. https://doi.org/10.3390/ijerph21081031
Chicago/Turabian StyleSané, Nini, Malick Mbengue, Seyni Ndoye, Serge Stoll, John Poté, and Philippe Le Coustumer. 2024. "Effect of Moringa oleifera Seeds Powder on Metallic Trace Elements Concentrations in a Wastewater Treatment Plant in Senegal" International Journal of Environmental Research and Public Health 21, no. 8: 1031. https://doi.org/10.3390/ijerph21081031
APA StyleSané, N., Mbengue, M., Ndoye, S., Stoll, S., Poté, J., & Le Coustumer, P. (2024). Effect of Moringa oleifera Seeds Powder on Metallic Trace Elements Concentrations in a Wastewater Treatment Plant in Senegal. International Journal of Environmental Research and Public Health, 21(8), 1031. https://doi.org/10.3390/ijerph21081031
        
                                                
