Persistence of E. coli in Streambed Sediment Contaminated with Faeces from Dairy Cows, Geese, and Deer: Legacy Risks to Environment and Health
Abstract
1. Introduction
2. Materials and Methods
2.1. Provenance of Faeces Used in All Experiments
2.2. Artificial Sterile River Water Preparation
2.3. Preparation of Streambed Sediment
2.4. Preparation of Mesocosms
2.5. Analysis of Streambed Sediment Particle Texture
2.6. E. coli Enumeration in Streambed Sediment
2.7. Rate of Faecal Material Sedimentation in Water
2.8. Statistical Analysis
3. Results
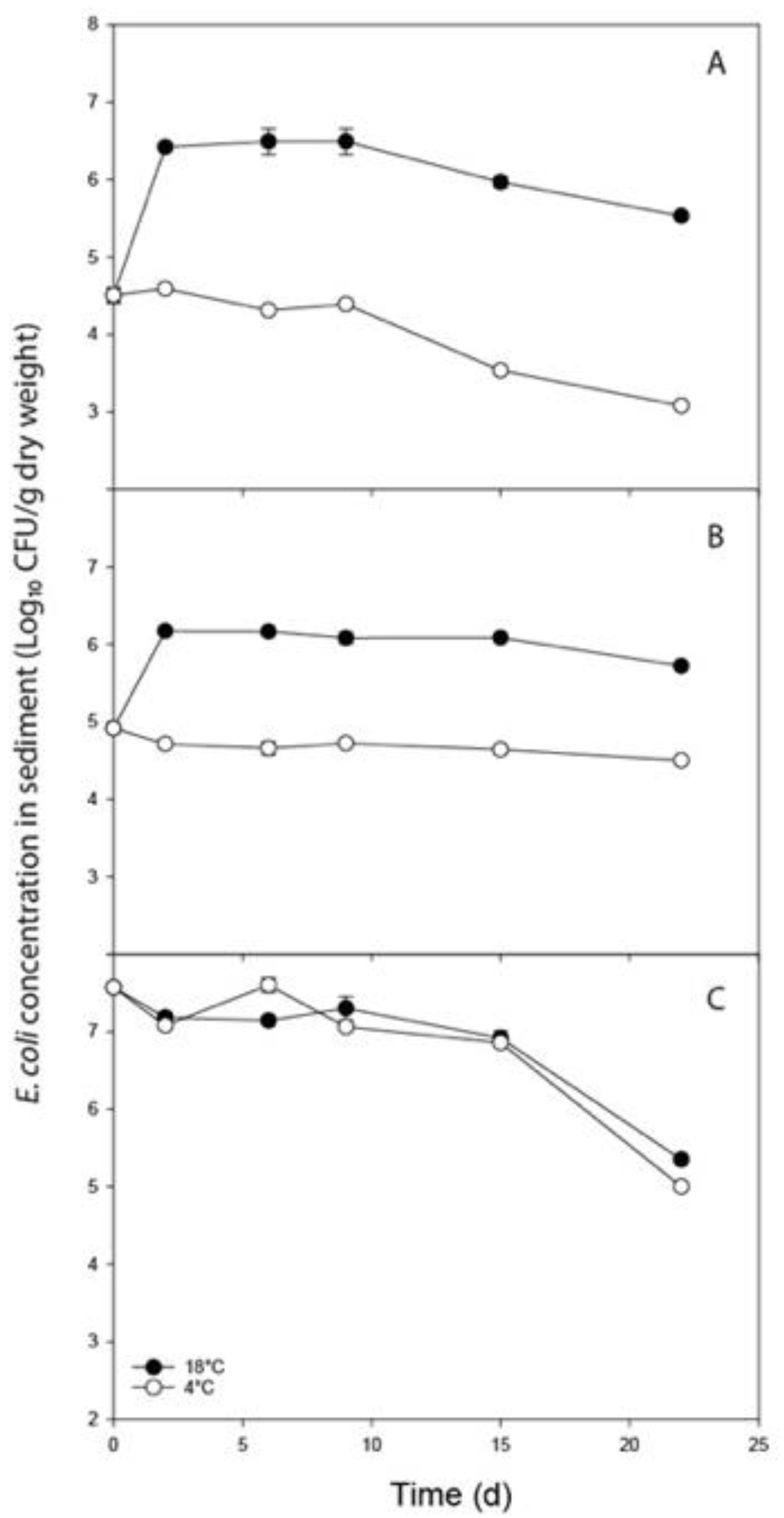
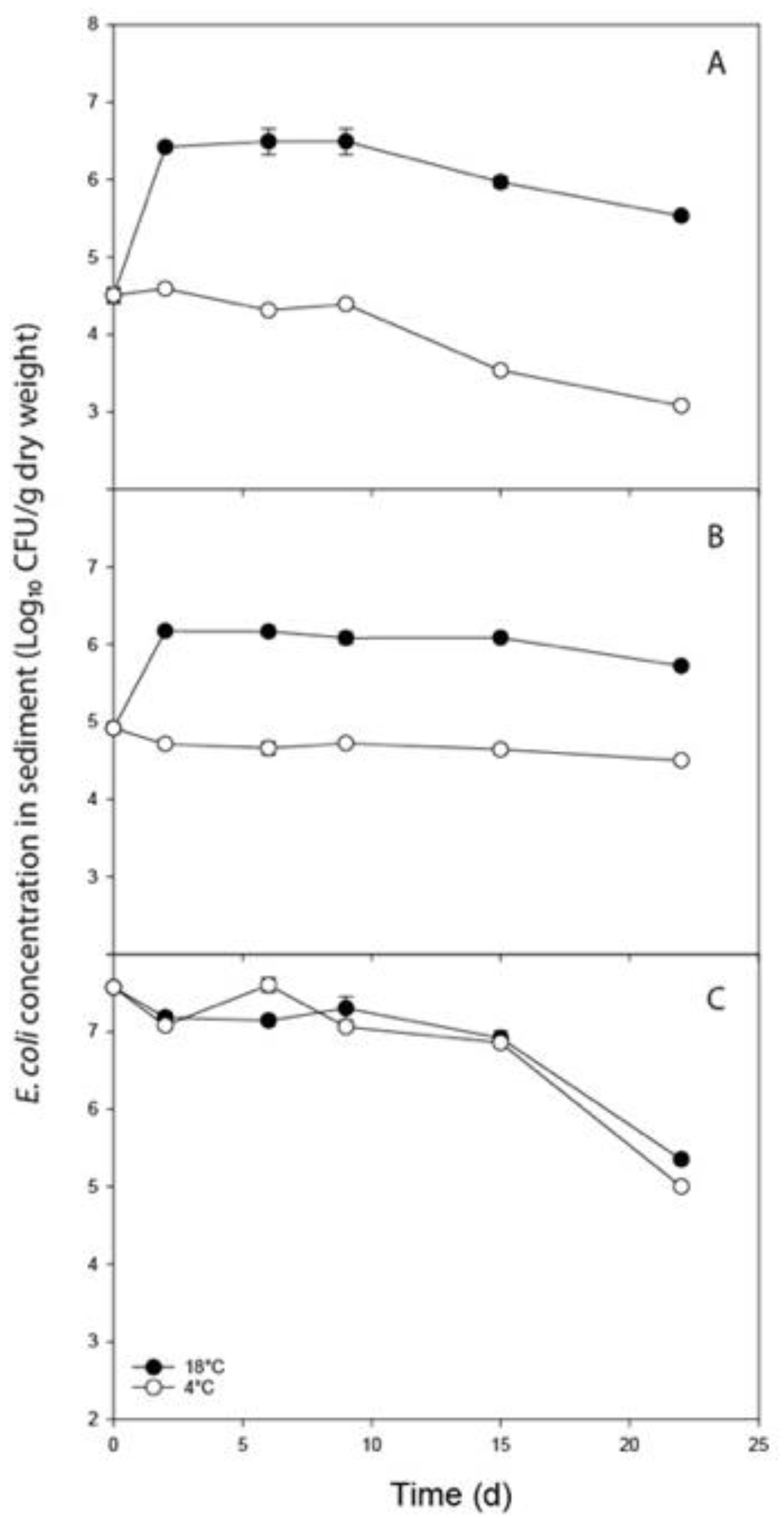
3.1. Persistence of E. coli in Streambed Sediments
3.2. Sediment and Sedimentation Rate Data
4. Discussion
5. Conclusions
Author Contributions
Funding
Institutional Review Board Statement
Data Availability Statement
Acknowledgments
Conflicts of Interest
References
- Mohanavelu, A.; Shrivastava, S.; Naganna, S.R. Streambed pollution: A comprehensive review of its sources, eco-hydro-geo-chemical impacts, assessment, and mitigation strategies. Chemosphere 2022, 300, 134589. [Google Scholar] [CrossRef] [PubMed]
- Drummond, J.D.; Aquino, T.; Davies-Colley, R.J.; Stott, R.; Krause, S. Modeling contaminant microbes in rivers during both baseflow and stormflow. Geophys. Res. Lett. 2022, 49, e2021GL096514. [Google Scholar] [CrossRef] [PubMed]
- Bradshaw, J.K.; Snyder, B.; Spidle, D.; Sidle, R.C.; Sullivan, K.; Molina, M. Sediment and fecal indicator bacteria loading in a mixed land use watershed: Contributions from suspended sediment and bedload transport. J. Environ. Qual. 2021, 50, 598–611. [Google Scholar] [CrossRef] [PubMed]
- Lannergård, E.E.; Agstam-Norlin, O.; Huser, B.J.; Sandström, S.; Rakovic, J.; Futter, M.N. New insights into legacy phosphorus from fractionation of streambed sediment. J. Geophys. Res. Biogeosci. 2020, 125, e2020JG005763. [Google Scholar] [CrossRef]
- May, H.; Rixon, S.; Gardner, S.; Goel, P.; Levison, J.; Binns, A. Investigating relationships between climate controls and nutrient flux in surface waters, sediments, and subsurface pathways in an agricultural clay catchment of the Great Lakes Basin. Sci. Total Environ. 2022, 864, 160979. [Google Scholar] [CrossRef] [PubMed]
- Sojobi, A.O.; Zayed, T. Impact of sewer overflow on public health: A comprehensive scientometric analysis and systematic review. Environ. Res. 2022, 203, 111609. [Google Scholar] [CrossRef] [PubMed]
- Whelan, M.J.; Linstead, C.; Worrall, F.; Ormerod, S.J.; Durance, I.; Johnson, A.C.; Johnson, D.; Owen, M.; Wiik, E.; Howden, N.J.; et al. Is water quality in British rivers “better than at any time since the end of the Industrial Revolution”? Sci. Total Environ. 2022, 843, 157014. [Google Scholar] [CrossRef]
- Hachad, M.; Yarahmadi, H.; Duy, S.V.; Sauvé, S.; Prévost, M.; Dorner, S. Occurrence and partitioning behavior of E. coli and wastewater micropollutants following rainfall events. Res. Environ. Sustain. 2022, 9, 100067. [Google Scholar] [CrossRef]
- Muirhead, R.W.; Davies-Colley, R.J.; Donnison, A.M.; Nagels, J.W. Faecal bacteria yields in artificial flood events: Quantifying in-stream stores. Water Res. 2004, 38, 1215–1224. [Google Scholar] [CrossRef]
- Afolabi, E.O.; Quilliam, R.S.; Oliver, D.M. Time since faecal deposition influences mobilisation of culturable E. coli and intestinal enterococci from deer, goose and dairy cow faeces. PLoS ONE 2022, 17, e0274138. [Google Scholar] [CrossRef]
- Moriarty, E.M.; Weaver, L.; Sinton, L.W.; Gilpin, B. Survival of Escherichia coli, Enterococci and Campylobacter jejuni in Canada Goose Faeces on Pasture. Zoonoses Public Health 2012, 59, 490–497. [Google Scholar] [CrossRef]
- Guber, A.K.; Fry, J.; Ives, R.L.; Rose, J.B. Escherichia coli survival in, and release from, white-tailed deer feces. Appl. Environ. Microbiol. 2015, 81, 1168–1176. [Google Scholar] [CrossRef] [PubMed]
- Mohammed, H.; Tveten, A.K.; Seidu, R. Modelling the impact of climate change on flow and E. coli concentration in the catchment of an ungauged drinking water source in Norway. J. Hydrol. 2019, 573, 676–687. [Google Scholar] [CrossRef]
- Smith, J.E.; Stocker, M.D.; Hill, R.L.; Pachepsky, Y.A. The Effect of Temperature Oscillations and Sediment Texture on Fecal Indicator Bacteria Survival in Sediments. Water Air Soil Poll. 2019, 230, 270. [Google Scholar] [CrossRef]
- Brandão, J.; Weiskerger, C.; Valério, E.; Pitkänen, T.; Meriläinen, P.; Avolio, L.; Heaney, C.D.; Sadowsky, M.J. Climate Change Impacts on Microbiota in Beach Sand and Water: Looking Ahead. Int. J. Environ. Res. Public Health 2022, 19, 1444. [Google Scholar] [CrossRef]
- Kiefer, L.A.; Shelton, D.R.; Pachepsky, Y.; Blaustein, R.; Santin-Duran, M. Persistence of Escherichia coli introduced into streambed sediments with goose, deer and bovine animal waste. Lett. Appl. Microbiol. 2012, 55, 345–353. [Google Scholar] [CrossRef]
- Wyness, A.J.; Paterson, D.M.; Mendo, T.; Defew, E.C.; Stutter, M.I.; Avery, L.M. Factors affecting the spatial and temporal distribution of E. coli in intertidal estuarine sediments. Sci. Total Environ. 2019, 661, 155–167. [Google Scholar] [CrossRef]
- Garzio-Hadzick, A.; Shelton, D.R.; Hill, R.L.; Pachepsky, Y.A.; Guber, A.K.; Rowland, R. Survival of manure-borne E. coli in streambed sediment: Effects of temperature and sediment properties. Water Res. 2010, 44, 2753–2762. [Google Scholar] [CrossRef]
- Petersen, F.; Hubbart, J.A. Physical factors impacting the survival and occurrence of Escherichia coli in secondary habitats. Water 2020, 12, 1796. [Google Scholar] [CrossRef]
- Zimmer-Faust, A.G.; Thulsiraj, V.; Marambio-Jones, C.; Cao, Y.; Griffith, J.F.; Holden, P.A.; Jay, J.A. Effect of freshwater sediment characteristics on the persistence of fecal indicator bacteria and genetic markers within a Southern California watershed. Water Res. 2017, 119, 1–11. [Google Scholar] [CrossRef]
- Fluke, J.; González-Pinzón, R.; Thomson, B. Riverbed sediments control the spatiotemporal variability of E. coli in a highly managed, arid river. Front. Water 2019, 1, 4. [Google Scholar] [CrossRef]
- Antunes, P.O.; ÓhUallacháin, D.; Dunne, N.; Kelly-Quinn, M.; O’Sullivan, M.; Bragina, L.; Jennings, E. Cattle access to small streams increases concentrations of Escherichia coli in bed sediments. Hydrobiologia 2022, 1–19. [Google Scholar] [CrossRef]
- Cho, K.H.; Pachepsky, Y.A.; Oliver, D.M.; Muirhead, R.W.; Park, Y.; Quilliam, R.S.; Shelton, D.R. Modeling fate and transport of fecally-derived microorganisms at the watershed scale: State of the science and future opportunities. Water Res. 2016, 100, 38–56. [Google Scholar] [CrossRef]
- Droppo, I.G.; Krishnappan, B.G.; Liss, S.N.; Marvin, C.; Biberhofer, J. Modelling sediment-microbial dynamics in the South Nation River, Ontario, Canada: Towards the prediction of aquatic and human health risk. Water Res. 2011, 45, 3797–3809. [Google Scholar] [CrossRef]
- Klaar, M.J.; Shelley, F.S.; Hannah, D.M.; Krause, S. Instream wood increases riverbed temperature variability in a lowland sandy stream. River Res. Appl. 2020, 36, 1529–1542. [Google Scholar] [CrossRef]
- Oliver, D.M.; Haygarth, P.M.; Clegg, C.D.; Heathwaite, A.L. Differential E. coli die-off patterns associated with agricultural matrices. Environ. Sci. Technol. 2006, 40, 5710–5716. [Google Scholar] [CrossRef] [PubMed]
- Smith, E.J.; Davison, W.; Hamilton-Taylor, J. Methods for preparing synthetic freshwaters. Water Res. 2002, 36, 1286–1296. [Google Scholar] [CrossRef]
- Stocker, M.D.; Penrose, M.; Pachepsky, Y.A. Spatial patterns of Escherichia coli concentrations in sediment before and after high-flow events in a first-order creek. J. Environ. Qual. 2018, 47, 958–966. [Google Scholar] [CrossRef] [PubMed]
- Jeong, J.; Wagner, K.; Flores, J.J.; Cawthon, T.; Her, Y.; Osorio, J.; Yen, H. Linking watershed modeling and bacterial source tracking to better assess E. coli sources. Sci. Total Environ. 2019, 648, 164–175. [Google Scholar] [CrossRef] [PubMed]
- Oliver, D.M.; Bartie, P.J.; Heathwaite, A.L.; Reaney, S.M.; Parnell, J.A.; Quilliam, R.S. A catchment-scale model to predict spatial and temporal burden of E. coli on pasture from grazing livestock. Sci. Total Environ. 2018, 616, 678–687. [Google Scholar] [CrossRef] [PubMed]
- Biswas, S.; Niu, M.; Appuhamy, J.A.D.R.N.; Leytem, A.B.; Dungan, R.S.; Kebreab, E.; Pandey, P. Impacts of dietary forage and crude protein levels on the shedding of Escherichia coli O157:H7 and Listeria in dairy cattle feces. Livest. Sci. 2016, 194, 17–22. [Google Scholar] [CrossRef]
- Lagerstrom, K.M.; Hadly, E.A. The under-investigated wild side of Escherichia coli: Genetic diversity, pathogenicity and antimicrobial resistance in wild animals. Proceed. R. Soc. B 2021, 288, 20210399. [Google Scholar] [CrossRef]
- Moriarty, E.M.; Karki, N.; MacKenzie, M.; Sinton, L.W.; Wood, D.R.; Gilpin, B.J. Faecal indicators and pathogens in selected New Zealand waterfowl. New Zealand J. Mar. Freshw. Res. 2011, 45, 679–688. [Google Scholar] [CrossRef]
- Oliver, D.M.; Porter, K.D.; Pachepsky, Y.A.; Muirhead, R.W.; Reaney, S.M.; Coffey, R.; Kay, D.; Milledge, D.G.; Hong, E.; Anthony, S.G.; et al. Predicting microbial water quality with models: Over-arching questions for managing risk in agricultural catchments. Sci. Total Environ. 2016, 544, 39–47. [Google Scholar] [CrossRef] [PubMed]
- Hodgson, C.J.; Oliver, D.M.; Fish, R.D.; Bulmer, N.M.; Heathwaite, A.L.; Winter, M.; Chadwick, D.R. Seasonal persistence of faecal indicator organisms in soil following dairy slurry application to land by surface broadcasting and shallow injection. J. Environ. Manag. 2016, 183, 325–332. [Google Scholar] [CrossRef]
- Smith, J.E.; Kiefer, L.A.; Stocker, M.D.; Blaustein, R.A.; Ingram, S.; Pachepsky, Y.A. Depth-Dependent Response of Fecal Indicator Bacteria in Sediments to Changes in Water Column Nutrient Levels. J. Environ. Qual. 2019, 48, 1074–1081. [Google Scholar] [CrossRef]
- Oliver, D.M.; Page, T. Effects of seasonal meteorological variables on E. coli persistence in livestock faeces and implications for environmental and human health. Sci. Rep. 2016, 6, 37101. [Google Scholar] [CrossRef] [PubMed]
- Jang, J.; Hur, H.G.; Sadowsky, M.J.; Byappanahalli, M.N.; Yan, T.; Ishii, S. Environmental Escherichia coli: Ecology and public health implications—A review. J. Appl. Microbiol. 2017, 123, 570–581. [Google Scholar] [CrossRef] [PubMed]
- Orruño, M.; Kaberdin, V.R.; Arana, I. Survival strategies of Escherichia coli and Vibrio spp.: Contribution of the viable but nonculturable phenotype to their stress-resistance and persistence in adverse environments. World J. Microbiol. Biotechnol. 2017, 33, 45. [Google Scholar] [CrossRef]
- Oliver, D.M.; Page, T.; Hodgson, C.J.; Heathwaite, A.L.; Chadwick, D.R.; Fish, R.D.; Winter, M. Development and testing of a risk indexing framework to determine field-scale critical source areas of faecal bacteria on grassland. Environ. Model. Soft. 2010, 25, 503–512. [Google Scholar] [CrossRef]
- Muirhead, R.W.; Elliott, A.H.; Monaghan, R.M. A model framework to assess the effect of dairy farms and wild fowl on microbial water quality during base-flow conditions. Water Res. 2011, 45, 2863–2874. [Google Scholar] [CrossRef] [PubMed]
- Wyness, A.J.; Paterson, D.M.; Rimmer, J.E.V.; Defew, E.C.; Stutter, M.I.; Avery, L.M. Assessing risk of E. coli resuspension from intertidal estuarine sediments: Implications for water quality. Int. J. Environ. Res. Public Health 2019, 16, 3255. [Google Scholar] [CrossRef] [PubMed]
- Wotton, R.S.; Malmqvist, B. Feces in aquatic ecosystems: Feeding animals transform organic matter into fecal pellets, which sink or are transported horizontally by currents; these fluxes relocate organic matter in aquatic ecosystems. BioScience 2001, 51, 537–544. [Google Scholar] [CrossRef]


| Die-Off Phase Coefficients | |||||||||
|---|---|---|---|---|---|---|---|---|---|
| Treatment | Dairy Cow | Deer | Goose | ||||||
| k (day−1) | R2 | D-value (days) | k (day−1) | R2 | D-value (days) | k (day−1) | R2 | D-value (days) | |
| 18 °C | 0.105 C | 72.9 | 21.9 | 0.048 E | 68.3 | 48.0 | 0.193 A | 73.8 | 11.9 |
| 4 °C | 0.164 D | 89.2 | 14.0 | 0.032 E | 53.3 | 72.0 | 0.230 B | 73.7 | 10.0 |
| Turbidity (Nephelometric Turbidity Units) | ||||||
|---|---|---|---|---|---|---|
| Dairy Cow Faeces | Deer Faeces | Goose Faeces | ||||
| Time (min) | Mean | SE | Mean | SE | Mean | SE |
| 0 | 9316.7 | 455.7 | 9926.7 | 27.3 | 6756.7 | 636.1 |
| 1 | 7146.7 | 81.7 | 7916.7 | 38.4 | 4006.7 | 327.5 |
| 2 | 6773.3 | 271.7 | 7810.0 | 268.5 | 2923.3 | 86.7 |
| 3 | 5886.7 | 128.4 | 7506.7 | 146.2 | 2510.0 | 90.7 |
| 4 | 5406.7 | 69.8 | 6803.3 | 236.9 | 1933.3 | 167.6 |
| 5 | 5146.7 | 33.3 | 6310.0 | 17.3 | 1460.0 | 35.1 |
| 10 | 5073.3 | 82.1 | 5886.7 | 349.2 | 1333.3 | 16.7 |
| 20 | 4700.0 | 65.1 | 4943.3 | 58.4 | 1200.0 | 37.9 |
| 30 | 4570.0 | 63.5 | 4613.3 | 172.3 | 1103.3 | 21.9 |
| 60 | 4406.7 | 17.6 | 4736.7 | 12.0 | 936.7 | 31.8 |
| 120 | 4356.7 | 82.5 | 4540.0 | 105.4 | 783.3 | 46.7 |
| 180 | 4216.7 | 18.6 | 4046.7 | 92.4 | 660.0 | 10.0 |
| 240 | 3983.3 | 101.7 | 3786.7 | 34.8 | 560.0 | 28.9 |
| 300 | 3410.0 | 258.9 | 3623.3 | 60.6 | 422.5 | 11.8 |
| 360 | 2986.7 | 173.7 | 3396.7 | 59.0 | 384.9 | 5.9 |
| 420 | 2736.7 | 49.8 | 3100.0 | 61.1 | 311.5 | 7.1 |
| 480 | 2446.7 | 80.1 | 2970.0 | 35.1 | 263.9 | 15.7 |
| 540 | 2203.3 | 103.7 | 2690.0 | 70.0 | 228.3 | 21.2 |
| 600 | 1986.7 | 145.3 | 2436.7 | 78.0 | 168.8 | 10.5 |
| 660 | 1613.3 | 240.4 | 1990.0 | 236.9 | 116.5 | 10.7 |
| 720 | 1546.7 | 147.2 | 1726.7 | 312.1 | 29.5 | 6.5 |
Disclaimer/Publisher’s Note: The statements, opinions and data contained in all publications are solely those of the individual author(s) and contributor(s) and not of MDPI and/or the editor(s). MDPI and/or the editor(s) disclaim responsibility for any injury to people or property resulting from any ideas, methods, instructions or products referred to in the content. |
© 2023 by the authors. Licensee MDPI, Basel, Switzerland. This article is an open access article distributed under the terms and conditions of the Creative Commons Attribution (CC BY) license (https://creativecommons.org/licenses/by/4.0/).
Share and Cite
Afolabi, E.O.; Quilliam, R.S.; Oliver, D.M. Persistence of E. coli in Streambed Sediment Contaminated with Faeces from Dairy Cows, Geese, and Deer: Legacy Risks to Environment and Health. Int. J. Environ. Res. Public Health 2023, 20, 5375. https://doi.org/10.3390/ijerph20075375
Afolabi EO, Quilliam RS, Oliver DM. Persistence of E. coli in Streambed Sediment Contaminated with Faeces from Dairy Cows, Geese, and Deer: Legacy Risks to Environment and Health. International Journal of Environmental Research and Public Health. 2023; 20(7):5375. https://doi.org/10.3390/ijerph20075375
Chicago/Turabian StyleAfolabi, Emmanuel O., Richard S. Quilliam, and David M. Oliver. 2023. "Persistence of E. coli in Streambed Sediment Contaminated with Faeces from Dairy Cows, Geese, and Deer: Legacy Risks to Environment and Health" International Journal of Environmental Research and Public Health 20, no. 7: 5375. https://doi.org/10.3390/ijerph20075375
APA StyleAfolabi, E. O., Quilliam, R. S., & Oliver, D. M. (2023). Persistence of E. coli in Streambed Sediment Contaminated with Faeces from Dairy Cows, Geese, and Deer: Legacy Risks to Environment and Health. International Journal of Environmental Research and Public Health, 20(7), 5375. https://doi.org/10.3390/ijerph20075375

