Analysis of the Occurrence of Predicative Factors of Chronic Fatigue in Female Patients with Cancer of the Reproductive Organs with Respect to Stage of Treatment
Abstract
1. Introduction
2. Materials and Methods
2.1. Study Sample Selection
2.2. Study Design
2.2.1. Structured Interview
2.2.2. Determination of Biochemical Parameters
2.3. Statistical Analysis
3. Results
Characteristics of the Subject Group
4. Discussion
5. Conclusions
Supplementary Materials
Author Contributions
Funding
Institutional Review Board Statement
Informed Consent Statement
Data Availability Statement
Conflicts of Interest
References
- Lawrence, D.P.; Kupelnick, B.; Miller, K.; Devine, D.; Lau, J. Evidence report on the occurrence, assessment, and treatment of fatigue in cancer patients. J. Natl. Cancer Inst. Monogr. 2004, 32, 40–50. [Google Scholar] [CrossRef] [PubMed]
- Sokołowski, Ł.; Ukleja–Sokołowska, N.; Kozakiewicz, M.; Zalewski, P. Immunologiczne podłoże zespołu przewlekłego zmęczenia. Alerg. Astma Immunol. 2016, 21, 201–205. [Google Scholar]
- Ruszkiewicz, M.; Kreft, K. Korelaty akceptacji choroby w grupie pacjentów onkologicznych. Psychoonkologia 2017, 21, 37–44. [Google Scholar] [CrossRef]
- Weis, J. Cancer-related fatigue: Prevalence, assessment and treatment strategies. Expert Rev. Pharm. Outcomes Res. 2011, 11, 441–446. [Google Scholar] [CrossRef] [PubMed]
- Servaes, P.; Gielissen, M.F.; Verhagen, S.; Bleijenberg, G. The course of severe fatigue in disease-free breast cancer patients: A lon-gitudinal study. Psychooncology 2007, 9, 787–795. [Google Scholar] [CrossRef] [PubMed]
- Cipora, E.; Konieczny, M.; Sobieszczański, J. Acceptance of illness by women with breast cancer. Ann. Agric. Environ. Med. 2018, 25, 167–171. [Google Scholar] [CrossRef]
- Rzepka, K.; Nowicki, A. Zespół zmęczenia u chorych na raka piersi. Współczesna Onkol. 2010, 14, 321–325. [Google Scholar] [CrossRef]
- Etzioni, A. Chronic fatigue syndrome: Still a long way to go. Isr. Med. Assoc. J. 2011, 13, 761. [Google Scholar]
- Bitner, A.; Klawe, J.J.; Zalewski, P.; Tafil-Klawe, M. Etiologia zespołu przewlekłego zmęczenia z uwzględnieniem zaburzeń funkcjonowania autonomicznego układu nerwowego. Probl. Hig. Epidemiol. 2013, 94, 6–8. [Google Scholar]
- Lorusso, L.; Mikhaylova, S.V.; Capelli, E.; Ferrari, D.; Ngonga, G.K.; Ricevuti, G. Immunological aspects of chronic fatigue syndrome. Autoimmun. Rev. 2009, 8, 287–291. [Google Scholar] [CrossRef]
- Chambers, D.; Bagnall, A.; Hempel, S.; Forbes, C. Interventions for the treatment, management and rehabilitation of patients with chronic fatigue syndrome/myalgic encephalomyelitis an updated systematic review. J. R. Soc. Med. 2006, 99, 506–520. [Google Scholar] [PubMed]
- Shepherd, C.; Chaudhuri, A. ME/CFS/PVFS, ME Association: ME/CFS/ PVFS An exploration of the Key clinical issues. In Purple Booklet, 7th ed.; ME association: Buckingham, UK, 2013. [Google Scholar]
- Devanur, L.D.; Kerr, J.R. Chronic fatigue syndrome. J. Clin. Virol. 2006, 37, 139–150. [Google Scholar] [CrossRef] [PubMed]
- Fletcher, M.A.; Zeng, X.R.; Barnes, Z.; Levis, S.; Klimas, N.G. Plasma cytokines in women with chronic fatigue syndrome. J. Transl. Med. 2009, 7, 96. [Google Scholar] [CrossRef] [PubMed]
- Buss, T. Wybrane metody zwalczania zmęczenia w przebiegu choroby nowotworowej. Med. Paliatywna Prakt. 2008, 2, 148–154. [Google Scholar]
- Stein, K.D.; Jacobsen, P.B.; Blanchard, C.M.; Thors, C. Further validation of the multidimensional fatigue symptom inventory-short form. J. Pain Symptom Manag. 2004, 27, 14–23. [Google Scholar] [CrossRef]
- Stein, K.D.; Martin, S.C.; Hann, D.M.; Jacobsen, P.B. A multidimensional measure of fatigue for use with cancer patients. Cancer Pract. 1998, 6, 143–152. [Google Scholar] [CrossRef] [PubMed]
- Jean-Pierre, P.; Figueroa-Moseley, C.D.; Kohli, S.; Fiscella, K.; Palesh, O.G.; Morrow, G.R. Assessment of cancer-related fatigue: Implications for clinical diagnosis and treatment. Oncologist 2007, 12, 11–21. [Google Scholar] [CrossRef]
- Mock, V.; Atkinson, A.; Barsevick, A.; Cella, D.; Cimprich, B.; Cleeland, C.; Donelly, J.; Eisenberger, M.A.; Escalante, C.; Hinds, P.; et al. NCCN Practice Guidelines for Cancer-Related Fatigue. Oncology 2000, 14, 151–161. [Google Scholar]
- Astrup, G.L.; Rustøen, T.; Miaskowski, C.H.; Paul, S.M.; Bjordal, K. A Longitudinal Study of Depressive Symptoms in patients with Head and Neck Cancer Undergoing Radiotherapy. Cancer Nurs. 2015, 38, 436–446. [Google Scholar] [CrossRef]
- Kieszkowska-Grudny, A.; Sawicki, Z.; Sierko, E.; Wojtukiewicz, M. Zespół przewlekłego zmęczenia u chorych na nowotwory poddawanych chemioterapii. J. Oncol. 2007, 57, 695–701. [Google Scholar]
- Hofman, M.; Ryan, J.L.; Figueroa-Moseley, C.D.; Jean-Pierre, P.; Morrow, G.R. Cancer-related fatigue: The scale of the problem. Oncologist 2007, 12, 4–10. [Google Scholar] [CrossRef] [PubMed]
- Brown, D.J.; McMillan, D.C.; Milroy, R. The correlation between fatigue, physical function, the systemic inflammatory response, and psychological distress in patients with advanced lung cancer. Cancer 2005, 103, 377–382. [Google Scholar] [CrossRef] [PubMed]
- de Jong, N.; Courtens, A.M.; Abu-Saad, H.H.; Schouten, H.C. Fatigue in patients with breast cancer receiving adjuvant chemotherapy: A review of the literature. Cancer Nurs. 2002, 25, 283–297. [Google Scholar] [CrossRef] [PubMed]
- Bower, J.E.; Ganz, P.A.; Desmond, K.A.; Bernaards, C.; Rowland, J.H.; Meyerowitz, B.E.; Belin, T.R. Fatigue in long-term breast carcinoma survivors: A longitudinal investigation. Cancer 2006, 106, 751–758. [Google Scholar] [CrossRef] [PubMed]
- Bower, J.E.; Ganz, P.A.; Aziz, N.; Fahey, J.L.; Cole, S.W. T-cell homeostasis in breast cancer survivors with persistent fatigue. J. Natl. Cancer Inst. 2003, 95, 1165–1168. [Google Scholar] [CrossRef]
- Ma, Y.; Kepp, O.; Ghiringhelli, F.; Apetoh, L.; Aymeric, L.; Locher, C.; Tesniere, A.; Martins, I.; Ly, A.; Haynes, N.M.; et al. Chemotherapy and radiotherapy: Cryptic anticancer vaccines. Semin. Immunol. 2010, 22, 113–124. [Google Scholar] [CrossRef] [PubMed]
- Cheong, Y.C.; Shelton, J.B.; Laird, S.M.; Richmond, M.; Kudesia, G.; Li, T.C.; Ledger, W.L. IL-1, IL-6 and TNF-α concentrations in the peritoneal fluid of women with pelvic adhesions. Hum. Reprod. 2002, 17, 69–75. [Google Scholar] [CrossRef] [PubMed]
- Dossus, L.; Lukanova, A.; Rinaldi, S.; Allen, N.; Cust, A.E.; Becker, S.; Tjonneland, A.; Hansen, L.; Overvad, K.; Chabbert-Buffet, N.; et al. Hormonal, metabolic, and inflammatory profiles and endometrial cancer risk within the EPIC cohort—A factor analysis. Am. J. Epidemiol. 2013, 177, 787–799. [Google Scholar] [CrossRef]
- Jones, S.A.; Jenkins, B.J. Recent insights into targeting the IL-6 cytokine family in inflammatory diseases and cancer. Nat. Rev. Immunol. 2018, 18, 773–789. [Google Scholar] [CrossRef] [PubMed]
- Aggarwal, B.B.; Shishodia, S.; Sandur, S.K.; Pandey, M.K.; Sethi, G. Inflammation and cancer: How hot is the link? Biochem. Pharmacol. 2006, 72, 1605–1621. [Google Scholar] [CrossRef]
- Darai, E.; Detchev, R.D.; Quang, N.T. Serum and cyst fluid levels of interleukin (IL)-6, IL-8 and tumour necrosis factor-alpha in women with endometriomas and benign and malignant cystic ovarian tumours. Hum. Reprod. 2003, 18, 1681. [Google Scholar] [CrossRef] [PubMed]
- Ferdeghini, M.; Gadducci, A.; Prontera, C.; Bonuccelli, A.; Annicchiarico, C.; Fanucchi, A.; Facchini, V.; Bianchi, R. Serum interleukin-6 levels in uterine malignancies. Preliminary Data. Anticancer Res. 1994, 14, 735. [Google Scholar] [PubMed]
- Bellone, S.; Watts, K.; Cane, S.; Palmieri, M.; Cannon, M.J.; Burnett, A.; Roman, J.J.; Pecorelli, S.; Santin, A.D. High serum levels of interleukin-6 in endometrial carcinoma are associated with uterine serous papillary histology, a highly aggressive and chemotherapy-resistant variant of endometrial cancer. Gynecol. Oncol. 2005, 98, 92–98. [Google Scholar] [CrossRef] [PubMed]
- Li, X.; Li, H.; Pei, X.; Zhou, Y.; Wei, Z. CCDC68 Upregulation by IL-6 Promotes Endometrial Carcinoma Progression. J. Interferon Cytokine Res. 2021, 41, 12–19. [Google Scholar] [CrossRef] [PubMed]
- Chopra, V.; Dinh, T.V.; Hannigan, E.V. Serum levels of interleukins, growth factors and angiogenin in patients with endometrial cancer. J. Cancer Res. Clin. Oncol. 1997, 123, 167–172. [Google Scholar] [CrossRef] [PubMed]
- Punnonen, R.; Teisala, K.; Kuoppala, T.; Bennett, B.; Punnonen, J. Cytokine production profiles in the peritoneal fluids of patients with malignant or benign gynecologic tumors. Cancer 1998, 83, 788–796. [Google Scholar] [CrossRef]
- Hao, C.J.; Li, J.; Liu, P.; Li, X.L.; Hu, Y.Q.; Sun, J.C.; Wei, Y. Effects of the balance between type 1 and type 2 T helper cells on ovarian cancer. Genet. Mol. Res. 2016, 15. [Google Scholar] [CrossRef]
- Chen, L.L.; Ye, F.; Lü, W.G.; Yu, Y.; Chen, H.Z.; Xie, X. Evaluation of immune inhibitory cytokine profiles in epithelial ovarian carcinoma. J. Obstet. Gynaecol. Res. 2009, 35, 212–218. [Google Scholar] [CrossRef]
- Clendenen, T.V.; Lundin, E.; Zeleniuch-Jacquotte, A.; Koenig, K.L.; Berrino, F.; Lukanova, A.; Lokshin, A.E.; Idahl, A.; Ohlson, N.; Hallmans, G.; et al. Circulating inflammation markers and risk of epithelial ovarian cancer. Cancer Epidemiol. Biomark. Prev. 2011, 20, 799–810. [Google Scholar] [CrossRef]
- Penson, R.T.; Kronish, K.; Duan, Z.; Feller, A.J.; Stark, P.; Cook, S.E.; Duska, L.R.; Fuller, A.F.; Goodman, A.K.; Nikrui, N.; et al. Cytokines IL-1beta, IL-2, IL-6, IL-8, MCP-1, GM-CFS and TNFalpha in patients with epithelial ovarian cancer and their relationship to treatment with paclitaxel. Int. J. Gynecol. Cancer 2000, 10, 33–41. [Google Scholar] [CrossRef]
- Macciò, A.; Madeddu, C. Inflammation and ovarian cancer. Cytokine 2012, 58, 133–147. [Google Scholar] [CrossRef] [PubMed]
- Wertel, I.; Suszczyk, D.; Pawłowska, A.; Bilska, M.; Chudzik, A.; Skiba, W.; Paduch, R.; Kotarski, J. Prognostic and Clinical Value of Interleukin 6 and CD45+CD14+ Inflammatory Cells with PD-L1+/PD-L2+ Expression in Patients with Different Manifestation of Ovarian Cancer. J. Immunol. Res. 2020, 2020, 1715064. [Google Scholar] [CrossRef]
- Macciò, A.; Madeddu, C.; Massa, D.; Astara, G.; Farci, D.; Melis, G.B.; Mantovani, G. Interleukin-6 and leptin as markers of energy metabolic changes in advanced ovarian cancer patients. J. Cell. Mol. Med. 2009, 13, 3951–3959. [Google Scholar] [CrossRef] [PubMed]
- Yigit, R.; Figdor, C.G.; Zusterzeel, P.L.; Pots, J.M.; Torensma, R.; Massuger, L.F. Cytokine analysis as a tool to understand tumour-host interaction in ovarian cancer. Eur. J. Cancer 2011, 47, 1883–1889. [Google Scholar] [CrossRef]
- Nowak, M.; Glowacka, E.; Szpakowski, M.; Szyllo, K.; Malinowski, A.; Kulig, A.; Tchorzewski, H.; Wilczynski, J. Proinflammatory and immunosuppressive serum, ascites and cyst fluid cytokines in patients with early and advanced ovarian cancer and benign ovarian tumors. Neuro Endocrinol. Lett. 2010, 31, 375–383. [Google Scholar] [PubMed]
- Dobrzycka, B.; Terlikowski, S.J.; Kowalczuk, O.; Kinalski, M. Circulating levels of TNF-alpha and its soluble receptors in the plasma of patients with epithelial ovarian cancer. Eur. Cytokine Netw. 2009, 20, 131–134. [Google Scholar] [PubMed]
- Liu, H.; Nishitoh, H.; Ichijo, H.; Kyriakis, J.M. Activation of apoptosis signal-regulating kinase 1 (ASK1) by tumor necrosis factor receptorassociated factor 2 requires prior dissociation of the ASK1 inhibition thioredoxin. Mol. Cell. Biol. 2000, 20, 2198–2208. [Google Scholar] [CrossRef]
- Kulbe, H.; Thompson, R.; Wilson, J.L.; Robinson, S.; Hagemann, T.; Fatah, R.; Gould, D.; Ayhan, A.; Balkwill, F. The Inflammatory Cytokine Tumor Necrosis Factor-α Generates an Autocrine Tumor-Promoting Network in Epithelial Ovarian Cancer Cells. Cancer Res. 2007, 67, 585–592. [Google Scholar] [CrossRef]
- Wang, T.H.; Chan, Y.H.; Chen, C.W.; Kung, W.H.; Lee, Y.S.; Wang, S.T.; Chang, T.C.; Wang, H.S. Paclitaxel (Taxol) upregulates expression of functional interleukin-6 in human ovarian cancer cells through multiple signaling pathways. Oncogene 2006, 5, 4857–4866. [Google Scholar] [CrossRef]
- Ding, A.H.; Porteu, F.; Sanchez, E.; Nathan, C.F. Shared actions of endotoxin and paclitaxel on TNF receptors and TNF release. Science 1990, 248, 370–372. [Google Scholar] [CrossRef]
- Lee, L.F.; Haskill, J.S.; Mukaida, N.; Matsushima, K.; Ting, J.P. Identification of tumor-specific paclitaxel (Taxol)-responsive regulatory elements in the interleukin-8 promoter. Mol. Cell. Biol. 1997, 17, 5097–5105. [Google Scholar] [CrossRef] [PubMed]
- Mustea, A.; Konsgen, D.; Braicu, E.I.; Pirvulescu, C.; Sun, P.; Sofroni, D.; Lichtenegger, W.; Sehouli, J. Expression of IL-10 in patients with ovarian carcinoma. Anticancer Res. 2006, 26, 1715–1718. [Google Scholar] [PubMed]
- Santin, A.D.; Bellone, S.; Ravaggi, A.; Roman, J.; Smith, C.V.; Pecorelli, S.; Cannon, M.J.; Parham, G.P. Increased levels of interleukin-10 and transforming growth factor-beta in the plasma and ascitic fluid of patients with advanced ovarian cancer. Br. J. Obstet. Gynaecol. 2001, 108, 804–808. [Google Scholar] [CrossRef] [PubMed]
- Inagaki, M.; Isono, M.; Okuyama, T.; Sugawara, Y.; Akechi, T.; Akizuki, N.; Fujimori, M.; Mizuno, M.; Shima, Y.; Kinoshita, H.; et al. Plasma interleukin-6 and fatigue in terminally ill cancer patients. J. Pain Symptom Manag. 2008, 35, 153–161. [Google Scholar] [CrossRef] [PubMed]
- Panju, A.H.; Danesh, A.; Minden, M.D.; Kelvin, D.J.; Alibhai, S.M. Associations between quality of life, fatigue, and cytokine levels in patients aged 50+ with acute myeloid leukemia. Support. Care Cancer 2009, 17, 539–546. [Google Scholar] [CrossRef]
- Collado-Hidalgo, A.; Bower, J.E.; Ganz, P.A.; Cole, S.W.; Irwin, M.R. Inflammatory biomarkers for persistent fatigue in breast cancer survivors. Clin. Cancer Res. 2006, 12, 2759–2766. [Google Scholar] [CrossRef]
- Ahlberg, K.; Ekman, T.; Gaston-Johansson, F. Levels of Fatigue Compared to Levels of Cytokines and Hemoglobin during Pelvic Radiotherapy: A Pilot Study. Biol. Res. Nurs. 2004, 5, 203–210. [Google Scholar] [CrossRef]
- Kwak, S.M.; Choi, Y.S.; Yoon, H.M.; Kim, D.G.; Song, S.H.; Lee, Y.J.; Yeom, C.H.; Koh, S.J.; Park, J.; Lee, M.A.; et al. The relationship between interleukin-6, tumor necrosis factor-{alpha}, and fatigue in terminally ill cancer patients. Palliat. Med. 2012, 26, 275–282. [Google Scholar] [CrossRef]
- Orre, I.J.; Reinertsen, K.V.; Aukrust, P.; Dahl, A.A.; Fosså, S.D.; Ueland, T.; Murison, R. Higher levels of fatigue are associated with higher CRP levels in disease-free breast cancer survivors. J. Psychosom. Res. 2011, 71, 136–141. [Google Scholar] [CrossRef]
- Orre, I.J.; Murison, R.; Dahl, A.A.; Ueland, T.; Aukrust, P.; Fosså, S.D. Levels of circulating interleukin-1 receptor antagonist and C-reactive protein in long-term survivors of testicular cancer with chronic cancer-related fatigue. Brain Behav. Immun. 2009, 23, 868–874. [Google Scholar] [CrossRef]
- Goff, B.A.; Mandel, L.S.; Melancon, C.H.; Muntz, H.G. Frequency of symptoms of ovarian cancer in women presenting to primary care clinics. JAMA 2004, 291, 2705–2712. [Google Scholar] [CrossRef] [PubMed]
- Goff, B.A.; Mandel, L.; Muntz, H.G.; Melancon, C.H. Ovarian carcinoma diagnosis. Cancer 2000, 89, 2068–2075. [Google Scholar] [CrossRef] [PubMed]
- Clevenger, L.; Schrepf, A.; Christensen, D.; DeGeest, K.; Bender, D.; Ahmed, A.; Goodheart, M.J.; Penedo, F.; Lubaroff, D.M.; Sood, A.K.; et al. Sleep disturbance, cytokines, and fatigue in women with ovarian cancer. Brain Behav. Immun. 2012, 26, 1037–1044. [Google Scholar] [CrossRef] [PubMed]
- Bower, J.E.; Ganz, P.; Irwin, M.R.; Kwan, L.; Breen, E.C.; Cole, S.W. Inflammation and behavioral symptoms after breast cancer treatment: Do fatigue, depression, and sleep disturbance share a common underlying mechanism? J. Clin. Oncol. 2011, 29, 3517–3522. [Google Scholar] [CrossRef]
- Kurzrock, R. The role of cytokines in cancer-related fatigue. Cancer 2001, 92, 1684–1688. [Google Scholar] [CrossRef]
- Liu, L.; Mills, P.J.; Rissling, M.; Fiorentino, L.; Natarajan, L.; Dimsdale, J.E.; Sadler, G.R.; Parker, B.A.; Ancoli-Israel, S. Fatigue and sleep quality are associated with changes in inflammatory markers in breast cancer patients undergoing chemotherapy. Brain Behav. Immun. 2012, 26, 706–713. [Google Scholar] [CrossRef]
- Bower, J.E.; Ganz, P.A.; Aziz, N.; Fahey, J.L. Fatigue and pro-inflammatory cytokine activity in breast cancer survivors. Psychosom. Med. 2002, 64, 604–611. [Google Scholar] [CrossRef]
- Scott, H.R.; McMillan, D.C.; Forrest, L.M.; Brown, D.J.; McArdle, C.S.; Milroy, R. The systemic inflammatory response, weight loss, performance status, and survival in patients with inoperable non-small cell lung cancer. Br. J. Cancer 2002, 87, 264–267. [Google Scholar] [CrossRef]
- Dantzer, R.; Kelley, K.W. Twenty years of research on cytokine-induced sickness behavior. Brain Behav. Immun. 2007, 21, 153–160. [Google Scholar] [CrossRef]
- Redeker, N.S.; Lev, E.L.; Ruggiero, J. Insomnia, fatigue, anxiety, depression and quality of life of cancer patients undergoing chemotherapy. Sch. Inq. Nurs. Pract. 2000, 14, 275–290. [Google Scholar]
- Saligan, L.N.; Kim, H.S. A systematic review of the association between immunogenomic markers and cancer-related fatigue. Brain Behav. Immun. 2012, 26, 830–848. [Google Scholar] [CrossRef] [PubMed]

| Cancer Type | p | |||
|---|---|---|---|---|
| Ovarian Cancer | Uterine Cancer | |||
| Education | primary | 3 | 1 | 0.72 |
| vocational | 5 | 5 | ||
| secondary | 13 | 12 | ||
| higher | 5 | 7 | ||
| Place of Residence | village | 4 | 2 | 0.59 |
| city ≤ 10k inhabitants | 9 | 6 | ||
| city ≤ 100k inhabitants | 7 | 8 | ||
| city > 100k inhabitants | 6 | 9 | ||
| Marital Status | single | 3 | 2 | 0.66 |
| married | 14 | 10 | ||
| widow | 7 | 10 | ||
| divorced | 2 | 3 | ||
| Working Activity | working | 8 | 9 | 0.1 |
| not working | 9 | 3 | ||
| pension | 9 | 10 | ||
| sickness pension | 0 | 3 | ||
| Hypertension | no | 16 | 10 | 0.1 |
| yes | 10 | 15 | ||
| Diabetes | no | 14 | 14 | 0.55 |
| yes | 12 | 11 | ||
| Thyroid Disease | no | 14 | 14 | 0.59 |
| yes | 12 | 11 | ||
| BMI value | above normal | 14 | 16 | 0.32 |
| normal | 12 | 9 | ||
| General Score | ||||||
|---|---|---|---|---|---|---|
| Factor | Minimum | 25th Percentile | Median | 75th Percentile | Maximum | p |
| 1ST CYCLE | 0 | 4 | 5 | 9 | 16 | 0.31 |
| 3RD CYCLE | 0 | 3 | 5 | 10 | 22 | |
| 6TH CYCLE | 0 | 4.25 | 7 | 11 | 22 | |
| SURGERY | 0 | 5 | 6 | 8.75 | 23 | |
| Emotional score | ||||||
| 1ST CYCLE | 0 | 5 | 9 | 11 | 15 | 0.16 |
| 3RD CYCLE | 1 | 6 | 9 | 11 | 22 | |
| 6TH CYCLE | 4 | 8 | 9 | 11 | 22 | |
| SURGERY | 0 | 5 | 8 | 10.75 | 22 | |
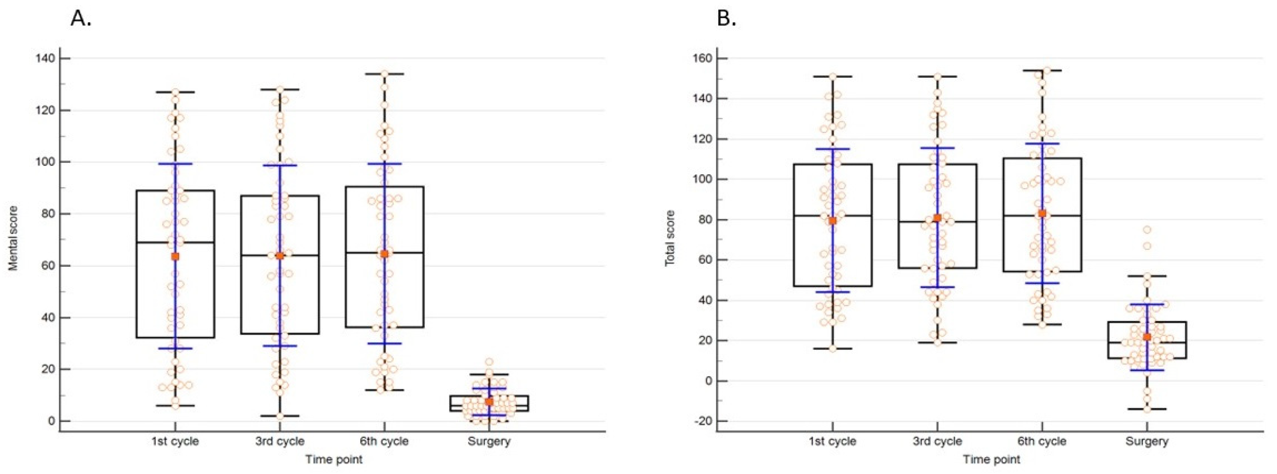
| Mental score | ||||||
| 1ST CYCLE | 6 | 32.25 | 69 | 89 | 127 | <0.05 * |
| 3RD CYCLE | 2 | 33.75 | 64 | 87 | 128 | |
| 6TH CYCLE | 12 | 36.25 | 65 | 90.5 | 134 | |
| SURGERY | 0 | 4 | 6 | 9.75 | 23 | |
| Physical score | ||||||
| 1ST CYCLE | 2 | 6 | 7 | 10 | 17 | 0.07 |
| 3RD CYCLE | 0 | 4.25 | 7 | 11 | 24 | |
| 6TH CYCLE | 3 | 6 | 9 | 11.75 | 24 | |
| SURGERY | 0 | 4 | 7 | 9 | 22 | |
| Vigor | ||||||
| 1ST CYCLE | 0 | 3.25 | 6 | 9.75 | 22 | 0.1 |
| 3RD CYCLE | 0 | 2 | 6 | 10 | 20 | |
| 6TH CYCLE | 0 | 5 | 8 | 11 | 20 | |
| SURGERY | 1 | 5 | 8 | 11.75 | 22 | |
| Total score | ||||||
| 1ST CYCLE | 16 | 47 | 82 | 107.5 | 151 | <0.05 * |
| 3RD CYCLE | 19 | 56 | 79 | 107.5 | 151 | |
| 6TH CYCLE | 28 | 54.25 | 82 | 110.5 | 154 | |
| SURGERY | −14 | 11.25 | 19 | 29.25 | 75 | |
| Dimension | Surgery | 1st Cycle | 3rd Cycle | 6th Cycle | |
|---|---|---|---|---|---|
| Emotional | Correlation coefficient | 0.149 | 0. 189 | 0.145 | 0.053 |
| Significance Level p | 0.2955 | 0.1841 | 0.3108 | 0.7126 | |
| General | Correlation coefficient | −0.044 | −0.049 | 0.133 | 0.144 |
| Significance Level p | 0.7584 | 0.7343 | 0.3512 | 0.3144 | |
| Mental | Correlation coefficient | 0.148 | 0.117 | 0.127 | 0.125 |
| Significance Level p | 0.3004 | 0.4127 | 0.3733 | 0.3812 | |
| Physical | Correlation coefficient | 0.006 | 0.001 | 0.08 | 0.04 |
| Significance Level p | 0.9653 | 0.9968 | 0.5784 | 0.7802 | |
| Total | Correlation coefficient | 0.043 | 0.118 | 0.121 | 0.077 |
| Significance Level p | 0.7646 | 0.4091 | 0.3986 | 0.5902 | |
| Vigor | Correlation coefficient | −0.022 | 0.136 | 0.003 | 0.181 |
| Significance Level p | 0.877 | 0.3412 | 0.983 | 0.2028 |
| Dimensions of Fatigue | Surgery | 1st Cycle | 3rd Cycle | 6th Cycle |
|---|---|---|---|---|
| TNF-γ | ||||
| General | R = 0.246; p = 0.368 | R = 0.323; p = 0.123 | R = 0.368; p = 0.068 | R = 0.411; p = 0.032 |
| Physical | R = 0.404; p = 0.031 | R = 0.378; p = 0.256 | R = 0.299; p = 0.114 | R = 0.322; p = 0.108 |
| Emotional | R = 0.328; p = 0.066 | R = 0.402; p = 0.215 | R = 0.371; p = 0.308 | R = 0.355; p = 0.067 |
| Mental | R = 0.428; p = 0.171 | R = 0.368; p = 0.152 | R = 0.399; p = 0.045 | R = 0.422; p = 0.026 |
| Vigor | R = 0.388; p = 0.040 | R = 0.404; p = 0.217 | R = 0.392; p = 0.321 | R = 0.402; p = 0.049 |
| IL-1 α | ||||
| General | R = 0.496; p = 0.037 | R = 0.421; p = 0.131 | R = 0.401; p = 0.107 | R = 0.392; p = 0.089 |
| Physical | R = 0.502; p = 0.146 | R = 0.562; p = 0.042 | R = 0.497; p = 0.101 | R = 0.484; p = 0.218 |
| Emotional | R = 0.423; p = 0.022 | R = 0.361; p = 0.224 | R = 0.369; p = 0.301 | R = 0.412; p = 0.013 |
| Mental | R = 0.395; p = 0.071 | R = 0.406; p = 0.342 | R = 0.413; p = 0.073 | R = 0.441; p = 0.058 |
| Vigor | R = 0.526; p = 0.030 | R = 0.542; p = 0.187 | R = 0.505; p = 0.217 | R = 0.498; p = 0.016 |
| IL-1β | ||||
| General | R = 0.391; p = 0.228 | R = 0.296; p = 0.223 | R = 0.232; p = 0.152 | R = 0.327; p = 0.204 |
| Physical | R = 0.414; p = 0.109 | R = 0.408; p = 0.135 | R = 0.393; p = 0.126 | R = 0.344; p = 0.015 |
| Emotional | R = 0.326; p = 0.041 | R = 0.412; p = 0.362 | R = 0.322; p = 0.114 | R = 0.361; p = 0.189 |
| Mental | R = 0.196; p = 0.213 | R = 0.152; p = 0.216 | R = 0.201; p = 0.178 | R = 0.162; p = 0.048 |
| Vigor | R = 0.298; p = 0.040 | R = 0.313; p = 0.034 | R = 0.274; p = 0.031 | R = 0.336; p = 0.128 |
| IL-2 | ||||
| General | R = 0.427; p = 0.046 | R = 0.458; p = 0.069 | R = 0.412; p = 0.072 | R = 0.442; p = 0.004 |
| Physical | R = 0.381; p = 0.008 | R = 0.513; p = 0.164 | R = 0.602; p = 0.027 | R = 0.621; p = 0.093 |
| Emotional | R = 0.248; p = 0.122 | R = 0.326; p = 0.061 | R = 0.367; p = 0.162 | R = 0.394; p = 0.009 |
| Mental | R = 0.301; p = 0.372 | R = 0.348; p = 0.723 | R = 0.391; p = 0.607 | R = 0.325; p = 0.055 |
| Vigor | R = 0.612; p = 0.022 | R = 0.517; p = 0.671 | R = 0.496; p = 0.185 | R = 0.522; p = 0.038 |
| IL-6 | ||||
| General | R = 0.501; p = 0.023 | R = 0.583; p = 0.047 | R = 0.528; p = 0.195 | R = 0.515; p = 0.026 |
| Physical | R = 0.499; p = 0.036 | R = 0.602; p = 0.082 | R = 0.537; p = 0.174 | R = 0.525; p = 0.027 |
| Emotional | R = 0.485; p = 0.624 | R = 0.422; p = 0.096 | R = 0.418; p = 0.059 | R = 0.464; p = 0.365 |
| Mental | R = 0.323; p = 0.711 | R = 0.458; p = 0.527 | R = 0.462; p = 0.129 | R = 0.529; p = 0.046 |
| Vigor | R = 0.459; p = 0.037 | R = 0.427; p = 0.288 | R = 0.399; p = 0.294 | R = 0.503; p = 0.041 |
| IL-4 | ||||
| General | R = 0.261; p = 0.227 | R = 0.211; p = 0.384 | R = 0.277; p = 0.402 | R = 0.232; p = 0.322 |
| Physical | R = 0.301; p = 0.288 | R = 0.341; p = 0.164 | R = 0.233; p = 0.032 | R = 0.269; p = 0.129 |
| Emotional | R = 0.224; p = 0.422 | R = 0.183; p = 0.075 | R = 0.411; p = 0.121 | R = 0.327; p = 0.262 |
| Mental | R = 0.266; p = 0.004 | R = 0.292; p = 0.415 | R = 0.261; p = 0.066 | R = 0.274; p = 0.133 |
| Vigor | R = 0.227; p = 0.373 | R = 0.295; p = 0.622 | R = 0.267; p = 0.381 | R = 0.219; p = 0.029 |
| IL-10 | ||||
| General | R = 0.555; p = 0.304 | R = 0.446; p = 0.312 | R = 0.501; p = 0.166 | R = 0.492; p = 0.021 |
| Physical | R = 0.660; p = 0.012 | R = 0.489; p = 0.277 | R = 0.515; p = 0.159 | R = 0.412; p = 0.229 |
| Emotional | R = 0.494; p = 0.604 | R = 0.361; p = 0.316 | R = 0.383; p = 0.426 | R = 0.418; p = 0.743 |
| Mental | R = 0.451; p = 0.231 | R = 0.488; p = 0.192 | R = 0.426; p = 0.026 | R = 0.399; p = 0.003 |
| Vigor | R = 0.723; p = 0.044 | R = 0.426; p = 0.175 | R = 0.394; p = 0.273 | R = 0.483; p = 0.011 |
| IFN-gamma | ||||
| General | R = 0.387; p = 0.102 | R = 0.317; p = 0.069 | R = 0.442; p = 0.022 | R = 0.513; p = 0.066 |
| Physical | R = 0.660; p = 0.006 | R = 0.551; p = 0.140 | R = 0.603; p = 0.184 | R = 0.482; p = 0.192 |
| Emotional | R = 0.262; p = 0.385 | R = 0.402; p = 0.190 | R = 0.447; p = 0.201 | R = 0.425; p = 0.046 |
| Mental | R = 0.388; p = 0.424 | R = 0.398; p = 0.384 | R = 0.444; p = 0.177 | R = 0.408; p = 0.132 |
| Vigor | R = 0.412; p = 0.248 | R = 0.621; p = 0.062 | R = 0.503; p = 0.296 | R = 0.526; p = 0.001 |
| Il 1α | Il 1β | Il2 | IL 6 | IL10 |
|---|---|---|---|---|
| R = 0.407 p = 0.021 | R = 0.298 p = 0.043 | R = 0.368 p = 0.049 | R = 0.461 p = 0.034 | R = 0.515 p = 0.002 |
Disclaimer/Publisher’s Note: The statements, opinions and data contained in all publications are solely those of the individual author(s) and contributor(s) and not of MDPI and/or the editor(s). MDPI and/or the editor(s) disclaim responsibility for any injury to people or property resulting from any ideas, methods, instructions or products referred to in the content. |
© 2023 by the authors. Licensee MDPI, Basel, Switzerland. This article is an open access article distributed under the terms and conditions of the Creative Commons Attribution (CC BY) license (https://creativecommons.org/licenses/by/4.0/).
Share and Cite
Kłysiak, M.; Wieder-Huszla, S.; Branecka-Woźniak, D.; Karakiewicz-Krawczyk, K.; Napieracz-Trzosek, I.; Owsianowska, J.; Jurczak, A.; Cymbaluk-Płoska, A. Analysis of the Occurrence of Predicative Factors of Chronic Fatigue in Female Patients with Cancer of the Reproductive Organs with Respect to Stage of Treatment. Int. J. Environ. Res. Public Health 2023, 20, 3732. https://doi.org/10.3390/ijerph20043732
Kłysiak M, Wieder-Huszla S, Branecka-Woźniak D, Karakiewicz-Krawczyk K, Napieracz-Trzosek I, Owsianowska J, Jurczak A, Cymbaluk-Płoska A. Analysis of the Occurrence of Predicative Factors of Chronic Fatigue in Female Patients with Cancer of the Reproductive Organs with Respect to Stage of Treatment. International Journal of Environmental Research and Public Health. 2023; 20(4):3732. https://doi.org/10.3390/ijerph20043732
Chicago/Turabian StyleKłysiak, Magdalena, Sylwia Wieder-Huszla, Dorota Branecka-Woźniak, Katarzyna Karakiewicz-Krawczyk, Izabela Napieracz-Trzosek, Joanna Owsianowska, Anna Jurczak, and Aneta Cymbaluk-Płoska. 2023. "Analysis of the Occurrence of Predicative Factors of Chronic Fatigue in Female Patients with Cancer of the Reproductive Organs with Respect to Stage of Treatment" International Journal of Environmental Research and Public Health 20, no. 4: 3732. https://doi.org/10.3390/ijerph20043732
APA StyleKłysiak, M., Wieder-Huszla, S., Branecka-Woźniak, D., Karakiewicz-Krawczyk, K., Napieracz-Trzosek, I., Owsianowska, J., Jurczak, A., & Cymbaluk-Płoska, A. (2023). Analysis of the Occurrence of Predicative Factors of Chronic Fatigue in Female Patients with Cancer of the Reproductive Organs with Respect to Stage of Treatment. International Journal of Environmental Research and Public Health, 20(4), 3732. https://doi.org/10.3390/ijerph20043732

