Determinants of COVID-19 Knowledge, Perception and Attitudes in Indonesia: A Cross-Sectional Survey
Abstract
:1. Introduction
2. Method
2.1. Study Location and Design
2.2. Parts and Structure of the Questionnaire
2.3. Data Analysis
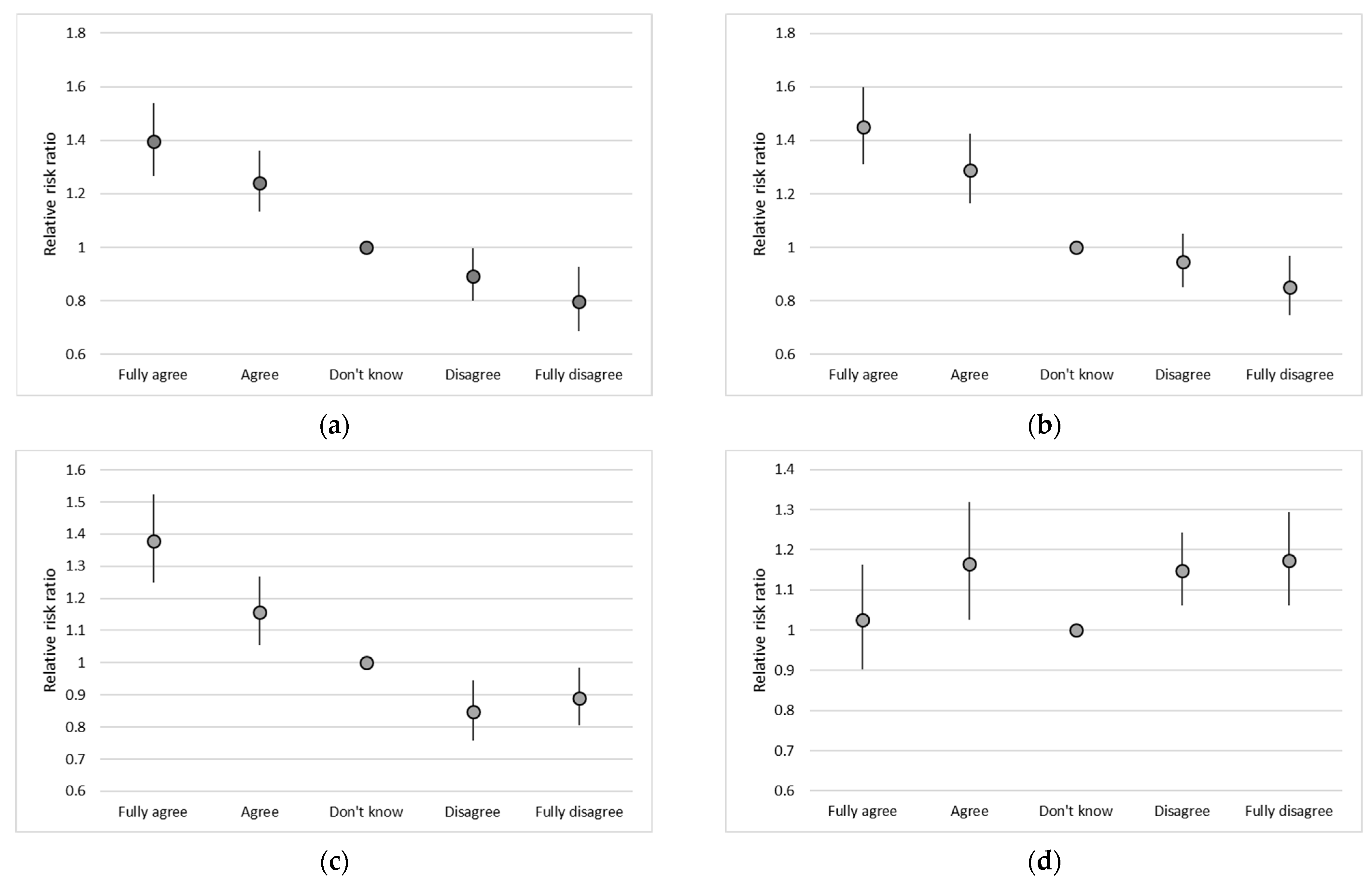
3. Results
3.1. Description of the Sample
3.2. Linear Regression on Personal Factors Influencing COVID-19 Knowledge
3.3. Multinomial Logistic Regression Examining Determinants of Attitudes
4. Discussion
5. Conclusions
Author Contributions
Funding
Institutional Review Board Statement
Informed Consent Statement
Data Availability Statement
Conflicts of Interest
Appendix A
| Question | Rating |
|---|---|
| Coronavirus disease (COVID-19) is an infectious disease | True |
| Transmission only occurs in China, overseas and big cities | False |
| Symptoms of the disease are similar to common cold/influenza | True |
| Everyone can be infected by the disease | True |
| Some of the characteristics are fever/heat, dry cough, shortness of breath and/or weakness | True |
| People who have been infected by the virus may be asymptomatic | True |
| Transmission of the virus from person to person | True |
| Everyone can be exposed to the virus in public places | True |
| Transmission of the virus can occur directly through invisible saliva splashes (droplets) from the nose/mouth of the sufferer | True |
| Transmission of the virus can also occur indirectly through touching objects/surfaces touched by the patient | True |
| The virus can enter the body without passing through the mucosa (in the mouth, nose and/or eyes) | False |
| Prevention of transmission can be through the use of masks every time you leave the house | True |
| Prevention of transmission does not need to be through keeping a distance of >1.5 m with people around (“distance is not important”) | False |
| Wash your hands only before touching your face | True |
| This disease is not transmitted through the air | False |
Appendix B
| Attitude |
|---|
| If I show general symptoms (fever, cough, shortness of breath and/or weakness), I am ready for a rapid antigen test |
| If the rapid test results are reactive for the antigen, I am willing to be tested via PCR |
| If the results of the PCR test are positive, I am willing to self-isolate at home or in a health facility |
| If I meet the requirements, I am willing to be vaccinated |
| The government-distributed COVID-19 vaccine at present is not effective at preventing illness |
Appendix C
| Household Condition | Score |
|---|---|
| Bedroom | |
| Separated status | 0 = no; 1 = yes |
| Cleanliness status | 0 = no; 1 = yes |
| Window | 0 = no; 1 = yes, but rarely opened; 2 = yes, always opened |
| Ventilation | 0 = no; 1 = yes, but area <10% of floor wide; 2 = yes, area ≥10% of floor wide |
| Natural lighting | 0 = not enough/there is no sunlight; 1= enough/there is sunlight |
| Kitchen | |
| Separated status | 0 = no; 1 = yes |
| Cleanliness status | 0 = no; 1 = yes |
| Window | 0 = no; 1 = yes, but rarely opened; 2 = yes, always opened |
| Ventilation | 0 = no; 1 = yes, but area <10% of floor wide; 2 = yes, area ≥10% of floor wide |
| Natural lighting | 0 = not enough/there is no sunlight; 1 = enough/there is sunlight |
| Family room | |
| Separated status | 0 = no; 1 = yes |
| Cleanliness status | 0 = no; 1 = yes |
| Window | 0 = no; 1 = yes, but rarely opened; 2 = yes, always opened |
| Ventilation | 0 = no; 1 = yes, but area <10% of floor wide; 2 = yes, area ≥10% of floor wide |
| Natural lighting | 0 = not enough/there is no sunlight; 1 = enough/there is sunlight |
| Toilet | |
| Use of toilet | 0 = no; 1 = yes, shared publicly; 2 = yes, shared with neighbors; 3 = yes, private |
| If yes, type of toilet | 0 = hole without floor; 1 = hole with floor; 2 = directly over running water; 3 = goose neck |
| Final feces disposal | 0 = other; 1 = earth hole; 2 = river/lake/sea; 3 = field; 4 = waste-water disposal facility; 5 = septic tank |
| Drinking water source | 0 = river/lake/irrigation water; 1 = rainwater; 2 = unprotected water spring; 3 = protected water spring; 4 = unprotected dug well; 5 = protected dug well; 6 = drilling/pump well; 7 = tap water retail/buy; 8 = tap water (state corporation); 9 = unbranded/refill water; 10 = branded/bottled water |
| Assets | Score |
| Car | 32 |
| Motorcycle | 16 |
| Air conditioning | 16 |
| Water heater | 16 |
| Bicycle | 8 |
| Gas cylinder ≥12 kg | 8 |
| Refrigerator | 2 |
| Cable TV/TV | 2 |
References
- Tambunan, T.T.H. COVID-19 Pandemic and Severity of Economic Impacts: The Indonesian Case. Glob. Econ. Sci. 2021, 2, 1–15. [Google Scholar] [CrossRef]
- Kusumaningrum, S.; Siagian, C.; Beazley, H. Children during the COVID-19 pandemic: Children and young people’s vulnerability and wellbeing in Indonesia. Child. Geogr. 2022, 20, 437–447. [Google Scholar] [CrossRef]
- Asyary, A.; Veruswati, M. Sunlight exposure increased COVID-19 recovery rates: A study in the central pandemic area of Indonesia. Sci. Total Environ. 2020, 729, 139016. [Google Scholar] [CrossRef] [PubMed]
- Ismaila, M.S.; Bande, F.; Ishaka, A.; Sani, A.A.; Georges, K. Therapeutic options for COVID-19: A quick review. J. Chemother. 2021, 33, 67–84. [Google Scholar] [CrossRef]
- Chu, D.K.; Akl, E.A.; Duda, S.; Solo, K.; Yaacoub, S.; Schünemann, H.J.; El-Harakeh, A.; Bognanni, A.; Lotfi, T.; Loeb, M.; et al. Physical distancing, face masks, and eye protection to prevent person-to-person transmission of SARS-CoV-2 and COVID-19: A systematic review and meta-analysis. Lancet 2020, 395, 1973–1987. [Google Scholar] [CrossRef]
- World Health Organization (WHO). Coronavirus Disease (COVID-19): Adolescents and Youth. 2020. Available online: https://www.who.int/news-room/questions-and-answers/item/coronavirus-disease-covid-19-adolescents-and-youth (accessed on 20 December 2022).
- Sinaga, Y. Analisis Penilaian Rumah Sehat Dan Riwayat Penyakit Berbasis Lingkungan Pada Balita Di Desa Sihonongan Kecamatan Paranginan Kabupaten Humbang Hasundutan. Ph.D. Thesis, Universitas Sumatera Utara, Medan, Indonesia, 2016. [Google Scholar]
- Indonesian Ministry of Health. Riskesdas 2013 Questionnaire. Available online: https://labmandat.litbang.kemkes.go.id/images/download/kuesioner/RKD/2013/kues_kesmas_rkd13.zip (accessed on 20 December 2022).
- STATA Vers. 17.0; Stata Corp.: College Station, TX, USA, 2021.
- World Health Organization (WHO). Interim Recommendations for Use of the Inactivated COVID-19 Vaccine, CoronaVac, Developed by Sinovac. Interim Guidance. Available online: https://apps.who.int/iris/bitstream/handle/10665/352472/WHO-2019-nCoV-vaccines-SAGE-recommendation-Sinovac-CoronaVac-2022.1-eng.pdf (accessed on 20 December 2022).
- Zurac, S.; Nichita, L.; Mateescu, B.; Mogodici, C.; Bastian, A.; Popp, C.; Cioplea, M.; Socoliuc, C.; Constantin, C.; Neagu, M. COVID-19 vaccination and IgG and IgA antibody dynamics in healthcare workers. Mol. Med. Rep. 2021, 24, 578. [Google Scholar] [CrossRef]
- Wisnewski, A.V.; Campillo Luna, J.; Redlich, C.A. Human IgG and IgA responses to COVID-19 mRNA vaccines. PLoS ONE 2021, 16, e0249499. [Google Scholar] [CrossRef]
- Sheikh-Mohamed, S.; Isho, B.; Chao, G.Y.C.; Zuo, M.; Cohen, C.; Lustig, Y.; Nahass, G.R.; Salomon-Shulman, R.E.; Blacker, G.; Fazel-Zarandi, M.; et al. Systemic and mucosal IgA responses are variably induced in response to SARS-CoV-2 mRNA vaccination and are associated with protection against subsequent infection. Mucosal Immunol. 2022, 15, 799–808. [Google Scholar] [CrossRef]
- Supriyati, S.; Angraeny, D.K.; Carissa, T.M.; Sheila, A.P.; Qisthi, S.A.; Rianti, M.; Roshan, T. Preparing new normal: The health literacy assessment on the COVID-19. Ber. Kedokt. Masy. 2021, 37, 27–32. [Google Scholar] [CrossRef]
- Liu, C.; Wang, D.; Liu, C.; Jiang, J.; Wang, X.; Chen, H.; Ju, X.; Zhang, X. What is the meaning of health literacy? A systematic review and qualitative synthesis. Fam. Med. Community Health 2020, 8, e000351. [Google Scholar] [CrossRef]
- Lee, H.Y.; Zhou, A.Q.; Lee, R.M.; Dillon, A.L. Parents’ functional health literacy is associated with children’s health outcomes: Implications for health practice, policy, and research. Child. Youth Serv. Rev. 2020, 110, 104801. [Google Scholar] [CrossRef]
- Downer, T.; McMurray, A.; Young, J. The role of antenatal education in promoting maternal and family health literacy. Int. J. Childbirth 2020, 10, 52–64. [Google Scholar] [CrossRef]
- Triana, A.J.; Gusdorf, R.E.; Shah, K.P.; Horst, S.N. Technology literacy as a barrier to telehealth during COVID-19. Telemed. e-Health 2020, 26, 1118–1119. [Google Scholar] [CrossRef] [PubMed]
- Montagni, I.; Ouazzani-Touhami, K.; Mebarki, A.; Texier, N.; Schück, S.; Tzourio, C. Acceptance of a COVID-19 vaccine is associated with ability to detect fake news and health literacy. J. Public Health 2021, 43, 695–702. [Google Scholar] [CrossRef]
- Bak, C.K.; Krammer, J.Ø.; Dadaczynski, K.; Orkan, O.; von Seelen, J.; Prinds, C.; Søbjerg, L.M.; Klakk, H. Digital health literacy and information-seeking behavior among university college students during the COVID-19 pandemic: A cross-sectional study from Denmark. Int. J. Environ. Res. Public Health 2022, 19, 3676. [Google Scholar] [CrossRef]
- Sujarwoto, S.; Tampubolon, G. Spatial inequality and the Internet divide in Indonesia 2010–2012. Telecommun. Policy 2016, 40, 602–616. [Google Scholar] [CrossRef]
- Patil, U.; Kostareva, U.; Hadley, M.; Manganello, J.A.; Okan, O.; Dadaczynski, K.; Massey, P.M.; Agner, J.; Sentell, T. Health literacy, digital health literacy, and COVID-19 pandemic attitudes and behaviors in US college students: Implications for interventions. Int. J. Environ. Res. Public Health 2021, 18, 3301. [Google Scholar] [CrossRef]
- Hashim, S.; Masek, A.; Abdullah, N.S.; Paimin, A.N.; Muda, W.H.N.W. Students’ intention to share information via social media: A case study of COVID-19 pandemic. Indones. J. Sci. Technol. 2020, 5, 236–245. [Google Scholar] [CrossRef]
- Mukminin, A.; Muhaimin, M.; Diat Prasojo, L.; Khaeruddin, K.; Habibi, A.; Marzulina, L.; Harto, K. Analyzing social media use in Tefl via the technology acceptance model in Indonesian higher education during the COVID-19 pandemic. J. Teach. Learn. Technol. 2022, 22, 3–22. [Google Scholar]
- Roziqin, A.; Mas’udi, S.Y.F.; Sihidi, I.T. An analysis of Indonesian government policies against COVID-19. Public Adm. Policy 2021, 24, 92–107. [Google Scholar] [CrossRef]
- Nazmi, N.; Rudolfo, G.; Restila, R.; Emytri, E. Faktor-Faktor Yang Mempengaruhi Literasi Kesehatan Di Fasilitas Pelayanan Kesehatan: Systematic Review. Pros. SNaPP Kesehat. (Kedokt. Kebidanan Keperawatan Farm. Psikol.) 2015, 1, 303–310. [Google Scholar]
- Zhan, Y. Developing and validating a student feedback literacy scale. Assess. Eval. High. Educ. 2022, 47, 1087–1100. [Google Scholar] [CrossRef]

| Variable | All (n = 462) | Male (n = 111) | Female (n = 351) | |||
|---|---|---|---|---|---|---|
| Mean | Std. Dev. | Mean | Std. Dev. | Mean | Std. Dev. | |
| Age (years) | 26.04 | +/−8.76 | 26.66 | +/−8.61 | 25.85 | +/−12.04 |
| Socio-economic indicators | ||||||
| Housing condition score | 78.92 | +/−8.49 | 80.07 | +/−8.03 | 78.55 | +/−8.61 |
| Household assets | 22.72 | +/−9.76 | 21.35 | +/−10.14 | 23.15 | +/−9.62 |
| Housing density (m2/person) | 43.81 | +/−239.43 | 37.94 | +/−91.8 | 45.67 | +/−269.9 |
| Number of diseases | 0.55 | +/−0.72 | 0.49 | +/−0.71 | 0.56 | +/−0.72 |
| Knowledge (0–15) | 10.58 | +/−3.27 | 9.65 | +/−3.92 | 10.87 | +/−2.98 |
| Attitude towards AG test (1–5) * | 1.87 | +/−1.04 | 2.14 | +/−1.28 | 1.78 | +/−0.95 |
| Attitude towards PCR test (1–5) * | 1.86 | +/−1.10 | 2.02 | +/−1.23 | 1.81 | +/−1.05 |
| Attitudes reg. self-isolation (1–5) * | 1.66 | +/−1.02 | 1.89 | +/−1.22 | 1.59 | +/−0.94 |
| Attitudes reg. vaccination (1–5) * | 2 | +/−1.20 | 2.13 | +/−1.37 | 1.96 | +/−1.14 |
| Vaccine mistrust efficiency (1–5) * | 3.40 | +/−1.01 | 3.26 | +/−1.13 | 3.44 | +/−0.97 |
| Education status | Number | Percent | Number | Percent | Number | Percent |
| Elementary school | 18 | 3.90 | 5 | 4.50 | 13 | 3.70 |
| Junior high school | 6 | 1.30 | 3 | 2.70 | 3 | 0.85 |
| Senior high school | 225 | 48.70 | 49 | 44.14 | 176 | 50.14 |
| College | 213 | 46.10 | 54 | 48.65 | 159 | 45.30 |
| Employment status | ||||||
| Student | 228 | 49.35 | 48 | 43.24 | 180, 51.28 | |
| Employed | 188 | 40.69 | 58 | 52.25 | 130, 37.04 | |
| Unemployed | 46 | 9.96 | 5 | 4.5 | 41 | 11.68 |
| Administrative status | ||||||
| Rural | 108 | 23.43 | 32 | 29.09 | 76 | 21.65 |
| Urban | 353, | 76.57 | 78 | 70.91 | 275 | 78.35 |
| Geographical status | ||||||
| Peripheral | 39 | 8.46 | 16 | 4.65 | 23 | 19.66 |
| Central | 422 | 91.54 | 328 | 95.35 | 94 | 80.66 |
| Smoker | ||||||
| Yes | 45 | 9.74 | 26 | 23.42 | 19 | 5.41 |
| No | 417 | 90.26 | 85 | 76.58 | 332 | 94.59 |
| Variable | Univariate Regression | Multiple Regression | ||
|---|---|---|---|---|
| Coefficient | 95% CI | Coefficient | 95% CI | |
| Gender | ||||
| Man | −1.22 * | −1.91; −0.53 | −1.26 | −1.94; −0.57 |
| Age | −0.02 | −0.06; 0.01 | ||
| Education status | ||||
| Junior high school | 2.89 | −0.29; 6.06 | ||
| Senior high school | 0.77 | −0.89; 2.41 | ||
| College | 1.79 | −0.06; 3.64 | ||
| Employment status | ||||
| Employed | −0.24 | −0.87; 0.40 | ||
| Unemployed | −0.63 | −1.67; 0.41 | ||
| Housing condition score | 0.04 * | 0.003; 0.073 | 0.046 | 0.011; 0.08 |
| Household assets | 0.027 | −0.004; 0.058 | - | - |
| Housing density (m2/person) | 0.0008 | −0.0005; 0.002 | - | - |
| Administrative status | ||||
| Urban | −0.02 | −0.73; 0.69 | - | - |
| Geographical status | ||||
| Central | 1.19 * | 0.12; 2.26 | - | - |
| Number of diseases | 0.48 * | 0.068; 0.9 | 0.49 | 0.079; 0.90 |
| Smoker | −0.15 | −1.16; 0.86 | - | - |
Disclaimer/Publisher’s Note: The statements, opinions and data contained in all publications are solely those of the individual author(s) and contributor(s) and not of MDPI and/or the editor(s). MDPI and/or the editor(s) disclaim responsibility for any injury to people or property resulting from any ideas, methods, instructions or products referred to in the content. |
© 2023 by the authors. Licensee MDPI, Basel, Switzerland. This article is an open access article distributed under the terms and conditions of the Creative Commons Attribution (CC BY) license (https://creativecommons.org/licenses/by/4.0/).
Share and Cite
Asyary, A.; Veruswati, M.; Alnur, R.D.; Saktiansyah, L.O.A.; Sagala, L.O.H.S.; Saptaputra, S.K.; Oktavia, E.; Herawati, M.H.; Wulandari, R.A.; Moshammer, H. Determinants of COVID-19 Knowledge, Perception and Attitudes in Indonesia: A Cross-Sectional Survey. Int. J. Environ. Res. Public Health 2023, 20, 3713. https://doi.org/10.3390/ijerph20043713
Asyary A, Veruswati M, Alnur RD, Saktiansyah LOA, Sagala LOHS, Saptaputra SK, Oktavia E, Herawati MH, Wulandari RA, Moshammer H. Determinants of COVID-19 Knowledge, Perception and Attitudes in Indonesia: A Cross-Sectional Survey. International Journal of Environmental Research and Public Health. 2023; 20(4):3713. https://doi.org/10.3390/ijerph20043713
Chicago/Turabian StyleAsyary, Al, Meita Veruswati, Rony Darmawansyah Alnur, La Ode Ahmad Saktiansyah, La Ode Hasnuddin S. Sagala, Syawal Kamiluddin Saptaputra, Eka Oktavia, Maria Holly Herawati, Ririn Arminsih Wulandari, and Hanns Moshammer. 2023. "Determinants of COVID-19 Knowledge, Perception and Attitudes in Indonesia: A Cross-Sectional Survey" International Journal of Environmental Research and Public Health 20, no. 4: 3713. https://doi.org/10.3390/ijerph20043713
APA StyleAsyary, A., Veruswati, M., Alnur, R. D., Saktiansyah, L. O. A., Sagala, L. O. H. S., Saptaputra, S. K., Oktavia, E., Herawati, M. H., Wulandari, R. A., & Moshammer, H. (2023). Determinants of COVID-19 Knowledge, Perception and Attitudes in Indonesia: A Cross-Sectional Survey. International Journal of Environmental Research and Public Health, 20(4), 3713. https://doi.org/10.3390/ijerph20043713

