Indigenous Land-Based Approaches to Well-Being: The Niska (Goose) Harvesting Program in Subarctic Ontario, Canada
Abstract
1. Introduction
2. Methods
2.1. Study Area
2.2. Study Design and Participants
Goose Harvesting (Spring and Summer)
2.3. Data Collection and Analysis
2.3.1. Salivary Cortisol
2.3.2. Photovoice and Semi-Directed Interviews
3. Results
3.1. Salivary Cortisol
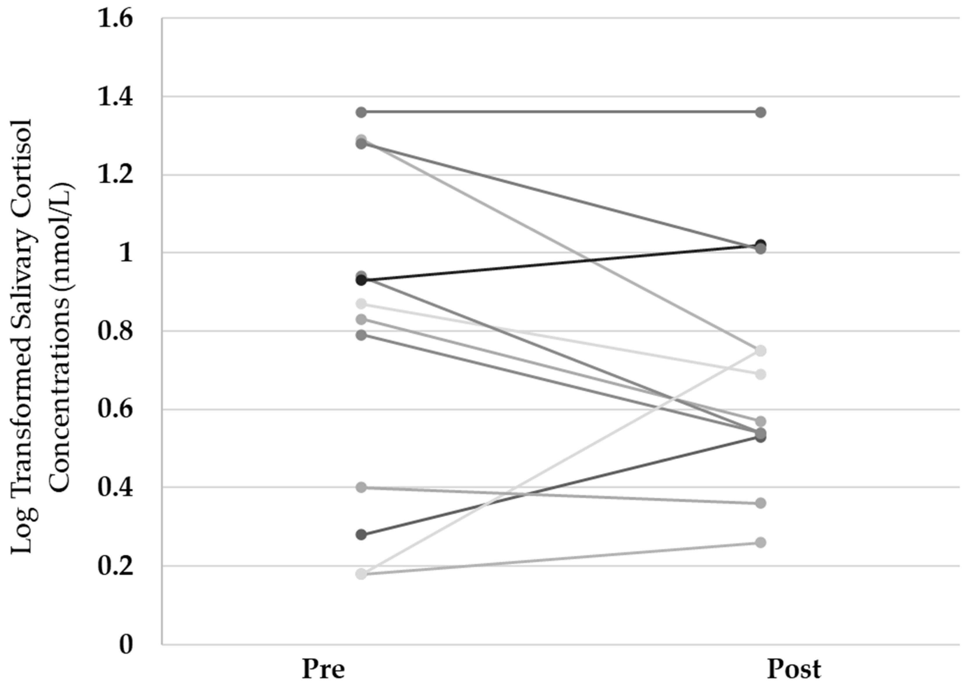
3.1.1. Goose Spring Harvest
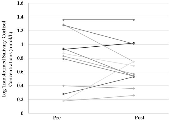
3.1.2. Goose Summer Harvest
3.2. Semi-Directed Interviews and Photovoice
3.2.1. Goose Harvesting Spring
“I would like to see this continue going… [the] program, you got to do to help the youth out… It’s always going to be good thing if you help somebody not to get hungry… That’s the most important thing… I lived through it, and it got me in trouble… I just moved on, I kept going and I just push myself”.(Participant 20, Elder)
Knowledge
“There’s (name omitted) (Figure 2), he’s a residential school survivor. You learn a lot of things from that guy”.(Participant 16, Youth)
“Where I lack knowledge, I can learn more from an older person”.(Participant 33, Expert)
“Run traditional ceremonies, the whole point is to become a teacher and to maybe one day teach about healing… Maybe one day someone is struggling with drugs or alcohol” .(Participant 16, Youth)
“Living off the land it’s a good thing for everybody cause everything is free out there you don’t have to buy nothing. It’s just up to you to do it… You have to encourage the youth to do that… but they need us at the same time… We need to have them follow us… I don’t know what’s going to happen… Once the government stops feeding us, then who’s going to feed you now? That’s the danger, cause right now we don’t have gardens… Nothing to sustain us for food… if something really happens, we’ll starve” .(Participant 20, Elder)
“You need to teach the young people when you take them out on the land. Sometimes you ask them, it’s so boring they say, but if you start teaching them how to listen… Being there in May, it’s the best time to take the kids out, and all these things are starting to come out… When you come back in June and these things are growing, this will be a medicine… You have to be able to recognize it when it grows… what it looks like when it’s full grown… also recognize it when after it’s done its job… You should be able to say that was the medicine that that I took home and used” .(Participant 3, Elder)
“It’s not like the old days… you can’t really take out the young people anymore because of language barrier… The Elders are passing away. They’re the only ones that speak Cree mostly like 24/7… That’s the first part of the culture cause without language you can’t talk to your Elders, right?” .(Participant 36, Elder, English Translation from Cree)
“I like this thing that’s going on, taking out young people… My dad talks to them and sometimes they understand, but they can’t speak… I’m like a middle person to translate, so it works out perfect” .(Participant 13, Expert)
“Well-being is like practicing your knowledge… then passing it down to someone else. It’s the way you teach somebody… He’s just looking at you… he’ll be able to figure it out… doing things by example eh? If I shoot a caribou and I start gutting it out and if it has a young caribou, then the first thing I do is… remove the young caribou… I take it out and I put it to the side and then I make a peace offering… I don’t say it, I just do that… Later on, I’ll talk about it right… at our tent, I’ll sit around, and I’ll say that I made a peace offering because I took a caribou and released the other spirit… Ever since I can remember our Elders did it… it’s always been done since time memorial, we don’t really know how it began but we still do it today” .(Participant 3, Elder)
Identity
“He did that all his life, trapping and hunting and it was good for his health, and he wouldn’t get sick cause he was always out in the wild, fresh air… He didn’t sit around or anything like that he was pretty active” .(Participant 36, Elder, English Translation from Cree)
“I got it from my old man… Taught me traditional way how to hunt… I was right out there. That’s how I learned… that’s how I mostly survived on, was wild meat, sometimes well store” .(Participant 17, Expert)
“I need hunting to have a good life, to go with our traditional ways… It’s important cause that’s how we lived our life” .(Participant 23, Youth)
3.2.2. Cultural Continuity
“For me… it would be to not get too much involved with… drugs, alcohol, bootlegging… it’s not well-being… Well-being would be go hunting and do your culture stuff… Teach kids how it’s done… Very important in their life if they don’t have that confidence then they’ll seem out of place or they’ll go in the wrong direction” .(Participant 20, Elder)
“Nobody does this anymore… That’s what they did all the time to survive. Go out on the river somewhere and live… That’s what I do for a living eh? Hunt” .(Participant 12, Expert)
“When you have opportunities like this, take it… It’s a good experience, you’ll have fun out there with yourself and maybe with other people, like friends or especially with, family… Being out there you could have good memories” .(Participant 16, Youth)
“There is always opportunities… This program is an opportunity… sometimes you create your own… You wanna help young kids so you teach them something, a life skill for example… Learn it and teach other people and they’re going to continue” .(Participant 3, Elder)
“These young generations. They are not really how I grew up. I was hooked on… hunting, fishing… since my childhood… People are starting to lose interest… We’re in a new century… Everything’s all easy for them. Everything’s all technology now” .(Participant 17, Expert)
“That guy there, he had this there that he can connect online out there… You know sometimes you got to leave your things behind… You’re somewhere else when you do that… you’re not aware of all the surroundings… You’re too busy spending time on them [devices] and you’re not recognizing your medicines” .(Participant 3, Elder)
“When we stopped my dad told me to tell him to put that thing away… his phone… He told me to tell him look around” .(Participant 36, Elder, English Translation from Cree)
Healing
“I’m brand new again, I’m revived… it clears your mind” .(Participant 23, Youth)
“It’s just so calm out there it’s just like an invisible medicine… It’s very healthy for the mind” .(Participant 33, Expert)
“I feel free when I’m out there, but here I kinda feel trapped” .(Participant 6, Youth)
“He’s sitting here the whole time, he’ll get sick… He’d go in the bush and in two days he’d get better… To be healthy, it’s just to go out there” .(Participant 36, Elder, English Translation from Cree)
“Healthwise, to stay active… walking and working, keeping your mind busy” .(Participant 13, Expert)
“What happened in the past it’s still going on today. What happened in residential schools… I don’t know what they were thinking. Trying to get the Indian out of us… We should have more events, more of this kind of thing [the program]” .(Participant 20, Elder)
“They’re (Elders) slowly passing away and not everybody knows the land and the rivers… For the young people you can’t really teach them anymore because of the drugs and alcohol… It clouds their mind” .(Participant 36, Elder, English Translation from Cree)
“Drugs and alcohol when they came, they started messing up our traditional ways” .(Participant 23, Youth)
“We can’t really go out together anymore because of… break and enters… too many drugs and alcohol in the community and one has to look after the fort” .(Participant 13, Expert)
“I don’t plan on going back there to my old life because I struggled a lot with drugs… doing speed made me feel depressed… I actually had three overdoses… Right now I’m on my healing journey… I haven’t done any drugs for over two months now… I didn’t even smoke cigarettes too, so I’ve been cold turkey for two and a half months”(Participant 16, Youth)
Land
“I like it out there, there’s peace and quiet. You’re out there with nature. It’s great being out there… I prefer the land but everything’s kind of here you know” .(Participant 17, Expert)
“That would be one of the best opportunities you could get. Getting wild meat or fish… I went on the boat on the weekend, I came home, and I slept all night… There’s a lot of fresh air out there, and there’s less stress… Your mind is clear… There’s a calmness there… I notice my blood pressure, is kinda high when I’m around here“ .(Participant 33, Expert)
“We can get out of society for a bit and feel better… if you go out for a night or so, you already feel better… I enjoyed it cause I love hunting geese” .(Participant 23, Youth)
3.2.3. Food and Other Resources
“Just look at my stomach man, that’s how I look at it… eating properly, not having an empty stomach… It’s kind of important in my culture. I gotta look at my family… make sure they don’t starve and keep doing that for the whole year” .(Participant 6, Youth)
“It’s good to eat wild meat… Not like from the store, lots of chemicals in there. They can hurt you… Give you diabetes… In the bush it’s free, good water, fresh air” .(Participant 12, Expert)
“You can tell by… the way people want food, and a lot of people at times here are mostly hungry… I can see people getting hungry all before the end of the month maybe before welfare comes. So, to have this kind of thing happening there (the program)… not just geese but caribou hunting, it would be good, fishing and moose hunting” .(Participant 20, Elder)
“There’s a lot of lack of outdoors… like parents taking their kids out camping… to learn their culture, or just to go experience… our traditional ways of life… People are relying on the stores… Nowadays the young generations are more reliant on buying stuff… I want them to know their culture” .(Participant 17, Expert)
“You’re going to harvest animals for your health… If you assist somebody, or if you harvest food and share it with other people (Figure 5) … you’re raising their well-being. They’re happy that you’ve given them something that you harvested… Most Elders will understand that it’s a lot of work when you hunt eh… So, for you to get them and you to share, they show a lot of respect, and they’ll say thank you very much” .(Participant 3, Elder)
“There’s always gonna be barriers… because of the way things are up here… There’s a lot of people who can’t get canoes… Cause there’s a lot of people that don’t work… not much work up here… Most of the people here are on social assistance” .(Participant 33, Expert)
“They don’t really have boats… or people to take them out there” .(Participant 14, Youth)
“They don’t have what they need… a lot of them they wanna go, but then they don’t have anything to use to go. It would be good if it was, the way we were… if they did that with the younger ones, and set them up” .(Participant 20, Elder)
“I was wishing, to make a camp… up the river along the traplines there, or up the trail… We know them by heart… I almost thought of having a bingo one time just to buy skidoos… and toboggans for the kids. I was gonna do that to have fundraising… I’m starting a little bit now with (name omitted). He’s looking after taking the kids out” .(Participant 20, Elder)
4. Discussion
4.1. Health and Well-Being
4.2. Food Security and Environmental Conservation
4.3. Transferability
4.4. Limitations
5. Conclusions
Author Contributions
Funding
Institutional Review Board Statement
Informed Consent Statement
Data Availability Statement
Acknowledgments
Conflicts of Interest
Appendix A
- Q1. What is well-being?
- Q2. What is important for your well-being?
- Q3. Can well-being be measured?
- Q4. Are there barriers to well-being?
- Q5. Are there opportunities to achieving well-being?
- Q6. Does being on the land contribute to well-being?




| Theme | Representative Quotes | |
|---|---|---|
| Knowledge | “I’m doing my best, I’m still out there… That's all I can do… Nobody really communicates now… Nobody wants to pass on anything” (Participant 30, Expert) “It would be good for everybody… these young guys… It's hard to get them off their… cellphones, or their iPods. I didn't see that a long time ago… you'd see them running on the bank, outside… Kids leaving on the canoes with their families on the weekend, go back Friday come back Sunday night. Back to school Monday morning. You don't see that anymore” (Participant 33, Expert) “I try to stay off you know like digital things… I just try to keep my mind sharp” (Participant 13, Expert) “He wants to show them… through action not talking… it's better to do it, because when you do something, you'll remember” (Participant 36, Elder, English Translation from Cree) “There’s a lot of youth in the community that aren't in school, and they don't know what to do with themselves… They need to utilize programs like this one…We take the youth out with us… You teach them a skill, they'll use that skill… They'll start to build their self-esteem… Most youth have poor self-esteem, they don't think of themselves as important and that's what you have to try to address with the young people today” (Participant 3, Elder) | |
| Identity | “It makes you feel good… That's what my father did in the past and my grandfather… We been doing this since long time ago” (Participant 4, Youth) “I want to see young people learn the songs from our people from long ago. I want to hear them play the drum, dance… It's important to know who they are. I think that's how we can bring about change especially because there's so many things that they face… like drugs and alcohol… When I grew up it wasn't like that, I didn't really face those things. But I faced a different threat which was staying in residential school. We faced a lot of abuse and so that's why some people are, I guess we can say wounded people… When I first came out residential school, the things I remembered I thought they were just a dream. I didn't know they were real… Until I started hearing stories and I’m thinking, that sounds like the same thing I witnessed, or I remember… I forgot about it for so long, and one day it just came out slowly” (Participant 3, Elder) | |
| Cultural Continuity | “As long as you don't lose your grass roots, as long as you know who you are, you can still be that person but still keep your traditions… The way to do that is to orally pass them. You can't write them or record them. It's not gonna work… It's better to hear from your grandfather, or your dad, your uncle, and then you pass it on like that to the next generation and it just keeps going” (Participant 3, Elder) “It's following the culture… Not a lot of people go do that nowadays because of the technology… they don't really wanna follow the culture” (Participant 4, Youth) “By healing yourself through this program, and having more praying too, like smudging, get that involved in there… That's just the way of our religion, our identity… Just the way our lives are… I agreed to get this program up and get it going, it helps a lot” (Participant 20, Elder) | |
| Healing | “Need more traditional food than processed… I don't think it's healthy to just be in the village like in the community, nobodies healthy anymore… Out in the bush, nature” (Participant 30, Expert) “To be happy… To go out into the land… There's more stress when you're coming back in the community” (Participant 33, Expert) “Well-being is to stay active, eat healthy, plenty of rest and try not to get sick… Being out there is healthy… I like hunting and walking… You know a lot of walking, less eating, less smoking. I think it did me good being out here… Not only for my body, but for my mind also” (Participant 13, Expert) “To be in good health… It's good for you if you go out in the bay and just feel the life in there… Drinking clean water, fresh air… I feel better over there” (Participant 12, Expert) “Stay focused like don't do stupid things like get drunk or do drugs or even stealing or stuff, like that's not well-being… You can heal yourself from all this… When you go out into the bay, or go out into the bush, it's a healing thing for a lot of us… That's what we basically need… we already have enough food and harvested for the whole year… It's a good thing that this helps out the community because I know a lot of people who get hungry before welfare… It's almost like my life… I didn't have no father, so it's pretty hard but I just got lucky, and I’ve been the bush out trapping, hunting… 35 years I’ve been clean now and no problems nothing, it helps me a lot” (Participant 20, Elder) “The only thing that slowed him down is that he got sick… he caught from here in the community, not from out there… if you stay in the community, you'll get sick, but if you go out there you'll be healthy” (Participant 36, Elder, English Translation from Cree) “There’re some people, their legs are amputated… They can't get out to the land because their sickness… If you can get help, some people help them to get out to the land… My friend (name omitted) he's not going out now… He lost his leg… But he still likes to go” (Participant 33, Expert) “It's also the environment you put yourself in… for people with diabetes, right? If they go in, let's say one of these stores here. There's nothing there eh? All you see is these chips, chocolate bars and everything else right? So, you're diabetic and you walk into an environment like that what are you gonna do? You're gonna buy something. Even though you know it's gonna bring your sugar up… What if the person knew what to use… So these [leaves] are one of the things that they can use… you can pick them off the ground, and you can boil them in water eh… you drink it and then it'll help you with your sugar level, it'll bring down your sugar” (Participant 3, Elder) “I think well-being is like having your life balanced, but there's always the negative stuff and the positive things. So, your life should be positive and sometimes we sort of, there are days where you tip the scale either way. But at the end of the day, it should always be balanced… In yourself both in your mind and all four parts of your aspects… I find it's easy to go out on the land to reach out and recharge eh.” (Participant 3, Elder) | |
| Land | “I didn't feel any stress out there… feels better being out there… It's quiet… Just hearing all those geese, music to my ears “ (Participant 19, Youth) “There are times when I can't go out… going out in the bay… The wind is a factor… For the river… you can still go out when it's shallow, but you got to know your channels” (Participant 13, Expert) “Well-being… going out in nature I guess and just enjoying like that… It's pretty peaceful… It just makes you feel good when you're out there” (Participant 4, Youth) “I feel better over there… No noise, you just hear wildlife… Not like over here, it smells bad here, eh? Smells gas, plane, you smell that diesel though” (Participant 12, Expert) “Freedom… no stress… it's peaceful out there… I feel great out there. When I come back home, I feel heavy… I love it out there… keeps my mind busy, keeps you active. Instead of errands, running around, sit in the house, watching TV, Facebook, technology… That's why I go out of town, just to be out there with the nature… Mostly like every day, I try” (Participant 30, Expert) | |
| Food and other resources | “Well-being is going out on the land… going out to the bay… I didn't do it as much when I was a kid… If I had the chance…I would probably be out there most of the time, makes me happy” (Participant 33, Expert) “They're losing their tradition… us Natives we go out and get the natural food… Instead of store-bought food like processed food. It's not healthy eating… I’m just hoping that their people should go out like more, teach their young kids… I taught my boys how to… I don't really want to eat that processed food… I know it creates like sickness or diabetes… I just want to encourage everybody to go out and go back to nature and like go back to the land” (Participant 30, Expert) “They don't have any boat to go out, or snowmobiles just to go out in nature… They have no skills, like hunting skills… I hunt all seasons, and nobody seems to follow my steps… Just to join or just to be there you know. They don't wanna do it… I don't know what's stopping them. They feel like maybe ashamed, like they have no skills, like they don't know how to hunt. But I can teach you know? They can observe and learn things… That would be nice” (Participant 30, Expert) “The other barriers is that, some people don't have… the access to take their kids out to the land… We need people to go out hunting and we take the young ones and teach them how to hunt and at the same time we show them things” (Participant 3, Elder) “They don't got no job… They don't they know how to hunt eh? It would be good to hunt. To survive their own selves” (Participant 12, Expert) “Whenever you get out there… it's good to have wild food… The store-bought food like canned foods not good. It's only good for a while but these could sustain most of the day, the wild meat and fish” (Participant 36, Elder, English Translation from Cree) |
References
- Fuentes, L.; Asselin, H.; Bélisle, A.C.; Labra, O. Impacts of Environmental Changes on Well-Being in Indigenous Communities in Eastern Canada. Int. J. Environ. Res. Public Health 2020, 17, 637. [Google Scholar] [CrossRef]
- Gardner, H.; Tsuji, L.J.S. Exploring the Impact of Canadian Regulatory Requirements on the Persistence of the Subsistence Lifestyle: A Food Security Intervention in Remote Aboriginal Communities. Int. J. Soc. Sustain. Econ. Soc. Cult. Context 2014, 11, 2–10. [Google Scholar] [CrossRef]
- Tsuji, L.J.S.; Tsuji, S.R.J.; Zuk, A.M.; Davey, R.; Liberda, E.N. Harvest Programs in First Nations of Subarctic Canada: The Benefits Go Beyond Addressing Food Security and Environmental Sustainability Issues. Int. J. Environ. Res. Public Health 2020, 17, 8113. [Google Scholar] [CrossRef]
- Skinner, K.; Hanning, R.M.; Desjardins, E.; Tsuji, L.J.S. Giving voice to food insecurity in a remote indigenous community in subarctic Ontario, Canada: Traditional ways, ways to cope, ways forward. BMC Public Health 2013, 13, 427. [Google Scholar] [CrossRef]
- Skinner, K.; Hanning, R.M.; Tsuji, L.J.S. Prevalence and severity of household food insecurity of First Nations people living in an on-reserve, sub-Arctic community within the Mushkegowuk Territory. Public Health Nutr. 2014, 17, 31–39. [Google Scholar] [CrossRef]
- Spiegelaar, N.; Martin, I.D.; Tsuji, L.J.S. Indigenous Subarctic Food Systems in Transition: Amino Acid Composition (Including Tryptophan) in Wild-Harvested and Processed Meats. Int. J. Food Sci. 2019, 2019, 7096416. [Google Scholar] [CrossRef]
- Ahmed, F.; Zuk, A.M.; Tsuji, L.J.S. The Impact of Land-Based Physical Activity Interventions on Self-Reported Health and Well-Being of Indigenous Adults: A Systematic Review. Int. J. Environ. Res. Public Health 2021, 18, 7099. [Google Scholar] [CrossRef]
- Tsuji, S.R.J. Canada’s Impact Assessment Act, 2019: Indigenous Peoples, Cultural Sustainability, and Environmental Justice. Sustainability 2022, 14, 3501. [Google Scholar] [CrossRef]
- Tsuji, S.R.J. Indigenous Environmental Justice and Sustainability: What Is Environmental Assimilation? Sustainability 2021, 13, 8382. [Google Scholar] [CrossRef]
- Tsuji, L.J.S.; Wilton, M.; Spiegelaar, N.F.; Oelbermann, M.; Barbeau, C.D.; Solomon, A.; Tsuji, C.J.D.; Liberda, E.N.; Meldrum, R.; Karagatzides, J.D. Enhancing Food Security in Subarctic Canada in the Context of Climate Change: The Harmonization of Indigenous Harvesting Pursuits and Agroforestry Activities to Form a Sustainable Import-Substitution Strategy. In Sustainable Solutions for Food Security: Combating Climate Change by Adaptation; Sarkar, A., Sensarma, S.R., vanLoon, G.W., Eds.; Springer International Publishing: Cham, Switzerland, 2019; pp. 409–435. [Google Scholar] [CrossRef]
- Veeraraghavan, G.; Burnett, K.; Skinner, K.; Williams, P.; Martin, D.; Jamal, A.; Ramsay, M.; Stothart, C. Paying for Nutrition: A Report on Food Costing in the North; Food Secure Canada: Montreal, QC, Canada, 2016; Available online: https://foodsecurecanada.org/sites/foodsecurecanada.org/files/201609_paying_for_nutrition_fsc_report_final.pdf (accessed on 2 December 2022).
- Peltier, C. An Application of Two-Eyed Seeing: Indigenous Research Methods With Participatory Action Research. Int. J. Qual. Methods 2018, 17, 1609406918812346. [Google Scholar] [CrossRef]
- Ahmed, F.; Liberda, E.N.; Solomon, A.; Davey, R.; Sutherland, B.; Tsuji, L.J.S. Indigenous Land-Based Approaches to Well-Being: The Amisk (Beaver) Harvesting Program in Subarctic Ontario, Canada. Int. J. Environ. Res. Public Health 2022, 19, 7335. [Google Scholar] [CrossRef]
- Gates, M.; Hanning, R.; Isoga, A.; Gates, A.; Metatawabin, J.; Tsuji, L.J.S. A comprehensive school nutrition program improves knowledge and intentions for milk and alternatives intake among youth in Fort Albany First Nation (FN). Can. J. Diabetes 2011, 35, 208. [Google Scholar] [CrossRef]
- Hanemaayer, R.; Anderson, K.; Haines, J.; Lickers, K.R.; Lickers Xavier, A.; Gordon, K.; Tait Neufeld, H. Exploring the Perceptions of and Experiences with Traditional Foods among First Nations Female Youth: A Participatory Photovoice Study. Int. J. Environ. Res. Public Health 2020, 17, 2214. [Google Scholar] [CrossRef]
- Proust, F.; Johnson-Down, L.; Berthiaume, L.; Greffard, K.; Julien, P.; Robinson, E.; Lucas, M.; Dewailly, É. Fatty acid composition of birds and game hunted by the Eastern James Bay Cree people of Québec. Int. J. Circumpolar Health 2016, 75, 30583. [Google Scholar] [CrossRef]
- Gates, A.; Hanning, R.M.; Gates, M.; Tsuji, L.J.S. The Food and Nutrient Intakes of First Nations Youth Living in Northern Ontario, Canada: Evaluation of a Harvest Sharing Program. J. Hunger. Environ. Nutr. 2016, 11, 491–508. [Google Scholar] [CrossRef]
- Tsuji, L.J.S.; Nieboer, E. A Question of Sustainability in Cree Harvesting Practices: The Seasons, Technological and Cultural Changes in The Western James Bay Region of Northern Ontario, Canada. Can. J. Nativ. Stud. 1999, 1, 169–192. [Google Scholar]
- Feit, H.A. Re-cognizing Co-management as Co-governance: Visions and Histories of Conservation at James Bay. Anthropologica 2005, 47, 267–288. [Google Scholar]
- Khalafzai, M.A.K.; McGee, T.K.; Parlee, B. Flooding in the James Bay region of Northern Ontario, Canada: Learning from traditional knowledge of Kashechewan First Nation. Int. J. Disaster Risk Reduct. 2019, 36, 101100. [Google Scholar] [CrossRef]
- Tam, B. The Effects of Weather and Climate Variability on the Well-Being of a Rural and Urban Aboriginal Group in Ontario, Canada; University of Toronto: Toronto, ON, Canada, 2012. [Google Scholar]
- Tam, B.; Gough, W.; Edwards, V.; Tsuji, L.J.S. The impact of climate change on the well-being and lifestyle of a First Nation community in the western James Bay region. Can. Geogr. Le Géographe Can. 2013, 57, 441–456. [Google Scholar] [CrossRef]
- Leafloor, J.; Moser, T.; Batt, B. Evaluation of special management measures for midcontinent lesser snow geese and Ross’s geese. In Arctic Goose Joint Venture Special Publication; US Fish and Wildlife Service: Washington, DC, USA; Canadian Wildlife Service: Ottawa, ON, Canada, 2012. [Google Scholar]
- Batt, B.D.J. Arctic ecosystems in peril: Report of the Arctic Goose Habitat Working Group; U.S. Fish and Wildlife Service: Washington, DC, USA; Canadian Wildlife Service: Ottawa, ON, Canada; Paulsen Printing: Memphis, TN, USA, 1997. [Google Scholar]
- Dieter, C.D.; Anderson, B.J. Molt migration by giant Canada geese in eastern South Dakota. Hum. Wildl. Confl. 2009, 3, 260–270. [Google Scholar]
- Feare, C.J.; Sanders, M.F.; Blasco, R.; Bishop, J.D. Canada goose (Branta canadensis) droppings as a potential source of pathogenic bacteria. J. R. Soc. Promot. Health 1999, 119, 146–155. [Google Scholar] [CrossRef]
- Tsuji, L.J.S.; Martin, I.D.; Martin, E.S.; LeBlanc, A.; Dumas, P. Spring-harvested game birds from the western James Bay region of northern Ontario, Canada: Organochlorine concentrations in breast muscle. Sci. Total Environ. 2007, 385, 160–171. [Google Scholar] [CrossRef]
- Tsuji, L.J.S.; Martin, I.D.; Martin, E.S.; LeBlanc, A.; Dumas, P. Spring-harvested game birds in the Western James Bay region of Northern Ontario, Canada: The amount of organochlorines in matched samples of breast muscle, skin, and abdominal fat. Environ. Monit. Assess. 2008, 146, 91–104. [Google Scholar] [CrossRef]
- Braune, B.M. Chemical Residues in Waterfowl and Gamebirds Harvested in Canada, 1987–1995; Canadian Wildlife Service: Ottawa, ON, Canada, 1999. [Google Scholar]
- Braune, B.M.; Malone, B.J. Organochlorines and mercury in waterfowl harvested in Canada. Environ. Monit. Assess. 2006, 114, 331–359. [Google Scholar] [CrossRef]
- Chief Moon-Riley, K.; Copeland, J.L.; Metz, G.A.S.; Currie, C.L. The biological impacts of Indigenous residential school attendance on the next generation. SSM Popul. Health 2019, 7, 100343. [Google Scholar] [CrossRef]
- Restoule, J.P.; Gruner, S.; Metatawabin, E. Learning from place: A return to traditional mushkegowuk ways of knowing. Can. J. Educ. Rev. Can. De L’éducation 2013, 36, 68–86. [Google Scholar]
- Cunsolo Willox, A.; Harper, S.L.; Ford, J.D.; Landman, K.; Houle, K.; Edge, V.L.; The Rigolet Inuit Community Government. “From this place and of this place:” Climate change, sense of place, and health in Nunatsiavut, Canada. Adv. Nurs. Sci. 2012, 75, 538–547. [Google Scholar] [CrossRef]
- Furgal, C.; Seguin, J. Climate change, health, and vulnerability in Canadian northern Aboriginal communities. Environ. Health Perspect. 2006, 114, 1964–1970. [Google Scholar] [CrossRef]
- MacDonald, J.P.; Cunsolo Willox, A.; Ford, J.D.; Shiwak, I.; Wood, M.; IMHACC Team; The Rigolet Inuit Community Government. Protective factors for mental health and well-being in a changing climate: Perspectives from Inuit youth in Nunatsiavut, Labrador. Soc. Sci. Med. 2015, 141, 133–141. [Google Scholar] [CrossRef]
- Sayles, J.; Mulrennan, M. Securing a Future: Cree Hunters’ Resistance and Flexibility to Environmental Changes, Wemindji, James Bay. Ecol. Soc. 2010, 15, 22. [Google Scholar] [CrossRef]
- Tsuji, L.J.S.; Gomez, N.; Mitrovica, J.X.; Kendall, R. Post-Glacial Isostatic Adjustment and Global Warming in Subarctic Canada: Implications for Islands of the James Bay Region. Arctic 2009, 62, 458–467. [Google Scholar] [CrossRef][Green Version]
- Royer, M.J.S. Climate, Environment and Cree Observations: James Bay Territory, Canada; Springer: Berlin/Heidelberg, Germany, 2016. [Google Scholar]
- Tam, B.; Gough, W.; Edwards, V.; Tsuji, L.J.S. Seasonal and weather-related behavioral effects among urban Aboriginal, urban non-Aboriginal, and remote Aboriginal participants in Canada. Popul. Environ. 2013, 35, 45–67. [Google Scholar] [CrossRef]
- Peloquin, C.; Berkes, F. Local Knowledge, Subsistence Harvests, and Social-Ecological Complexity in James Bay. Hum. Ecol. 2009, 37, 533–545. [Google Scholar] [CrossRef]
- Hori, Y.; Tam, B.; Gough, W.; Ho-Foong, E.; Karagatzides, J.; Liberda, E.N.; Tsuji, L.J.S. Use of traditional environmental knowledge to assess the impact of climate change on subsistence fishing in the James Bay Region of Northern Ontario, Canada. Rural. Remote Health 2012, 12, 75–90. [Google Scholar] [CrossRef]
- Wolsko, C.; Lardon, C.; Hopkins, S.; Ruppert, E. Conceptions of wellness among the Yup’ik of the Yukon-Kuskokwim Delta: The vitality of social and natural connection. Ethn. Health 2006, 11, 345–363. [Google Scholar] [CrossRef]
- Akbar, L.; Zuk, A.M.; Tsuji, L.J.S. Health and Wellness Impacts of Traditional Physical Activity Experiences on Indigenous Youth: A Systematic Review. Int. J. Environ. Res. Public Health 2020, 17, 8275. [Google Scholar] [CrossRef]
- Tsuji, L.J.S. Loss of Cree traditional ecological knowledge in the western James Bay region of northern Ontario, Canada: A case study of the Sharp-tailed grouse, Tympanuchus phasianellus. Can. J. Nativ. Stud. 1996, 16, 283–292. [Google Scholar]
- Aboriginal Affairs and Northern Development. The Community Well-Being Index 2011; Aboriginal Affairs and Northern Development: Ottawa, ON, Canada, 2015. [Google Scholar]
- Hossain, B.; Lamb, L. Cultural Attachment and Wellbeing Among Canada’s Indigenous People: A Rural Urban Divide. J. Happiness Stud. 2020, 21, 1303–1324. [Google Scholar] [CrossRef]
- Lines, L.A.; Jardine, C.G.; Yellowknives Dene First Nation Wellness Division. Connection to the land as a youth-identified social determinant of Indigenous Peoples’ health. BMC Public Health 2019, 19, 176. [Google Scholar] [CrossRef]
- Sarnyai, Z.; Berger, M.; Jawan, I. Allostatic load mediates the impact of stress and trauma on physical and mental health in Indigenous Australians. Australas. Psychiatry 2016, 24, 72–75. [Google Scholar] [CrossRef]
- Berger, M.; Leicht, A.; Slatcher, A.; Kraeuter, A.K.; Ketheesan, S.; Larkins, S.; Sarnyai, Z. Cortisol Awakening Response and Acute Stress Reactivity in First Nations People. Sci. Rep. 2017, 7, 41760. [Google Scholar] [CrossRef]
- Hellhammer, D.H.; Wüst, S.; Kudielka, B.M. Salivary cortisol as a biomarker in stress research. Psychoneuroendocrinology 2009, 34, 163–171. [Google Scholar] [CrossRef]
- Ketheesan, S.; Rinaudo, M.; Berger, M.; Wenitong, M.; Juster, R.P.; McEwen, B.S.; Sarnyai, Z. Stress, allostatic load and mental health in Indigenous Australians. Stress 2020, 23, 509–518. [Google Scholar] [CrossRef]
- Crews, D.; Kawa, N.; Cohen, J.; Ulmer, G.; Edes, A. Climate Change, Uncertainty, and Allostatic Load. Ann. Hum. Biol. 2019, 46, 3–16. [Google Scholar] [CrossRef]
- Canada, S. Fort Albany (Part) 67, IRI [Census subdivision], Ontario and Ontario [Province] (table). In Census Profile; Statistics Canada: Ottawa, ON, Canada, 2017; Volume 2016. [Google Scholar]
- Statistics Canada. Census Profile, 2016 Census. Available online: https://www12.statcan.gc.ca/census-recensement/2016/dp-pd/prof/details/page.cfm?Lang=E&Geo1=CSD&Code1=3556093&Geo2=PR&Code2=35&SearchText=Fort%20Albany%20[Part]%2067&SearchType=Begins&SearchPR=01&B1=All&GeoLevel=PR&GeoCode=3556093&TABID=1&type=0 (accessed on 15 November 2022).
- Liberda, E.N.; Tsuji, L.J.S.; Martin, I.D.; Ayotte, P.; Robinson, E.; Dewailly, E.; Nieboer, E. Source identification of human exposure to lead in nine Cree Nations from Quebec, Canada (Eeyou Istchee territory). Environ. Res. 2018, 161, 409–417. [Google Scholar] [CrossRef]
- Liberda, E.N.; Zuk, A.M.; Davey, R.; Edwards-Wheesk, R.; Tsuji, L.J.S. Two-Eyed Seeing and developmental origins of health and disease studies with indigenous partners. J. Dev. Orig. Health Dis. 2022, 13, 417–423. [Google Scholar] [CrossRef]
- Kutz, S.; Tomaselli, M. “Two-eyed seeing” supports wildlife health. Science 2019, 364, 1135. [Google Scholar] [CrossRef]
- Marsh, T.N.; Cote-Meek, S.; Toulouse, P.; Najavits, L.M.; Young, N.L. The Application of Two-Eyed Seeing Decolonizing Methodology in Qualitative and Quantitative Research for the Treatment of Intergenerational Trauma and Substance Use Disorders. Int. J. Qual. Methods 2015, 14, 1609406915618046. [Google Scholar] [CrossRef]
- Castleden, H.; Garvin, T. Modifying Photovoice for community-based participatory Indigenous research. Soc. Sci. Med. 2008, 66, 1393–1405. [Google Scholar] [CrossRef]
- Breda, K.L. Participatory Action Research. In Nursing Research Using Participatory Action Research: Qualitative Designs and Methods in Nursing; de Chesnay, M., Mary, d.C., Eds.; Springer Publishing Company: New York, NY, USA, 2014; pp. 1–12. [Google Scholar] [CrossRef]
- Tobias, J.K.; Richmond, C.A.M.; Luginaah, I. Community-Based Participatory Research (CBPR) with Indigenous Communities: Producing Respectful and Reciprocal Research. J. Empir. Res. Hum. Res. Ethics Int. J. 2013, 8, 129–140. [Google Scholar] [CrossRef]
- Jung, C.; Greco, S.; Nguyen, H.H.T.; Ho, J.T.; Lewis, J.G.; Torpy, D.J.; Inder, W.J. Plasma, salivary and urinary cortisol levels following physiological and stress doses of hydrocortisone in normal volunteers. BMC Endocr. Disord. 2014, 14, 91. [Google Scholar] [CrossRef]
- Eliassen, B.M.; Braaten, T.; Melhus, M.; Hansen, K.L.; Broderstad, A.R. Acculturation and self-rated health among Arctic indigenous peoples: A population-based cross-sectional study. BMC Public Health 2012, 12, 948. [Google Scholar] [CrossRef]
- Gone, J.P. Redressing First Nations historical trauma: Theorizing mechanisms for indigenous culture as mental health treatment. Transcult. Psychiatry 2013, 50, 683–706. [Google Scholar] [CrossRef]
- Piotrowski, P.; Frydecka, D.; Kotowicz, K.; Stańczykiewicz, B.; Samochowiec, J.; Szczygieł, K.; Misiak, B. A history of childhood trauma and allostatic load in patients with psychotic disorders with respect to stress coping strategies. Psychoneuroendocrinology 2020, 115, 104645. [Google Scholar] [CrossRef]
- Schmitt, L.H.; Harrison, G.A.; Spargo, R.M. Variation in epinephrine and cortisol excretion rates associated with behavior in an Australian Aboriginal community. Am. J. Phys. Anthropol. 1998, 106, 249–253. [Google Scholar] [CrossRef]
- Kozlov, A.I.; Kozlova, M.A. Cortisol as a marker of stress. Hum. Physiol. 2014, 40, 224–236. [Google Scholar] [CrossRef]
- Walls, M.; Dertinger, M.; Unzen, M.; Forsberg, A.; Aronson, B.; Wille, S.; al’Absi, M. Assessment of feasibility and outcomes of a salivary cortisol collection protocol in five American Indian communities. Stress 2020, 23, 265–274. [Google Scholar] [CrossRef]
- Currie, C.L.; Copeland, J.L.; Metz, G.A.; Chief Moon-Riley, K.; Davies, C.M. Past-Year Racial Discrimination and Allostatic Load Among Indigenous Adults in Canada: The Role of Cultural Continuity. Psychosom. Med. 2020, 82, 99–107. [Google Scholar] [CrossRef]
- Davison, B.; Singh, G.R.; McFarlane, J. Hair cortisol and cortisone as markers of stress in Indigenous and non-Indigenous young adults. Stress 2019, 22, 210–220. [Google Scholar] [CrossRef]
- Davison, B.; Singh, G.; Oguoma, V.; McFarlane, J. Fingernail cortisol as a marker of chronic stress exposure in Indigenous and non-Indigenous young adults. Stress 2020, 23, 298–307. [Google Scholar] [CrossRef]
- Berger, M.; Taylor, S.; Harriss, L.; Campbell, S.; Thompson, F.; Jones, S.; Sushames, A.; Amminger, G.; Sarnyai, Z.; McDermott, R. Hair cortisol, allostatic load, and depressive symptoms in Australian Aboriginal and Torres Strait Islander people. Stress 2019, 22, 312–320. [Google Scholar] [CrossRef]
- Schmitt, L.H.; Harrison, G.A.; Spargo, R.M.; Pollard, T.; Ungpakorn, G. Patterns of cortisol and adrenaline variation in Australian aboriginal communities of the Kimberley region. J. Biosoc. Sci. 1995, 27, 107–116. [Google Scholar] [CrossRef]
- Cave, L.; Cooper, M.; Zubrick, S.; Shepherd, C. Racial discrimination and allostatic load among First Nations Australians: A nationally representative cross-sectional study. BMC Public Health 2020, 20, 1881. [Google Scholar] [CrossRef]
- Iwasaki, Y.; Bartlett, J.G. Culturally Meaningful Leisure as a Way of Coping with Stress among Aboriginal Individuais with Diabetes. J. Leis. Res. 2006, 38, 321–338. [Google Scholar] [CrossRef]
- Russell, E.; Koren, G.; Rieder, M.; Van Uum, S. Hair cortisol as a biological marker of chronic stress: Current status, future directions and unanswered questions. Psychoneuroendocrinology 2012, 37, 589–601. [Google Scholar] [CrossRef]
- Cyr, M.; Riediger, N. (Re)claiming our bodies using a Two-Eyed Seeing approach: Health-At-Every-Size (HAES®) and Indigenous knowledge. Can. J. Public Health 2021, 112, 493–497. [Google Scholar] [CrossRef]
- Bartlett, C.; Marshall, M.; Marshall, A. Two-Eyed Seeing and other lessons learned within a co-learning journey of bringing together indigenous and mainstream knowledges and ways of knowing. J. Environ. Stud. Sci. 2012, 2, 331–340. [Google Scholar] [CrossRef]
- Sivertsen, N.; Harrington, A.; Hamiduzzaman, M. ‘Two-eyed seeing’: The integration of spiritual care in Aboriginal residential aged care in South Australia. J. Relig. Spiritual. Aging 2020, 32, 149–171. [Google Scholar] [CrossRef]
- Crowe, R.; Stanley, R.; Probst, Y.; McMahon, A. Culture and healthy lifestyles: A qualitative exploration of the role of food and physical activity in three urban Australian Indigenous communities. Aust. New Zealand J. Public Health 2017, 41, 411–416. [Google Scholar] [CrossRef]
- Sushames, A.; van Uffelen, J.G.; Gebel, K. Do physical activity interventions in Indigenous people in Australia and New Zealand improve activity levels and health outcomes? A systematic review. Int. J. Behav. Nutr. Phys. Act. 2016, 13, 129. [Google Scholar] [CrossRef]
- Oliver, N.; Perkins, D.; Hare, L.; Larsen, K. ‘Stories from the past, the reality of the present, taking control of the future’-lifestyle changes among Pukapuka people in the Illawarra. Health Promot. J. Austr. 2007, 18, 105–108. [Google Scholar] [CrossRef]
- Gall, A.; Butler, T.L.; Lawler, S.; Garvey, G. Traditional, complementary and integrative medicine use among Indigenous peoples with diabetes in Australia, Canada, New Zealand and the United States. Aust. New Zealand J. Public Health 2021, 45, 664–671. [Google Scholar] [CrossRef]
- Kaholokula, J.K.; Look, M.; Mabellos, T.; Zhang, G.; de Silva, M.; Yoshimura, S.; Solatorio, C.; Wills, T.; Seto, T.B.; Sinclair, K.A. Cultural Dance Program Improves Hypertension Management for Native Hawaiians and Pacific Islanders: A Pilot Randomized Trial. J. Racial. Ethn. Health Disparities 2017, 4, 35–46. [Google Scholar] [CrossRef]
- Look, M.A.; Kaholokula, J.K.; Carvhalo, A.; Seto, T.; de Silva, M. Developing a culturally based cardiac rehabilitation program: The HELA study. Prog. Community Health Partnersh. 2012, 6, 103–110. [Google Scholar] [CrossRef]
- Look, M.A.; Maskarenic, G.G.; De Silva, M.; Seto, T.; Mau, M.L.; Kaholokula, J.K. Kumu Hula Perspectives on Health. Hawaii J. Med. Public Health 2014, 73, 21–25. [Google Scholar]
- Spiegelaar, N.; Tsuji, L.; Oelbermann, M. The Potential Use of Agroforestry Community Gardens as a Sustainable Import-Substitution Strategy for Enhancing Food Security in Subarctic Ontario, Canada. Sustainability 2014, 5, 4057–4075. [Google Scholar] [CrossRef]
- Hlimi, T.; Skinner, K.; Hanning, R.; Martin, I.D.; Tsuji, L.S. Traditional food consumption behaviour and concern with environmental contaminants among Cree schoolchildren of the Mushkegowuk territory. Int. J. Circumpolar Health 2012, 71, 17344. [Google Scholar] [CrossRef]
- Foulds, H.J.A.; Bredin, S.S.D.; Warburton, D.E.R. The effectiveness of community based physical activity interventions with Aboriginal peoples. Prev. Med. 2011, 53, 411–416. [Google Scholar] [CrossRef]
- Royer, M.-J.; Herrmann, T.; Sonnentag, O.; Fortier, D.; Delusca, K.; Cuciurean, R. Linking Cree Hunters’ and scientific observations of changing inland ice and meteorological conditions in the subarctic Eastern James Bay region, Canada. Clim. Change 2013, 119, 719–732. [Google Scholar] [CrossRef]
- Reading, C.; Wien, F. Healing Inequalities and Social Determinants of Aboriginal Peoples’ Health; National Collaborating Centre for Aboriginal Health: Prince George, BC, Canada, 2009. [Google Scholar]
- Skinner, K.; Hanning, R.M.; Tsuji, L.J. Barriers and supports for healthy eating and physical activity for First Nation youths in northern Canada. Int. J. Circumpolar Health 2006, 65, 148–161. [Google Scholar] [CrossRef]
- Hansen, A.M.; Garde, A.H.; Persson, R. Sources of biological and methodological variation in salivary cortisol and their impact on measurement among healthy adults: A review. Scand. J. Clin. Lab. Invest. 2008, 68, 448–458. [Google Scholar] [CrossRef]
- Yang, F.; Ramsay, J.E.; Schultheiss, O.C.; Pang, J.S. Need for achievement moderates the effect of motive-relevant challenge on salivary cortisol changes. Motiv. Emot. 2015, 39, 321–334. [Google Scholar] [CrossRef][Green Version]
- Wilton, M.J.; Karagatzides, J.D.; Tsuji, L.J.S. Fertilizing bush beans with locally made compost in a remote subarctic community. Agrosystems Geosci. Environ. 2020, 3, e20109. [Google Scholar] [CrossRef]
- Abraham, K.; Jefferies, R.; Alisauskas, R. The dynamics of landscape change and Snow Geese in mid-continent North America. Glob. Change Biol. 2005, 11, 841–855. [Google Scholar] [CrossRef]
- Jefferies, R.L.; Rockwell, R.F. Foraging Geese, Vegetation Loss and Soil Degradation in an Arctic Salt Marsh. Appl. Veg. Sci. 2002, 5, 7–16. [Google Scholar] [CrossRef]
- Ankney, C.D. An Embarrassment of Riches: Too Many Geese. J. Wildl. Manag. 1996, 60, 217–223. [Google Scholar] [CrossRef]
- Garnett, S.; Sithole, B.; Whitehead, P.; Burgess, C.; Johnston, F.; Lea, T. Healthy Country, Healthy People: Policy Implications of Links between Indigenous Human Health and Environmental Condition in Tropical Australia. Aust. J. Public Adm. 2009, 68, 53–66. [Google Scholar] [CrossRef]
- Woodward, E.; Marrfurra McTaggart, P. Co-developing Indigenous seasonal calendars to support ‘healthy Country, healthy people’ outcomes. Glob. Health Promot. 2019, 26, 26–34. [Google Scholar] [CrossRef]
- Ford, J.; Beaumier, M. Feeding the family during times of stress: Experience and determinants of food insecurity in an Inuit community. Geogr. J. 2011, 177, 44–61. [Google Scholar] [CrossRef]
- Ford, J. Vulnerability of Inuit Food Systems to Food Insecurity as a Consequence of Climate Change: A Case Study from Igloolik, Nunavut. Reg. Environ. Change 2008, 9, 83–100. [Google Scholar] [CrossRef]
- Beaumier, M.C.; Ford, J.D. Food insecurity among Inuit women exacerbated by socioeconomic stresses and climate change. Can. J. Public Health 2010, 101, 196–201. [Google Scholar] [CrossRef]
- Socha, T.L.; Abraham, R. Food Security in a Northern First Nations Community: An Exploratory Study on food availability and accessibility. Int. J. Indig. Health 2012, 8, 5. [Google Scholar]
- Willows, N.D. Determinants of healthy eating in Aboriginal peoples in Canada: The current state of knowledge and research gaps. Can. J. Public Health 2005, 96 (Suppl. 3), S32–S36, S36–S41. [Google Scholar]
- Duhaime, G. The Conditions of Sustainable Food Security: An Integrated Conceptual Framework. Sustain. Food Secur. Arct. State Knowl. 2002, 15, 45. [Google Scholar]
- Incorporated, A.C. A Consultation-Based Review of the Harvester Support Programs of the Government of Nunavut and Nunavut Tunngavik Inc.; Government of Nunavut. Department of Environment and Nunavut Tunngavik Inc.: Iqaluit, NU, Canada, 2008. [Google Scholar]
- Lombard, K.A.; Beresford, S.A.; Ornelas, I.J.; Topaha, C.; Becenti, T.; Thomas, D.; Vela, J.G. Healthy gardens/healthy lives: Navajo perceptions of growing food locally to prevent diabetes and cancer. Health Promot. Pract. 2014, 15, 223–231. [Google Scholar] [CrossRef]
- Johnson-jennings, M.; Paul, K.; Olson, D.; LaBeau, M.; Jennings, D. Ode’imin Giizis: Proposing and Piloting Gardening as an Indigenous Childhood Health Intervention. J. Health Care Poor Underserved 2020, 31, 871–888. [Google Scholar] [CrossRef]
- Moorcroft, H.; Ignjic, E.; Cowell, S.; Goonack, J.; Mangolomara, S.; Oobagooma, J.; Karadada, R.; Williams, D.; Waina, N. Conservation planning in a cross-cultural context: The Wunambal Gaambera Healthy Country Project in the Kimberley, Western Australia. Ecol. Manag. Restor. 2012, 13, 16–25. [Google Scholar] [CrossRef]
- Li, D.; Prinyawiwatkul, W.; Tan, Y.; Luo, Y.; Hong, H. Asian carp: A threat to American lakes, a feast on Chinese tables. Compr. Rev. Food Sci. Food Saf. 2021, 20, 2968–2990. [Google Scholar] [CrossRef]
- Morgan, M.; Ho, Y. Perception of Asian carp as a possible food source among Missouri anglers. Hum. Dimens. Wildl. 2018, 23, 491–498. [Google Scholar] [CrossRef]
- Nuñez, M.A.; Kuebbing, S.; Dimarco, R.D.; Simberloff, D. Invasive Species: To eat or not to eat, that is the question. Conserv. Lett. 2012, 5, 334–341. [Google Scholar] [CrossRef]
- Barbour, A.B.; Allen, M.S.; Frazer, T.K.; Sherman, K.D. Evaluating the potential efficacy of invasive lionfish (Pterois volitans) removals. PloS ONE 2011, 6, e19666. [Google Scholar] [CrossRef]
- Varble, S.; Secchi, S. Human consumption as an invasive species management strategy. A preliminary assessment of the marketing potential of invasive Asian carp in the US. Appetite 2013, 65, 58–67. [Google Scholar] [CrossRef]
- Nogueira-Filho, S.L.; Nogueira, S.S.; Fragoso, J. Ecological impacts of feral pigs in the Hawaiian Islands. Biodivers. Conserv. 2009, 18, 3677–3683. [Google Scholar] [CrossRef]
- Franz, C.E.; York, T.P.; Eaves, L.J.; Mendoza, S.P.; Hauger, R.L.; Hellhammer, D.H.; Jacobson, K.C.; Levine, S.; Lupien, S.J.; Lyons, M.J.; et al. Genetic and environmental influences on cortisol regulation across days and contexts in middle-aged men. Behav. Genet. 2010, 40, 467–479. [Google Scholar] [CrossRef][Green Version]
- Wirth, M.; Scherer, S.; Hoks, R.; Abercrombie, H. The effect of cortisol on emotional responses depends on order of cortisol and placebo administration in a within-subject design. Psychoneuroendocrinology 2011, 36, 945–954. [Google Scholar] [CrossRef]
- Trumble, B.C.; Smith, E.A.; O’Connor, K.A.; Kaplan, H.S.; Gurven, M.D. Successful hunting increases testosterone and cortisol in a subsistence population. Proc. Biol. Sci. 2014, 281, 20132876. [Google Scholar] [CrossRef]





| Project | Sample | Descriptives | |
|---|---|---|---|
| N | Mean ± Standard Deviation (SD) | ||
| Goose Spring | Pre | 13 | 6.52 ± 6.67 |
| Post | 13 | 7.49 ± 6.23 | |
| Goose Summer | Pre | 12 | 8.87 ± 7.56 |
| Post | 12 | 6.51 ± 5.91 | |
| Descriptive Themes | Subthemes | Analytical Themes |
|---|---|---|
| Knowledge | Learning from others; Sharing knowledge; Leading youth; Language | |
| Identity | Being raised in the bush, Feelings of nostalgia | |
| Cultural Continuity | More programs needed; Culture to improve well-being; Technology barrier; Systemic barriers | |
| Healing | Mental health; Keeping busy and active; Colonization; Substances; Healing; Traditional food; Traditional medicine; Trauma; Spirituality | |
| Land | Emotions related to being on the land/community; Geese harvesting | |
| Food and Other Resources | Hunting for food and survival; Economic opportunities and challenges; Accessibility food/resources |
Disclaimer/Publisher’s Note: The statements, opinions and data contained in all publications are solely those of the individual author(s) and contributor(s) and not of MDPI and/or the editor(s). MDPI and/or the editor(s) disclaim responsibility for any injury to people or property resulting from any ideas, methods, instructions or products referred to in the content. |
© 2023 by the authors. Licensee MDPI, Basel, Switzerland. This article is an open access article distributed under the terms and conditions of the Creative Commons Attribution (CC BY) license (https://creativecommons.org/licenses/by/4.0/).
Share and Cite
Ahmed, F.; Liberda, E.N.; Solomon, A.; Davey, R.; Sutherland, B.; Tsuji, L.J.S. Indigenous Land-Based Approaches to Well-Being: The Niska (Goose) Harvesting Program in Subarctic Ontario, Canada. Int. J. Environ. Res. Public Health 2023, 20, 3686. https://doi.org/10.3390/ijerph20043686
Ahmed F, Liberda EN, Solomon A, Davey R, Sutherland B, Tsuji LJS. Indigenous Land-Based Approaches to Well-Being: The Niska (Goose) Harvesting Program in Subarctic Ontario, Canada. International Journal of Environmental Research and Public Health. 2023; 20(4):3686. https://doi.org/10.3390/ijerph20043686
Chicago/Turabian StyleAhmed, Fatima, Eric N. Liberda, Andrew Solomon, Roger Davey, Bernard Sutherland, and Leonard J. S. Tsuji. 2023. "Indigenous Land-Based Approaches to Well-Being: The Niska (Goose) Harvesting Program in Subarctic Ontario, Canada" International Journal of Environmental Research and Public Health 20, no. 4: 3686. https://doi.org/10.3390/ijerph20043686
APA StyleAhmed, F., Liberda, E. N., Solomon, A., Davey, R., Sutherland, B., & Tsuji, L. J. S. (2023). Indigenous Land-Based Approaches to Well-Being: The Niska (Goose) Harvesting Program in Subarctic Ontario, Canada. International Journal of Environmental Research and Public Health, 20(4), 3686. https://doi.org/10.3390/ijerph20043686

