Spirituality and Cyberaggression: Mediating and Moderating Effect of Self-Control and School Climate
Abstract
:1. Introduction
2. Theoretical Background
2.1. Cyberaggression and Self-Control
2.2. The Motivating Effect of Spirituality on Self-Control and Self-Control’s Mediating Role
2.3. Spirituality in Chinese Context
2.4. School Climate’ Moderating Effect
2.5. Current Study
3. Methods
Procedure and Participants
4. Measures
4.1. Chinese College Students Spirituality Scale [8]
4.2. Brief Self-Control Scale [21]
4.3. Cyber-Aggressive Behaviors Scale [20]
4.4. Perceived School Climate Scale [40]
4.5. Data Analysis
5. Results
5.1. Preliminary Analysis
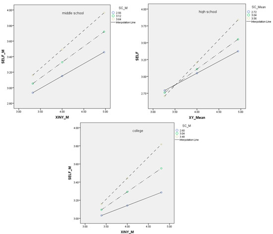
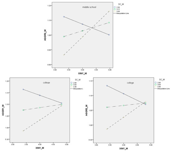
5.2. Mediation and Moderation
6. Discussion
Implications and Limitations
7. Conclusions
Author Contributions
Funding
Institutional Review Board Statement
Informed Consent Statement
Data Availability Statement
Conflicts of Interest
References
- Anderson, C.A.; Bushman, B.J. Human aggression. Annu. Rev. Psychol. 2002, 53, 27–51. [Google Scholar]
- Batanova, M.; Loukas, A. Empathy and Effortful Control Effects on Early Adolescents’ Aggression: When Do Students’ Perceptions of Their School Climate Matter? Appl. Dev. Sci. 2016, 20, 79–93. [Google Scholar] [CrossRef]
- Bauman, S. Cyberbullying in a rural intermediate school: An exploratory study. J. Early Adolesc. 2010, 30, 803–833. [Google Scholar] [CrossRef]
- Baumeister, R.F.; Bratslavsky, E.; Muraven, M.; Tice, D.M. Ego depletion: Is the active self a limited resource? J. Personal. Soc. Psychol. 1998, 74, 1252–1265. [Google Scholar]
- Bradshaw, C.P. Preventing bullying through positive behavioral interventions and supports (PBIS): A multi-tiered approach to prevention and integration. Theory Pract. 2013, 52, 288–295. [Google Scholar] [CrossRef]
- Brislin, R.W. The wording and translation of research instruments. In Field Methods in Cross-Cultural Research; Lonner, W.J., Berry, J.W., Eds.; Sage: Beverly Hills, CA, USA, 1986; pp. 137–164. [Google Scholar]
- Cao, Y. Senior high school’s elective classes regulation difficulties and management pathways. Educ. Manag. 2020, 22, 19–22. [Google Scholar]
- Chen, Q. The negative impact of cyberbullying on college students and ways to cope—From cybersurfers’ perspective. J. Shandong Univ. Technol. (Soc. Sci. Ed.) 2020, 36, 103–110. [Google Scholar]
- Donat, M.; Umlauft, S.; Dalbert, C.; Kamble, S.V. Belief in a Just World, Teacher Justice, and Bullying Behavior. Aggress. Behav. 2012, 38, 185–193. [Google Scholar]
- Dou, K.; Li, J.B.; Wang, Y.J.; Li, J.J.; Liang, Z.Q.; Nie, Y.G. Engaging in prosocial behavior explains how high self-control relates to more life satisfaction: Evidence from three Chinese samples. PLoS ONE 2019, 14, e0223169. [Google Scholar] [CrossRef]
- Faccenda, L.; Pantale’on, N. Analysis of the relationships between sensitivity to injustice, principles of justice and belief in a just world. J. Moral Educ. 2011, 40, 491–511. [Google Scholar] [CrossRef]
- Feng, B.; Li, Z. To Analyze the Equal Access to Receiving Education for Children in Rural and Urban Areas through the Phenomenon of “Super High School”: Taking City D in Hubei Province as an Example. Educ. Dev. Stud. 2014, 33, 67–75. [Google Scholar]
- FGaraigordobil, M. Cyberbullying in adolescents and youth in the Basque Country: Prevalence of cybervictims, cyberaggressors, and cyberobservers. J. Youth Stud. 2015, 18, 569–582. [Google Scholar] [CrossRef]
- Gino, F.; Schweitzer, M.E.; Mead, N.L.; Ariely, D. Unable to resist temptation: How self-control depletion promotes unethical behavior. Organ. Behav. Hum. Decis. Process. 2011, 115, 191–203. [Google Scholar] [CrossRef]
- Grigg, D.W. Cyberaggression: Definition and concept of cyberbullying. Aust. J. Guid. Couns. 2010, 20, 143–156. [Google Scholar] [CrossRef]
- Hodge, D.R. Spirituality: Towards a theoretical framework. Soc. Thought 2000, 19, 1–20. [Google Scholar] [CrossRef]
- Hoferichter, F.; Hirvonen, R.; Kiuru, N. The development of school well-being in secondary school: High academic buoyancy and supportive class- and school climate as buffers. Learn. Instr. 2021, 71, 101377. [Google Scholar] [CrossRef]
- Huang, H. Development and Primary Application of Cyberaggression Behavior Questionnaire for College Students. Master’s Thesis, CNKI, Beijing, China, 2019. [Google Scholar]
- Jia, Y.; Way, N.; Ling, G.; Yoshikawa, H.; Chen, X.; Hughes, D.; Ke, X.; Lu, Z. The influence of student perceptions of school climate on socioemotional and academic adjustment: A comparison of Chinese and American adolescents. Child Dev. 2009, 80, 1514–1530. [Google Scholar] [CrossRef]
- Lerner, D. The Structure of Cyber and Traditional Aggression: An Integrated Conceptualization. Doctoral Dissertation, Arizona State University, Tempe, AZ, USA, 2013. [Google Scholar]
- Li, J. Senior high school classes management strategies under new college entrance exam reformation. Technol. Econ. Guide 2020, 28, 182–183. [Google Scholar]
- Li, Q. Cyberbullying in schools: A research of gender differences. Sch. Psychol. Int. 2006, 27, 157–170. [Google Scholar]
- Li, S.; Duan, C.; Li, F. Understanding Xin-Yang among Chinese college students. Asia Pac. J. Couns. Psychother. 2019, 10, 56–69. [Google Scholar] [CrossRef]
- Li, S.; Duan, C.; Li, F. Development of Xin-Yang 信仰 scale: Understanding spirituality among Chinese college students. J. Beliefs Values 2021, 43, 217–233. [Google Scholar] [CrossRef]
- Li, Y.; Wang, M.; Wang, C.; Shi, J. Individualism, collectivism, and Chinese adolescents’ aggression: Intracultural variations. Aggress. Behav. 2010, 36, 187–194. [Google Scholar] [CrossRef]
- Little, T.D.; Henrich, C.C.; Jones, S.M.; Hawley, P.H. Disentangling the “whys” from the “whats” of aggressive behaviour. Int. J. Behav. Dev. 2003, 27, 122–133. [Google Scholar] [CrossRef]
- Lu, G.; Jin, T.; Ge, J.; Ren, X.; Zhang, L.; Zhang, Y.; Jiang, Y. The Effect of Violent Exposure on Online Aggressive Behavior of College Students: A Moderated Mediation Model. Psychol. Dev. Educ. 2019, 35, 360–367. [Google Scholar]
- Ma, N.; Zhang, W.; Yu, C.; Zhu, J.; Jiang, Y.; Wu, T. Middle school students’ perceived school climate and cybergaming disorder: A moderated mediation model. J. Chin. Clin. Psychol. 2017, 25, 65–69. [Google Scholar]
- Nie, Y.-G.; Li, J.-B.; Vazsonyi, A.T. Self-control mediates the associations between parental attachment and prosocial behavior among Chinese adolescents. Personal. Individ. Differ. 2016, 96, 36–39. [Google Scholar]
- Nie, Y.; Liang, Z.; Dou, K.; Wang, R. An ERPs Study on Adolescents’ Reactive Aggression and Outcome Evaluation Process: From the Perspective of Self-Control Resources. J. Psychol. Sci. 2018, 41, 77–84. [Google Scholar]
- Rounding, K.; Lee, A.; Jacobson, J.A.; Ji, L.J. Religion replenishes self-control. Psychol. Sci. 2012, 23, 635–642. [Google Scholar] [CrossRef]
- Rudasill, K.M.; Snyder, K.E.; Levinson, H.; Adelson, J.L. Systems View of School Climate: A Theoretical Framework for Research. Educ. Psychol. Rev. 2018, 30, 35–60. [Google Scholar] [CrossRef]
- Sainju, K.D. Beyond the Schoolyard: A Multilevel Examination of Individual, School and School District Variables Associated with Traditional and Cyber Peer Aggression. Child Youth Care Forum 2020, 49, 769–797. [Google Scholar]
- Schultze-Krumbholz, A.; Zagorscak, P.; Hess, M.; Scheithauer, H. The Influence of School Climate and Empathy on Cyberbystanders’ Intention to Assist or Defend in Cyberbullying. Int. J. Bullying Prev. 2020, 2, 16–28. [Google Scholar]
- Shariff, A.F.; Norenzayan, A. God is watching you: Priming God concepts increases prosocial behavior in an anonymous economic game. Psychol. Sci. 2007, 18, 803–809. [Google Scholar]
- Shi, H.; Fan, C.; Zhu, X.; Zhang, X.; Wu, L. Cyberbullying Victimization and Cyberbullying Perpetration among Adolescents: The Roles of Normative Beliefs about Aggression and Dual-Mode of Self-Control. J. Psychol. Sci. 2020, 43, 1117–1124. [Google Scholar]
- Smith, T.; Panfil, K.; Bailey, C.; Kirkpatrick, K. Cognitive and behavioral training interventions to promote self-control. J. Exp. Psychol. Anim. Learn. Cogn. 2019, 45, 259–279. [Google Scholar] [CrossRef]
- Soper, D.S. A-Priori Sample Size Calculator for Structural Equation Models. Available online: http://www.danielsoper.com/statcalc (accessed on 9 July 2022).
- Srull, T.K.; Wyer, R.S., Jr. The role of category accessibility in the interpretation of information about persons: Some determinants and implications. J. Personal. Soc. Psychol. 1979, 37, 1660–1672. [Google Scholar] [CrossRef]
- Tangney, J.P.; Baumeister, R.F.; Boone, A. High self-control predicts good adjustment, less pathology, better grades, and interpersonal success. J. Personal. 2004, 72, 271–324. [Google Scholar] [CrossRef]
- Tanyi, R.A. Towards clarification of the meaning of spirituality. J. Adv. Nurs. 2002, 39, 500–509. [Google Scholar] [CrossRef]
- Tokunaga, R.S. Following you home from school: A critical review and synthesis of research on cyberbullying victimization. Comput. Hum. Behav. 2010, 26, 277–287. [Google Scholar]
- Westland, J.C. Lower bounds on sample size in structural equation modelling. Electron. Commer. Res. Appl. 2010, 9, 476–487. [Google Scholar]
- Wolak, J.; Mitchell, K.J.; Finkelhor, D. Does online harassment constitute bullying? An exploration of online harassment by known peers and online-only contacts. J. Adolesc. Health 2007, 41, 51–58. [Google Scholar]
- Willard, N.E. Cyberbullying and Cyberthreats: Responding to the Challenge of Online Social Aggression, Threats, and Distress; Research Press: Champaign, IL, USA, 2007. [Google Scholar]
- Yu, J. A Multi-level Analysis of the Influence of School Atmosphere on Reading Literacy of Middle School Students--Based on the Data of Four Chinese Provinces and Cities in PISA2018. J. Qilu Norm. Univ. 2021, 36, 76–83. [Google Scholar]
- Zapolski, T.C.B.; Banks, D.E.; Lau, K.S.L.; Aalsma, M.C. Perceived Police Injustice, Moral Disengagement, and Aggression among Juvenile Offenders: Utilizing the General Strain Theory Model. Child Psychiatry Hum. Dev. 2018, 49, 290–297. [Google Scholar] [CrossRef]
- Zhang, G.; Liang, Z.; Deng, H.; Lu, Z. Relations between Perceptions of School Climate and School Adjustment of Adolescents: A Longitudinal Study. Psychol. Dev. Educ. 2014, 4, 371–379. [Google Scholar]
- Zhao, F.; Gao, W. Reliability and validity of the Adolescent Online Aggressive Behavior Scale. J. Chin. Psychol. Health 2012, 26, 439–444. [Google Scholar]
- Zheng, Y.; Zhang, W.; Li, S. School climate and middle school students’ school adaptation: The moderating effect of intentional self-regulation. Educ. Assess. Eval. 2015, 4, 47–52. [Google Scholar]
- Zinnbauer, B.J.; Pargament, K.I. Religiousness and Spirituality. In Handbook of the Psychology of Religion and Spirituality; Paloutzian, R.F., Park, C.L., Eds.; Guilford Press: New York, NY, USA, 2005; pp. 21–42. [Google Scholar]




| Number and Percentage of Middle School Sample N (%) | Number and Percentage of High School Sample N (%) | Number and Percentage of College Sample N (%) | |
|---|---|---|---|
| Sex | |||
| Male | 218 (47.8%) | 194 (40.8%) | 379 (33.9%) |
| Female | 238 (52.2%) | 281 (59.2%) | 738 (66.1%) |
| Year | |||
| 1st year/Freshman | 247 (54.2%) | 242 (50.9%) | 425 (38%) |
| 2nd year/Sophomore | 209 (45.8%) | 233 (49.1%) | 519 (46.5%) |
| Junior | 124 (11.1%) | ||
| Senior | 45 (4%) | ||
| Other | 4 (0.4%) | ||
| Number of Siblings | |||
| Single Child | 230 (50.4%) | 210 (44.2%) | 256 (22.9%) |
| One sibling | 197 (43.2%) | 214 (45.1%) | 597 (53.4%) |
| Two or more siblings | 29 (6.4%) | 51 (10.7%) | 264 (23.6%) |
| Parental Monthly Income | |||
| 1000 CNY or below | 10 (2.2%) | 13 (2.7%) | 130 (11.6%) |
| 1000 to 5000 CNY | 100 (21.9%) | 131 (27.6%) | 685 (61.3%) |
| 5000 to 10,000 CNY | 159 (34.9%) | 177 (37.3%) | 210 (18.8%) |
| 10,000 CNY or above | 187 (41%) | 154 (32.4%) | 92 (8.2%) |
| Parental Education Level | |||
| Elementary school or below | 7 (1.5%) | 12 (2.5%) | 193 (17.3%) |
| Middle school or below | 21 (4.6%) | 72 (15.2%) | 429 (38.4%) |
| High school or below | 99 (21.7%) | 171 (36%) | 334 (29.9%) |
| Bachelor’s degree or below | 258 (56.6%) | 178 (37.5%) | 154 (13.8%) |
| Master’s degree or below | 51 (11.2%) | 29 (6.2%) | 2 (0.2%) |
| Doctoral degree or below | 20 (4.4%) | 13 (2.7%) | 5 (0.4%) |
| Spirituality | Self-Control | School Climate | Instrumental Agg | Reactive Agg | |
|---|---|---|---|---|---|
| Spirituality | -- | ||||
| Self-Control | 0.51 | -- | |||
| School Climate | 0.62 | 0.45 | -- | ||
| Instrumental Agg | −0.11 | −0.22 | −0.20 | -- | |
| Reactive Agg | −0.12 | −0.22 | −0.20 | −0.93 | -- |
| Mediation Model | Moderation of the Direct Path | Moderation of the First Half | Moderation of the Second Half | |||||
|---|---|---|---|---|---|---|---|---|
| β | p | β | p | β | p | β | p | |
| Middle School | Reactive Agg | Reactive Agg | Self-Control | Reactive Agg | ||||
| Gender | 0.14 | =0.003 ** | 0.06 | =0.86 | −0.01 | =0.83 | 0.04 | =0.14 |
| Age | −0.01 | =0.72 | −0.03 | =0.52 | −0.03 | =0.36 | 0.001 | =0.95 |
| Grade | 0.10 | =0.020 ** | 0.03 | =0.95 | −0.03 | =0.28 | 0.03 | =0.25 |
| Number of Siblings | 0.03 | =0.67 | 0.03 | =0.88 | −0.01 | =0.81 | −0.006 | =0.82 |
| Parental monthly income | −0.001 | =0.99 | 0.01 | =0.95 | 0.04 | =0.28 | −0.02 | =0.05 |
| Parental educational level | 0.07 | =0.28 | −0.01 | =0.98 | −0.04 | =0.24 | 0.02 | =0.47 |
| Spirituality | −0.10 | =0.55 | −0.68 | <0.001 *** | −0.08 | =0.58 | 0.05 | =0.08 |
| Self-Control | −0.40 | =0.001 *** | 0.15 | <0.001 *** | −0.94 | <0.001 *** | ||
| School Climate | −1.0 | <0.001 *** | −0.31 | =0.11 | −0.93 | <0.001 *** | ||
| Spirituality X School Climate | 0.24 | <0.001 *** | 0.16 | =0.001 *** | ||||
| Self-Control X School Climate | 0.25 | <0.0010 *** | ||||||
| R2 | 0.22 | 0.25 | 0.33 | 0.20 | ||||
| Mediation Model | Moderation of the Direct Path | Moderation of the First Half | Moderation of the Second Half | |||||
|---|---|---|---|---|---|---|---|---|
| β | p | β | p | β | p | β | p | |
| Middle School | Reactive Agg | Reactive Agg | Self-Control | Reactive Agg | ||||
| Gender | 0.15 | <0.001 *** | 0.09 | =0.004 ** | −0.05 | =0.005 ** | 0.03 | <0.001 *** |
| Age | −0.03 | =0.45 | −0.02 | =0.40 | 0.02 | =0.55 | −0.01 | =0.58 |
| Grade | −0.02 | =0.72 | −0.02 | =0.84 | 0.03 | =0.020 | −0.01 | =0.63 |
| Number of Siblings | −0.03 | =0.52 | −0.004 | =0.80 | 0.001 | =0.96 | −0.01 | =0.37 |
| Parental monthly income | 0.05 | =0.16 | 0.02 | =0.21 | −0.01 | =0.65 | 0.01 | =0.71 |
| Parental educational level | −0.03 | =0.70 | −0.01 | =0.72 | 0.03 | =0.12 | −0.004 | =0.86 |
| Spirituality | 0.23 | <0.001 *** | 0.05 | =0.58 | −0.72 | <0.001 *** | 0.16 | <0.001 *** |
| Self-Control | −0.54 | <0.001 *** | −0.16 | <0.001 *** | −0.25 | =0.049 * | ||
| School Climate | −0.28 | =0.02 ** | −1.38 | <0.001 *** | −0.24 | =0.09 | ||
| Spirituality X School Climate | 0.04 | =0.19 | 0.39 | <0.001 *** | ||||
| Self-Control X School Climate | 0.03 | =0.43 | ||||||
| R2 | 0.29 | 0.12 | 0.39 | 0.12 | ||||
| Mediation Model | Moderation of the Direct Path | Moderation of the First Half | Moderation of the Second Half | |||||
|---|---|---|---|---|---|---|---|---|
| β | p | β | p | β | p | β | p | |
| Middle School | Reactive Agg | Reactive Agg | Self-Control | Reactive Agg | ||||
| Gender | 0.18 | <0.001 *** | 0.15 | <0.001 *** | −0.03 | =0.03 * | 0.10 | <0.001 *** |
| Age | 0.10 | =0.25 | 0.09 | =0.26 | 0.02 | =0.43 | 0.01 | =0.53 |
| Grade | −0.04 | =0.44 | −0.03 | =0.51 | −0.01 | =0.52 | −0.01 | =0.60 |
| Number of Siblings | −0.02 | =0.53 | −0.02 | =0.57 | 0.02 | =0.23 | 0.004 | =0.74 |
| Parental monthly income | −0.05 | =0.12 | −0.03 | =0.39 | 0.01 | =0.39 | −0.004 | =0.74 |
| Parental educational level | 0.04 | =0.34 | 0.02 | =0.68 | −0.01 | =0.66 | 0.02 | =0.16 |
| Spirituality | −0.10 | =0.19 | −0.39 | <0.001 *** | −0.66 | <0.001 *** | −0.01 | =0.64 |
| Self-Control | −0.26 | =0.02 * | −0.10 | <0.001 *** | −0.27 | =0.02 * | ||
| School Climate | −0.65 | <0.001 *** | −0.95 | <0.001 *** | −0.32 | =0.01 ** | ||
| Spirituality X School Climate | 0.13 | <0.001 *** | 0.32 | <0.001 *** | ||||
| Self-Control X School Climate | 0.06 | =0.09 | ||||||
| R2 | 0.13 | 0.08 | 0.31 | 0.06 | ||||
| College | Reactive Agg | Reactive Agg | Reactive Agg | |||||
| Gender | 0.17 | <0.001 *** | 0.15 | <0.001 *** | 0.09 | =0.002 ** | ||
| Age | 0.13 | =0.04 | 0.12 | =0.04 | 0.02 | =0.26 | ||
| Grade | −0.05 | =0.28 | −0.04 | =0.34 | −0.02 | =0.42 | ||
| Number of Siblings | −0.04 | =0.28 | −0.03 | =0.30 | 0.003 | =0.83 | ||
| Parental monthly income | 0.06 | =0.04 * | 0.04 | =0.16 | −0.004 | =0.77 | ||
| Parental educational level | 0.01 | =0.80 | −0.01 | =0.80 | 0.02 | =0.25 | ||
| Spirituality | 0.07 | =0.29 | −0.37 | <0.001 *** | −0.02 | =0.45 | ||
| Self-Control | −0.31 | =0.002 ** | −0.10 | <0.001 *** | −0.36 | =0.002 ** | ||
| School Climate | −0.59 | <0.001 *** | −0.39 | =0.002 ** | ||||
| Spirituality X School Climate | 0.13 | <0.001 *** | ||||||
| Self-Control X School Climate | 0.10 | =0.01 ** | ||||||
| R2 | 0.16 | 0.07 | 0.06 | |||||
Disclaimer/Publisher’s Note: The statements, opinions and data contained in all publications are solely those of the individual author(s) and contributor(s) and not of MDPI and/or the editor(s). MDPI and/or the editor(s) disclaim responsibility for any injury to people or property resulting from any ideas, methods, instructions or products referred to in the content. |
© 2023 by the authors. Licensee MDPI, Basel, Switzerland. This article is an open access article distributed under the terms and conditions of the Creative Commons Attribution (CC BY) license (https://creativecommons.org/licenses/by/4.0/).
Share and Cite
Li, S.; Nie, Y. Spirituality and Cyberaggression: Mediating and Moderating Effect of Self-Control and School Climate. Int. J. Environ. Res. Public Health 2023, 20, 2973. https://doi.org/10.3390/ijerph20042973
Li S, Nie Y. Spirituality and Cyberaggression: Mediating and Moderating Effect of Self-Control and School Climate. International Journal of Environmental Research and Public Health. 2023; 20(4):2973. https://doi.org/10.3390/ijerph20042973
Chicago/Turabian StyleLi, Shengnan, and Yangang Nie. 2023. "Spirituality and Cyberaggression: Mediating and Moderating Effect of Self-Control and School Climate" International Journal of Environmental Research and Public Health 20, no. 4: 2973. https://doi.org/10.3390/ijerph20042973
APA StyleLi, S., & Nie, Y. (2023). Spirituality and Cyberaggression: Mediating and Moderating Effect of Self-Control and School Climate. International Journal of Environmental Research and Public Health, 20(4), 2973. https://doi.org/10.3390/ijerph20042973

