Regional Transport of PM2.5 from Coal-Fired Power Plants in the Fenwei Plain, China
Abstract
1. Introduction
2. Materials and Methods
2.1. Study Area
2.2. Data Source
2.2.1. Emission Data
2.2.2. Meteorological Data
2.3. Air Quality Model
3. Results and Discussion
3.1. Verification of Meteorological Simulations
3.2. Spatial Distribution of PM2.5 Concentrations
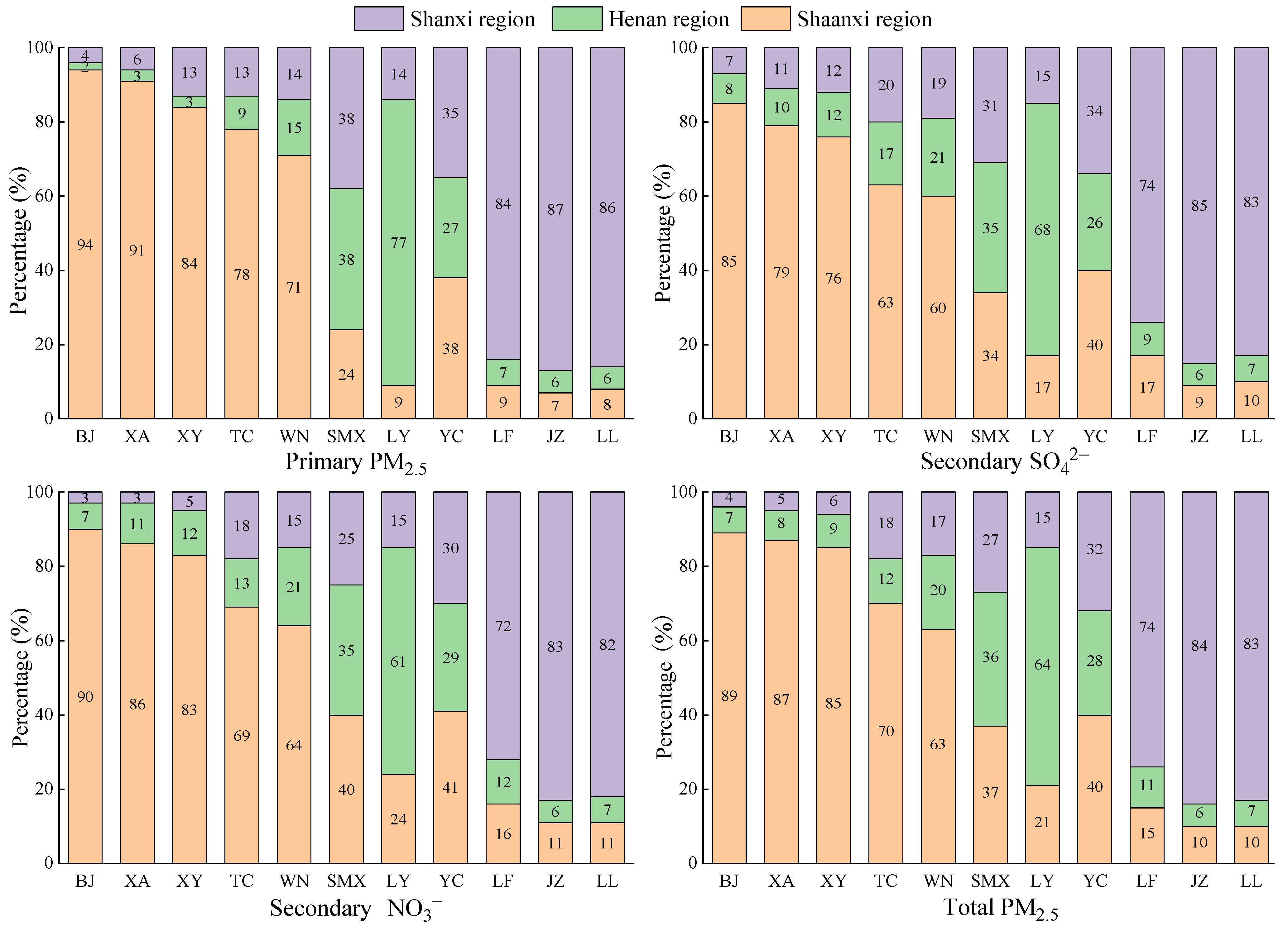
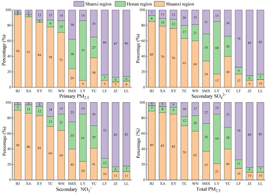
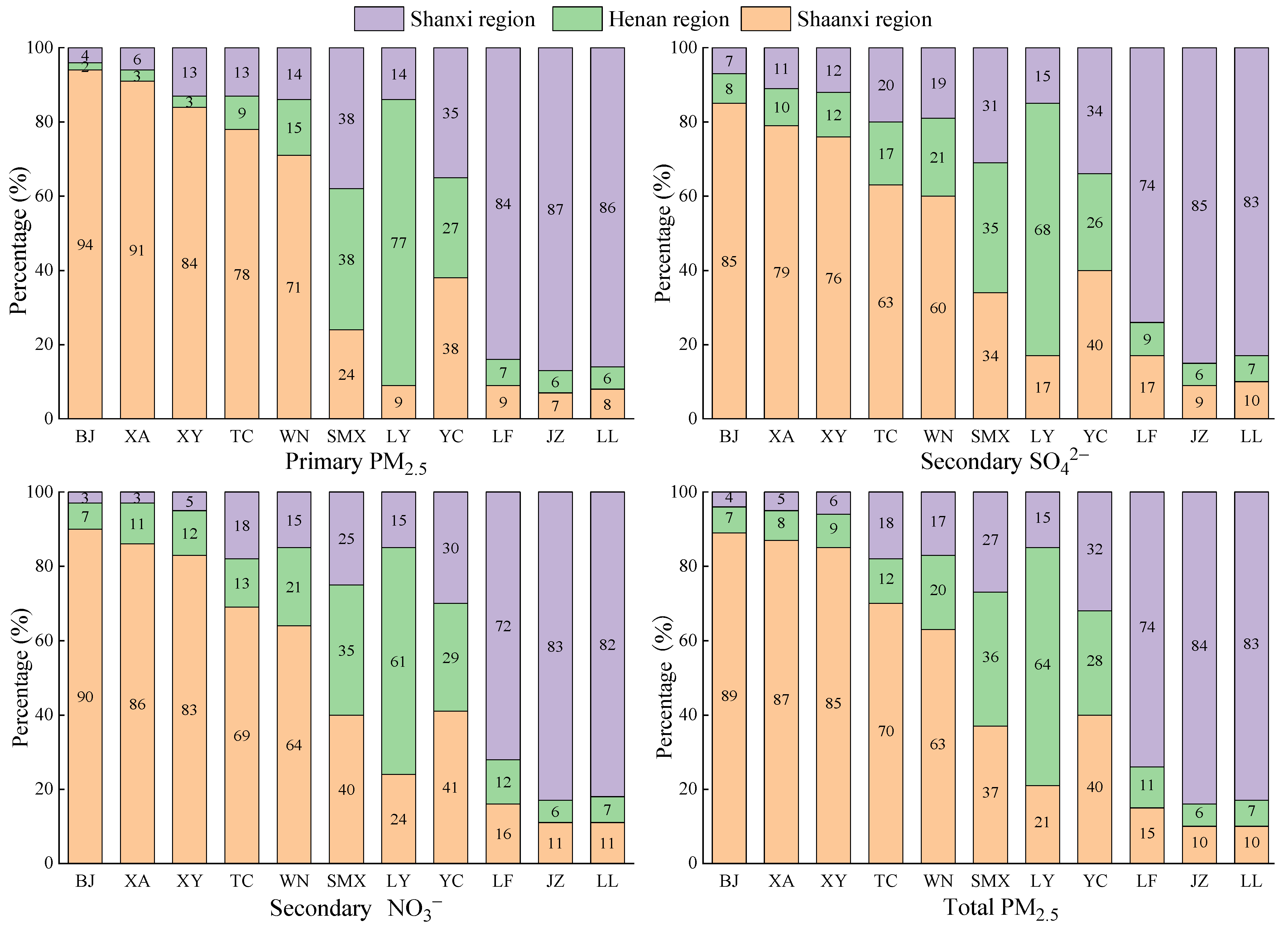
3.3. Contribution of Local Emissions and Regional Transport to PM2.5 Concentration
4. Conclusions
Author Contributions
Funding
Institutional Review Board Statement
Informed Consent Statement
Data Availability Statement
Acknowledgments
Conflicts of Interest
References
- Wang, G.; Deng, J.; Zhang, Y.; Jiang, J. Air pollutant emissions from coal-fired power plants in China over the past two decades. Sci. Total. Environ. 2020, 741, 140326. [Google Scholar] [CrossRef] [PubMed]
- Wang, Y.; Hu, H.; Wang, X.; Liu, H.; Dong, L.; Luo, G.; Yao, H. A critical review on lead migration, transformation and emission control in Chinese coal-fired power plants. J. Environ. Sci. 2023, 124, 397–413. [Google Scholar] [CrossRef] [PubMed]
- National Bureau of Statistics of China (NBSC). China Statistical Yearbook 2021. Available online: http://www.stats.gov.cn/tjsj/ndsj/2021/indexch.html (accessed on 8 May 2022).
- Chen, X.; Yang, T.; Wang, Z.; Hao, Y.; Sun, H. Investigating the impacts of coal-fired power plants on ambient PM2.5 by a combination of a chemical transport model and receptor model. Sci. Total. Environ. 2020, 727, 138407. [Google Scholar] [CrossRef] [PubMed]
- He, C.; Huang, G.; Liu, L.; Li, Y.; Cao, R. Assessment and offset of the adverse effects induced by PM2.5 from coal-fired power plants in China. J. Clean. Prod. 2021, 286, 125397. [Google Scholar] [CrossRef]
- Zhao, X.; Liu, Y.; Han, F.; Touseef, B.; Yue, Y.; Guo, J. Source profile and health risk assessment of PM2.5 from coal-fired power plants in Fuxin, China. Environ. Sci. Pollut. Res. 2021, 28, 40151–40159. [Google Scholar] [CrossRef]
- Tong, D.; Zhang, Q.; Davis, S.J.; Liu, F.; Zheng, B.; Geng, G.; Xue, T.; Li, M.; Hong, C.; Lu, Z.; et al. Targeted emission reductions from global super-polluting power plant units. Nat. Sustain. 2018, 1, 59–68. [Google Scholar] [CrossRef]
- Zheng, B.; Tong, D.; Li, M.; Liu, F.; Hong, C.; Geng, G.; Li, H.; Li, X.; Peng, L.; Qi, J.; et al. Trends in China’s anthropogenic emissions since 2010 as the consequence of clean air actions. Atmos. Chem. Phys. 2018, 18, 14095–14111. [Google Scholar] [CrossRef]
- Zhang, C.H.; Sears, L.; Myers, J.V.; Brock, G.N.; Sears, C.G.; Zierold, K.M. Proximity to coal-fired power plants and neurobehavioral symptoms in children. J. Expo. Sci. Environ. Epidemiol. 2022, 32, 124–134. [Google Scholar] [CrossRef]
- Saenen, N.D.; Provost, E.B.; Viaene, M.K.; Vanpoucke, C.; Lefebvre, W.; Vrijens, K.; Roels, H.A.; Nawrot, T.S. Recent versus chronic exposure to particulate matter air pollution in association with neurobehavioral performance in a panel study of primary schoolchildren. Environ. Int. 2016, 95, 112–119. [Google Scholar] [CrossRef]
- Kushta, J.; Paisi, N.; Gon, H.D.V.D.; Lelieveld, J. Disease burden and excess mortality from coal-fired power plant emissions in Europe. Environ. Res. Lett. 2021, 16, 045010. [Google Scholar] [CrossRef]
- Chai, G.; He, H.; Sha, Y.; Zong, S. Effect of PM2.5 on daily outpatient visits for respiratory diseases in Lanzhou, China. Sci. Total. Environ. 2019, 649, 1563–1572. [Google Scholar] [CrossRef] [PubMed]
- Sugiyama, T.; Ueda, K.; Seposo, X.T.; Nakashima, A.; Kinoshita, M.; Matsumoto, H.; Ikemori, F.; Honda, A.; Takano, H.; Michikawa, T.; et al. Health effects of PM2.5 sources on children’s allergic and respiratory symptoms in Fukuoka, Japan. Sci. Total. Environ. 2020, 709, 136023. [Google Scholar] [CrossRef] [PubMed]
- Lelieveld, J.; Klingmüller, K.; Pozzer, A.; Pöschl, U.; Fnais, M.; Daiber, A.; Münzel, T. Cardiovascular diseases burden from ambient air pollution in Europe reassessed using novel hazard ratio functions. Eur. Heart J. 2019, 40, 1590–1596. [Google Scholar] [CrossRef] [PubMed]
- Hayes, R.B.; Lim, C.; Zhang, Y.; Cromar, K.; Shao, Y.; Reynolds, H.R.; Silverman, D.T.; Jones, R.R.; Park, Y.; Jerrett, M. PM2.5 air pollution and cause-specific cardiovascular disease mortality. Int. J. Epidemiol. 2020, 49, 25–35. [Google Scholar] [CrossRef]
- Zhang, S.; Routledge, M.N. The contribution of PM2.5 to cardiovascular disease in China. Environ. Sci. Pollut. Res. 2020, 27, 37502–37513. [Google Scholar] [CrossRef]
- Akyuz, E.; Kaynak, B. Use of dispersion model and satellite SO2 retrievals for environmental impact assessment of coal-fired power plants. Sci. Total. Environ. 2019, 689, 808–819. [Google Scholar] [CrossRef]
- Schneider, L.; Rose, N.L.; Myllyvirta, L.; Haberle, S.; Lintern, A.; Yuan, J.; Sinclair, D.; Holley, C.; Zawadzki, A.; Sun, R. Mercury atmospheric emission, deposition and isotopic fingerprinting from major coal-fired power plants in Australia: Insights from palaeo-environmental analysis from sediment cores. Environ. Pollut. 2021, 287, 117596. [Google Scholar] [CrossRef]
- Zheng, C.; Li, X.; Li, J.; Duan, J.; Wu, H.; Zhu, F. Investigation on the ammonia emission characteristics in coal-fired power plants of China. Fuel 2022, 314, 123046. [Google Scholar] [CrossRef]
- Shen, J.; Zheng, C.; Xu, L.; Zhang, Y.; Zhang, Y.; Liu, S.; Gao, X. Atmospheric emission inventory of SO3 from coal-fired power plants in China in the period 2009–2014. Atmos. Environ. 2019, 197, 14–21. [Google Scholar] [CrossRef]
- Peng, Y.; Yang, Q.; Wang, L.; Wang, S.; Li, J.; Zhang, X.; Zhang, S.; Zhao, H.; Zhang, B.; Wang, C.; et al. VOC emissions of coal-fired power plants in China based on life cycle assessment method. Fuel 2021, 292, 120325. [Google Scholar] [CrossRef]
- Contini, D.; Cesari, D.; Conte, M.; Donateo, A. Application of PMF and CMB receptor models for the evaluation of the contribution of a large coal-fired power plant to PM10 concentrations. Sci. Total. Environ. 2016, 560, 131–140. [Google Scholar] [CrossRef] [PubMed]
- Cesari, D.; Merico, E.; Grasso, F.M.; Dinoi, A.; Conte, M.; Genga, A.; Siciliano, M.; Petralia, E.; Stracquadanio, M.; Contini, D. Analysis of the contribution to PM10 concentrations of the largest coal-fired power plant of Italy in four different sites. Atmos. Pollut. Res. 2021, 12, 101135. [Google Scholar] [CrossRef]
- Bautista, L.R. Impacto cardiovascular del PM2.5 procedente de las emisiones de las centrales térmicas de carbón en España durante el año 2014. Med. Clín. 2019, 153, 100–105. [Google Scholar] [CrossRef]
- Levy, J.I.; Spengler, J.D.; Hlinka, D.; Sullivan, D.; Moon, D. Using CALPUFF to evaluate the impacts of power plant emissions in Illinois: Model sensitivity and implications. Atmos. Environ. 2002, 36, 1063–1075. [Google Scholar] [CrossRef]
- Zhou, Y.; Levy, J.I.; Hammitt, J.K.; Evans, J.S. Estimating population exposure to power plant emissions using CALPUFF: A case study in Beijing, China. Atmos. Environ. 2003, 37, 815–826. [Google Scholar] [CrossRef]
- Mangia, C.; Cervino, M.; Gianicolo, E.A.L. Secondary particulate matter originating from an industrial source and its impact on population health. Int. J. Environ. Res. Public Health 2015, 12, 7667–7681. [Google Scholar] [CrossRef] [PubMed]
- Changotra, R.; Rajput, H.; Dhir, A. Comparative study of air pollution modeling techniques from point source (s) of thermal power plant. Environ. Model. Assess. 2020, 25, 531–543. [Google Scholar] [CrossRef]
- Dresser, A.L.; Huizer, R.D. CALPUFF and AERMOD model validation study in the near field: Martins Creek revisited. J. Air Waste Manag. Assoc. 2011, 61, 647–659. [Google Scholar] [CrossRef]
- Guttikunda, S.K.; Jawahar, P. Atmospheric emissions and pollution from the coal-fired thermal power plants in India. Atmos. Environ. 2014, 92, 449–460. [Google Scholar] [CrossRef]
- Hu, J.; Huang, L.; Chen, M.; He, G.; Zhang, H. Impacts of power generation on air quality in China—Part II: Future scenarios. Resour. Conserv. Recycl. 2017, 121, 115–127. [Google Scholar] [CrossRef]
- Shi, Z.; Li, J.; Huang, L.; Wang, P.; Wu, L.; Ying, Q.; Zhang, H.; Lu, L.; Liu, X.; Liao, H.; et al. Source apportionment of fine particulate matter in China in 2013 using a source-oriented chemical transport model. Sci. Total. Environ. 2017, 601, 1476–1487. [Google Scholar] [CrossRef] [PubMed]
- Chang, X.; Wang, S.; Zhao, B.; Xing, J.; Liu, X.; Wei, L.; Song, Y.; Wu, W.; Cai, S.; Zheng, H.; et al. Contributions of inter-city and regional transport to PM2.5 concentrations in the Beijing-Tianjin-Hebei region and its implications on regional joint air pollution control. Sci. Total. Environ. 2019, 660, 1191–1200. [Google Scholar] [CrossRef] [PubMed]
- Hao, J.; Wang, L.; Shen, M.; Li, L.; Hu, J. Air quality impacts of power plant emissions in Beijing. Environ. Pollut. 2007, 147, 401–408. [Google Scholar] [CrossRef]
- He, J.; Zhang, L.; Yao, Z.; Che, H.; Gong, S.; Wang, M.; Zhao, M.; Jing, B. Source apportionment of particulate matter based on numerical simulation during a severe pollution period in Tangshan, North China. Environ. Pollut. 2020, 266, 115133. [Google Scholar] [CrossRef]
- Wu, Y.; Wang, P.; Yu, S.; Wang, L.; Li, P.; Li, Z.; Mehmood, K.; Liu, W.; Wu, J.; Lichtfouse, E.; et al. Residential emissions predicted as a major source of fine particulate matter in winter over the Yangtze River Delta, China. Environ. Chem. Lett. 2018, 16, 1117–1127. [Google Scholar] [CrossRef]
- Yin, X.; Huang, Z.; Zheng, J.; Yuan, Z.; Zhu, W.; Huang, X.; Chen, D. Source contributions to PM2.5 in Guangdong province, China by numerical modeling: Results and implications. Atmos. Res. 2017, 186, 63–71. [Google Scholar] [CrossRef]
- Huang, R.J.; Zhang, Y.; Bozzetti, C.; Ho, K.F.; Cao, J.J.; Han, Y.; Daellenbach, K.R.; Slowik, J.G.; Platt, S.M.; Canonaco, F.; et al. High secondary aerosol contribution to particulate pollution during haze events in China. Nature 2014, 514, 218–222. [Google Scholar] [CrossRef]
- Ministry of Ecology and Environment (MEE) of the People’s Republic of China. Announcement on the State of China’s Ecological Environment in 2018. Available online: https://www.mee.gov.cn/hjzl/sthjzk/zghjzkgb/201905/P020190619587632630618.pdf (accessed on 25 May 2022).
- Chinese State Council (CSC). Three-Year Action Plan to Fight air Pollution. Available online: http://www.gov.cn/zhengce/content/2018-07/03/content_5303158.htm (accessed on 5 April 2022).
- Cao, J.J.; Cui, L. Current status, characteristics and causes of particulate air pollution in the Fenwei Plain, China: A review. J. Geophys. Res. Atmos. 2021, 126, e2020JD034472. [Google Scholar] [CrossRef]
- Dong, Z.; Li, L.; Lei, Y.; Wu, S.; Yan, D.; Chen, H. The economic loss of public health from PM2.5 pollution in the Fenwei Plain. Environ. Sci. Pollut. Res. 2021, 28, 2415–2425. [Google Scholar] [CrossRef]
- Xu, Y.; Hu, J.; Ying, Q.; Hao, H.; Wang, D.; Zhang, H. Current and future emissions of primary pollutants from coal-fired power plants in Shaanxi, China. Sci. Total. Environ. 2017, 595, 505–514. [Google Scholar] [CrossRef]
- Holnicki, P.; Kałuszko, A.; Trapp, W. An urban scale application and validation of the CALPUFF model. Atmos. Pollut. Res. 2016, 7, 393–402. [Google Scholar] [CrossRef]
- Li, X.; Hussain, S.A.; Sobri, S.; Said, M.S.M. Overviewing the air quality models on air pollution in Sichuan Basin, China. Chemosphere 2021, 271, 129502. [Google Scholar] [CrossRef] [PubMed]
- Huang, D.; Guo, H. Dispersion modeling of odour, gases, and respirable dust using AERMOD for poultry and dairy barns in the Canadian Prairies. Sci. Total. Environ. 2019, 690, 620–628. [Google Scholar] [CrossRef] [PubMed]
- Abdul-Wahab, S.; Fadlallah, S.; Al-Rashdi, M. Evaluation of the impact of ground-level concentrations of SO2, NOx, CO, and PM10 emitted from a steel melting plant on Muscat, Oman. Sustain. Cities Soc. 2018, 38, 675–683. [Google Scholar] [CrossRef]
- Lee, H.D.; Yoo, J.W.; Kang, M.K.; Kang, J.S.; Jung, J.H.; Oh, K.J. Evaluation of concentrations and source contribution of PM10 and SO2 emitted from industrial complexes in Ulsan, Korea: Interfacing of the WRF-CALPUFF modeling tools. Atmos. Pollut. Res. 2014, 5, 664–676. [Google Scholar] [CrossRef]
- Ferreira, J.; Rodriguez, A.; Monteiro, A.; Miranda, A.I.; Dios, M.; Souto, J.A.; Yarwood, G.; Nopmongcol, U.; Borrego, C. Air quality simulations for North America-MM5-CAMx modelling performance for main gaseous pollutants. Atmos. Environ. 2012, 53, 212–224. [Google Scholar] [CrossRef]
- Chen, D.; Xia, L.; Guo, X.; Lang, J.; Zhou, Y.; Wei, L.; Fu, X. Impact of inter-annual meteorological variation from 2001 to 2015 on the contribution of regional transport to PM2.5 in Beijing, China. Atmos. Environ. 2021, 260, 118545. [Google Scholar] [CrossRef]
- Unites States Environment Protection Agency (US EPA). Air Quality Dispersion Modeling—Preferred and Recommended Models. Available online: https://www.epa.gov/sites/default/files/2020-09/documents/appw_17.pdf (accessed on 13 April 2022).
- Scire, J.S.; Strimaitis, D.G.; Yamartino, R.J. A User’s Guide for the CALPUFF Dispersion Model (Version 5.0); Earth Tech Inc.: Concord, MA, USA, 2000; Available online: http://www.src.com/calpuff/download/CALPUFF_UsersGuide.pdf (accessed on 3 April 2022).
- Kumar, A.; Patil, R.S.; Dikshit, A.K.; Kumar, R. Application of WRF model for air quality modelling and AERMOD—A survey. Aerosol. Air Qual. Res. 2017, 17, 1925–1937. [Google Scholar] [CrossRef]
- Cipagauta, C.; Mendoza, B.; Zavala-Hidalgo, J. Sensitivity of the surface temperature to changes in total solar irradiance calculated with the WRF model. Geofís. Int. 2014, 53, 153–162. [Google Scholar] [CrossRef]
- Guo, D.; Wang, R.; Zhao, P. Spatial distribution and source contributions of PM2.5 concentrations in Jincheng, China. Atmos. Pollut. Res. 2020, 11, 1281–1289. [Google Scholar] [CrossRef]
- Zawar-Reza, P.; Kingham, S.; Pearce, J. Evaluation of a year-long dispersion modelling of PM10 using the mesoscale model TAPM for Christchurch, New Zealand. Sci. Total. Environ. 2005, 349, 249–259. [Google Scholar] [CrossRef] [PubMed]
- Levy, I.; Mahrer, Y.; Dayan, U. Coastal and synoptic recirculation affecting air pollutants dispersion: A numerical study. Atmos. Environ. 2009, 43, 1991–1999. [Google Scholar] [CrossRef]
- Wu, H.; Zhang, Y.; Yu, Q.; Ma, W. Application of an integrated Weather Research and Forecasting (WRF)/CALPUFF modeling tool for source apportionment of atmospheric pollutants for air quality management: A case study in the urban area of Benxi, China. J. Air Waste Manag. Assoc. 2018, 68, 347–368. [Google Scholar] [CrossRef] [PubMed]
- Xu, J.S.; Xu, M.X.; Snape, C.; He, J.; Behera, S.N.; Xu, H.H.; Ji, D.S.; Wang, C.J.; Yu, H.; Xiao, H.; et al. Temporal and spatial variation in major ion chemistry and source identification of secondary inorganic aerosols in Northern Zhejiang Province, China. Chemosphere 2017, 179, 316–330. [Google Scholar] [CrossRef]
- Feng, J.; Yu, H.; Mi, K.; Su, X.; Li, Y.; Li, Q.; Sun, J. One year study of PM2.5 in Xinxiang city, North China: Seasonal characteristics, climate impact and source. Ecotoxicol. Environ. Saf. 2018, 154, 75–83. [Google Scholar] [CrossRef] [PubMed]
- Deng, X.L.; Shi, C.E.; Wu, B.W.; Yang, Y.J.; Jin, Q.; Wang, H.L.; Zhu, S.; Yu, C. Characteristics of the water-soluble components of aerosol particles in Hefei, China. J. Environ. Sci. 2016, 42, 32–40. [Google Scholar] [CrossRef]
- Ding, J.; Dai, Q.; Zhang, Y.; Xu, J.; Huangfu, Y.; Feng, Y. Air humidity affects secondary aerosol formation in different pathways. Sci. Total. Environ. 2021, 759, 143540. [Google Scholar] [CrossRef]
- Zhang, T.; Shen, Z.X.; Su, H.; Liu, S.X.; Zhou, J.M.; Zhao, Z.Z.; Wang, Q.Y.; Prévôt, A.S.H.; Cao, J.J. Effects of Aerosol Water Content on the formation of secondary inorganic aerosol during a winter heavy PM2.5 pollution episode in Xi’an, China. Atmos. Environ. 2021, 252, 118304. [Google Scholar] [CrossRef]
- Yang, X.; Xiao, H.; Wu, Q.; Wang, L.; Guo, Q.; Cheng, H.; Wang, R.; Tang, Z. Numerical study of air pollution over a typical basin topography: Source appointment of fine particulate matter during one severe haze in the megacity Xi’an. Sci. Total. Environ. 2020, 708, 135213. [Google Scholar] [CrossRef]







| Region | Primary PM2.5 | SO2 | NOx |
|---|---|---|---|
| Shaanxi | 476.47 | 4154.67 | 8321.46 |
| Henan | 136.80 | 2172.29 | 4218.63 |
| Shanxi | 345.38 | 4818.52 | 8728.74 |
| Parameterization Scheme | Scheme Name |
|---|---|
| Solar radiation scheme | Dudhia scheme |
| Longwave radiation scheme | Rapid Radiative Transfer Model (RRTM) |
| Land surface process | Noah Land Surface Model |
| Boundary layer scheme | Asymmetric Convective Model 2.0 (ACM2) |
| Microphysics scheme | WRF Single-Moment 6-class (WSM6) scheme |
| Cumulus convection scheme | Kain–Fritsch scheme |
| Model Parameter | Parameter Settings |
|---|---|
| Model version | 6.42 |
| Domain size | 630 km × 546 km |
| Map projection | Lambert conic conformal |
| Plume rise | Transitional plume rise modeled/partial plume penetration modeled: point sources |
| Plume element modeled | Puff |
| Chemical transformation method | MESOPUFF II |
| Dispersion option | Turbulence computed from micrometeorology |
| Terrain adjustment | ISC terrain adjustment scheme |
| Deposition | Vertical Structure and Mass Depletion/Resistance Deposition Model |
| Initial and boundary conditions | Default |
Disclaimer/Publisher’s Note: The statements, opinions and data contained in all publications are solely those of the individual author(s) and contributor(s) and not of MDPI and/or the editor(s). MDPI and/or the editor(s) disclaim responsibility for any injury to people or property resulting from any ideas, methods, instructions or products referred to in the content. |
© 2023 by the authors. Licensee MDPI, Basel, Switzerland. This article is an open access article distributed under the terms and conditions of the Creative Commons Attribution (CC BY) license (https://creativecommons.org/licenses/by/4.0/).
Share and Cite
Lu, P.; Deng, S.; Li, G.; Tuheti, A.; Liu, J. Regional Transport of PM2.5 from Coal-Fired Power Plants in the Fenwei Plain, China. Int. J. Environ. Res. Public Health 2023, 20, 2170. https://doi.org/10.3390/ijerph20032170
Lu P, Deng S, Li G, Tuheti A, Liu J. Regional Transport of PM2.5 from Coal-Fired Power Plants in the Fenwei Plain, China. International Journal of Environmental Research and Public Health. 2023; 20(3):2170. https://doi.org/10.3390/ijerph20032170
Chicago/Turabian StyleLu, Pan, Shunxi Deng, Guanghua Li, Abula Tuheti, and Jiayao Liu. 2023. "Regional Transport of PM2.5 from Coal-Fired Power Plants in the Fenwei Plain, China" International Journal of Environmental Research and Public Health 20, no. 3: 2170. https://doi.org/10.3390/ijerph20032170
APA StyleLu, P., Deng, S., Li, G., Tuheti, A., & Liu, J. (2023). Regional Transport of PM2.5 from Coal-Fired Power Plants in the Fenwei Plain, China. International Journal of Environmental Research and Public Health, 20(3), 2170. https://doi.org/10.3390/ijerph20032170
