The Inverse Log-Rank Test: A Versatile Procedure for Late Separating Survival Curves
Abstract
:1. Introduction
2. Materials and Methods
2.1. Preliminaries
2.1.1. Hypergeometric Framework for Survival Time Data
- = # of events at () in Group 1;
- = # of events at () in Group 2;
- = + ;
- = # of participants available at () in Group 1;
- = # of participants available at () in Group 2;
- = + .
2.1.2. Expectation and Variance
2.1.3. Large Sample Properties
2.1.4. Useful Approximations, Bounds, and Recursive Formulas
2.2. Weighted Log-Rank Test
2.3. Selection of Weights
2.4. Inverse Log-Rank Test
2.5. Split-Range Test
2.6. Computational Details
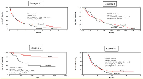
3. Examples
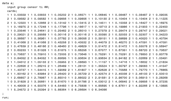
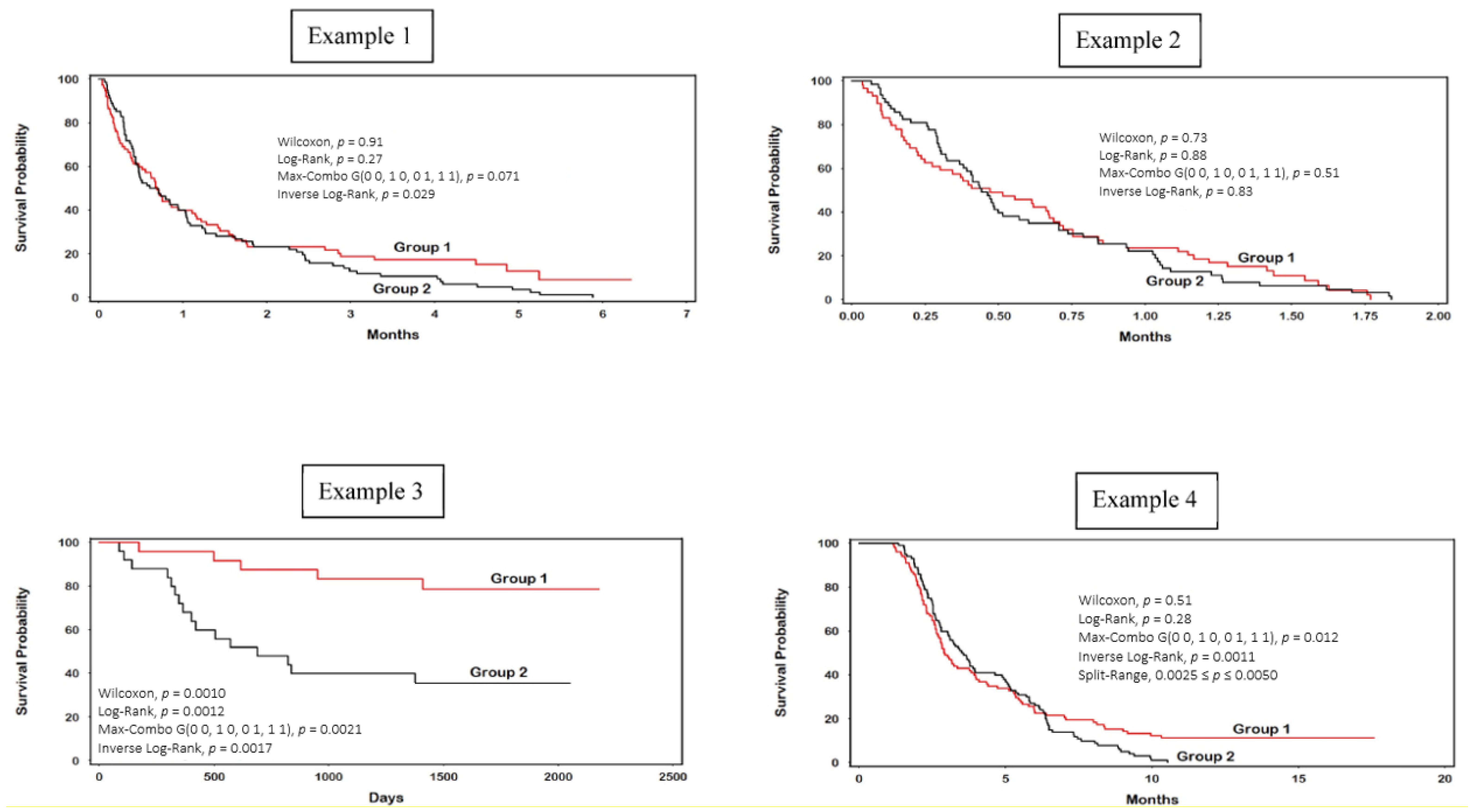
3.1. Example 1
3.2. Example 2
3.3. Example 3
3.4. Example 4
3.5. Comparison with the Cox Regression Model
4. Sample Size and Power
4.1. Sample Size and Power Methodology
4.2. Sample Size and Power Example
5. Discussion
5.1. Overview
5.2. Efficiency
5.3. Power
5.3.1. Lakatos–Cantor Method for Computing Power
5.3.2. Interim Power and Sample Size Re-Estimation
5.4. Limitations
5.4.1. Potential Sources of Bias
5.4.2. Sparseness of Data and Small Sample Sizes
5.4.3. Computational Barriers
5.5. Future Directions
6. Conclusions
Funding
Institutional Review Board Statement
Informed Consent Statement
Data Availability Statement
Acknowledgments
Conflicts of Interest
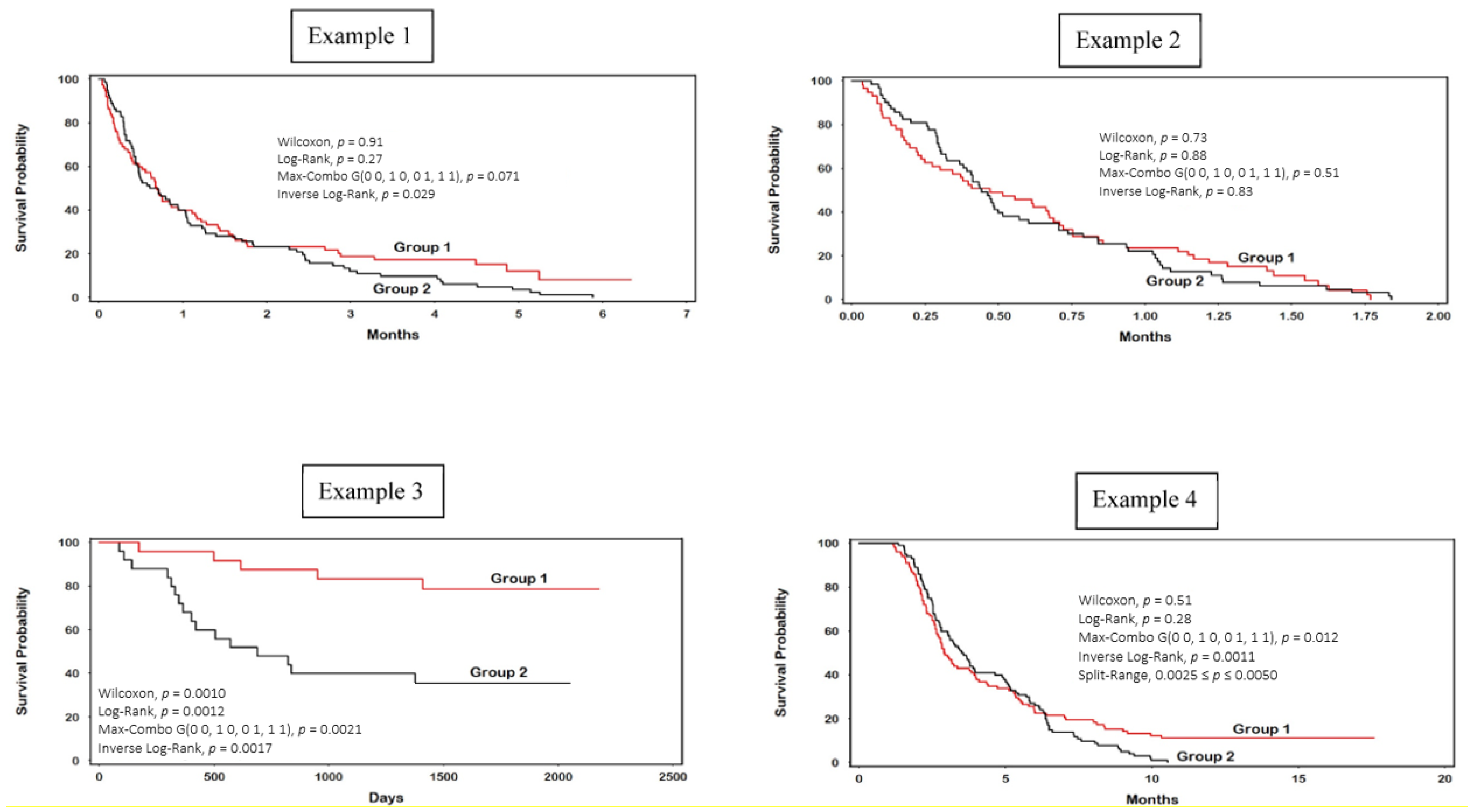
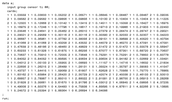
Appendix A. SAS Code for Inverse Log-Rank Test



Appendix B. Data Set for Example 1

References
- Ananthakrishnan, R.; Green, S.; Previtali, A.; Liu, R.; Li, D.; LaValley, M. Critical review of oncology clinical trial design under non-proportional hazards. Crit. Rev. Oncol. Hematol. 2021, 162, 103350. [Google Scholar] [CrossRef] [PubMed]
- Fradet, Y.; Bellmunt, J.; Vaughn, D.J.; Lee, J.L.; Fong, L.; Vogelzang, N.J.; Climent, M.A.; Petrylak, D.P.; Choueiri, T.K.; Necchi, A.; et al. Randomized phase III KEYNOTE-045 trial of pembrolizumab versus paclitaxel, docetaxel, or vinflunine in recurrent advanced urothelial cancer: Results of >2 years of follow-up. Ann. Oncol. 2019, 30, 970–976. [Google Scholar] [CrossRef] [PubMed]
- Ascierto, P.A.; Del Vecchio, M.; Robert, C.; Mackiewicz, A.; Chiarion-Sileni, V.; Arance, A.; Lebbé, C.; Bastholt, L.; Hamid, O.; Rutkowski, P.; et al. Ipilimumab 10 mg/kg versus ipilimumab 3 mg/kg in patients with unresectable or metastatic melanoma: A randomised, double-blind, multicentre, phase 3 trial. Lancet Oncol. 2017, 18, 611–622. [Google Scholar] [CrossRef] [PubMed]
- Borghaei, H.; Paz-Ares, L.; Horn, L.; Spigel, D.R.; Steins, M.; Ready, N.E.; Chow, L.Q.; Vokes, E.E.; Felip, E.; Holgado, E.; et al. Nivolumab versus Docetaxel in Advanced Nonsquamous Non-Small-Cell Lung Cancer. N. Engl. J. Med. 2015, 373, 1627–1639. [Google Scholar] [CrossRef] [PubMed]
- Schoenfeld, D. The asymptotic properties of nonparametric tests for comparing survival distributions. Biometrika 1981, 68, 316–319. [Google Scholar] [CrossRef]
- Wu, L.; Gilbert, P.B. Flexible weighted log-rank tests optimal for detecting early and/or late survival differences. Biometrics 2002, 58, 997–1004. [Google Scholar] [CrossRef] [PubMed]
- Public Workshop. Oncology Clinical Trials in the Presence of Non-Proportional Hazards; Duke-Margolis Health Policy Center: Washington, DC, USA, 2018. [Google Scholar]
- Lee, S.-H. On the versatility of the combination of the weighted log-rank statistics. Comput. Stat. Data Anal. 2007, 51, 6557–6564. [Google Scholar] [CrossRef]
- Fleming, T.R.; Harrington, D.P.; O’Sullivan, M. Supremum versions of the log-rank and generalized Wilcoxon statistics. JASA 1987, 82, 312–320. [Google Scholar] [CrossRef]
- Peto, R.; Peto, J. Asymptotically efficient rank invariant test procedures. J. R. Stat. Soc. 1972, 135, 185–207. [Google Scholar] [CrossRef]
- Cox, D.R.; Oakes, D. Analysis of Survival Data; CRC Press: Boca Raton, FL, USA, 1984. [Google Scholar]
- Magirr, D. Non-proportional hazards in immuno-oncology: Is an old perspective needed? Pharm. Stat. 2021, 20, 512–527. [Google Scholar] [CrossRef]
- Lindgren, B. Statistical Theory, 2nd ed.; The Macmillan Company: Toronto, ON, Canada, 1968. [Google Scholar]
- Guenther, W. Sampling Inspection in Statistical Quality Control; Macmillian Publishing Co., Inc.: New York, NY, USA, 1977. [Google Scholar]
- Collett, D. Modelling Survival Data in Medical Research, 3rd ed.; CRC Press: Boca Raton, FL, USA, 2015. [Google Scholar]
- Fowobaje, K.; Wegbom, A.; Aboko, I.; Jolayemi, E.T. Testing the approximation of hypergeometric distribution by the binomial distribution. IOSR J. Math. 2016, 12, 10–16. [Google Scholar] [CrossRef]
- Mood, A.; Graybill, F.; Boes, D. Introduction to the Theory of Statistics, 3rd ed.; McGraw-Hill Book Company: New York, NY, USA, 1974. [Google Scholar]
- Woodroofe, M. Probability with Applications; Mc Graw-Hill, Inc.: New York, NY, USA, 1975. [Google Scholar]
- Rivals, I.; Personnaz, L.; Taing, L.; Potier, M.C. Enrichment or depletion of a GO category within a class of genes: Which test? Bioinformatics 2007, 23, 401–407. [Google Scholar] [CrossRef] [PubMed]
- Jäntschi, L. Formulas, algorithms and examples for binomial distributed data confidence interval calculation: Excess risk, relative risk and odds ratio. Mathematics 2021, 9, 2506. [Google Scholar] [CrossRef]
- Bass, R.F.; Ruiz, P.A.; Baudoin, F.; Gordina, M.; Mariano, P.; Mostovyi, O.; Sengupta, A.; Teplyaev, A.; Valdez, E. Upper Level Undergraduate Probability with Actuarial and Financial Applications; University of Connecticut Department of Mathematics: Storrs, CT, USA, 2020. [Google Scholar]
- Feller, W. Introduction to Probability Theory and Its Application, 3rd ed.; John Wiley & Sons: Hoboken, NJ, USA, 1968. [Google Scholar]
- Mantel, N. Evaluation of survival data and two new rank order statistics arising in its consideration. Cancer Chemother. Rep. 1966, 50, 163–170. [Google Scholar] [PubMed]
- Prentice, R.L. Linear rank tests with right censored data. Biometrika 1978, 65, 167–179. [Google Scholar] [CrossRef]
- O’Quigley, J. Survival Analysis; Springer: New York, NY, USA, 2021. [Google Scholar]
- Lin, R.S.; León, L.F. Estimation of treatment effects in weighted log-rank tests. Contemp. Clin. Trials Commun. 2017, 8, 147–155. [Google Scholar] [CrossRef]
- Mehrotra, K.G.; Michalek, J.E.; Mihalko, D. A relationship between two forms of linear rank procedures for censored data. Biometrika 1982, 69, 674–676. [Google Scholar] [CrossRef]
- De-Mei, Y.; Li-Ran, W.; Lan, L. Conditional central limit theorems for a sequence of conditional independent random variables. J. Korean Math. Soc. 2014, 51, 1–15. [Google Scholar] [CrossRef]
- Fleming, T.R.; Harrington, D.P. A class of hypothesis tests for one and two sample censored survival data. Commun. Stat. Theory Methods 1981, 10, 763–794. [Google Scholar] [CrossRef]
- Garès, V.; Andrieu, S.; Dupuy, J.-F.; Savy, N. On the Fleming–Harrington test for late effects in prevention randomized controlled trials. J. Stat. Theory Pract. 2017, 11, 418–435. [Google Scholar] [CrossRef]
- Wu, J. Sample size calculation for testing differences between cure rates with the optimal log-rank test. J. Biopharm. Stat. 2017, 27, 124–134. [Google Scholar] [CrossRef] [PubMed]
- Ying, Z. Linear rank statistics for truncated data. Biometrika 1990, 77, 909–914. [Google Scholar] [CrossRef]
- Rebolledo, R. Central limit theorems for local martingales. Z. Für Wahrscheinlichkeitstheorie Und Verwandte Geb. 1980, 51, 269–286. [Google Scholar] [CrossRef]
- Dey, P.S.; Terlov, G. Stein’s method for conditional central limit theorem. Ann. Probab. 2023, 51, 723–773. [Google Scholar] [CrossRef]
- Stein, C. A bound for the error in the normal approximation to the distribution of a sum of dependent random variables. In Proceedings of the Sixth Berkeley Symposium on Mathematical Statistics and Probability, Berkeley, CA, USA, 16–21 June 1971; Volume 2, Probability Theory. pp. 583–602. [Google Scholar]
- Lee, J.W. Some versatile tests based on the simultaneous use of weighted log-rank statistics. Biometrics 1996, 52, 721–725. [Google Scholar] [CrossRef]
- Lin, R.; Lin, J.; Roychoudhury, S.; Anderson, K.; Hu, T.; Huang, B.; Leon, L.; Liao, J.; Liu, R.; Luo, X.; et al. Alternative analysis methods for time to event endpoints under nonproportional hazards: A comparative analysis. Stat. Biopharm. Res. 2019, 12, 187–198. [Google Scholar] [CrossRef]
- Yang, S.; Prentice, R. Improved logrank-type tests for survival data using adaptive weights. Biometrics 2010, 66, 30–38. [Google Scholar] [CrossRef] [PubMed]
- Mukhopadhyay, P.; Ye, J.; Anderson, K.M.; Roychoudhury, S.; Rubin, E.H.; Halabi, S.; Chappell, R.J. Log-rank test vs max combo and difference in restricted mean survival time tests for comparing survival under nonproportional hazards in Immuno-oncology trials: A systematic review and meta-analysis. JAMA Oncol. 2022, 8, 1294–1300. [Google Scholar] [CrossRef]
- Dormuth, I.; Liu, T.; Xu, J.; Yu, M.; Pauly, M.; Ditzhaus, M. Which test for crossing survival curves? A user’s guideline. BMC Med. Res. Methodol. 2022, 22, 34. [Google Scholar] [CrossRef]
- Wang, L.; Luo, X.; Zheng, C. A simulation-free group sequential design with max-combo tests in the presence of non-proportional hazards. Pharm. Stat. 2021, 20, 879–897. [Google Scholar] [CrossRef]
- Prior, T.J. Group sequential monitoring based on the maximum of weighted log-rank statistics with the Fleming-Harrington class of weights in oncology clinical trials. Stat. Methods Med. Res. 2020, 29, 3525–3532. [Google Scholar] [CrossRef]
- Magirr, D.; Jiménez, J.L. Design and analysis of group-sequential clinical trials based on a modestly weighted log-rank test in anticipation of a delayed separation of survival curves: A practical guidance. Clin. Trials 2022, 19, 201–210. [Google Scholar] [CrossRef]
- Tsiatis, A.A. Repeated significance testing for a general class of statistics used in censored survival analysis. JASA 1982, 77, 855–861. [Google Scholar] [CrossRef]
- Freidlin, B.; Korn, E.L. Methods for accommodating nonproportional hazards in clinical trials: Ready for the primary analysis? J. Clin. Oncol. 2019, 37, 3455–3459. [Google Scholar] [CrossRef] [PubMed]
- Efird, J.T. An Inverse Logarithmically-Scaled Rank Test Sensitive to Delayed Events; Biometrics Section, The American Statistical Association: Alexandria, VA, USA, 1999; pp. 252–255. [Google Scholar]
- Self, S.G. An adaptive weighted log-rank test with application to cancer prevention and screening trials. Biometrics 1991, 47, 975–986. [Google Scholar] [CrossRef]
- Cuzick, J. Asymptotic properties of censored linear rank tests. Ann. Stat. 1985, 13, 133–141. [Google Scholar] [CrossRef]
- Efird, J.; Pardo, F. A non-parametric two-sample survival test based on a single occupancy fermi-dirac model for the discrete range distribution. In Lifetime Data: Models in Reliability and Survival Analysis; Jewell, N., Kimber, A., Lee, M., Whitmore, G., Eds.; Springer: Boston, MA, USA, 1996. [Google Scholar]
- Knezevic, A.; Patil, S. Combination weighted log-rank tests for survival analysis with non-proportional hazards. In Proceedings of the SAS Global Forum, Washington, DC, USA, 29 March–1 April 2020. [Google Scholar]
- Efird, J.T. Goldilocks rounding: Achieving balance between accuracy and parsimony in the reporting of relative effect estimates. Cancer Inform. 2021, 20, 1176935120985132. [Google Scholar] [CrossRef]
- Qian, K.; Zhou, X. Weighted log-rank test for clinical trials with delayed treatment effect based on a novel hazard function family. Mathematics 2022, 10, 2573. [Google Scholar] [CrossRef]
- Brown, B.W.; Hollander, M. Statistics—A Biomedical Introduction; John Wiley & Sons: Hoboken, NJ, USA, 2007. [Google Scholar]
- Neyman, J. Tests of statistical hypotheses which are unbiased in the limit. Ann. Math. Stat. 1938, 9, 69–86. [Google Scholar] [CrossRef]
- Garès, V.; Andrieu, S.; Dupuy, J.-F.; Savy, N. A comparison of the constant piecewise weighted logrank and Fleming-Harrington tests. Electron. J. Statist. 2014, 8, 841–860. [Google Scholar] [CrossRef]
- Radhakrishna, S. Combination of results from several 2 × 2 contingency tables. Biometrics 1965, 21, 86–98. [Google Scholar] [CrossRef]
- Tarone, R.E.; Ware, J. On distribution-free tests for equality of survival distributions. Biometrika 1977, 64, 156–160. [Google Scholar] [CrossRef]
- Jennrich, R.I. Some exact tests for comparing survival curves in the presence of unequal right censoring. Biometrika 1984, 71, 57–64. [Google Scholar] [CrossRef]
- Brown, M. On the choice of variance for the log rank test. Biometrika 1984, 71, 65–74. [Google Scholar] [CrossRef]
- Finkelstein, D.M. A proportional hazards model for interval-censored failure time data. Biometrics 1986, 42, 845–854. [Google Scholar] [CrossRef] [PubMed]
- Fay, M.P. Rank invariant tests for interval censored data under the grouped continuous model. Biometrics 1996, 52, 811–822. [Google Scholar] [CrossRef]
- Yang, S. Interim monitoring using the adaptively weighted log-rank test in clinical trials for survival outcomes. Stat. Med. 2019, 38, 601–612. [Google Scholar] [CrossRef]
- Chiang, C.L. On regular best asymptotically normal estimates. Ann. Math. Stat. 1956, 27, 336–351. [Google Scholar] [CrossRef]
- Efron, B.; Hinkley, D.V. Assessing the accuracy of the maximum likelihood estimator: Observed versus expected fisher information. Biometrika 1978, 65, 457–482. [Google Scholar] [CrossRef]
- Chernoff, H.; Lehmann, E.L. The use of maximum likelihood estimates in χ2 tests for goodness of fit. Ann. Math. Stat. 1954, 25, 573–578. [Google Scholar] [CrossRef]
- Ferguson, T. A method of generating best asymptotically normal estimates with application to the estimation of bacterial densities. Ann. Math. Stat. 1958, 29, 1046–1062. [Google Scholar] [CrossRef]
- Neyman, J. Contribution to the theory of the χ2 test. In Proceedings of the Berkeley Symposium on Mathematical Statistics and Probability, Berkeley, CA, USA, 1949; pp. 239–273. [Google Scholar]
- Noether, G.E. On a theorem of Pitman. Ann. Math. Statist. 1955, 26, 64–68. [Google Scholar] [CrossRef]
- Lehmann, E. Some comments on large sample tests. In Proceedings of the Berkeley Symposium on Mathematical Statistics and Probability, Berkeley, CA, USA, 1949; pp. 451–457. [Google Scholar]
- Zucker, D.M.; Lakatos, E. Weighted log rank type statistics for comparing survival curves when there is a time lag in the effectiveness of treatment. Biometrika 1990, 77, 853–864. [Google Scholar] [CrossRef]
- Zucker, D.M. The efficiency of a weighed log-rank test under a percent error misspecification model for the log hazard ratio. Biometrics 1992, 48, 893–899. [Google Scholar] [CrossRef] [PubMed]
- Ghahramani, M.; Sharafi, M.; Hashemi, R. Analysis of the progressively Type-II right censored data with dependent random removals. J. Stat. Comp. Simul. 2020, 90, 1001–1021. [Google Scholar] [CrossRef]
- Efird, J.T.; Jindal, C. Using a counting process method to impute censored follow-up time data. Int. J. Environ. Res. Public Health 2018, 15, 690. [Google Scholar] [CrossRef]
- Lakatos, E. Sample sizes based on the log-rank statistic in complex clinical trials. Biometrics 1988, 44, 229–241. [Google Scholar] [CrossRef]
- Cantor, A. Survival Analysis Techniques for Medical Research; SAS Publishing: Cary, NC, USA, 2003. [Google Scholar]
- Lu, K. Sample size calculation for logrank test and prediction of number of events over time. Pharm. Stat. 2021, 20, 229–244. [Google Scholar] [CrossRef]
- Aalen, O. Nonparametric inference for a family of counting processes. Ann. Stat. 1978, 6, 701–726. [Google Scholar] [CrossRef]
- Cantor, A.B. Power calculation for the log rank test using historical data. Control. Clin. Trials 1996, 17, 111–116. [Google Scholar] [CrossRef]
- Shih, J.H. Sample size calculation for complex clinical trials with survival endpoints. Control. Clin. Trials 1995, 16, 395–407. [Google Scholar] [CrossRef] [PubMed]
- Harrell, F. Regression Modeling Strategies with Application to Linear Models, Logistic and Ordinal Regression, and Survival Analysis, 2nd ed.; Springer: New York, NY, USA, 2015. [Google Scholar]
- Wainer, H.; Gessaroli, M.; Verdi, M. Visual revelations. Finding what is not there through the unfortunate binning of results: The mendel effect. CHANCE 2006, 19, 49–52. [Google Scholar] [CrossRef]
- Freedman, D.; Diaconis, P. On the histogram as a density estimator:L2 theory. Z. Für Wahrscheinlichkeitstheorie Und Verwandte Geb. 1981, 57, 453–476. [Google Scholar] [CrossRef]
- Sturges, H.A. The choice of a class interval. JASA 1926, 21, 65–66. [Google Scholar] [CrossRef]
- Wand, M.P. Data-based choice of histogram bin width. Am. Stat. 1997, 51, 59–64. [Google Scholar] [CrossRef]
- Scott, D.W. On optimal and data based histograms. Biometrika 1979, 66, 605–610. [Google Scholar] [CrossRef]
- Doane, D.P. Aesthetic frequency classifications. Am. Stat. 1976, 30, 181–183. [Google Scholar] [CrossRef]
- Bagust, A.; Beale, S.J. Exploring the effects of early censoring and analysis of clinical trial survival data on effectiveness and cost-effectiveness estimation through a case study in advanced breast cancer. Med. Decis. Mak. 2018, 38, 789–796. [Google Scholar] [CrossRef]
- Bland, J.M.; Altman, D.G. The logrank test. BMJ 2004, 328, 1073. [Google Scholar] [CrossRef]
- Williamson, P.R.; Kolamunnage-Dona, R.; Tudur Smith, C. The influence of competing-risks setting on the choice of hypothesis test for treatment effect. Biostatistics 2007, 8, 689–694. [Google Scholar] [CrossRef]
- Jiménez, J.L.; Niewczas, J.; Bore, A.; Burman, C.F. A modified weighted log-rank test for confirmatory trials with a high proportion of treatment switching. PLoS ONE 2021, 16, e0259178. [Google Scholar] [CrossRef]
- Yang, S.; Prentice, R. Semiparametric analysis of short-term and long-term hazard ratios with two-sample survival data. Biometrika 2005, 92, 1–17. [Google Scholar] [CrossRef]
- Magirr, D.; Burman, C.F. Modestly weighted logrank tests. Stat. Med. 2019, 38, 3782–3790. [Google Scholar] [CrossRef] [PubMed]
- Schuster, N.A.; Hoogendijk, E.O.; Kok, A.A.L.; Twisk, J.W.R.; Heymans, M.W. Ignoring competing events in the analysis of survival data may lead to biased results: A nonmathematical illustration of competing risk analysis. J. Clin. Epidemiol. 2020, 122, 42–48. [Google Scholar] [CrossRef] [PubMed]
- Zhang, Z. Survival analysis in the presence of competing risks. Ann. Transl. Med. 2017, 5, 47. [Google Scholar] [CrossRef] [PubMed]
- Austin, P.C.; Lee, D.S.; Fine, J.P. Introduction to the analysis of survival data in the presence of competing risks. Circulation 2016, 133, 601–609. [Google Scholar] [CrossRef] [PubMed]
- Fine, J.P.; Gray, R.J. A proportional hazards model for the subdistribution of a competing risk. J. Am. Stat. Assoc. 1999, 94, 496–509. [Google Scholar] [CrossRef]
- Pepe, M.S.; Fleming, T.R. Weighted Kaplan-Meier statistics: A class of distance tests for censored survival data. Biometrics 1989, 45, 497–507. [Google Scholar] [CrossRef]
- Freidlin, B.; Korn, E.L. Reply to H. Uno et al. and B. Huang et al. J. Clin. Oncol. 2020, 38, 2003–2004. [Google Scholar] [CrossRef]
- Yu, C.; Huang, X.; Nian, H.; He, P. A weighted log-rank test and associated effect estimator for cancer trials with delayed treatment effect. Pharm. Stat. 2021, 20, 528–550. [Google Scholar] [CrossRef]
- Liu, S.; Chu, C.; Rong, A. Weighted log-rank test for time-to-event data in immunotherapy trials with random delayed treatment effect and cure rate. Pharm. Stat. 2018, 17, 541–554. [Google Scholar] [CrossRef]
- Garès, V.; Andrieu, S.; Dupuy, J.F.; Savy, N. An omnibus test for several hazard alternatives in prevention randomized controlled clinical trials. Stat. Med. 2015, 34, 541–557. [Google Scholar] [CrossRef] [PubMed]
- Buyske, S.; Fagerstrom, R.; Ying, Z. A class of weighted log-rank tests for survival sata when the event is rare. JASA 2000, 95, 249–258. [Google Scholar] [CrossRef]
- Su, Z.; Zhu, M. Is it time for the weighted log-rank test to play a more important role in confirmatory trials? Contemp. Clin. Trials Commun. 2018, 10, A1–A2. [Google Scholar] [CrossRef]
- Jachno, K.; Heritier, S.; Wolfe, R. Are non-constant rates and non-proportional treatment effects accounted for in the design and analysis of randomised controlled trials? A review of current practice. BMC Med. Res. Methodol. 2019, 19, 103. [Google Scholar] [CrossRef] [PubMed]

| Group 1 | Group 2 | Total | |
|---|---|---|---|
| Event | |||
| Non-event | − di | ||
| Total |
| Ex. | Group 1 | Group 2 | Numerator | Denominator | p * | |||
|---|---|---|---|---|---|---|---|---|
| Event | Censored | Event | Censored | |||||
| 1 | 64 | 11 | 82 | 0 | 1.6 | 0.33 | 4.8 | 0.029 |
| 2 | 57 | 2 | 63 | 0 | 0.017 | 0.37 | 0.046 | 0.37 |
| 3 | 16 | 9 | 5 | 19 | 0.46 | 0.047 | 9.9 | 0.0017 |
| 4 | 88 | 12 | 100 | 0 | 2.0 | 0.19 | 11 | 0.0011 |
| γ) | p-Value | p-Value | |
|---|---|---|---|
| (0,0) | 0.27 | (0,5) | 0.015 |
| (0,1) | 0.033 | (1,5) | 0.44 |
| (0,5) | 0.015 | (5,5) | 0.35 |
| (0,10) | 0.021 | (10,5) | 0.18 |
| (0,15) | 0.036 | (15,5) | 0.47 |
| (0,20) | 0.053 | (20,5) | 0.85 |
| (0,25) | 0.069 | (25,5) | 0.42 |
| 184 | 0.00008 | 0.00016 | 192 | 0.01498 | 0.03243 |
| 185 | 0.00016 | 0.00032 | 193 | 0.02677 | 0.05920 |
| 186 | 0.00032 | 0.00064 | 194 | 0.04662 | 0.10582 |
| 187 | 0.00063 | 0.00127 | 195 | 0.07851 | 0.18434 |
| 188 | 0.00122 | 0.00249 | 196 | 0.12627 | 0.31060 |
| 189 | 0.00234 | 0.00483 | 197 | 0.18940 | 0.50000 |
| 190 | 0.00441 | 0.00924 | 198 | 0.25126 | 0.75126 |
| 191 | 0.00821 | 0.01745 | 199 | 0.24874 | 1.0000 |
Disclaimer/Publisher’s Note: The statements, opinions and data contained in all publications are solely those of the individual author(s) and contributor(s) and not of MDPI and/or the editor(s). MDPI and/or the editor(s) disclaim responsibility for any injury to people or property resulting from any ideas, methods, instructions or products referred to in the content. |
© 2023 by the author. Licensee MDPI, Basel, Switzerland. This article is an open access article distributed under the terms and conditions of the Creative Commons Attribution (CC BY) license (https://creativecommons.org/licenses/by/4.0/).
Share and Cite
Efird, J.T. The Inverse Log-Rank Test: A Versatile Procedure for Late Separating Survival Curves. Int. J. Environ. Res. Public Health 2023, 20, 7164. https://doi.org/10.3390/ijerph20247164
Efird JT. The Inverse Log-Rank Test: A Versatile Procedure for Late Separating Survival Curves. International Journal of Environmental Research and Public Health. 2023; 20(24):7164. https://doi.org/10.3390/ijerph20247164
Chicago/Turabian StyleEfird, Jimmy T. 2023. "The Inverse Log-Rank Test: A Versatile Procedure for Late Separating Survival Curves" International Journal of Environmental Research and Public Health 20, no. 24: 7164. https://doi.org/10.3390/ijerph20247164
APA StyleEfird, J. T. (2023). The Inverse Log-Rank Test: A Versatile Procedure for Late Separating Survival Curves. International Journal of Environmental Research and Public Health, 20(24), 7164. https://doi.org/10.3390/ijerph20247164
