Comparison of the Physical Care Burden on Formal Caregivers between Manual Human Care Using a Paper Diaper and Robot-Aided Care in Excretion Care
Abstract
1. Introduction
2. Materials and Methods
2.1. Participants
2.2. Experiment
2.2.1. Apparatus
2.2.2. Experimental Task
2.2.3. Experimental Procedure
2.3. Measurement and Data Analysis
2.3.1. Hierarchical Task Grouping
2.3.2. Muscular Activity
2.3.3. Subjective Rating of Perceived Physical Discomfort
2.4. Statistics
3. Results
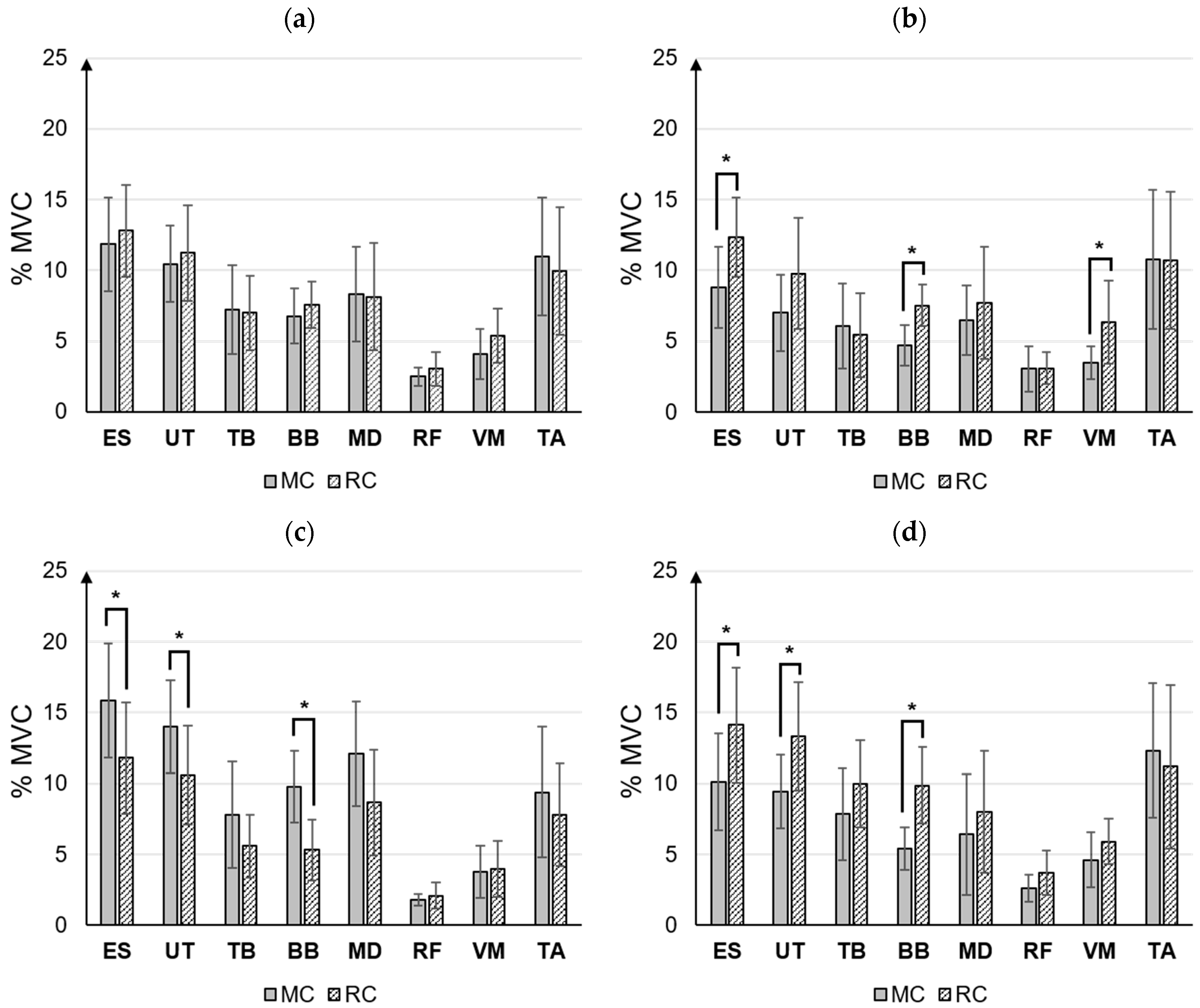
3.1. Muscular Activity
3.2. Subjective Rating of Perceived Physical Discomfort
4. Discussion
5. Conclusions
Author Contributions
Funding
Institutional Review Board Statement
Informed Consent Statement
Data Availability Statement
Conflicts of Interest
Appendix A
| Third Task Group | Second Task Group | First Task Group | Sub-Task |
|---|---|---|---|
| Preparation task | T.1. Preparation for excretion care | T.1.1. Bringing a care kit cart | T.1.1.1. Opening a door |
| T.1.1.2. Bringing the cart to the side of a bed | |||
| T.1.1.3. Fixing the cart | |||
| T.1.1.4. Closing a door | |||
| T.1.2. Disinfecting hands | T.1.2.1. Taking a hand sanitizer out of the cart | ||
| T.1.2.2. Putting hand sanitizer on hands | |||
| T.1.3. Wearing disposable gloves | T.1.3.1. Taking disposable gloves out of the cart | ||
| T.1.3.2. Wearing disposable gloves | |||
| T.1.4. Closing a privacy curtain | T.1.4.1. Closing a privacy curtain | ||
| T.1.5. Folding a side rail down | T.1.5.1. Folding a side rail down | ||
| T.1.6. Folding a blanket | T.1.6.1. Folding the blanket under the patient’s legs | ||
| Front task | T.2. Checking for excretion | T.2.1. Checking for excretion | T.2.1.1. Checking for excretion by smelling or touching diapers |
| T.3. Preparation for excrement disposal | T.3.1. Putting a waterproof pad on a bed | T.3.1.1. Taking a waterproof pad out of the cart | |
| T.3.1.2. Putting the pad on a bed for a while | |||
| T.3.1.3 Positioning the patient in a side-lying (lateral) position | |||
| T.3.1.4 Holding the patient with one hand and putting the pad under the patient’s buttocks with the other hand | |||
| T.3.1.5 Positioning the patient in a supine position | |||
| T.3.1.6 Positioning the patient in a side-lying (lateral) position | |||
| T.3.1.7 Putting the rest of the pad on a bed | |||
| T.3.1.8 Positioning the patient in a supine Position | |||
| T.3.2. Undressing the patient’s clothes | T.3.2.1. Raising the patient’s top to the waist | ||
| T.3.2.2. Undressing the patient’s bottoms to the ankle | |||
| T.3.3. Preparing wet wipes for cleaning | T.3.3.1. Taking wet wipes out of the cart | ||
| T.3.3.2. Spraying EM on wet wipes | |||
| T.3.3.3. Putting wet wipes on the cart | |||
| T.4. Excrement disposal | T.4.1. Removing an inner diaper | T.4.1.1. Taking off the diaper sticker | |
| T.4.1.2. Raising the patient’s knees | |||
| T.4.1.3. Folding the inner diaper and rolling the excrement | |||
| T.4.1.4. Positioning the patient in a side-lying (lateral) position | |||
| T.4.1.5. Wiping the patient’s buttocks with the inner diaper | |||
| T.4.1.6. Rolling out the inner diaper | |||
| T.4.1.7. Throwing away the inner diaper | |||
| T.4.2. Preparing to wear a new outer diaper | T.4.2.1. Taking a new outer diaper out of the cart | ||
| T.4.2.2. Putting a new outer diaper on the side of the patient | |||
| T.4.3. Cleaning buttocks | T.4.3.1. Cleaning buttocks with the wet wipes | ||
| T.4.3.2. Throwing away wet wipes | |||
| T.4.3.3. Taking a dry towel out of the cart | |||
| T.4.3.4. Removing moisture with a dry towel | |||
| T.4.3.5. Putting the towel in the cart | |||
| T.4.4. Removing an outer diaper | T.4.4.1. Rolling out the outer diaper under the patient’s buttocks | ||
| T.4.4.2. Throwing away the outer diaper | |||
| T.5. Wearing a new diaper | T.5.1. Wearing a new diaper | T.5.1.1. Putting a new outer diaper under the patient’s buttocks | |
| T.5.1.2. Taking a new inner diaper out of the cart | |||
| T.5.1.3. Putting a new inner diaper on the outer diaper | |||
| T.5.1.4. Folding the inner diaper’s waist and wing part | |||
| T.5.1.5. Putting diapers close to the patient’s buttocks | |||
| T.5.1.6. Positioning the patient in a supine position | |||
| T.5.1.7. Raising the diapers | |||
| T.5.1.8. Attaching stickers of the diapers | |||
| Post task | T.6. Completion of excretion care | T.6.1. Removing a waterproof pad | T.6.1.1. Folding the pad |
| T.6.1.2. Positioning the patient in a side-lying (lateral) position | |||
| T.6.1.3. Holding the patient with one hand and removing the pad under the patient’s buttocks with the other hand | |||
| T.6.1.4. Positioning the patient in a supine position | |||
| T.6.1.5. Positioning the patient in a side-lying (lateral) position | |||
| T.6.1.6. Removing the rest of the pad | |||
| T.6.1.7. Putting the pad in the cart | |||
| T.6.2. Dressing the patient’s clothes | T.6.2.1. Dressing the patient’s bottom | ||
| T.6.2.2. Dressing the patient’s top | |||
| T.6.3. Covering the patient with a blanket | T.6.3.1. Covering the patient with a blanket | ||
| T.6.4. Fixing a side rail | T.6.4.1. Fixing a side rail | ||
| T.6.5. Opening a privacy curtain | T.6.5.1. Opening a privacy curtain | ||
| T.7. Management and maintenance | T.7.1. Keeping a care kit cart | T.7.1.1. Unfastening the cart | |
| T.7.1.2. Opening a door | |||
| T.7.1.3. Moving the cart | |||
| T.7.1.4. Closing a door | |||
| T.7.1.5. Keeping the cart |
| Third Task Group | Second Task Group | First Task Group | Sub-Task |
|---|---|---|---|
| Preparation task | T.1. Preparation for excretion care | T.1.1. Bringing a care kit cart | T.1.1.1. Opening a door |
| T.1.1.2. Bring the cart to the side of a bed | |||
| T.1.1.3. Fixing the cart | |||
| T.1.1.4. Closing a door | |||
| T.1.2. Bringing a robot | T.1.2.1. Bring the robot to the side of a bed | ||
| T.1.2.2. Bringing a wearing part and cover | |||
| T.1.2.3. Fixing the robot | |||
| T.1.3. Powering on the robot | T.1.3.1. Plugging the cord | ||
| T.1.3.2. Powering on the robot | |||
| T.1.4. Opening the robot’s body | T.1.4.1. Opening the robot’s body | ||
| T.1.5. Filling a cleaning water bottle | T.1.5.1. Taking out the bottle from the robot’s body | ||
| T.1.5.2. Moving to the bathroom with the bottle | |||
| T.1.5.3. Opening the lid of the bottle | |||
| T.1.5.4. Filling the bottle | |||
| T.1.5.5. Closing the lid of the bottle | |||
| T.1.5.6. Moving to the room with the bottle | |||
| T.1.5.7. Installing the bottle on the robot’s body | |||
| T.1.6. Connecting a wearing part to the robot body | T.1.6.1. Installing the wearing part on the slide board of the robot’s body | ||
| T.1.6.2. Connecting a cable of the wearing part to the robot’s body | |||
| T.1.6.3. Installing a detachable cushion on the wearing part | |||
| T.1.7. Closing the robot’s body | T.1.7.1. Closing the robot’s body | ||
| T.1.8. Disinfecting hands | T.1.8.1. Taking a hand sanitizer out of the cart | ||
| T.1.8.2. Putting hand sanitizer on hands | |||
| T.1.9. Wearing disposable gloves | T.1.9.1. Taking disposable gloves out of the cart | ||
| T.1.9.2. Wearing disposable gloves | |||
| T.1.10. Closing a privacy curtain | T.1.10.1. Closing a privacy curtain | ||
| T.1.11. Folding a side rail down | T.1.11.1. Folding a side rail down | ||
| T.1.12. Folding a blanket | T.1.12.1. Folding a blanket | ||
| Front task | T.2. Preparation for wearing a care robot | T.2.1. Covering the wearing part | T.2.1.1. Spreading the abdominal band and waistband on the cover |
| T.2.1.2. Opening the top zipper and bottom zipper to the sewing line | |||
| T.2.1.3. Putting the wearing part in the bottom pocket of the cover | |||
| T.2.2. Fastening the cover with the wearing part | T.2.2.1. Closing the bottom zipper | ||
| T.2.2.2. Fastening buttons between the wearing part and the inside of the cover | |||
| T.2.3. Preparing the wearing part | T.2.3.1. Rolling the waistband | ||
| T.2.3.2. Putting the wearing part on the side of the patient | |||
| T.2.4. Undressing the patient’s clothes | T.2.4.1. Raising the patient’s top to the waist | ||
| T.2.4.2. Undressing the patient’s bottoms | |||
| T.3. Wearing a care robot | T.3.1. Removing an inner diaper | T.3.1.1. Taking off the diaper sticker | |
| T.3.1.2. Raising the patient’s knees | |||
| T.3.1.3. Rolling out the inner diaper | |||
| T.3.2. Removing an outer diaper | T.3.2.1. Rolling out the outer diaper | ||
| T.3.2.2. Throwing away the diapers | |||
| T.3.3. Attaching the wearing part to the patient’s body | T.3.3.1. Push the waistband of the cover connected to the wearing part down the patient’s waist | ||
| T.3.3.2. Attaching the wearing part to the patient’s buttocks (horizontally) | |||
| T.3.4. Wearing the wearing part | T.3.4.1. Putting one hand between the patient’s thighs and holding the front of the wearing part | ||
| T.3.4.2. Positioning the patient in a supine position | |||
| T.3.5. Adjusting the wearing part | T.3.5.1. Grabbing the waistband of the cover | ||
| T.3.5.2. Pulling the waistband of the cover from side to side to ensure that the part is positioned in the center of the wearing part | |||
| T.3.6. Completing wearing the wearing part | T.3.6.1. Covering the patient’s abdomen with a waistband | ||
| T.3.6.2. Installing a gender module cup on the wearing part | |||
| T.3.6.3. Pulling up the abdominal band of the cover and closing the top zipper | |||
| T.3.6.4. Spreading the proof band of the cover | |||
| T.3.6.5. Spreading the patient’s buttocks | |||
| T.3.6.6. Pressing the operation button of the robot body | |||
| T.4. Completion of wearing a care robot | T.4.1. Dressing the patient’s clothes | T.4.1.1. Dressing the patient’s bottom | |
| T.4.1.2. Dressing the patient’s top | |||
| T.4.2. Covering the patient with a blanket | T.4.2.1. Covering the patient with a blanket | ||
| T.4.3. Fixing a side rail | T.4.3.1. Fixing a side rail | ||
| T.4.4. Opening a privacy curtain | T.4.4.1. Opening a privacy curtain | ||
| T.5. Preparation for detaching a care robot | T.5.1. Closing a privacy curtain | T.5.1.1. Closing a privacy curtain | |
| T.5.2. Folding a side rail down | T.5.2.1. Folding a side rail down | ||
| T.5.3. Folding a blanket | T.5.3.1. Folding a blanket | ||
| T.5.4. Undressing the patient’s clothes | T.5.4.1. Raising the patient’s top to the waist | ||
| T.5.4.2. Undressing the patient’s bottoms | |||
| T.6. Detaching a care robot | T.6.1. Preparing to remove the wearing part | T.6.1.1. Opening the robot’s body | |
| T.6.1.2. Installing a holder of the wearing part | |||
| T.6.1.3. Pressing the stop button of the robot body | |||
| T.6.2. Removing the wearing part | T.6.2.1. Opening the top zipper of the cover | ||
| T.6.2.2. Removing the gender module cup | |||
| T.6.2.3. Opening the bottom zipper of the cover | |||
| T.6.2.4. Unfastening the fastening buttons | |||
| T.6.2.5. Removing the wearing part | |||
| T.6.2.6. Hanging the wearing part on the holder | |||
| T.6.2.7. Fastening the wearing part with a belt on the holder | |||
| T.6.2.8. Hanging the hose on the hose rack of the robot’s body | |||
| T.6.3. Preparing to wear a new outer diaper | T.6.3.1. Taking a new outer diaper out of the cart | ||
| T.6.3.2. Putting a new outer diaper on the side of the patient | |||
| T.6.4. Removing the cover | T.6.4.1. Opening the abdominal band and waistband of the cover | ||
| T.6.4.2. Rolling the waistband and pushing it inside the patient’s waist | |||
| T.6.4.3. Turning the patient’s neck and grabbing their knees and shoulders | |||
| T.6.4.4. Positioning the patient in a side-lying (lateral) position | |||
| T.6.4.5. Removing the cover and putting the cover in the cart | |||
| T.6.5. Wearing a new diaper | T.6.5.1. Putting a new outer diaper under the patient’s buttocks | ||
| T.6.5.2. Taking a new inner diaper out of the cart | |||
| T.6.5.3. Putting a new inner diaper on the outer diaper | |||
| T.6.5.4. Folding the inner diaper’s waist and wing part | |||
| T.6.5.5. Putting diapers close to the patient’s buttocks | |||
| T.6.5.6. Positioning the patient in a supine position | |||
| T.6.5.7. Raising the diapers | |||
| T.6.5.8. Attaching stickers of the diapers | |||
| Post task | T.7. Completion of excretion | T.7.1. Dressing the patient’s clothes | T.7.1.1. Dressing the patient’s bottom |
| T.7.1.2. Dressing the patient’s top | |||
| T.7.2. Covering the patient with a blanket | T.7.2.1. Covering the patient with a blanket | ||
| T.7.3. Fixing a side rail | T.7.3.1. Fixing a side rail | ||
| T.7.4. Opening a privacy curtain | T.7.4.1. Opening a privacy curtain | ||
| T.7.5. Powering off the robot | T.7.5.1. Powering off the robot | ||
| T.7.5.2. Unplugging the cord | |||
| T.8. Management and maintenance of a care robot | T.8.1. Disconnecting an excreta collection container and hose | T.8.1.1. Disconnecting an excreta collection container and hose | |
| T.8.1.2. Disconnecting an excreta collection container and a cleaning water bottle from the robot body | |||
| T.8.2. Cleaning the excreta collection container and the cleaning water bottle | T.8.2.1. Moving to the bathroom with the excreta collection container and the cleaning water bottle | ||
| T.8.2.2. Opening the lid of the excreta collection container | |||
| T.8.2.3. Throwing the contents away in the toilet | |||
| T.8.2.4. Flushing the toilet | |||
| T.8.2.5. Opening the container by unlocking the airtight cover | |||
| T.8.2.6. Removing the guard of the container | |||
| T.8.2.7. Washing the container | |||
| T.8.2.8. Removing moisture from the container | |||
| T.8.2.9. Closing the lid of the container | |||
| T.8.2.10. Opening the lid of the bottle | |||
| T.8.2.11. Washing the bottle | |||
| T.8.2.12. Removing moisture from the bottle | |||
| T.8.2.13. Closing the lid of the bottle | |||
| T.8.2.14. Moving to the room with the excreta collection container and the cleaning water bottle | |||
| T.8.2.15. Installing the excreta collection container and the cleaning water bottle on the robot body | |||
| T.8.3. Closing the robot’s body | T.8.3.1. Keeping the supplies in the robot’s body | ||
| T.8.3.2. Closing the robot’s body | |||
| T.8.4. Keeping the robot | T.8.4.1. Unfastening the robot | ||
| T.8.4.2. Keeping the robot | |||
| T.8.4.3. Keeping the wearing part and cover | |||
| T.9. Management and maintenance | T.9.1. Keeping the cart | T.9.1.1. Unfastening the cart | |
| T.9.1.2. Opening a door | |||
| T.9.1.3. Moving the cart | |||
| T.9.1.4. Closing a door | |||
| T.9.1.5. Keeping the cart |
References
- Statistics Korea. 2022 Statistics on the Aged. Available online: http://kostat.go.kr/portal/eng/pressReleases/11/1/index.board (accessed on 29 September 2022).
- Lim, J.-M.; Lee, Y.-K.; Kang, E.-N.; Lim, J.-Y.; Kim, H.-J.; Park, Y.-S.; Yoon, T.-H.; Yang, C.-M.; Kim, H.-S. Mid-to Long-Term Securing Plan for Long-Term Care for the Elderly in Response to Changes in Demographic Structure, 1st ed.; Korea Institute for Health and Social Affairs: Sejong, Republic of Korea, 2019; p. 396. ISBN 9788968276675. [Google Scholar]
- Lee, Y.W. Policy Issues and Challenges in Welfare Policies for Elderly Care, 1st ed.; Korea Development Institute: Sejong-si, Republic of Korea, 2020; pp. 82–86. ISBN 979-11-5932-606-6. [Google Scholar]
- Kalanlar, B.; Kuru Alici, N. The effect of care burden on formal caregiver’s quality of work life: A mixed-methods study. Scand. J. Caring Sci. 2020, 34, 1001–1009. [Google Scholar] [CrossRef] [PubMed]
- Sjöberg, A.; Pettersson-Strömbäck, A.; Sahlén, K.-G.; Lindholm, L.; Norström, F. The burden of high workload on the health-related quality of life among home care workers in Northern Sweden. Int. Arch. Occup. Environ. Health 2020, 93, 747–764. [Google Scholar] [CrossRef] [PubMed]
- Ayalon, L. A triadic perspective on elder neglect within the home care arrangement. Ageing Soc. 2016, 36, 811–836. [Google Scholar] [CrossRef]
- Darragh, A.R.; Sommerich, C.M.; Lavender, S.A.; Tanner, K.J.; Vogel, K.; Campo, M. Musculoskeletal discomfort, physical demand, and caregiving activities in informal caregivers. J. Appl. Gerontol. 2015, 34, 734–760. [Google Scholar] [CrossRef]
- Marras, W.S.; Davis, K.G.; Kirking, B.C.; Bertsche, P.K. A comprehensive analysis of low-back disorder risk and spinal loading during the transferring and repositioning of patients using different techniques. Ergonomics 1999, 42, 904–926. [Google Scholar] [CrossRef]
- Menzel, N.N. Back pain prevalence in nursing personnel: Measurement issues. Aaohn J. 2004, 52, 54–65. [Google Scholar] [CrossRef]
- Belbeck, A.; Cudlip, A.C.; Dickerson, C.R. Assessing the interplay between the shoulders and low back during manual patient handling techniques in a nursing setting. Int. J. Occup. Saf. Ergon. 2014, 20, 127–137. [Google Scholar] [CrossRef]
- Budarick, A.R.; Lad, U.; Fischer, S.L. Can the Use of Turn-Assist Surfaces Reduce the Physical Burden on Caregivers When Performing Patient Turning? Hum. Factors 2020, 62, 77–92. [Google Scholar] [CrossRef]
- Yeom, H.; Park, C.H.; Park, S. Medical bed with integrated toilet: Design considerations and utilization by a bedridden patient. Health Technol. 2019, 9, 903–907. [Google Scholar] [CrossRef]
- Park, D.; Hoshi, Y.; Mahajan, H.P.; Kim, H.K.; Erickson, Z.; Rogers, W.A.; Kemp, C.C. Active robot-assisted feeding with a general-purpose mobile manipulator: Design, evaluation, and lessons learned. Robot. Auton. Syst. 2020, 124, 103344. [Google Scholar] [CrossRef]
- Zlatintsi, A.; Dometios, A.C.; Kardaris, N.; Rodomagoulakis, I.; Koutras, P.; Papageorgiou, X.; Maragos, P.; Tzafestas, C.S.; Vartholomeos, P.; Hauer, K.; et al. I-Support: A robotic platform of an assistive bathing robot for the elderly population. Robot. Auton. Syst. 2020, 126, 103451. [Google Scholar] [CrossRef]
- Chen, M.; Wu, J.; Li, S.; Liu, J.; Yokota, H.; Guo, S. Accurate and real-time human-joint-position estimation for a patient-transfer robot using a two-level convolutional neutral network. Robot. Auton. Syst. 2021, 139, 103735. [Google Scholar] [CrossRef]
- Zhao, D.; Zhang, Z.; Yang, J.; Wang, S.; Hiroshi, Y. A Novel Auxiliary Excretion Approach to a Lavatory Robot with Safety and Robustness. Machines 2022, 10, 657. [Google Scholar] [CrossRef]
- Lee, J.-Y.; Song, Y.A.; Jung, J.Y.; Kim, H.J.; Kim, B.R.; Do, H.-K.; Lim, J.-Y. Nurses’ needs for care robots in integrated nursing care services. J. Adv. Nurs. 2018, 74, 2094–2105. [Google Scholar] [CrossRef] [PubMed]
- Ministry of Health, Labour and Welfare of Japan. Nursing Care Robot Introduction and Utilization Case Studies. Available online: https://www.mhlw.go.jp/site_kensaku_english.html?q=care%20robot (accessed on 31 October 2019).
- Ministry of Health, Labour and Welfare of Japan. Development and Dissemination of Welfare Equipment and Nursing Care Robots 2020. Available online: https://www.mhlw.go.jp/content/12300000/000765225.pdf (accessed on 3 March 2020).
- CURACO. CareBidet. Available online: https://curaco.co.kr/eng/page/?pid=carebidet_1 (accessed on 20 January 2021).
- HYGERA. Product Introduction SMART DOLBOM Products. Available online: https://www.hygera.kr/index_en.html (accessed on 4 October 2022).
- Nihon Safety. About “WRAPPON”. Available online: https://wrappon.com/english (accessed on 7 October 2022).
- Na, E.; Jung, Y.; Kim, S. How do care service managers and workers perceive care robot adoption in elderly care facilities? Technol. Forecast. Soc. Change 2023, 187, 122250. [Google Scholar] [CrossRef]
- Homma, K.; Yamada, Y.; Matsumoto, O.; Ono, E.; Lee, S.; Horimoto, M.; Suzuki, T.; Kanehira, N.; Suzuki, T.; Shiozawa, S. A proposal of a method to reduce burden of excretion care using robot technology. In Proceedings of the 2009 IEEE International Conference on Rehabilitation Robotics, Kyoto, Japan, 23–26 June 2009; pp. 621–625. [Google Scholar]
- Vieira, E.R.; Kumar, S.; Coury, H.J.; Narayan, Y. Low back problems and possible improvements in nursing jobs. J. Adv. Nurs. 2006, 55, 79–89. [Google Scholar] [CrossRef] [PubMed]
- National Health Insurance Service (NHIS). Caregiver Work Manual. Available online: https://www.longtermcare.or.kr/npbs/d/m/000/moveBoardView?menuId=npe0000001060&bKey=B0069&prevPath=/npbs/d/m/000/moveBoardView (accessed on 19 December 2017).
- Hermens, H.J.; Freriks, B.; Merletti, R.; Stegman, D.; Blok, J.; Rau, G.; Disselhorst-Klug, C.; Hagg, G.; Seniam. Sensor Locations. Available online: http://www.seniam.org/ (accessed on 23 September 2021).
- Hsieh, P.-L.; Lee, Y.-C.; Yang, S.-Y.; Lin, Y.-L.; Huang, Y.-R. Association between work content and musculoskeletal disorders among home caregivers: A cross-section study. Ind. Health 2021, 60, 514–524. [Google Scholar] [CrossRef]
- De Luca, C.J.; Gilmore, L.D.; Kuznetsov, M.; Roy, S.H. Filtering the surface EMG signal: Movement artifact and baseline noise contamination. J. Biomech. 2010, 43, 1573–1579. [Google Scholar] [CrossRef]
- Mirka, G.A. The quantification of EMG normalization error. Ergonomics 1991, 34, 343–352. [Google Scholar] [CrossRef]
- Borg, G. Borg’s Perceived Exertion and Pain Scales; Human Kinetics: Champaign, IL, USA, 1998; pp. viii, 104-viii, 104; ISBN 0-88011-623-4. [Google Scholar]
- Williams, N. The Borg Rating of Perceived Exertion (RPE) scale. Occup. Med. 2017, 67, 404–405. [Google Scholar] [CrossRef]
- Davis, K.G.; Kotowski, S.E. Prevalence of Musculoskeletal Disorders for Nurses in Hospitals, Long-Term Care Facilities, and Home Health Care:A Comprehensive Review. Hum. Factors 2015, 57, 754–792. [Google Scholar] [CrossRef] [PubMed]







| Specifications | |
|---|---|
| Product name | CareBidet |
| Dimension (mm) | Main body: 400 W × 400 H × 700 D |
| Wearing unit: 2000 | |
| Weight (kg) | Main body: 25 |
| Wearing unit: 3 | |
| Capacity (cc) | Water bucket: 3000 |
| Excretion bucket: 5000 | |
| Voltage/Frequency | AC 220 V, 60 Hz |
| Materials | Silicon, etc. |
Disclaimer/Publisher’s Note: The statements, opinions and data contained in all publications are solely those of the individual author(s) and contributor(s) and not of MDPI and/or the editor(s). MDPI and/or the editor(s) disclaim responsibility for any injury to people or property resulting from any ideas, methods, instructions or products referred to in the content. |
© 2023 by the authors. Licensee MDPI, Basel, Switzerland. This article is an open access article distributed under the terms and conditions of the Creative Commons Attribution (CC BY) license (https://creativecommons.org/licenses/by/4.0/).
Share and Cite
Ko, J.-B.; Kong, Y.-K.; Choi, K.-H.; Lee, C.-K.; Keum, H.-J.; Hong, J.-S.; Won, B.-H. Comparison of the Physical Care Burden on Formal Caregivers between Manual Human Care Using a Paper Diaper and Robot-Aided Care in Excretion Care. Int. J. Environ. Res. Public Health 2023, 20, 1281. https://doi.org/10.3390/ijerph20021281
Ko J-B, Kong Y-K, Choi K-H, Lee C-K, Keum H-J, Hong J-S, Won B-H. Comparison of the Physical Care Burden on Formal Caregivers between Manual Human Care Using a Paper Diaper and Robot-Aided Care in Excretion Care. International Journal of Environmental Research and Public Health. 2023; 20(2):1281. https://doi.org/10.3390/ijerph20021281
Chicago/Turabian StyleKo, Jeong-Bae, Yong-Ku Kong, Kyeong-Hee Choi, Chang-Ki Lee, Hyun-Ji Keum, Jae-Soo Hong, and Byeong-Hee Won. 2023. "Comparison of the Physical Care Burden on Formal Caregivers between Manual Human Care Using a Paper Diaper and Robot-Aided Care in Excretion Care" International Journal of Environmental Research and Public Health 20, no. 2: 1281. https://doi.org/10.3390/ijerph20021281
APA StyleKo, J.-B., Kong, Y.-K., Choi, K.-H., Lee, C.-K., Keum, H.-J., Hong, J.-S., & Won, B.-H. (2023). Comparison of the Physical Care Burden on Formal Caregivers between Manual Human Care Using a Paper Diaper and Robot-Aided Care in Excretion Care. International Journal of Environmental Research and Public Health, 20(2), 1281. https://doi.org/10.3390/ijerph20021281

