Novel Comparative Study for the Detection of COVID-19 Using CT Scan and Chest X-ray Images
Abstract
1. Introduction
2. Literature Review
3. Methodology
3.1. Dataset Description
3.2. Data Pre-Processing
- Resizing: The CT scan and CXR dataset images vary in dimension and resolution. Therefore, in order to obtain a consistent dimension image, all of the images are resized to 224 × 224 pixels size.
- Image Normalization: For the consistent intensity of all the images, min–max normalization was used for intensity normalization. The intensity value of all images, in the range [0, 255], was normalized to the intensity range of [0, 1] by
3.3. Classification
3.3.1. Logistic Regression
3.3.2. Support Vector Machine
3.3.3. Convolutional Neural Network
3.3.4. ResNet18
3.3.5. Evaluation Criteria
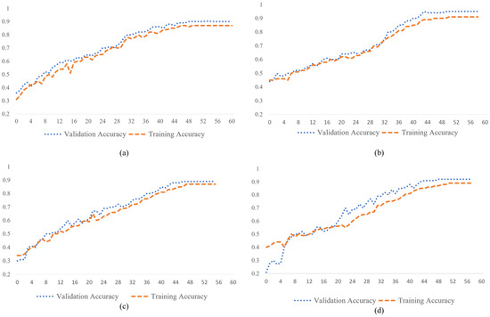
4. Result and Discussion
5. Conclusions
Author Contributions
Funding
Institutional Review Board Statement
Informed Consent Statement
Data Availability Statement
Conflicts of Interest
References
- WHO. Summary of Probable SARS Cases with Onset of Illness from 1 November 2002 to 31 July 2003 (Based on Data as of 31 December 2003). Available online: https://www.who.int/home/search?indexCatalogue=genericsearchindex1 (accessed on 3 December 2021).
- WHO. Middle East Respiratory Syndrome Coronavirus (MERS-CoV). Available online: https://www.who.int/health-topics/middle-east-respiratory-syndrome-coronavirus-mers#tab=tab_1 (accessed on 3 December 2021).
- WHO. Naming the Coronavirus Disease (COVID-2019) and the Virus That Causes It. Available online: https://www.who.int/emergencies/diseases/novel-coronavirus-2019/technical-guidance/naming-the-coronavirus-disease-(covid-2019)-and-thevirus-that-causes-it (accessed on 3 December 2021).
- Guo, H.; Zhou, Y.; Liu, X.; Tan, J. The impact of the COVID-19 epidemic on the utilization of emergency dental services. J. Dent. Sci. 2020, 15, 564–567. [Google Scholar] [CrossRef] [PubMed]
- Chavez, S.; Long, B.; Koyfman, A.; Liang, S.Y. Coronavirus disease (COVID-19): A primer for emergency physicians. Am. J. Emerg. Med. 2020, 44, 220–229. [Google Scholar] [CrossRef] [PubMed]
- Bhargava, A.; Bansal, A. Novel coronavirus (COVID-19) diagnosis using computer vision and artificial intelligence techniques: A review. Multimed. Tools Appl. 2021, 80, 19931–19946. [Google Scholar] [CrossRef] [PubMed]
- Kostoulas, P.; Eusebi, P.; Hartnack, S. Diagnostic Accuracy Estimates for COVID-19 Real-Time Polymerase Chain Reaction and Lateral Flow Immunoassay Tests with Bayesian Latent-Class Models. Am. J. Epidemiol. 2021, 190, 1689–1695. [Google Scholar] [CrossRef] [PubMed]
- Deeks, J.J.; Dinnes, J.; Takwoingi, Y.; Davenport, C.; Spijker, R.; Taylor-Phillips, S.; Adriano, A.; Beese, S.; Dretzke, J.; Ferrante di Ruffano, L.; et al. Antibody tests for identification of current and past infection with SARS-CoV-2. Cochrane Database Syst. Rev. 2020, 6, CD013652. [Google Scholar]
- Afshar, P.; Heidarian, S.; Enshaei, N.; Naderkhani, F.; Rafiee, M.J.; Oikonomou, A.; Fard, F.B.; Samimi, K.; Plataniotis, K.N.; Mohammadi, A. COVID-CT-MD, COVID-19 computed tomography scan dataset applicable in machine learning and deep learning. Sci. Data 2021, 8, 121. [Google Scholar] [CrossRef]
- Chen, J.; Wu, L.; Zhang, J.; Zhang, L.; Gong, D.; Zhao, Y.; Chen, Q.; Huang, S.; Yang, M.; Yang, X.; et al. Deep learning-based model for detecting 2019 novel coronavirus pneumonia on high-resolution computed tomography. Sci. Rep. 2020, 10, 19196. [Google Scholar] [CrossRef]
- Kassani, S.H.; Kassani, P.H.; Wesolowski, M.J.; Schneider, K.A.; Deters, R. Depthwise separable convolutional neural network for skin lesion classification. In Proceedings of the 2019 IEEE International Symposium on Signal Processing and Information Technology (ISSPIT), Ajman, United Arab Emirates, 10–12 December 2019; pp. 1–6. [Google Scholar]
- Grassi, R.; Miele, V.; Giovagnoni, A. Artificial intelligence: A challenge for third millennium radiologist. Radiol. Med. 2019, 124, 241–242. [Google Scholar] [CrossRef]
- Neri, E.; Coppola, F.; Miele, V.; Bibbolino, C.; Grassi, R. Artificial intelligence: Who is responsible for the diagnosis? Radiol. Med. 2020, 125, 517–521. [Google Scholar] [CrossRef]
- Van Assen, M.; Muscogiuri, G.; Caruso, D.; Lee, S.J.; Laghi, A.; De Cecco, C.N. Artificial intelligence in cardiac radiology. Radiol. Med. 2020, 125, 1186–1199. [Google Scholar] [CrossRef]
- Mahmud, M.; Kaiser, M.S.; Hussain, A. Deep learning in mining biological data. arXiv 2020, arXiv:2003.00108. [Google Scholar] [CrossRef]
- Mahmud, M.; Kaiser, M.S.; Hussain, A.; Vassanelli, S. Applications of deep learning and reinforcement learning to biological data. IEEE Trans. Neural Netw. Learn. Syst. 2018, 29, 2063–2079. [Google Scholar] [CrossRef]
- Harsono, I.W.; Liawatimena, S.; Cenggoro, T.W. Lung nodule detection and classification from thorax ct-scan using retinanet with transfer learning. J. King Saud. Univ. Comput. Inf. Sci. 2022, 34, 567–577. [Google Scholar] [CrossRef]
- Panwar, H.; Gupta, P.K.; Siddiqui, M.K.; Morales-Menendez, R.; Bhardwaj, P.; Singh, V. A deep learning and grad-CAM based color visualization approach for fast detection of COVID-19 cases using chest X-ray and CT-Scan images. Chaos Solitons Fractals 2020, 140, 110190. [Google Scholar] [CrossRef]
- Jiao, Z.; Choi, J.W.; Halsey, K.; Tran, T.M.L.; Hsieh, B.; Wang, D.; Eweje, F.; Wang, R.; Chang, K.; Wu, J.; et al. Prognostication of patients with COVID-19 using artificial intelligence based on chest x-rays and clinical data: A retrospective study. Lancet Digit. Health 2021, 3, e286–e294, Erratum in Lancet Digit. Health 2021, 3, e283. [Google Scholar] [CrossRef]
- Al-Waisy, A.S.; Al-Fahdawi, S.; Mohammed, M.A.; Abdulkareem, K.H.; Mostafa, S.A.; Maashi, M.S.; Arif, M.; Garcia-Zapirain, B. COVID-CheXNet: Hybrid deep learning framework for identifying COVID-19 virus in chest X-rays images. Soft Comput. 2020. ahead of print. [Google Scholar] [CrossRef]
- Kassani, S.H.; Kassasni, P.H.; Wesolowski, M.J.; Schneider, K.A.; Deters, R. Automatic detection of coronavirus disease (COVID-19) in x-ray and ct images: A machine learning-based approach. arXiv 2020, arXiv:2004.10641.2004. [Google Scholar] [CrossRef]
- Alruwaili, M.; Shehab, A.; El-Ghany, S.A. COVID-19 Diagnosis Using an Enhanced Inception-ResNetV2 Deep Learning Model in CXR Images. J. Healthc. Eng. 2021, 2021, 6658058. [Google Scholar] [CrossRef]
- Hemdan, E.E.-D.; Shouman, M.A.; Karar, M.E. COVIDX-Net: A Framework of Deep Learning Classifiers to Diagnose COVID-19 in X-Ray Images. arXiv 2020, arXiv:2003.11055. [Google Scholar]
- Kavitha, M.; Jayasankar, T.; Venkatesh, P.M.; Mani, G.; Bharatiraja, C.; Twala, B. COVID-19 disease diagnosis using smart deep learning techniques. J. Appl. Sci. Eng. 2021, 24, 271–277. [Google Scholar]
- Panwar, H.; Gupta, P.K.; Siddiqui, M.K.; Morales-Menendez, R.; Singh, V. Application of deep learning for fast detection of COVID-19 in X-Rays using nCOVnet. Chaos Solitons Fractals 2020, 138, 109944. [Google Scholar] [CrossRef]
- Nguyen, D.; Kay, F.; Tan, J.; Yan, Y.; Ng, Y.S.; Iyengar, P.; Peshock, R.; Jiang, S. Deep learning-based COVID-19 pneumonia classification using chest CT images: Model generalizability. arXiv 2021, arXiv:2102.09616. [Google Scholar] [CrossRef]
- Khan, A.I.; Shah, J.L.; Bhat, M.M. CoroNet: A deep neural network for detection and diagnosis of COVID-19 from chest x-ray images. Comput. Methods Programs Biomed. 2020, 196, 105581. [Google Scholar] [CrossRef]
- Bukhari, S.U.; Bukhari, S.S.; Syed, A.; Shah, S.S. The diagnostic evaluation of Convolutional Neural Network (CNN) for the assessment of chest X-ray of patients infected with COVID-19. medRxiv 2020. preprint. [Google Scholar] [CrossRef]
- Rehman, A.; Iqbal, M.A.; Xing, H.; Ahmed, I. COVID-19 Detection Empowered with Machine Learning and Deep Learning Techniques: A Systematic Review. Appl. Sci. 2021, 11, 3414. [Google Scholar] [CrossRef]
- Gouda, W.; Almurafeh, M.; Humayun, M.; Jhanjhi, N.Z. Detection of COVID-19 Based on Chest X-rays Using Deep Learning. Healthcare 2022, 10, 343. [Google Scholar] [CrossRef]
- El-Shafai, W.; Abd El-Samie, F.E. Extensive COVID-19 X-Ray and CT Chest Images Dataset. Mendeley Data 2020, V3. [Google Scholar] [CrossRef]
- Aljameel, S.S.; Khan, I.U.; Aslam, N.; Aljabri, M.; Alsulmi, E.S. Machine Learning-Based Model to Predict the Disease Severity and Outcome in COVID-19 Patients. Sci. Program. 2021, 2021, 5587188. [Google Scholar] [CrossRef]
- Gangloff, C.; Rafi, S.; Bouzillé, G.; Soulat, L.; Cuggia, M. Machine learning is the key to diagnose COVID-19: A proof-of-concept study. Sci. Rep. 2021, 11, 7166. [Google Scholar] [CrossRef] [PubMed]
- Chapelle, O.; Haffner, P.; Vapnik, V.N. Support Vector Machines for Histogram-Based Image Classification. IEEE Trans. Neural Netw. 2018, 10, 1055–1064. [Google Scholar] [CrossRef] [PubMed]
- He, K.; Zhang, X.; Ren, S.; Sun, J. Deep Residual Learning for Image Recognition. In Proceedings of the 2016 IEEE Conference on Computer Vision and Pattern Recognition, Las Vegas, NV, USA, 27–30 June 2016; pp. 770–778. [Google Scholar]
- Zeng, F.; Hu, W.; He, G.; Yue, C. Imbalanced Thangka image classification research based on the ResNet network. J. Phys. Conf. Ser. 2021, 1748, 042–054. [Google Scholar] [CrossRef]
- Sampa, M.; Jeon, S.; Lee, S.; Managuli, R.; Jang, I.-S.; Kim, C. Multi-Channel Transfer Learning of Chest X-ray Images for Screening of COVID-19. Electronics 2020, 9, 1388. [Google Scholar]
- Selvaraju, R.R.; Cogswell, M.; Das, A.; Vedantam, R.; Parikh, D.; Batra, D. Grad-CAM: Visual Explanations from Deep Networks via Gradient-based Localization. Int. J. Comput. Vis. 2016, 128, 336–359. [Google Scholar] [CrossRef]









| Precision (%) | Recall (%) | Accuracy (%) | F1 Score (%) | |
|---|---|---|---|---|
| Logistic Regression | 72.23 ± 03.22 | 76.71 ± 02.11 | 73.10 ± 02.74 | 74.40 ± 02.49 |
| SVM | 77.13 ± 01.74 | 81.44 ± 02.39 | 82.38 ± 01.61 | 79.23 ± 02.09 |
| ResNet18 | 94.14 ± 00.78 | 95.40 ± 01.51 | 98.20 ± 00.78 | 94.77 ± 01.02 |
| SCovNet | 96.34 ± 00.21 | 97.34 ± 00.47 | 98.67 ± 00.27 | 96.84 ± 00.32 |
| Precision (%) | Recall (%) | Accuracy (%) | F1 Score (%) | |
|---|---|---|---|---|
| Logistic Regression | 70.84 ± 02.48 | 75.12 ± 03.84 | 71.11 ± 03.03 | 72.92 ± 03.01 |
| SVM | 74.11 ± 02.54 | 78.47 ± 02.40 | 77.84 ± 03.03 | 76.23 ± 02.68 |
| ResNet18 | 91.39 ± 01.48 | 93.24 ± 01.73 | 96.44 ± 00.42 | 92.31 ± 01.59 |
| SCovNet | 95.21 ± 00.74 | 96.74 ± 01.54 | 97.62 ± 00.20 | 95.97 ± 01.09 |
| Related Work | Imaging Technique | Model | Dataset (Number of Images) | Accuracy |
|---|---|---|---|---|
| Jun Chen et al. [10] | CT scan | UNet++ | 46,096 | 96.00% |
| Jiao et al. [19] | CXR | EfficientNet | 1834 | 84.60% |
| AI-Waisy et al. [20] | CXR | CheXNet (ResNet34+ HRNets) | 800 | 99.99% |
| Kassani et al. [21] | CXR | DenseNet121 + Bagging tree classifier | 274 | 99.00% |
| Alruwaili M et al. [22] | CXR | Enhanced Inception-ResNetV2 | 2905 | 98.80% |
| Hemdan et al. [23] | CXR | VGG19 and DenseNet201 | 50 | 90.00% |
| Kavitha et al. [24] | CT scan | ResNet-101 + LR | 1545 | 99.15% |
| Panwar H et al. [25] | CXR | nCOVnet (VGG16 + CNN) | 337 | 97.00% |
| Nguyen D et al. [26] | 3D CT scan | CNN | - | 98.80% |
| Khan A et al. [27] | CXR | CoroNet (Xception + CNN) | 1251 | 89.60% |
| Bukhari S et al. [28] | CXR | ResNet-50 | 278 | 98.18% |
| Gouda W et al. [30] | CXR | CNN based on ResNet-50 | 21,165 | 99.63% |
| Misra S et al. [37] | CXR | Ensemble 3 ResNet-18 | 6008 | 93.90% |
| Proposed | CT scan | SCovNet | 8055 | 98.67% |
| Proposed | CXR | SCovNet | 9544 | 97.62% |
Disclaimer/Publisher’s Note: The statements, opinions and data contained in all publications are solely those of the individual author(s) and contributor(s) and not of MDPI and/or the editor(s). MDPI and/or the editor(s) disclaim responsibility for any injury to people or property resulting from any ideas, methods, instructions or products referred to in the content. |
© 2023 by the authors. Licensee MDPI, Basel, Switzerland. This article is an open access article distributed under the terms and conditions of the Creative Commons Attribution (CC BY) license (https://creativecommons.org/licenses/by/4.0/).
Share and Cite
Hayat, A.; Baglat, P.; Mendonça, F.; Mostafa, S.S.; Morgado-Dias, F. Novel Comparative Study for the Detection of COVID-19 Using CT Scan and Chest X-ray Images. Int. J. Environ. Res. Public Health 2023, 20, 1268. https://doi.org/10.3390/ijerph20021268
Hayat A, Baglat P, Mendonça F, Mostafa SS, Morgado-Dias F. Novel Comparative Study for the Detection of COVID-19 Using CT Scan and Chest X-ray Images. International Journal of Environmental Research and Public Health. 2023; 20(2):1268. https://doi.org/10.3390/ijerph20021268
Chicago/Turabian StyleHayat, Ahatsham, Preety Baglat, Fábio Mendonça, Sheikh Shanawaz Mostafa, and Fernando Morgado-Dias. 2023. "Novel Comparative Study for the Detection of COVID-19 Using CT Scan and Chest X-ray Images" International Journal of Environmental Research and Public Health 20, no. 2: 1268. https://doi.org/10.3390/ijerph20021268
APA StyleHayat, A., Baglat, P., Mendonça, F., Mostafa, S. S., & Morgado-Dias, F. (2023). Novel Comparative Study for the Detection of COVID-19 Using CT Scan and Chest X-ray Images. International Journal of Environmental Research and Public Health, 20(2), 1268. https://doi.org/10.3390/ijerph20021268

