Age-Period-Cohort Study of Breast Cancer Mortality in Brazil in State Capitals and in Non-Capital Municipalities from 1980 to 2019
Abstract
1. Introduction
2. Materials and Methods
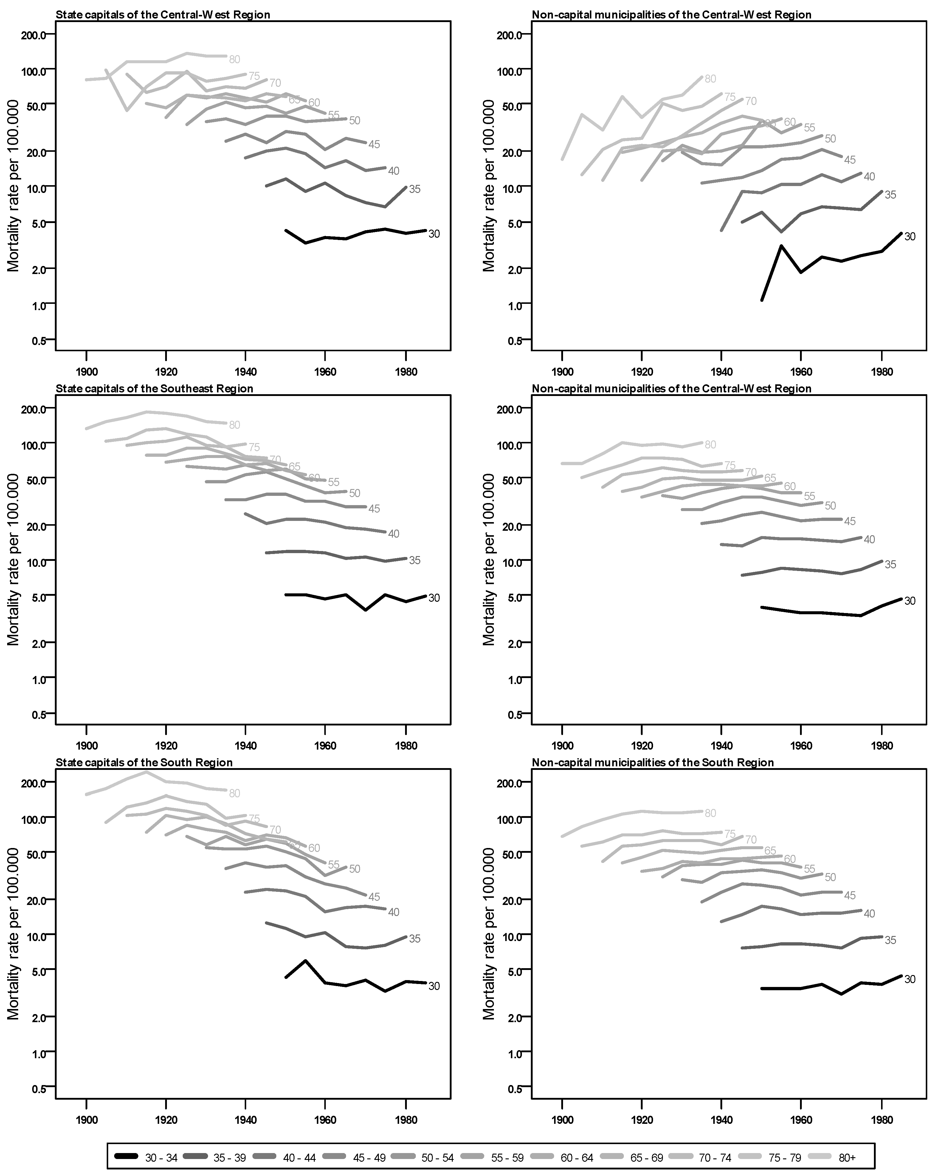
3. Results
4. Discussion
5. Conclusions
Author Contributions
Funding
Institutional Review Board Statement
Informed Consent Statement
Data Availability Statement
Conflicts of Interest
Appendix A
Appendix B
| Brazil | North | |||||||
|---|---|---|---|---|---|---|---|---|
| State capitals | Non-capital municipalities | State capitals | Non-capital municipalities | |||||
| Age group | MR | 95% CI | MR | 95% CI | MR | 95% CI | MR | 95% CI |
| 30–34 | 4.66 | (4.45–4.88) | 2.69 | (2.6–2.78) | 2.63 | (2.16–3.19) | 0.53 | (0.41–0.68) |
| 35–39 | 10.84 | (10.48–11.21) | 6.37 | (6.21–6.53) | 6.38 | (5.5–7.41) | 1.50 | (1.24–1.82) |
| 40–44 | 19.98 | (19.44–20.54) | 12.01 | (11.76–12.26) | 12.96 | (11.43–14.69) | 3.15 | (2.68–3.7) |
| 45–49 | 31.13 | (30.37–31.9) | 18.93 | (18.59–19.29) | 20.85 | (18.62–23.34) | 5.99 | (5.2–6.9) |
| 50–54 | 43.34 | (42.36–44.33) | 26.28 | (25.83–26.73) | 28.01 | (25.16–31.17) | 9.02 | (7.91–10.27) |
| 55–59 | 52.33 | (51.17–53.5) | 32.98 | (32.44–33.53) | 37.12 | (33.47–41.18) | 12.28 | (10.84–13.92) |
| 60–64 | 58.32 | (57.04–59.62) | 37.42 | (36.8–38.05) | 44.56 | (40.16–49.45) | 15.60 | (13.76–17.69) |
| 65–69 | 65.05 | (63.58–66.55) | 44.10 | (43.35–44.85) | 46.77 | (41.89–52.23) | 18.50 | (16.2–21.14) |
| 70–74 | 76.74 | (74.95–78.57) | 54.83 | (53.88–55.81) | 60.42 | (53.9–67.72) | 28.06 | (24.46–32.19) |
| 75–79 | 92.55 | (90.03–95.14) | 68.05 | (66.62–69.52) | 77.86 | (67.61–89.66) | 39.69 | (33.27–47.35) |
| 80+ | 137.09 | (133.64–140.62) | 102.42 | (100.4–104.49) | 112.39 | (98.32–128.47) | 66.72 | (56.15–79.29) |
| Northeast | Central-West | |||||||
| State capitals | Non-capital municipalities | State capitals | Non-capital municipalities | |||||
| Age group | MR | 95% CI | MR | 95% CI | MR | 95% CI | MR | 95% CI |
| 30–34 | 4.36 | (3.95–4.81) | 1.29 | (1.19–1.4) | 4.26 | (3.65–4.97) | 1.75 | (1.48–2.07) |
| 35–39 | 10.35 | (9.63–11.12) | 3.23 | 3.23 (3.04–3.42) | 9.61 | (8.56–10.78) | 4.81 | (4.26–5.44) |
| 40–44 | 17.51 | (16.47–18.62) | 6.30 | 6.3 (5.99–6.62) | 18.01 | (16.37–19.83) | 8.68 | (7.82–9.63) |
| 45–49 | 28.05 | (26.55–29.63) | 10.15 | 10.15 (9.7–10.62) | 26.84 | (24.61–29.27) | 14.11 | (12.86–15.5) |
| 50–54 | 39.07 | (37.13–41.11) | 14.87 | 14.87 (14.26–15.51) | 39.17 | (36.17–42.42) | 20.16 | (18.49–21.99) |
| 55–59 | 47.61 | (45.28–50.06) | 19.06 | 19.06 (18.29–19.85) | 46.59 | (43.05–50.42) | 27.54 | (25.34–29.93) |
| 60–64 | 49.88 | (47.41–52.48) | 23.03 | 23.03 (22.11–23.99) | 57.15 | (52.84–61.81) | 31.44 | (28.89–34.22) |
| 65–69 | 56.43 | (53.56–59.45) | 28.87 | 28.87 (27.69–30.09) | 58.40 | (53.75–63.45) | 38.49 | (35.27–42.01) |
| 70–74 | 66.16 | (62.68–69.84) | 39.06 | 39.06 (37.44–40.75) | 78.51 | (72.15–85.42) | 49.79 | (45.43–54.58) |
| 75–79 | 84.29 | (79.08–89.85) | 50.59 | 50.59 (48.02–53.29) | 90.67 | (81.51–100.85) | 69.54 | (61.88–78.15) |
| 80+ | 132.44 | (124.85–140.48) | 90.74 | 90.74 (86.46–95.23) | 134.41 | (121.6–148.58) | 105.13 | (93.72–117.93) |
| Southeast | South | |||||||
| State capitals | Non-capital municipalities | State capitals | Non-capital municipalities | |||||
| Age group | MR | 95% CI | MR | 95% CI | MR | 95% CI | MR | 95% CI |
| 30–34 | 5.35 | (5.03–5.7) | 3.44 | (3.28–3.61) | 5.36 | (4.56–6.29) | 3.45 | (3.2–3.71) |
| 35–39 | 12.31 | (11.77–12.87) | 7.85 | (7.58–8.13) | 11.90 | (10.62–13.33) | 8.15 | (7.73–8.59) |
| 40–44 | 22.66 | (21.85–23.5) | 14.68 | (14.26–15.1) | 23.92 | (21.9–26.13) | 15.42 | (14.76–16.09) |
| 45–49 | 34.81 | (33.71–35.95) | 22.90 | (22.33–23.49) | 36.34 | (33.64–39.27) | 24.16 | (23.25–25.1) |
| 50–54 | 47.87 | (46.48–49.31) | 31.32 | (30.59–32.06) | 50.91 | (47.45–54.61) | 33.45 | (32.29–34.66) |
| 55–59 | 57.30 | (55.66–58.99) | 39.32 | (38.44–40.22) | 59.08 | (55.15–63.29) | 41.29 | (39.9–42.73) |
| 60–64 | 63.41 | (61.61–65.28) | 44.17 | (43.17–45.18) | 67.07 | (62.68–71.76) | 45.56 | (44–47.16) |
| 65–69 | 71.54 | (69.45–73.69) | 50.51 | (49.33–51.71) | 72.54 | (67.66–77.78) | 55.91 | (53.98–57.9) |
| 70–74 | 82.45 | (79.96–85.02) | 61.23 | (59.76–62.74) | 86.64 | (80.67–93.05) | 69.22 | (66.75–71.77) |
| 75–79 | 97.93 | (94.53–101.46) | 75.24 | (73.07–77.47) | 104.22 | (95.95–113.2) | 84.78 | (81.13–88.58) |
| 80+ | 142.66 | (138.07–147.4) | 107.27 | (104.35–110.27) | 160.94 | (149.19–173.61) | 129.23 | (123.99–134.69) |
| Brazil | North | |||||||
|---|---|---|---|---|---|---|---|---|
| State capitals | Non-capital municipalities | State capitals | Non-capital municipalities | |||||
| Cohort | RR | 95% CI | RR | 95% CI | RR | 95% CI | RR | 95% CI |
| 1900–04 | 0.89 | (0.82–0.97) | 0.57 | (0.53–0.61) | 0.62 | (0.38–0.99) | 0.45 | (0.24–0.85) |
| 1905–09 | 0.97 | (0.92–1.03) | 0.61 | (0.58–0.64) | 0.62 | (0.44–0.86) | 0.26 | (0.16–0.43) |
| 1910–14 | 1.05 | (1.01–1.1) | 0.65 | (0.63–0.68) | 0.54 | (0.41–0.7) | 0.38 | (0.27–0.52) |
| 1915–19 | 1.10 | (1.07–1.14) | 0.73 | (0.71–0.76) | 0.74 | (0.6–0.9) | 0.29 | (0.21–0.4) |
| 1920–24 | 1.10 | (1.07–1.14) | 0.76 | (0.74–0.78) | 0.67 | (0.56–0.81) | 0.34 | (0.26–0.43) |
| 1925–29 | 1.13 | (1.1–1.16) | 0.84 | (0.82–0.86) | 0.85 | (0.73–0.98) | 0.45 | (0.36–0.55) |
| 1930–34 | 1.07 | (1.04–1.09) | 0.86 | (0.85–0.88) | 0.79 | (0.69–0.91) | 0.57 | (0.48–0.68) |
| 1935–39 | 1.03 | (1–1.05) | 0.89 | (0.87–0.9) | 0.83 | (0.73–0.94) | 0.68 | (0.58–0.79) |
| 1940–44 | 1.01 | (0.99–1.04) | 0.93 | (0.91–0.94) | 0.91 | (0.81–1.03) | 0.81 | (0.7–0.93) |
| 1945–49 | 1.00 | (ref) | 1.00 | (ref) | 1.00 | (ref) | 1.00 | (ref) |
| 1950–54 | 0.99 | (0.97–1.02) | 1.07 | (1.05–1.09) | 1.14 | (1.02–1.27) | 1.32 | (1.16–1.5) |
| 1955–59 | 0.92 | (0.9–0.95) | 1.08 | (1.06–1.1) | 1.12 | (1–1.25) | 1.42 | (1.24–1.62) |
| 1960–64 | 0.88 | (0.86–0.9) | 1.06 | (1.04–1.08) | 1.14 | (1.01–1.28) | 1.83 | (1.58–2.11) |
| 1965–69 | 0.87 | (0.84–0.89) | 1.13 | (1.11–1.15) | 1.11 | (0.98–1.27) | 2.15 | (1.83–2.52) |
| 1970–74 | 0.85 | (0.82–0.88) | 1.11 | (1.08–1.14) | 1.23 | (1.07–1.43) | 2.46 | (2.05–2.95) |
| 1975–79 | 0.86 | (0.82–0.9) | 1.23 | (1.19–1.27) | 1.23 | (1.03–1.47) | 3.15 | (2.54–3.9) |
| 1980–84 | 0.94 | (0.88–0.99) | 1.39 | (1.34–1.45) | 1.38 | (1.11–1.73) | 3.75 | (2.88–4.88) |
| 1985–89 | 0.96 | (0.87–1.06) | 1.47 | (1.38–1.57) | 1.40 | (0.99–1.99) | 5.06 | (3.5–7.32) |
| Northeast | Central-West | |||||||
| State capitals | Non-capital municipalities | State capitals | Non-capital municipalities | |||||
| Cohort | RR | 95% CI | RR | 95% CI | RR | 95% CI | RR | 95% CI |
| 1900–04 | 0.68 | (0.56–0.83) | 0.32 | (0.27–0.38) | 0.62 | (0.38–1.01) | 0.17 | (0.08–0.35) |
| 1905–09 | 0.72 | (0.63–0.83) | 0.37 | (0.33–0.42) | 0.79 | (0.6–1.05) | 0.29 | (0.2–0.41) |
| 1910–14 | 0.89 | (0.8–0.98) | 0.43 | (0.4–0.47) | 0.83 | (0.68–1.02) | 0.28 | (0.2–0.37) |
| 1915–19 | 0.92 | (0.85–1) | 0.44 | (0.41–0.47) | 0.81 | (0.68–0.95) | 0.48 | (0.39–0.58) |
| 1920–24 | 0.96 | (0.89–1.03) | 0.49 | (0.46–0.52) | 0.85 | (0.74–0.97) | 0.41 | (0.34–0.48) |
| 1925–29 | 1.01 | (0.95–1.08) | 0.60 | (0.56–0.63) | 1.02 | (0.92–1.14) | 0.57 | (0.5–0.65) |
| 1930–34 | 0.96 | (0.9–1.02) | 0.67 | (0.64–0.7) | 0.94 | (0.85–1.03) | 0.65 | (0.58–0.73) |
| 1935–39 | 0.98 | (0.93–1.03) | 0.76 | (0.73–0.8) | 0.96 | (0.88–1.05) | 0.73 | (0.67–0.81) |
| 1940–44 | 1.05 | (1–1.11) | 0.90 | (0.86–0.94) | 0.94 | (0.87–1.03) | 0.83 | (0.76–0.91) |
| 1945–49 | 1.00 | (ref) | 1.00 | (ref) | 1.00 | (ref) | 1.00 | (ref) |
| 1950–54 | 1.02 | (0.97–1.08) | 1.22 | (1.17–1.27) | 1.03 | (0.95–1.12) | 1.06 | (0.97–1.16) |
| 1955–59 | 0.97 | (0.92–1.02) | 1.38 | (1.32–1.44) | 0.98 | (0.9–1.06) | 1.12 | (1.02–1.23) |
| 1960–64 | 0.93 | (0.88–0.99) | 1.56 | (1.49–1.64) | 0.89 | (0.81–0.98) | 1.20 | (1.09–1.32) |
| 1965–69 | 0.93 | (0.87–0.99) | 1.80 | (1.71–1.89) | 0.94 | (0.85–1.03) | 1.38 | (1.24–1.53) |
| 1970–74 | 0.88 | (0.82–0.95) | 1.83 | (1.73–1.94) | 0.84 | (0.74–0.94) | 1.27 | (1.12–1.43) |
| 1975–79 | 0.92 | (0.84–1.01) | 2.12 | (1.98–2.27) | 0.79 | (0.68–0.92) | 1.41 | (1.22–1.63) |
| 1980–84 | 0.95 | (0.84–1.07) | 2.44 | (2.23–2.66) | 0.99 | (0.82–1.19) | 1.77 | (1.47–2.13) |
| 1985–89 | 0.88 | (0.71–1.08) | 2.21 | (1.91–2.57) | 0.96 | (0.71–1.31) | 2.21 | (1.67–2.93) |
| Southeast | South | |||||||
| State capitals | Non-capital municipalities | State capitals | Non-capital municipalities | |||||
| Cohort | RR | 95% CI | RR | 95% CI | RR | 95% CI | RR | 95% CI |
| 1900–04 | 1.01 | (0.91–1.11) | 0.66 | (0.6–0.73) | 1.05 | (0.83–1.33) | 0.56 | (0.48–0.66) |
| 1905–09 | 1.12 | (1.05–1.2) | 0.68 | (0.63–0.72) | 1.01 | (0.86–1.2) | 0.66 | (0.6–0.73) |
| 1910–14 | 1.16 | (1.1–1.22) | 0.75 | (0.71–0.78) | 1.23 | (1.09–1.39) | 0.69 | (0.64–0.74) |
| 1915–19 | 1.20 | (1.15–1.26) | 0.84 | (0.81–0.88) | 1.26 | (1.13–1.39) | 0.79 | (0.74–0.84) |
| 1920–24 | 1.18 | (1.13–1.22) | 0.87 | (0.84–0.9) | 1.26 | (1.15–1.38) | 0.81 | (0.77–0.85) |
| 1925–29 | 1.18 | (1.14–1.22) | 0.93 | (0.9–0.96) | 1.23 | (1.14–1.34) | 0.84 | (0.81–0.88) |
| 1930–34 | 1.11 | (1.07–1.14) | 0.92 | (0.89–0.94) | 1.15 | (1.07–1.24) | 0.87 | (0.84–0.91) |
| 1935–39 | 1.05 | (1.02–1.08) | 0.93 | (0.91–0.95) | 1.06 | (0.99–1.14) | 0.88 | (0.84–0.91) |
| 1940–44 | 1.02 | (0.99–1.05) | 0.95 | (0.93–0.97) | 1.00 | (0.93–1.08) | 0.92 | (0.88–0.95) |
| 1945–49 | 1.00 | (ref) | 1.00 | (ref) | 1.00 | (ref) | 1.00 | (ref) |
| 1950–54 | 0.97 | (0.94–1) | 1.04 | (1.02–1.07) | 0.96 | (0.89–1.04) | 1.02 | (0.98–1.05) |
| 1955–59 | 0.89 | (0.87–0.93) | 1.01 | (0.99–1.04) | 0.85 | (0.78–0.91) | 1.01 | (0.98–1.05) |
| 1960–64 | 0.87 | (0.84–0.9) | 0.97 | (0.94–1) | 0.69 | (0.63–0.76) | 0.93 | (0.89–0.97) |
| 1965–69 | 0.84 | (0.8–0.87) | 1.01 | (0.98–1.04) | 0.72 | (0.65–0.79) | 0.99 | (0.94–1.03) |
| 1970–74 | 0.84 | (0.8–0.88) | 1.00 | (0.97–1.04) | 0.67 | (0.59–0.77) | 0.96 | (0.91–1.02) |
| 1975–79 | 0.84 | (0.79–0.89) | 1.09 | (1.04–1.13) | 0.69 | (0.59–0.81) | 1.09 | (1.02–1.17) |
| 1980–84 | 0.88 | (0.81–0.96) | 1.27 | (1.2–1.34) | 0.81 | (0.66–1.01) | 1.16 | (1.06–1.28) |
| 1985–89 | 0.97 | (0.84–1.12) | 1.39 | (1.27–1.53) | 0.74 | (0.5–1.08) | 1.31 | (1.12–1.52) |
| Brazil | North | |||||||
|---|---|---|---|---|---|---|---|---|
| State capitals | Non-capital municipalities | State capitals | Non-capital municipalities | |||||
| Period | RR | 95% CI | RR | 95% CI | RR | 95% CI | RR | 95% CI |
| 1980–84 | 1.02 | (1–1.05) | 0.76 | (0.75–0.78) | 0.81 | (0.71–0.93) | 0.34 | (0.27–0.42) |
| 1985–89 | 1.03 | (1–1.05) | 0.82 | (0.8–0.83) | 0.77 | (0.68–0.88) | 0.49 | (0.41–0.58) |
| 1990–94 | 1.09 | (1.06–1.11) | 0.90 | (0.88–0.92) | 0.89 | (0.79–0.99) | 0.60 | (0.52–0.69) |
| 1995–99 | 1.11 | (1.09–1.14) | 0.94 | (0.93–0.96) | 0.96 | (0.87–1.07) | 0.66 | (0.58–0.75) |
| 2000–04 | 1.01 | (0.99–1.03) | 0.97 | (0.96–0.99) | 0.96 | (0.88–1.06) | 0.80 | (0.72–0.9) |
| 2005–09 | 1.00 | (ref) | 1.00 | (ref) | 1.00 | (ref) | 1.00 | (ref) |
| 2010–14 | 0.93 | (0.91–0.95) | 1.01 | (0.99–1.02) | 1.06 | (0.97–1.15) | 1.06 | (0.97–1.17) |
| 2015–19 | 0.94 | (0.92–0.96) | 1.09 | (1.08–1.11) | 1.19 | (1.1–1.29) | 1.34 | (1.22–1.46) |
| Northeast | Central-West | |||||||
| State capitals | Non-capital municipalities | State capitals | Non-capital municipalities | |||||
| Period | RR | 95% CI | RR | 95% CI | RR | 95% CI | RR | 95% CI |
| 1980–84 | 0.99 | (0.93–1.05) | 0.51 | (0.49–0.54) | 1.00 | (0.9–1.12) | 0.52 | (0.45–0.59) |
| 1985–89 | 0.98 | (0.93–1.04) | 0.57 | (0.55–0.6) | 1.04 | (0.95–1.15) | 0.67 | (0.6–0.75) |
| 1990–94 | 1.01 | (0.96–1.06) | 0.61 | (0.59–0.64) | 1.06 | (0.97–1.15) | 0.62 | (0.56–0.69) |
| 1995–99 | 0.99 | (0.94–1.04) | 0.66 | (0.63–0.69) | 1.14 | (1.06–1.24) | 0.74 | (0.67–0.81) |
| 2000–04 | 0.93 | (0.89–0.97) | 0.79 | (0.76–0.82) | 1.06 | (0.98–1.14) | 0.85 | (0.78–0.92) |
| 2005–09 | 1.00 | (ref) | 1.00 | (ref) | 1.00 | (ref) | 1.00 | (ref) |
| 2010–14 | 0.99 | (0.95–1.03) | 1.07 | (1.03–1.1) | 1.08 | (1.01–1.15) | 1.06 | (0.99–1.13) |
| 2015–19 | 1.03 | (0.99–1.08) | 1.25 | (1.21–1.28) | 1.09 | (1.02–1.16) | 1.25 | (1.17–1.34) |
| Southeast | South | |||||||
| State capitals | Non-capital municipalities | State capitals | Non-capital municipalities | |||||
| Period | RR | 95% CI | RR | 95% CI | RR | 95% CI | RR | 95% CI |
| 1980–84 | 1.04 | (1–1.07) | 0.84 | (0.82–0.86) | 1.13 | (1.05–1.23) | 0.81 | (0.78–0.85) |
| 1985–89 | 1.03 | (1–1.06) | 0.87 | (0.85–0.9) | 1.21 | (1.12–1.3) | 0.89 | (0.86–0.93) |
| 1990–94 | 1.11 | (1.07–1.14) | 0.97 | (0.95–1) | 1.19 | (1.11–1.27) | 1.00 | (0.96–1.03) |
| 1995–99 | 1.15 | (1.12–1.18) | 1.04 | (1.02–1.06) | 1.19 | (1.12–1.27) | 1.00 | (0.96–1.03) |
| 2000–04 | 1.03 | (1–1.06) | 1.03 | (1.01–1.05) | 1.06 | (0.99–1.13) | 1.02 | (0.99–1.05) |
| 2005–09 | 1.00 | (ref) | 1.00 | (ref) | 1.00 | (ref) | 1.00 | (ref) |
| 2010–14 | 0.89 | (0.87–0.91) | 0.98 | (0.96–1) | 0.90 | (0.85–0.96) | 1.01 | (0.98–1.04) |
| 2015–19 | 0.88 | (0.85–0.9) | 1.04 | (1.02–1.06) | 0.87 | (0.82–0.93) | 1.05 | (1.02–1.08) |
References
- Wild, C.P.; Weiderpass, E.; Stewart, B.W. World Cancer Report: Cancer Research for Cancer Development; IARC: Lyon, France, 2020; ISBN 978-92-832-0447-3.
- Sung, H.; Ferlay, J.; Siegel, R.L.; Laversanne, M.; Soerjomataram, I.; Jemal, A.; Bray, F. Global Cancer Statistics 2020: GLOBOCAN Estimates of Incidence and Mortality Worldwide for 36 Cancers in 185 Countries. CA Cancer J. Clin. 2021, 71, 209–249. [Google Scholar] [CrossRef] [PubMed]
- e Silva, G.A.; Jardim, B.C.; de Ferreira, V.M.; Junger, W.L.; Girianelli, V.R. Cancer Mortality in the Capitals and in the Interior of Brazil: A Four-Decade Analysis. Rev. Saúde Pública 2020, 54, 126. [Google Scholar] [CrossRef]
- Instituto Nacional de Câncer INCA. Estimativa 2023: Incidência de Câncer no Brasil, 1st ed.; INCA: Rio de Janeiro, Brasil, 2022; ISBN 978-65-88517-10-9.
- Teixeira, L.A.; Araújo Neto, L.A. Breast Cancer in Brazil: Medicine and Public Health in 20th Century. Saúde E Soc. 2020, 29, e180753. [Google Scholar]
- Holford, T.R. The Estimation of Age, Period and Cohort Effects for Vital Rates. Biometrics 1983, 39, 311. [Google Scholar] [CrossRef]
- Fosse, E.; Winship, C. Analyzing Age-Period-Cohort Data: A Review and Critique. Annu. Rev. Sociol. 2019, 45, 467–492. [Google Scholar] [CrossRef]
- Yang, Y.; Land, K.C. Age-Period-Cohort Analysis: New Models, Methods, and Empirical Applications, 1st ed.; Chapman and Hall/CRC: Boca Raton, FL, USA, 2016; ISBN 978-0-429-09620-4. [Google Scholar]
- Wang, F.; Mubarik, S.; Zhang, Y.; Wang, L.; Wang, Y.; Yu, C.; Li, H. Long-Term Trends of Liver Cancer Incidence and Mortality in China 1990–2017: A Joinpoint and Age–Period–Cohort Analysis. Int. J. Environ. Res. Public. Health 2019, 16, 2878. [Google Scholar] [CrossRef]
- Gangnon, R.E.; Stout, N.K.; Alagoz, O.; Hampton, J.M.; Sprague, B.L.; Trentham-Dietz, A. Contribution of Breast Cancer to Overall Mortality for US Women. Med. Decis. Mak. 2018, 38, 24S–31S. [Google Scholar] [CrossRef]
- Barchuk, A.; Bespalov, A.; Huhtala, H.; Chimed, T.; Laricheva, I.; Belyaev, A.; Bray, F.; Anttila, A.; Auvinen, A. Breast and Cervical Cancer Incidence and Mortality Trends in Russia 1980–2013. Cancer Epidemiol. 2018, 55, 73–80. [Google Scholar] [CrossRef]
- Ding, Y.; Chen, X.; Zhang, Q.; Liu, Q. Historical Trends in Breast Cancer among Women in China from Age-Period-Cohort Modeling of the 1990–2015 Breast Cancer Mortality Data. BMC Public Health 2020, 20, 1280. [Google Scholar] [CrossRef]
- Mubarik, S.; Wang, F.; Fawad, M.; Wang, Y.; Ahmad, I.; Yu, C. Trends and Projections in Breast Cancer Mortality among Four Asian Countries (1990–2017): Evidence from Five Stochastic Mortality Models. Sci. Rep. 2020, 10, 5480. [Google Scholar] [CrossRef]
- Yin, M.; Wang, F.; Zhang, Y.; Meng, R.; Yuan, X.; Wang, Q.; Yu, Y. Analysis on Incidence and Mortality Trends and Age–Period–Cohort of Breast Cancer in Chinese Women from 1990 to 2019. Int. J. Environ. Res. Public Health 2023, 20, 826. [Google Scholar] [CrossRef] [PubMed]
- Meira, K.C.; Guimarães, R.M. Análise de efeito idade-período-coorte na mortalidade por câncer de mama no Brasil e regiões. Rev. Panam. Salud. Publica 2015, 7, 402–408. [Google Scholar]
- Mathers, C.D.; Shibuya, K.; Boschi-Pinto, C.; Lopez, A.D.; Murray, C.J. Global and Regional Estimates of Cancer Mortality and Incidence by Site: I. Application of Regional Cancer Survival Model to Estimate Cancer Mortality Distribution by Site. BMC Cancer 2002, 2, 36. [Google Scholar] [CrossRef]
- Couto, M.S.; Firme, V.D.; Guerra, M.R.; Bustamante-Teixeira, M.T. The Effect of Redistribution of Ill-Defined Causes of Death on the Mortality Rate of Breast Cancer in Brazil. Ciênc. Saúde Coletiva 2019, 24, 3517–3528. [Google Scholar] [CrossRef] [PubMed]
- Clayton, D.; Schifflers, E. Models for Temporal Variation in Cancer Rates. I: Age–Period and Age–Cohort Models. Stat. Med. 1987, 6, 449–467. [Google Scholar] [CrossRef] [PubMed]
- Carstensen, B. Age–Period–Cohort Models for the Lexis Diagram. Stat. Med. 2007, 26, 3018–3045. [Google Scholar] [CrossRef]
- Freitas-Junior, R.; Gonzaga, C.M.R.; Freitas, N.M.A.; Martins, E.; de Cássia de Maio Dardes, R. Disparities in Female Breast Cancer Mortality Rates in Brazil between 1980 and 2009. Clinics 2012, 67, 731–737. [Google Scholar] [CrossRef]
- Kluthcovsky, A.C.G.C.; Faria, T.N.P.; Carneiro, F.H.; Strona, R. Female Breast Cancer Mortality in Brazil and Its Regions. Rev. Assoc. Médica Bras. 2014, 60, 387–393. [Google Scholar] [CrossRef][Green Version]
- Guerra, M.R.; Nogueira, M.C.; Malta, D.C.; Côrrea, C.S.L.; Souza, M.D.F.M.D.; Curado, M.P.; Felisbino-Mendes, M.S.; Mooney, M.; Naghavi, M.; Bustamante-Teixeira, M.T. Inequalities in the Burden of Female Breast Cancer in Brazil, 1990–2017. Popul. Health Metr. 2020, 18, 8. [Google Scholar] [CrossRef]
- Instituto Nacional de Câncer José Alencar Gomes da Silva INCA Atlas On-Line de Mortalidade 2023. Available online: https://www.inca.gov.br/MortalidadeWeb (accessed on 22 June 2023).
- Eilstein, D.; Eshai, K. Lung and Breast Cancer Mortality among Women in France: Future Trends. Cancer Epidemiol. 2012, 36, e341–e348. [Google Scholar] [CrossRef]
- Wang, Z.; Bao, J.; Yu, C.; Wang, J.; Li, C. Secular Trends of Breast Cancer in China, South Korea, Japan and the United States: Application of the Age-Period-Cohort Analysis. Int. J. Environ. Res. Public. Health 2015, 12, 15409–15418. [Google Scholar] [CrossRef] [PubMed]
- Ho, M.-L.; Hsiao, Y.-H.; Su, S.-Y.; Chou, M.-C.; Liaw, Y.-P. Mortality of Breast Cancer in Taiwan, 1971–2010: Temporal Changes and an Age–Period–Cohort Analysis. J. Obstet. Gynaecol. 2015, 35, 60–63. [Google Scholar] [CrossRef] [PubMed][Green Version]
- Lee, P.-J.; Jhuang, J.-R.; Chen, Y.-C.; Su, S.-Y.; Chiang, C.-J.; Yang, Y.-W.; Hsieh, P.-C.; Chen, M.-J.; Lee, W.-C. Urban–Rural Disparity in Birth Cohort Effects on Breast Cancer Incidence. J. Urban Health 2023, 100, 341–354. [Google Scholar] [CrossRef] [PubMed]
- Bai, X.; Zhang, X.; Xiang, W.; Wang, Y.; Cao, Y.; Geng, G.; Wu, B.; Lai, Y.; Li, Y.; Shi, B. Time Tracking and Multidimensional Influencing Factors Analysis on Female Breast Cancer Mortality: Evidence from Urban and Rural China between 1994 to 2019. Front. Public Health 2022, 10, 1000892. [Google Scholar] [CrossRef] [PubMed]
- Vasconcelos, A.M.N.; Gomes, M.M.F. Transição demográfica: A experiência brasileira. Epidemiol. E Serviços Saúde 2012, 21, 539–548. [Google Scholar] [CrossRef]
- Schramm, J.M.D.A.; Oliveira, A.F.D.; Leite, I.D.C.; Valente, J.G.; Gadelha, Â.M.J.; Portela, M.C.; Campos, M.R. Transição epidemiológica e o estudo de carga de doença no Brasil. Ciênc. Saúde Coletiva 2004, 9, 897–908. [Google Scholar] [CrossRef]
- Instituto Brasileiro de Geografia e Estatística IBGE. Tábua Completa de Mortalidade Para o Brasil—2019: Breve Análise da Evolução da Mortalidade no Brasil; IBGE: Rio de Janeiro, Brasil, 2020.
- Benz, C.C. Impact of Aging on the Biology of Breast Cancer. Crit. Rev. Oncol. Hematol. 2008, 66, 65–74. [Google Scholar] [CrossRef]
- Campisi, J.; Yaswen, P. Aging and Cancer Cell Biology, 2009. Aging Cell 2009, 8, 221–225. [Google Scholar] [CrossRef]
- Li, D.; De Glas, N.A.; Hurria, A. Cancer and Aging. Clin. Geriatr. Med. 2016, 32, 1–15. [Google Scholar] [CrossRef]
- Zhang, X.; Meng, X.; Chen, Y.; Leng, S.X.; Zhang, H. The Biology of Aging and Cancer. Cancer J. 2017, 23, 201–205. [Google Scholar] [CrossRef]
- Heer, E.; Harper, A.; Escandor, N.; Sung, H.; McCormack, V.; Fidler-Benaoudia, M.M. Global Burden and Trends in Premenopausal and Postmenopausal Breast Cancer: A Population-Based Study. Lancet Glob. Health 2020, 8, e1027–e1037. [Google Scholar] [CrossRef] [PubMed]
- Ilic, L.; Haidinger, G.; Simon, J.; Hackl, M.; Schernhammer, E.; Papantoniou, K. Trends in Female Breast Cancer Incidence, Mortality, and Survival in Austria, with Focus on Age, Stage, and Birth Cohorts (1983–2017). Sci. Rep. 2022, 12, 7048. [Google Scholar] [CrossRef] [PubMed]
- Lambertini, M.; Massarotti, C.; Havas, J.; Pistilli, B.; Martin, A.-L.; Jacquet, A.; Coutant, C.; Coussy, F.; Mérimèche, A.D.; Lerebours, F.; et al. Contraceptive Use in Premenopausal Women with Early Breast Cancer. JAMA Netw. Open 2022, 5, e2233137. [Google Scholar] [CrossRef]
- Mørch, L.S.; Skovlund, C.W.; Hannaford, P.C.; Iversen, L.; Fielding, S.; Lidegaard, Ø. Contemporary Hormonal Contraception and the Risk of Breast Cancer. N. Engl. J. Med. 2017, 377, 2228–2239. [Google Scholar] [CrossRef] [PubMed]
- Navarrete-Reyes, A.P.; Soto-Pérez-de-Celis, E.; Hurria, A. Cancer and Aging: A Complex Biological Association. Cancer Aging 2016, 68, 17–24. [Google Scholar]
- Thomas, A.; Rhoads, A.; Pinkerton, E.; Schroeder, M.C.; Conway, K.M.; Hundley, W.G.; McNally, L.R.; Oleson, J.; Lynch, C.F.; Romitti, P.A. Incidence and Survival Among Young Women with Stage I–III Breast Cancer: SEER 2000–2015. JNCI Cancer Spectr. 2019, 3, pkz040. [Google Scholar] [CrossRef]
- Daly, A.A.; Rolph, R.; Cutress, R.I.; Copson, E.R. A Review of Modifiable Risk Factors in Young Women for the Prevention of Breast Cancer. Breast Cancer Targets Ther. 2021, 13, 241–257. [Google Scholar] [CrossRef]
- Malta, D.C.; Gomes, C.S.; de Andrade, F.M.D.; Prates, E.J.S.; Alves, F.T.A.; de Oliveira, P.P.V.; de Freitas, P.C.; Pereira, C.A.; Caixeta, R. de B. Tobacco Use, Cessation, Secondhand Smoke and Exposure to Media about Tobacco in Brazil: Results of the National Health Survey 2013 and 2019. Rev. Bras. Epidemiol. 2021, 24, e210006. [Google Scholar] [CrossRef]
- Ferreira, A.P.d.S.; Szwarcwald, C.L.; Damacena, G.N.; Souza Júnior, P.R.B. de Increasing Trends in Obesity Prevalence from 2013 to 2019 and Associated Factors in Brazil. Rev. Bras. Epidemiol. 2021, 24, e210009. [Google Scholar] [CrossRef]
- Mielke, G.I.; Stopa, S.R.; Gomes, C.S.; da Silva, A.G.; Alves, F.T.A.; Vieira, M.L.F.P.; Malta, D.C. Leisure Time Physical Activity among Brazilian Adults: National Health Survey 2013 and 2019. Rev. Bras. Epidemiol. 2021, 24, e210008. [Google Scholar] [CrossRef]
- Boccolini, C.S.; Boccolini, P.D.M.M.; Monteiro, F.R.; Venâncio, S.I.; Giugliani, E.R.J. Breastfeeding Indicators Trends in Brazil for Three Decades. Rev. Saúde Pública 2017, 51, 108. [Google Scholar] [CrossRef] [PubMed][Green Version]
- Gonzaga, C.M.R.; Freitas-Junior, R.; Curado, M.-P.; Sousa, A.-L.L.; Souza-Neto, J.-A.; Souza, M.R. Temporal Trends in Female Breast Cancer Mortality in Brazil and Correlations with Social Inequalities: Ecological Time-Series Study. BMC Public Health 2015, 15, 96. [Google Scholar] [CrossRef] [PubMed]
- Teixeira Porto, M.A.; Teixeira, L.A.; Corrêa Ferreira da Silva, R. Historical Aspects of Breast Cancer Control in Brazil. Rev. Bras. Cancerol. 2013, 59, 331–339. [Google Scholar] [CrossRef]
- de Oliveira, E.X.G.; Pinheiro, R.S.; Melo, E.C.P.; Carvalho, M.S. Condicionantes socioeconômicos e geográficos do acesso à mamografia no Brasil, 2003–2008. Ciênc. Saúde Coletiva 2011, 16, 3649–3664. [Google Scholar] [CrossRef]
- Bezerra, H.D.S.; de Melo, T.F.V.; Barbosa, J.V.; Feitosa, E.E.L.C.; Sousa, L.C.M. Avaliação do acesso em mamografias no Brasil e indicadores socioeconômicos: Um estudo espacial. Rev. Gaúcha Enferm. 2018, 39, e20180014. [Google Scholar] [CrossRef]
- Nogueira, M.C.; Fayer, V.A.; Corrêa, C.S.L.; Guerra, M.R.; Stavola, B.D.; dos-Santos-Silva, I.; Bustamante-Teixeira, M.T.; Silva, G.A. e Inequities in Access to Mammographic Screening in Brazil. Cad. Saúde Pública 2019, 35, e00099817. [Google Scholar] [CrossRef]
- Fayer, V.A.; Guerra, M.R.; Nogueira, M.C.; Correa, C.S.L.; Cury, L.C.P.B.; Bustamante-Teixeira, M.T. Controle do câncer de mama no estado de São Paulo: Uma avaliação do rastreamento mamográfico. Cad. Saúde Coletiva 2020, 28, 140–152. [Google Scholar] [CrossRef]
- Crawford, S.L.; Crandall, C.J.; Derby, C.A.; Khoudary, S.R.E.; Waetjen, L.E.; Fischer, M.; Joffe, H. Menopausal Hormone Therapy Trends before versus after 2002: Impact of the Women’s Health Initiative Study Results. Menopause 2019, 26, 588–597. [Google Scholar] [CrossRef]
- Pardini, D. Terapia de reposição hormonal na menopausa. Arq. Bras. Endocrinol. Metabol. 2014, 58, 172–181. [Google Scholar] [CrossRef] [PubMed]
- Lortet-Tieulent, J.; Georges, D.; Bray, F.; Vaccarella, S. Profiling Global Cancer Incidence and Mortality by Socioeconomic Development. Int. J. Cancer 2020, 147, 3029–3036. [Google Scholar] [CrossRef]
- Afshar, N.; English, D.R.; Milne, R.L. Factors Explaining Socio-Economic Inequalities in Cancer Survival: A Systematic Review. Cancer Control. 2021, 28, 107327482110119. [Google Scholar] [CrossRef] [PubMed]
- Carvalho, J.B.; Paes, N.A. Socioeconomic inequalities in breast cancer mortality in microregions of the Brazilian Northeast. Rev. Bras. Saúde Matern. Infant. 2019, 19, 391–400. [Google Scholar] [CrossRef]
- Camargo, J.D.D.A.S.; Dos Santos, J.; Simões, T.C.; Carvalho, J.B.L.D.; Silva, G.W.D.S.; Dantas, E.S.O.; Rodrigues, W.T.D.S.; Freire, F.H.M.D.A.; Meira, K.C. Mortality Due to Breast Cancer in a Region of High Socioeconomic Vulnerability in Brazil: Analysis of the Effect of Age-Period and Cohort. PLoS ONE 2021, 16, e0255935. [Google Scholar] [CrossRef]
- de Lima, E.E.C.; Queiroz, B.L. Evolution of the Deaths Registry System in Brazil: Associations with Changes in the Mortality Profile, under-Registration of Death Counts, and Ill-Defined Causes of Death. Cad. Saúde Pública 2014, 30, 1721–1730. [Google Scholar] [CrossRef]
- de Morais, R.M.; Costa, A.L. Uma avaliação do Sistema de Informações sobre Mortalidade. Saúde Em Debate 2017, 41, 101–117. [Google Scholar] [CrossRef]
- Costa, A.C.; Ferreira, B.H.; Souza, M.D.; Costa Filho, A.M.; Souza, A.A. Análise da qualidade da informação sobre óbitos por neoplasias no Brasil, entre 2009 e 2019. Rev. Bras. Epidemiol. 2022, 25, e220022. [Google Scholar] [CrossRef]



| Brazil | North | |||||||||||
|---|---|---|---|---|---|---|---|---|---|---|---|---|
| State Capitals | Non-Capital Municipalities | State Capitals | Non-Capital Municipalities | |||||||||
| Models | DF | D | p | DF | D | p | DF | D | p | DF | D | p |
| Age | 77 | 1010.18 | NA | 77 | 2552.07 | NA | 77 | 162.85 | NA | 77 | 661.11 | NA |
| Age-drift | 76 | 633.77 | <0.001 | 76 | 607.65 | <0.001 | 76 | 76.86 | <0.001 | 76 | 77.55 | <0.001 |
| Age-cohort | 60 | 298.14 | <0.001 | 60 | 238.34 | <0.001 | 60 | 56.40 | 0.200 | 60 | 57.99 | 0.241 |
| Age-period-cohort | 54 | 90.10 | <0.001 | 54 | 95.18 | <0.001 | 54 | 49.63 | 0.343 | 54 | 48.73 | 0.159 |
| Age-period | 70 | 318.51 | <0.001 | 70 | 388.24 | <0.001 | 70 | 70.35 | 0.190 | 70 | 69.48 | 0.188 |
| Age-drift | 76 | 633.77 | <0.001 | 76 | 607.65 | <0.001 | 76 | 76.86 | 0.369 | 76 | 77.55 | 0.233 |
| Northeast | Central-West | |||||||||||
| State capitals | Non-capital municipalities | State capitals | Non-capital municipalities | |||||||||
| Models | DF | D | p | DF | D | p | DF | D | p | DF | D | p |
| Age | 77 | 190.47 | NA | 77 | 3982.96 | NA | 77 | 120.74 | NA | 77 | 620.24 | NA |
| Age-drift | 76 | 188.82 | 0.199 | 76 | 221.80 | <0.01 | 76 | 120.70 | 0.837 | 76 | 168.53 | <0.001 |
| Age-pohort | 60 | 112.41 | <0.001 | 60 | 139.25 | <0.01 | 60 | 73.53 | <0.001 | 60 | 101.96 | <0.001 |
| Age-period-cohort | 54 | 91.22 | 0.002 | 54 | 65.86 | <0.01 | 54 | 59.46 | 0.029 | 54 | 87.06 | 0.021 |
| Age-period | 70 | 170.18 | <0.001 | 70 | 138.73 | <0.01 | 70 | 105.40 | <0.001 | 70 | 153.23 | <0.001 |
| Age-drift | 76 | 188.82 | 0.005 | 76 | 221.80 | <0.01 | 76 | 120.70 | 0.018 | 76 | 168.53 | 0.018 |
| Southeast | South | |||||||||||
| State capitals | Non-capital municipalities | State capitals | Non-capital municipalities | |||||||||
| Models | DF | D | p | DF | D | p | DF | D | p | DF | D | p |
| Age | 77 | 1051.56 | NA | 77 | 787.98 | NA | 77 | 395.09 | NA | 77 | 401.58 | NA |
| Age-drift | 76 | 547.17 | <0.001 | 76 | 632.94 | <0.001 | 76 | 191.51 | <0.001 | 76 | 279.79 | <0.001 |
| Age-cohort | 60 | 347.75 | <0.001 | 60 | 305.18 | <0.001 | 60 | 86.46 | <0.001 | 60 | 105.78 | <0.001 |
| Age-period-cohort | 54 | 87.75 | <0.001 | 54 | 87.97 | <0.001 | 54 | 54.97 | <0.001 | 54 | 40.96 | <0.001 |
| Age-period | 70 | 202.80 | <0.001 | 70 | 327.25 | <0.001 | 70 | 134.02 | <0.001 | 70 | 175.84 | <0.001 |
| Age-drift | 76 | 547.17 | <0.001 | 76 | 632.94 | <0.001 | 76 | 191.51 | <0.001 | 76 | 279.79 | <0.001 |
Disclaimer/Publisher’s Note: The statements, opinions and data contained in all publications are solely those of the individual author(s) and contributor(s) and not of MDPI and/or the editor(s). MDPI and/or the editor(s) disclaim responsibility for any injury to people or property resulting from any ideas, methods, instructions or products referred to in the content. |
© 2023 by the authors. Licensee MDPI, Basel, Switzerland. This article is an open access article distributed under the terms and conditions of the Creative Commons Attribution (CC BY) license (https://creativecommons.org/licenses/by/4.0/).
Share and Cite
Chávez-Penha, R.; Bustamante-Teixeira, M.T.; Nogueira, M.C. Age-Period-Cohort Study of Breast Cancer Mortality in Brazil in State Capitals and in Non-Capital Municipalities from 1980 to 2019. Int. J. Environ. Res. Public Health 2023, 20, 6505. https://doi.org/10.3390/ijerph20156505
Chávez-Penha R, Bustamante-Teixeira MT, Nogueira MC. Age-Period-Cohort Study of Breast Cancer Mortality in Brazil in State Capitals and in Non-Capital Municipalities from 1980 to 2019. International Journal of Environmental Research and Public Health. 2023; 20(15):6505. https://doi.org/10.3390/ijerph20156505
Chicago/Turabian StyleChávez-Penha, Rodrigo, Maria Teresa Bustamante-Teixeira, and Mário Círio Nogueira. 2023. "Age-Period-Cohort Study of Breast Cancer Mortality in Brazil in State Capitals and in Non-Capital Municipalities from 1980 to 2019" International Journal of Environmental Research and Public Health 20, no. 15: 6505. https://doi.org/10.3390/ijerph20156505
APA StyleChávez-Penha, R., Bustamante-Teixeira, M. T., & Nogueira, M. C. (2023). Age-Period-Cohort Study of Breast Cancer Mortality in Brazil in State Capitals and in Non-Capital Municipalities from 1980 to 2019. International Journal of Environmental Research and Public Health, 20(15), 6505. https://doi.org/10.3390/ijerph20156505

