Patterns of Perceived Harms and Benefits of the COVID-19 Outbreak in Hong Kong Adults: A Latent Profile Analysis
Abstract
:1. Introduction
2. Materials and Methods
2.1. Study Design and Participants
2.2. Measurements
2.2.1. Perceived Harms and Benefits of the COVID-19 Outbreak
2.2.2. Happiness and Changes in Smoking and Drinking
2.2.3. Socio-Demographic Characteristics
2.3. Statistical Analysis
3. Results
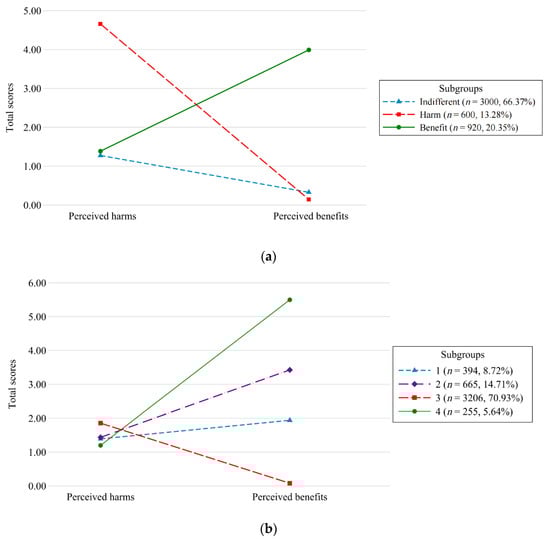
3.1. LPA model Identification
3.2. Predictors of the Identified Latent Profiles
4. Discussion
5. Conclusions
Author Contributions
Funding
Institutional Review Board Statement
Informed Consent Statement
Data Availability Statement
Acknowledgments
Conflicts of Interest
References
- World Health Organization. Considerations for Implementing and Adjusting Public Health and Social Measures in the Context of COVID-19. Available online: https://www.who.int/publications/i/item/considerations-in-adjusting-public-health-and-social-measures-in-the-context-of-covid-19-interim-guidance (accessed on 14 June 2021).
- Cheng, K.K.; Lam, T.H.; Leung, C.C. Wearing face masks in the community during the COVID-19 pandemic: Altruism and solidarity. Lancet 2020. [Google Scholar] [CrossRef]
- Cowling, B.J.; Ali, S.T.; Ng, T.W.Y.; Tsang, T.K.; Li, J.C.M.; Fong, M.W.; Liao, Q.; Kwan, M.Y.W.; Lee, S.L.; Chiu, S.S.; et al. Impact assessment of non-pharmaceutical interventions against coronavirus disease 2019 and influenza in Hong Kong: An observational study. Lancet Public Health 2020, 5, e279–e288. [Google Scholar] [CrossRef]
- Park, C.L. Making sense of the meaning literature: An integrative review of meaning making and its effects on adjustment to stressful life events. Psychol. Bull. 2010, 136, 257–301. [Google Scholar] [CrossRef] [PubMed]
- Wong, B.Y.; Lam, T.H.; Lai, A.Y.; Wang, M.P.; Ho, S.Y. Perceived benefits and harms of the COVID-19 pandemic on family well-being and their sociodemographic disparities in Hong Kong: A cross-sectional study. Int. J. Environ. Res. Public Health 2021, 18, 1217. [Google Scholar] [CrossRef]
- Doron, J.; Trouillet, R.; Maneveau, A.; Ninot, G.; Neveu, D. Coping profiles, perceived stress and health-related behaviors: A cluster analysis approach. Health Promot. Int. 2015, 30, 88–100. [Google Scholar] [CrossRef] [Green Version]
- Yang, Z.; Ji, L.J.; Yang, Y.; Wang, Y.; Zhu, L.; Cai, H. Meaning making helps cope with COVID-19: A longitudinal study. Pers. Individ. Dif. 2021, 174, 110670. [Google Scholar] [CrossRef]
- Miao, M.; Zheng, L.; Wen, J.; Jin, S.; Gan, Y. Coping with coronavirus disease 2019: Relationships between coping strategies, benefit finding and well-being. Stress Health 2021, 38, 47–56. [Google Scholar] [CrossRef]
- Wilson, T.D.; Lindsey, S.; Schooler, T.Y. A model of dual attitudes. Psychol. Rev. 2000, 107, 101–126. [Google Scholar] [CrossRef] [Green Version]
- Seidl, R.; Moser, C.; Stauffacher, M.; Krütli, P. Perceived risk and benefit of nuclear waste repositories: Four opinion clusters. Risk Anal. 2013, 33, 1038–1048. [Google Scholar] [CrossRef]
- Shiyanbola, O.O.; Unni, E.; Huang, Y.M.; Lanier, C. Using the extended self-regulatory model to characterise diabetes medication adherence: A cross-sectional study. BMJ Open 2018, 8, e022803. [Google Scholar] [CrossRef]
- Cheng, C.; Wong, W.M.; Tsang, K.W. Perception of benefits and costs during SARS outbreak: An 18-month prospective study. J. Consult. Clin. Psychol. 2006, 74, 870–879. [Google Scholar] [CrossRef] [PubMed] [Green Version]
- Hong Kong Public Opinion Research Institute HKPOP Panel. Available online: https://www.pori.hk/team-members.html?lang=en (accessed on 7 November 2020).
- Abdel-Khalek, A. Measuring happiness with a single-item scale. Soc. Behav. Pers. 2006, 34, 139–150. [Google Scholar] [CrossRef]
- Gong, W.J.; Wong, B.Y.; Ho, S.Y.; Lai, A.Y.; Zhao, S.Z.; Wang, M.P.; Lam, T.H. Family e-Chat group use was associated with family wellbeing and personal happiness in Hong Kong adults amidst the COVID-19 pandemic. Int. J. Environ. Res. Public Health 2021, 18, 9139. [Google Scholar] [CrossRef] [PubMed]
- Hong Kong Census and Statistics Department. Median Monthly Domestic Household Income of Economically Active Households by Household Size. Available online: https://www.censtatd.gov.hk/hkstat/sub/sp150.jsp?productCode=D5250038 (accessed on 7 November 2020).
- Muthén, L.; Muthén, B. Mplus User’s Guide; Muthén & Muthén: Los Angeles, CA, USA, 2010. [Google Scholar]
- Luk, T.T.; Zhao, S.; Wu, Y.; Wong, J.Y.; Wang, M.P.; Lam, T.H. Prevalence and determinants of SARS-CoV-2 vaccine hesitancy in Hong Kong: A population-based survey. Vaccine 2021, 39, 3602–3607. [Google Scholar] [CrossRef]
- Xu, Y.; Chen, H.F.; Yeung, W.K.J.; Hsieh, C.W.; Yuan, H.Y.; Chang, L.Y. Health-promoting behaviors, risk perceptions, and attention to COVID-19-related information: Comparing people’s responses to the COVID-19 pandemic across times of Chinese New Year and Summer 2020 in Hong Kong. Front. Public Health 2021, 9, 688300. [Google Scholar] [CrossRef]
- Snyder, A.I.; Tormala, Z.L. Valence asymmetries in attitude ambivalence. J. Pers. Soc. Psychol. 2017, 112, 555–576. [Google Scholar] [CrossRef]
- Cheng, S.K.W.; Chong, G.H.C.; Chang, S.S.Y.; Wong, C.W.; Wong, C.S.Y.; Wong, M.T.P.; Wong, K.C. Adjustment to severe acute respiratory syndrome (SARS): Roles of appraisal and post-traumatic growth. Psychol. Health 2006, 21, 301–317. [Google Scholar] [CrossRef]
- Hou, Y.; Xiao, R.; Yang, X.; Chen, Y.; Peng, F.; Zhou, S.; Zeng, X.; Zhang, X. Parenting style and emotional distress among Chinese college students: A potential mediating role of the Zhongyong thinking style. Front. Psychol. 2020, 11, 1774. [Google Scholar] [CrossRef]
- Boguszewski, R.; Makowska, M.; Podkowińska, M. A typology of Poles’ attitudes toward COVID-19 during the first wave of the pandemic. Int. J. Environ. Res. Public Health 2021, 18, 2002. [Google Scholar] [CrossRef]
- Sit, S.M.; Lam, T.H.; Lai, A.Y.; Wong, B.Y.; Wang, M.P.; Ho, S.Y. Fear of COVID-19 and its associations with perceived personal and family benefits and harms in Hong Kong. Transl. Behav. Med. 2021, 11, 793–801. [Google Scholar] [CrossRef]
- Lai, A.Y.K.; Sit, S.M.M.; Wu, S.; Wang, M.P.; Wong, B.Y.; Ho, S.Y.; Lam, T.H. Associations of delay in doctor consultation with COVID-19 related fear, attention to information, and fact-checking. Front. Public Health 2021, 10, 2026. [Google Scholar] [CrossRef] [PubMed]
- Yip, K.S. Taoism and its impact on mental health of the Chinese communities. Int. J. Soc. Psychiatry 2004, 50, 25–42. [Google Scholar] [CrossRef] [PubMed] [Green Version]
- Qian, M.; Wu, Q.; Wu, P.; Hou, Z.; Liang, Y.; Cowling, B.J.; Yu, H. Anxiety levels, precautionary behaviours and public perceptions during the early phase of the COVID-19 outbreak in China: A population-based cross-sectional survey. BMJ Open 2020, 10, e040910. [Google Scholar] [CrossRef] [PubMed]
- Yan, A.F.; Sun, X.; Zheng, J.; Mi, B.; Zuo, H.; Ruan, G.; Hussain, A.; Wang, Y.; Shi, Z. Perceived risk, behavior changes and health-related outcomes during COVID-19 pandemic: Findings among adults with and without diabetes in China. Diabetes Res. Clin. Pract. 2020, 167, 108350. [Google Scholar] [CrossRef]
- Grossman, E.R.; Benjamin-Neelon, S.E.; Sonnenschein, S. Alcohol consumption during the COVID-19 Pandemic: A cross-sectional survey of US adults. Int. J. Environ. Res. Public Health 2020, 17, 9189. [Google Scholar] [CrossRef]
- Li, W.H.C.; Ho, K.Y.; Wang, M.P.; Cheung, D.Y.T.; Lam, K.K.W.; Xia, W.; Cheung, K.Y.; Wong, C.K.H.; Chan, S.S.C.; Lam, T.H. Effectiveness of a brief self-determination theory-based smoking cessation intervention for smokers at emergency departments in Hong Kong: A randomized clinical trial. JAMA Intern. Med. 2020, 180, 206–214. [Google Scholar] [CrossRef] [Green Version]
- Galasso, V.; Pons, V.; Profeta, P.; Becher, M.; Brouard, S.; Foucault, M. Gender differences in COVID-19 attitudes and behavior: Panel evidence from eight countries. Proc. Natl. Acad. Sci. USA 2020, 117, 27285–27291. [Google Scholar] [CrossRef]
- Losada-Baltar, A.; Jiménez-Gonzalo, L.; Gallego-Alberto, L.; Pedroso-Chaparro, M.D.S.; Fernandes-Pires, J.; Márquez-González, M. “We are staying at home.” Association of self-perceptions of aging, personal and family resources, and loneliness with psychological distress during the lockdown period of COVID-19. J. Gerontol. B Psychol. Sci. Soc. Sci. 2021, 76, e10–e16. [Google Scholar] [CrossRef] [Green Version]
- Gibbons, B. Beer Drinkers More Health Conscious Since Lockdown with Many Now Choosing Low-Alcohol Options. Available online: https://www.walesonline.co.uk/whats-on/food-drink-news/beer-drinkers-more-health-conscious-18824786 (accessed on 30 August 2021).
- Lee, V.; Robin Cohen, S.; Edgar, L.; Laizner, A.M.; Gagnon, A.J. Meaning-making intervention during breast or colorectal cancer treatment improves self-esteem, optimism, and self-efficacy. Soc. Sci. Med. 2006, 62, 3133–3145. [Google Scholar] [CrossRef]

| n (%) or Mean ± Standard Deviation | |
|---|---|
| Socio-demographic characteristics | |
| Sex | |
| Male | 1970 (43.58) |
| Female | 2550 (56.42) |
| Age (years) | |
| 18–24 | 203 (4.49) |
| 25–44 | 2272 (50.27) |
| 45–64 | 1856 (41.06) |
| ≥65 | 189 (4.18) |
| Number of cohabitants | |
| 0 (living alone) | 250 (5.62) |
| 1–3 | 3380 (76.04) |
| ≥4 | 815 (18.34) |
| Education | |
| Secondary or below | 603 (13.41) |
| Postsecondary | 3892 (86.59) |
| Monthly household income per person | |
| Low (≤HK median) | 1175 (29.66) |
| High (>HK median) | 2787 (70.34) |
| Happiness a | 5.95 ± 2.12 |
| Changes in smoking since the COVID-19 outbreak | |
| Nonsmokers | 4167 (92.72) |
| Decrease | 76 (1.69) |
| No change | 182 (4.05) |
| Increase | 69 (1.54) |
| Changes in drinking since the COVID-19 outbreak | |
| Nondrinkers | 1433 (41.30) |
| Decrease | 288 (8.30) |
| No change | 1440 (41.50) |
| Increase | 309 (8.90) |
| Model | AIC | BIC | aBIC | LMR_ p | BLRT_ p | Entropy | Composition |
|---|---|---|---|---|---|---|---|
| One profile | 34,729.66 | 34,755.32 | 34,742.61 | ||||
| Two profile | 32,029.73 | 32,074.64 | 32,052.40 | <0.01 | <0.01 | 0.94 | 0.80/0.20 |
| Three profile | 31,685.71 | 31,749.87 | 31,718.09 | <0.01 | <0.01 | 0.79 | 0.66/0.14/0.20 |
| Four profile | 28,571.95 | 28,655.36 | 28,614.05 | <0.01 | <0.01 | 0.98 | 0.09/0.15/0.71/0.05 |
| Five profile | 29,476.05 | 29,578.71 | 29,527.87 | 1.00 | 1.00 | 0.89 | 0.00/0.13/0.12/0.58/0.17 |
| Total | Indifferent Subgroup (n = 3000) | Harm Subgroup (n = 600) | Benefit Subgroup (n = 920) | p-Value | |
|---|---|---|---|---|---|
| Perceived harms | |||||
| Total scores | 1.75 ± 1.63 | 1.27 ± 1.13 | 4.66 ± 1.01 | 1.39 ± 1.38 | <0.001 |
| Income, work, and study | |||||
| Decreased personal income | 1334 (29.51) | 759 (25.30) | 367 (61.17) | 208 (22.61) | <0.001 |
| Decreased efficiency in work/study at home | 1021 (22.59) | 514 (17.13) | 354 (59.00) | 153 (16.63) | <0.001 |
| Physical health and prevention | |||||
| Worse overall physical health | 337 (7.46) | 117 (3.90) | 191 (31.83) | 29 (3.15) | <0.001 |
| Increased common colds | 29 (0.64) | 5 (0.17) | 21 (3.50) | 3 (0.33) | <0.001 |
| Worse personal hygiene | 22 (0.49) | 4 (0.13) | 18 (3.00) | 0 (0.00) | <0.001 |
| Delayed seeing a doctor | 462 (10.22) | 167 (5.57) | 199 (33.17) | 96 (10.43) | <0.001 |
| Worse knowledge of epidemic prevention | 6 (0.13) | 0 (0.00) | 5 (0.83) | 1 (0.11) | <0.001 |
| Emotions and coping | |||||
| Increased negative emotions | 2002 (44.29) | 1146 (38.20) | 570 (95.00) | 286 (31.09) | <0.001 |
| Induced anxiety | 1635 (36.17) | 759 (25.30) | 555 (92.50) | 321 (34.89) | <0.001 |
| Induced depression | 626 (13.85) | 145 (4.83) | 376 (62.67) | 105 (11.41) | <0.001 |
| Decreased ability to cope with adversities | 80 (1.77) | 9 (0.30) | 68 (11.33) | 3 (0.33) | <0.001 |
| Life changes | |||||
| Cannot travel | 35 (0.77) | 18 (0.60) | 10 (1.67) | 7 (0.76) | 0.03 |
| Decreased social activity | 55 (1.22) | 27 (0.90) | 11 (1.83) | 17 (1.85) | 0.02 |
| Decreased outing | 29 (0.64) | 15 (0.50) | 6 (1.00) | 8 (0.87) | 0.23 |
| Changed plans | 28 (0.62) | 14 (0.47) | 7 (1.17) | 7 (0.76) | 0.11 |
| Increased expenditure on epidemic prevention supplies | 48 (1.06) | 29 (0.97) | 10 (1.67) | 9 (0.98) | 0.30 |
| Others | 144 (3.19) | 95 (3.17) | 27 (4.50) | 22 (2.39) | 0.07 |
| Perceived benefits | |||||
| Total scores | 1.05 ± 1.67 | 0.33 ± 0.68 | 0.14 ± 0.48 | 3.99 ± 1.09 | <0.001 |
| Income, work, and study | |||||
| Increased personal income | 52 (1.15) | 16 (0.53) | 1 (0.17) | 35 (3.80) | <0.001 |
| Increased efficiency in work/study at home | 376 (8.32) | 121 (4.03) | 7 (1.17) | 248 (26.96) | <0.001 |
| Physical health and prevention | |||||
| Improved overall physical health | 539 (11.92) | 59 (1.97) | 4 (0.67) | 476 (51.74) | <0.001 |
| Decreased common colds | 584 (12.92) | 75 (2.50) | 5 (0.83) | 504 (54.78) | <0.001 |
| Improved personal hygiene | 1041 (23.03) | 241 (8.03) | 20 (3.33) | 780 (84.78) | <0.001 |
| Increased knowledge of epidemic prevention | 1159 (25.64) | 323 (10.77) | 30 (5.00) | 806 (87.61) | <0.001 |
| Emotions and coping | |||||
| Decreased negative emotions | 87 (1.92) | 7 (0.23) | 0 (0.00) | 80 (8.70) | <0.001 |
| Increased positive emotions | 158 (3.50) | 15 (0.50) | 0 (0.00) | 143 (15.54) | <0.001 |
| Increased ability to cope with adversities | 600 (13.27) | 76 (2.53) | 11 (1.83) | 513 (55.76) | <0.001 |
| Life changes | |||||
| Increased leisure time | 31 (0.69) | 15 (0.50) | 1 (0.17) | 15 (1.63) | <0.001 |
| Increased private time | 21 (0.46) | 10 (0.33) | 2 (0.33) | 9 (0.98) | 0.04 |
| Increased time spent with family | 24 (0.53) | 9 (0.30) | 2 (0.33) | 13 (1.41) | <0.001 |
| Others | 60 (1.33) | 15 (0.50) | 3 (0.50) | 42 (4.57) | <0.001 |
| Indifferent Subgroup (n = 3000) | Harm Subgroup (n = 600) | Benefit Subgroup (n = 920) | p-Value | Effect Size a | |
|---|---|---|---|---|---|
| Socio-demographic characteristics | |||||
| Sex | |||||
| Male | 1350 (45.00) | 278 (46.33) | 342 (37.17) | <0.001 | 0.07 |
| Female | 1650 (55.00) | 322 (53.67) | 578 (62.83) | ||
| Age (years) | |||||
| 18–24 | 122 (4.07) | 36 (6.00) | 45 (4.89) | 0.03 | 0.04 |
| 25–44 | 1, 478 (49.27) | 318 (53.00) | 476 (51.74) | ||
| 45–64 | 1, 270 (42.33) | 230 (38.33) | 356 (38.70) | ||
| ≥65 | 130 (4.33) | 16 (2.67) | 43 (4.67) | ||
| Number of cohabitants | |||||
| 0 (living alone) | 186 (6.31) | 30 (5.11) | 34 (3.73) | 0.04 | 0.03 |
| 1–3 | 2226 (75.53) | 440 (74.96) | 714 (78.38) | ||
| ≥4 | 535 (18.15) | 117 (19.93) | 163 (17.89) | ||
| Education | |||||
| Secondary or below | 438 (14.67) | 85 (14.21) | 80 (8.77) | <0.001 | 0.07 |
| Postsecondary | 2547 (85.33) | 513 (85.79) | 832 (91.23) | ||
| Monthly household income per person | |||||
| Low (≤HK median) | 794 (30.09) | 164 (32.60) | 217 (26.46) | 0.04 | 0.04 |
| High (>HK median) | 1845 (69.91) | 339 (67.40) | 603 (73.54) | ||
| Happiness b | 6.04 ± 2.06 | 4.66 ± 2.26 | 6.49 ± 1.90 | <0.001 | 0.06 |
| Changes in smoking since the COVID-19 outbreak | |||||
| Nonsmokers | 2764 (92.69) | 544 (91.12) | 859 (93.88) | 0.32 | 0.03 |
| Decrease | 46 (1.54) | 14 (2.35) | 16 (1.75) | ||
| No change | 128 (4.29) | 26 (4.36) | 28 (3.06) | ||
| Increase | 44 (1.48) | 13 (2.18) | 12 (1.31) | ||
| Changes in drinking since the COVID-19 outbreak | |||||
| Nonsmokers | 957 (38.97) | 188 (37.52) | 288 (40.39) | <0.001 | 0.08 |
| Decrease | 296 (12.05) | 76 (15.17) | 116 (16.27) | ||
| No change | 1010 (41.12) | 166 (33.13) | 264 (37.03) | ||
| Increase | 193 (7.86) | 71 (14.17) | 45 (6.31) | ||
| Adjusted OR (95% CI) a | ||
|---|---|---|
| Harm vs. Indifferent (Ref.) | Benefit vs. Indifferent (Ref.) | |
| Sex | ||
| Male | 1 | 1 |
| Female | 0.96 (0.79, 1.16) | 1.39 (1.18, 1.64) *** |
| Age (years) | ||
| 18–24 | 1 | 1 |
| 25–44 | 0.79 (0.50, 1.25) | 0.80 (0.53, 1.19) |
| 45–64 | 0.65 (0.40, 1.03) | 0.78 (0.52, 1.17) |
| ≥65 | 0.41 (0.20, 0.85) * | 1.06 (0.62, 1.80) |
| Number of cohabitants | ||
| 0 (living alone) | 1 | 1 |
| 1–3 | 1.32 (0.84, 2.08) | 1.69 (1.15, 2.48) ** |
| ≥4 | 1.49 (0.91, 2.43) | 1.59 (1.04, 2.43) * |
| Education | ||
| Secondary or below | 1 | 1 |
| Postsecondary | 0.87 (0.66, 1.15) | 1.68 (1.27, 2.21) *** |
| Household monthly income per month | ||
| Low (≤HK median) | 1 | 1 |
| High (>HK median) | 0.90 (0.72, 1.11) | 1.16 (0.97, 1.40) |
| Adjusted OR (95% CI) a | ||
|---|---|---|
| Harm vs. Indifferent (Ref.) | Benefit vs. Indifferent (Ref.) | |
| Happiness b | 0.75 (0.72, 0.78) *** | 1.12 (1.08, 1.17) *** |
| Changes in smoking since the COVID-19 outbreak | ||
| Nonsmokers | 1 | 1 |
| Decrease | 1.32 (0.69, 2.52) | 1.29 (0.72, 2.31) |
| No change | 1.00 (0.64, 1.56) | 0.81 (0.53, 1.25) |
| Increase | 1.52 (0.81, 2.86) | 1.06 (0.55, 2.04) |
| Changes in drinking since the COVID-19 outbreak | ||
| Nondrinkers | 1 | 1 |
| Decrease | 1.23 (0.91, 1.67) | 1.34 (1.04, 1.74) * |
| No change | 0.81 (0.64, 1.02) | 0.90 (0.75, 1.10) |
| Increase | 1.82 (1.32, 2.51) ** | 0.79 (0.55, 1.13) |
Publisher’s Note: MDPI stays neutral with regard to jurisdictional claims in published maps and institutional affiliations. |
© 2022 by the authors. Licensee MDPI, Basel, Switzerland. This article is an open access article distributed under the terms and conditions of the Creative Commons Attribution (CC BY) license (https://creativecommons.org/licenses/by/4.0/).
Share and Cite
Chen, B.-W.; Gong, W.-J.; Lai, A.Y.-K.; Sit, S.M.-M.; Ho, S.-Y.; Wang, M.-P.; Yu, N.X.; Lam, T.-H. Patterns of Perceived Harms and Benefits of the COVID-19 Outbreak in Hong Kong Adults: A Latent Profile Analysis. Int. J. Environ. Res. Public Health 2022, 19, 4352. https://doi.org/10.3390/ijerph19074352
Chen B-W, Gong W-J, Lai AY-K, Sit SM-M, Ho S-Y, Wang M-P, Yu NX, Lam T-H. Patterns of Perceived Harms and Benefits of the COVID-19 Outbreak in Hong Kong Adults: A Latent Profile Analysis. International Journal of Environmental Research and Public Health. 2022; 19(7):4352. https://doi.org/10.3390/ijerph19074352
Chicago/Turabian StyleChen, Bo-Wen, Wei-Jie Gong, Agnes Yuen-Kwan Lai, Shirley Man-Man Sit, Sai-Yin Ho, Man-Ping Wang, Nancy Xiaonan Yu, and Tai-Hing Lam. 2022. "Patterns of Perceived Harms and Benefits of the COVID-19 Outbreak in Hong Kong Adults: A Latent Profile Analysis" International Journal of Environmental Research and Public Health 19, no. 7: 4352. https://doi.org/10.3390/ijerph19074352
APA StyleChen, B.-W., Gong, W.-J., Lai, A. Y.-K., Sit, S. M.-M., Ho, S.-Y., Wang, M.-P., Yu, N. X., & Lam, T.-H. (2022). Patterns of Perceived Harms and Benefits of the COVID-19 Outbreak in Hong Kong Adults: A Latent Profile Analysis. International Journal of Environmental Research and Public Health, 19(7), 4352. https://doi.org/10.3390/ijerph19074352

