The Effectiveness of Brolucizumab and Aflibercept in Patients with Neovascular Age-Related Macular Degeneration
Abstract
:1. Introduction
2. Materials and Methods
2.1. Patients
- Above 45 years of age;
- Visual acuity between −0.2 to 0.8 according to the Snellen chart;
- Presence of an active CNV membrane in the OCT examination using sub-retinal angio-OCT (presence of subretinal and intraretinal fluid);
- Disk area (DA) change from 3–12;
- No dominant geographic decline (atrophy);
- No dominant subretinal hemorrhage;
- No significant permanent damage to the fovea (atrophy, fibrosis, discoid scar);
- A patient qualified for aflibercept treatment must be de novo, i.e., not previously treated with intravitreal injections.
- Disease progression (decrease in visual acuity which lasts for two consecutive visits);
- Damage to the central part of the macula;
- Hypersensitivity to active or auxiliary substances;
- Dominant subretinal hemorrhage;
- Active infection of the eye or in its vicinity;
- Tear retinal detachment or macular hole;
- Patient qualified for aflibercept treatment previously treated with intravitreal injections.
2.2. OCT
2.3. OCTA
2.4. Statistical Analysis
3. Results
4. Discussion
5. Conclusions
Supplementary Materials
Author Contributions
Funding
Institutional Review Board Statement
Informed Consent Statement
Data Availability Statement
Acknowledgments
Conflicts of Interest
References
- Wong, W.L.; Su, X.; Li, X.; Cheung, C.M.G.; Klein, R.; Cheng, C.Y.; Wong, T.Y. Global prevalence of age-related macular degeneration and disease burden projection for 2020 and 2040: A systematic review and meta-analysis. Lancet Glob. Health 2014, 2, e106–e116. [Google Scholar] [CrossRef] [Green Version]
- Mitchell, P.; Liew, G.; Gopinath, B.; Wong, T.Y. Age-related macular degeneration. Lancet 2018, 392, 1147–1159. [Google Scholar] [CrossRef]
- Apte, R.S. Age-related macular degeneration. N. Engl. J. Med. 2021, 385, 539–547. [Google Scholar] [CrossRef] [PubMed]
- Ferrara, N.; Adamis, A.P. Ten years of anti-vascular endothelial growth factor therapy. Nat. Rev. Drug Discov. 2016, 15, 385–403. [Google Scholar] [CrossRef] [PubMed] [Green Version]
- Thoongsuwan, S.; Hanutsaha, P.; Chantarasorn, Y.; Ruamviboonsuk, P.; Vongkulsiri, S.; Kungwanpongpun, P. Treatment Outcome of Wet Age-Related Macular Degeneration Management in Thailand: A Retrospective Real-World Study (TOWER Study). Ophthalmol. Ther. 2022, 1–19. [Google Scholar] [CrossRef]
- Al-Zamil, W.M.; Yassin, S.A. Recent developments in agerelated macular degeneration: A review. Clin. Interv. Aging 2017, 12, 1313–1330. [Google Scholar] [CrossRef] [Green Version]
- Marchesi, N.; Fahmideh, F.; Boschi, F.; Pascale, A.; Barbieri, A. Ocular Neurodegenerative Diseases: Interconnection between Retina and Cortical Areas. Cells 2021, 10, 2394. [Google Scholar] [CrossRef]
- Bakri, S.J.; Thorne, J.E.; Ho, A.C.; Ehlers, J.P.; Schoenberger, S.D.; Yeh, S.; Kim, S.J. Safety and efficacy of antivascular endothelial growth factor therapies for neovascular age-related macular degeneration: A report by the American Academy of Ophthalmology. Ophthalmology 2019, 126, 55–63. [Google Scholar] [CrossRef] [Green Version]
- Wykoff, C.C.; Clark, W.L.; Nielsen, J.S.; Brill, J.V.; Greene, L.S.; Heggen, C.L. Optimizing anti- VEGF treatment outcomes for patients with neovascular agerelated macular degeneration. J. Manag. Care Spec. Pharm. 2018, 24 (Suppl. 2a), S3–S15. [Google Scholar]
- Li, R.; Du, J.H.; Yao, G.M.; Yao, Y.; Zhang, J. Autophagy: A new mechanism for regulating VEGF and PEDF expression in retinal pigment epithelium cells. Int. J. Ophthalmol. 2019, 12, 557. [Google Scholar]
- Farnoodian, M.; Wang, S.; Dietz, J.; Nickells, R.W.; Sorenson, C.M.; Sheibani, N. Negative regulators of angiogenesis: Important targets for treatment of exudative AMD. Clin. Sci. 2017, 131, 1763–1780. [Google Scholar] [CrossRef] [PubMed] [Green Version]
- Dammak, A.; Huete-Toral, F.; Carpena-Torres, C.; Martin-Gil, A.; Pastrana, C.; Carracedo, G. From Oxidative Stress to Inflammation in the Posterior Ocular Diseases: Diagnosis and Treatment. Pharmaceutics 2021, 13, 1376. [Google Scholar] [CrossRef]
- Al-Kharashi, A.S. Role of oxidative stress, inflammation, hypoxia and angiogenesis in the development of diabetic retinopathy. Saudi J. Ophthalmol. 2018, 32, 318–323. [Google Scholar] [CrossRef] [PubMed]
- Bhutto, I.; Lutty, G. Understanding age-related macular degeneration (AMD): Relationships between the photoreceptor/retinal pigment epithelium/Bruch’s membrane/choriocapillaris complex. Mol. Asp. Med. 2012, 33, 295–317. [Google Scholar] [CrossRef] [PubMed] [Green Version]
- Shibuya, M. Vascular endothelial growth factor (VEGF) and its receptor (VEGFR) signaling in angiogenesis: A crucial target for anti- and pro-angiogenic therapies. Genes Cancer 2011, 2, 1097–1105. [Google Scholar] [CrossRef]
- Kaarniranta, K.; Pawlowska, E.; Szczepanska, J.; Jablkowska, A.; Blasiak, J. Role of mitochondrial DNA damage in ROS-mediated pathogenesis of age-related macular degeneration (AMD). Int. J. Mol. Sci. 2019, 20, 2374. [Google Scholar] [CrossRef] [Green Version]
- Brown, E.E.; Lewin, A.S.; Ash, J.D. Mitochondria: Potential targets for protection in age-related macular degeneration. Retin. Degener. Dis. 2018, 1074, 11–17. [Google Scholar] [CrossRef]
- De Guimaraes, T.A.C.; Georgiou, M.; Bainbridge, J.W.; Michaelides, M. Gene therapy for neovascular age-related macular degeneration: Rationale, clinical trials and future directions. Br. J. Ophthalmol. 2021, 105, 151–157. [Google Scholar] [CrossRef] [Green Version]
- Okada, M.; Mitchell, P.; Finger, R.P.; Eldem, B.; Talks, S.J.; Hirst, C.; Paladini, L.; Barratt, J.; Wong, T.Y.; Loewenstein, A. Nonadherence or Nonpersistence to Intravitreal Injection Therapy for Neovascular Age-Related Macular Degeneration: A Mixed-Methods Systematic Review. Ophthalmology 2021, 128, 234–247. [Google Scholar] [CrossRef]
- Nguyen, Q.D.; Das, A.; Do, D.V.; Dugel, P.U.; Gomes, A.; Holz, F.G.; Koh, A.; Pan, C.K.; Sepah, Y.J.; Patel, N.; et al. Brolucizumab: Evolution through Preclinical and Clinical Studies and the Implications for the Management of Neovascular Age-Related Macular Degeneration. Ophthalmology 2020, 127, 963–976. [Google Scholar] [CrossRef]
- Holekamp, N.M. Review of neovascular age-related macular degeneration treatment options. Am. J. Manag. Care 2019, 25 (Suppl. 10), S172–S181. [Google Scholar] [PubMed]
- Costagliola, C.; Morescalchi, F.; Duse, S.; Romano, D.; Mazza, G.; Parmeggiani, F.; Bartollino, S.; Semeraro, F. Systemic thromboembolic adverse events in patients treated with intravitreal anti-VEGF drugs for neovascular age-related macular degeneration: An update. Expert Opin. Drug Saf. 2019, 18, 803–815. [Google Scholar] [CrossRef] [PubMed]
- Summary of Product Characteristics: Aflibercept. Available online: https://www.ema.europa.eu/en/documents/product-information/eylea-epar-product-information_en.pdf (accessed on 23 December 2021).
- Summary of Product Characteristics: Brolucizumab. Available online: https://ec.europa.eu/health/documents/community-register/2020/20200213147089/anx_147089_en.pdf (accessed on 23 December 2021).
- Singh, R.P.; Wykoff, C.C.; Tadayoni, R.; Ogura, Y.; Koh, A.H.; Holz, F.G.; Hamilton, R.; Tanzer, D.; Weissgerber, G.; Alam, J.; et al. Visual and expanded anatomical outcomes for brolucizumab versus aflibercept in patients with neovascular AMD: 96-week data from HAWK and HARRIER. Investig. Ophthalm. Vis. Sci. 2019, 60, 5194. [Google Scholar]
- Liu, K.; Song, Y.; Xu, G.; Ye, J.; Wu, Z.; Liu, X.; Dong, X.; Zhang, M.; Xing, Y.; Zhu, S.; et al. Conbercept for treatment of neovascular age-related macular degeneration: Results of the randomized phase 3 PHOENIX study. Am. J. Ophthalmol. 2019, 197, 156–167. [Google Scholar] [CrossRef]
- Rasti, R.; Allingham, M.J.; Mettu, P.S.; Kavusi, S.; Govind, K.; Cousins, S.W.; Farsiu, S. Deep learning-based single-shot prediction of differential effects of anti-VEGF treatment in patients with diabetic macular edema. Biomed. Opt. Express 2020, 11, 1139–1152. [Google Scholar] [CrossRef]
- Barmas-Alamdari, D.; D’Souza, H.S.; Kapoor, K.G.; Wagner, A.L. Intravitreal Ziv-Aflibercept: A comprehensive review. In Seminars in Ophthalmology; Taylor & Francis: Abingdon, UK, 2019; Volume 34, No. 6; pp. 420–435. [Google Scholar]
- Jung, B.J.; Kim, J.Y.; Lee, J.H.; Baek, J.; Lee, K.; Lee, W.K. Intravitreal aflibercept and ranibizumab for pachychoroid neovasculopathy. Sci. Rep. 2019, 9, 2055. [Google Scholar] [CrossRef]
- Sharma, A.; Kumar, N.; Parachuri, N.; Sharma, R.; Bandello, F.; Kuppermann, B.D.; Loewenstein, A. Brolucizumab and immunogenicity. Eye 2020, 34, 1726–1728. [Google Scholar] [CrossRef]
- Gopal, A.D.; Wallach, J.D.; Shah, S.A.; Regillo, C.; Ross, J.S. On-Label and Off-Label Clinical Studies of FDA–Approved Ophthalmic Therapeutics. Ophthalmology 2021, 128, 332–334. [Google Scholar] [CrossRef]
- Granstam, E.; Aurell, S.; Sjövall, K.; Paul, A. Switching anti-VEGF agent for wet AMD: Evaluation of impact on visual acuity, treatment frequency and retinal morphology in a real-world clinical setting. Graefe’s Arch. Clin. Exp. Ophthalmol. 2021, 259, 2085–2093. [Google Scholar] [CrossRef] [PubMed]
- Markham, A. Brolucizumab: First approval. Drugs 2019, 79, 1997–2000. [Google Scholar] [CrossRef] [PubMed]
- Dugel, P.U.; Koh, A.; Ogura, Y.; Jaffe, G.J.; Schmidt-Erfurth, U.; Brown, D.M.; Gomes, A.V.; Warburton, J.; Weichselberger, A.; Holz, F.G.; et al. HAWK and HARRIER: Phase 3, multicenter, randomized, double-masked trials of brolucizumab for neovascular age-related macular degeneration. Ophthalmology 2019, 127, 72–84. [Google Scholar] [CrossRef] [PubMed]
- Dugel, P.U.; Lang, G.E.; Razavi, S.; Weichselberger, A.; Ogura, Y.; Brown, D.M. Predictability of the 12-week dosing status at week 48 for patients receiving brolucizumab in HAWK and HARRIER. Investig. Ophthalm. Vis. Sci Conf. 2018, 59, 1455. [Google Scholar]
- Bulirsch, L.M.; Saßmannshausen, M.; Nadal, J.; Liegl, R.; Thiele, S.; Holz, F.G. Short-term real-world outcomes following intravitreal brolucizumab for neovascular AMD: SHIFT study. Br. J. Ophthalmol. 2021. [Google Scholar] [CrossRef]
- Ward, R.A.; Fawell, S.; Floc’h, N.; Flemington, V.; McKerrecher, D.; Smith, P.D. Challenges and opportunities in cancer drug resistance. Chem. Rev. 2020, 121, 3297–3351. [Google Scholar] [CrossRef]
- Bian, S.; Ferrante, M.; Gils, A. Validation of a drug-resistant anti-adalimumab antibody assay to monitor immunogenicity in the presence of high concentrations of adalimumab. AAPS J. 2017, 19, 468–474. [Google Scholar] [CrossRef]
- Takeda, A.; Yanai, R.; Murakami, Y.; Arima, M.; Sonoda, K.H. New Insights into Immunological Therapy for Retinal Disorders. Front. Immunol. 2020, 11, 1431. [Google Scholar] [CrossRef] [PubMed]
- Garweg, J.G. A Randomized, Double-Masked, Multicenter, Phase III Study Assessing the Efficacy and Safety of Brolucizumab versus Aflibercept in Patients with Visual Impairment due to Diabetic Macular Edema (KITE). Klin. Mon. Augenheilkd. 2020, 237, 450–453. [Google Scholar] [CrossRef] [PubMed]
- Dugel, P.U.; Jaffe, G.J.; Sallstig, P.; Warburton, J.; Weichselberger, A.; Wieland, M.; Singerman, L. Brolucizumab versus aflibercept in participants with neovascular age-related macular degeneration: A randomized trial. Ophthalmology 2017, 124, 1296–1304. [Google Scholar] [CrossRef]
- Fauser, S.; Schwabecker, V.; Muether, P.S. Suppression of intraocular vascular endothelial growth factor during aflibercept treatment of age-related macular degeneration. Am. J. Ophthalmol. 2014, 158, 532–536. [Google Scholar] [CrossRef]
- Khanna, S.; Komati, R.; Eichenbaum, D.A.; Hariprasad, I.; Ciulla, T.A.; Hariprasad, S.M. Current and upcoming anti-VEGF therapies and dosing strategies for the treatment of neovascular AMD: A comparative review. BMJ Open Ophthalmol. 2019, 4, e000398. [Google Scholar] [CrossRef] [Green Version]
- Eissing, T.; Stewart, M.W.; Qian, C.X.; Rittenhouse, K.D. Durability of VEGF suppression with intravitreal aflibercept and brolucizumab: Using pharmacokinetic modeling to understand clinical outcomes. Transl. Vis. Sci. Technol. 2021, 10, 9. [Google Scholar] [CrossRef] [PubMed]
- Maloney, M.H.; Payne, S.R.; Herrin, J.; Sangaralingham, L.R.; Shah, N.D.; Barkmeier, A.J. Risk of systemic adverse events after intravitreal bevacizumab, ranibizumab, and aflibercept in routine clinical practice. Ophthalmology 2021, 128, 417–424. [Google Scholar] [CrossRef]
- Schmidt-Erfurth, U.; Chong, V.; Loewenstein, A.; Larsen, M.; Souied, E.; Schlingemann, R.; Eldem, B.; Monés, J.; Richard, G.; Bandello, F.; et al. Guidelines for the management of neovascular age-related macular degeneration by the European Society of Retina Specialists (EURETINA). Br. J. Ophthalmol. 2014, 98, 1144–1167. [Google Scholar] [CrossRef] [PubMed]
- Mitchell, J.; Bradley, C. Quality of life in age-related macular degeneration: A review of the literature. Health Qual. Life Outcomes 2006, 4, 97. [Google Scholar] [CrossRef] [Green Version]
- Williams, R.A.; Brody, B.L.; Thomas, R.G.; Kaplan, R.M.; Brown, S.I. The psychosocial impact of macular degeneration. Arch. Ophthalmol. 1998, 116, 514–520. [Google Scholar] [CrossRef] [PubMed]
- Fernandes, C.F.; Pereira, S.D.S.; Luiz, M.B.; Zuliani, J.P.; Furtado, G.P.; Stabeli, R.G. Camelid single-domain antibodies as an alternative to overcome challenges related to the prevention, detection, and control of neglected tropical diseases. Front. Immunol. 2017, 8, 653. [Google Scholar] [CrossRef] [PubMed]
- Holz, F.G.; Dugel, P.U.; Weissgerber, G.; Hamilton, R.; Silva, R.; Bandello, F.; Larsen, M.; Weichselberger, A.; Wenzel, A.; Schmidt, A.; et al. Single-chain antibody fragment VEGF inhibitor RTH258 for neovascular age-related macular degeneration: A randomized controlled study. Ophthalmology 2016, 123, 1080–1089. [Google Scholar] [CrossRef] [PubMed] [Green Version]
- Kaplon, H.; Muralidharan, M.; Schneider, Z.; Reichert, J.M. Antibodies to watch in 2020. MAbs 2020, 12, 1703531. [Google Scholar] [CrossRef] [Green Version]
- Kaplon, H.; Reichert, J.M. Antibodies to watch in 2021. MAbs 2021, 13, 1860476. [Google Scholar] [CrossRef]



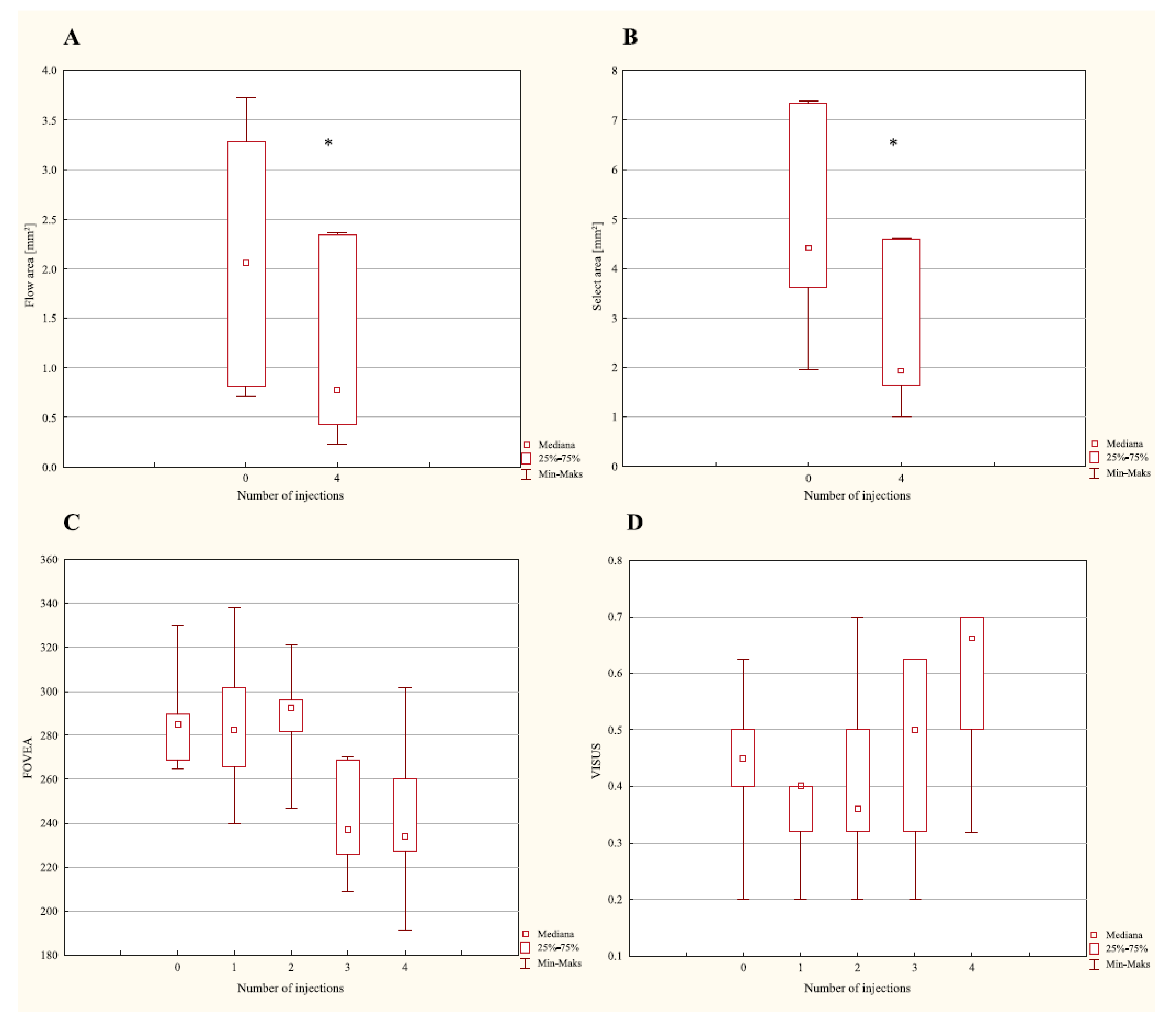
| Parameters | Number of Injections | Me | Q1 | Q3 | p < 0.05 |
|---|---|---|---|---|---|
| Flow area [mm2] | 0 | 2.0615 | 0.8140 | 3.2760 | 0.0277 (Wilcoxon test) |
| 4 | 0.7855 | 0.4250 | 2.3450 | ||
| Select area [mm2] | 0 | 4.4135 | 3.6150 | 7.3540 | 0.0277 (Wilcoxon test) |
| 4 | 1.9345 | 1.6570 | 4.6010 | ||
| FOVEA | 0 | 285.5000 | 269.0000 | 290.0000 | 0.0073 (ANOVA Friedman analysis) |
| 1 | 282.5000 | 266.0000 | 302.0000 | ||
| 2 | 292.5000 | 282.0000 | 296.0000 | ||
| 3 | 237.0000 | 226.0000 | 269.0000 | ||
| 4 | 234.0000 | 227.0000 | 260.0000 | ||
| Visus | 0 | 0.4500 | 0.4000 | 0.5000 | 0.0064 (ANOVA Friedman analysis) |
| 1 | 0.4000 | 0.3000 | 0.4000 | ||
| 2 | 0.3500 | 0.3000 | 0.5000 | ||
| 3 | 0.5000 | 0.3000 | 0.5000 | ||
| 4 | 0.5000 | 0.3000 | 0.6250 |
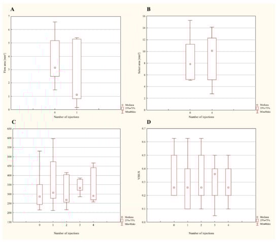
| Parameters | Number of Injections | Me | Q1 | Q3 | p < 0.05 |
|---|---|---|---|---|---|
| Flow area [mm2] | 0 | 3.1395 | 2.4800 | 5.1780 | 0.3454 (Wilcoxon test) |
| 4 | 1.1270 | 0.8410 | 5.2890 | ||
| Select area [mm2] | 0 | 7.8530 | 5.2010 | 11.2440 | 0.7532 (Wilcoxon test) |
| 4 | 10.1060 | 5.1440 | 12.2500 | ||
| FOVEA | 0 | 287.0000 | 245.0000 | 350.0000 | 0.6626 (ANOVA Friedman analysis) |
| 1 | 308.0000 | 278.0000 | 473.0000 | ||
| 2 | 269.0000 | 257.0000 | 403.0000 | ||
| 3 | 332.0000 | 321.0000 | 378.0000 | ||
| 4 | 291.5000 | 269.0000 | 441.0000 | ||
| Visus | 0 | 0.2600 | 0.2000 | 0.5000 | 0.8781 (ANOVA Friedman analysis) |
| 1 | 0.2600 | 0.1000 | 0.4000 | ||
| 2 | 0.2600 | 0.2000 | 0.5000 | ||
| 3 | 0.3600 | 0.2000 | 0.4000 | ||
| 4 | 0.2600 | 0.2000 | 0.4000 |
Publisher’s Note: MDPI stays neutral with regard to jurisdictional claims in published maps and institutional affiliations. |
© 2022 by the authors. Licensee MDPI, Basel, Switzerland. This article is an open access article distributed under the terms and conditions of the Creative Commons Attribution (CC BY) license (https://creativecommons.org/licenses/by/4.0/).
Share and Cite
Musiał-Kopiejka, M.; Polanowska, K.; Dobrowolski, D.; Krysik, K.; Wylęgała, E.; Grabarek, B.O.; Lyssek-Boroń, A. The Effectiveness of Brolucizumab and Aflibercept in Patients with Neovascular Age-Related Macular Degeneration. Int. J. Environ. Res. Public Health 2022, 19, 2303. https://doi.org/10.3390/ijerph19042303
Musiał-Kopiejka M, Polanowska K, Dobrowolski D, Krysik K, Wylęgała E, Grabarek BO, Lyssek-Boroń A. The Effectiveness of Brolucizumab and Aflibercept in Patients with Neovascular Age-Related Macular Degeneration. International Journal of Environmental Research and Public Health. 2022; 19(4):2303. https://doi.org/10.3390/ijerph19042303
Chicago/Turabian StyleMusiał-Kopiejka, Magdalena, Katarzyna Polanowska, Dariusz Dobrowolski, Katarzyna Krysik, Edward Wylęgała, Beniamin Oskar Grabarek, and Anita Lyssek-Boroń. 2022. "The Effectiveness of Brolucizumab and Aflibercept in Patients with Neovascular Age-Related Macular Degeneration" International Journal of Environmental Research and Public Health 19, no. 4: 2303. https://doi.org/10.3390/ijerph19042303
APA StyleMusiał-Kopiejka, M., Polanowska, K., Dobrowolski, D., Krysik, K., Wylęgała, E., Grabarek, B. O., & Lyssek-Boroń, A. (2022). The Effectiveness of Brolucizumab and Aflibercept in Patients with Neovascular Age-Related Macular Degeneration. International Journal of Environmental Research and Public Health, 19(4), 2303. https://doi.org/10.3390/ijerph19042303

