Urban Water Access and Use in the Kivus: Evaluating Behavioural Outcomes Following an Integrated WASH Intervention in Goma and Bukavu, Democratic Republic of Congo
Abstract
:1. Introduction
2. Methods
2.1. Study Setting and Intervention Summary
2.2. Study Design
2.3. Outcomes
2.4. Analysis
3. Results
3.1. Goma
3.2. Water Collection, Time Spent Collecting, and Costs
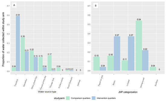
3.3. Water Source Heterogeneity
3.4. Water Usage
3.5. Bukavu
3.6. Water Usage
4. Discussion
5. Conclusions
Author Contributions
Funding
Institutional Review Board Statement
Informed Consent Statement
Data Availability Statement
Acknowledgments
Conflicts of Interest
References
- UNICEF/WHO. Joint Monitoring Programme Progress Update 2019. Available online: https://washdata.org/data (accessed on 15 June 2020).
- Hunter, P.R.; MacDonald, A.M.; Carter, R.C. Water Supply and Health. PLoS Med. 2010, 7, e1000361. [Google Scholar] [CrossRef] [PubMed] [Green Version]
- Cairncross, S.; Feachem, R.G. Environmental Health Engineering in the Tropics: Water, Sanitation and Disease Control; Routledge Ltd.: Oxford, UK, 2018. [Google Scholar]
- Cairncross, S.; Valdmanis, V. Water Supply, Sanitation, and Hygiene Promotion. In Disease Control Priorities in Developing Countries; Jamison, D.T., Breman, J.G., Measham, A.R., Alleyne, G., Claeson, M., Evans, D., Jha, P., Mills, A., Musgrove, P., Eds.; The World Bank: Washington, DC, USA, 2006. [Google Scholar]
- Oswald, W.E.; Hunter, G.C.; Kramer, M.; Leontsini, E.; Cabrera, L.; Lescano, A.G.; Gilman, R.H. Provision of private, piped water and sewerage connections and directly observed handwashing of mothers in a peri-urban community of Lima, Peru. Trop. Med. Int. Health 2014, 19, 388–397. [Google Scholar] [CrossRef] [PubMed] [Green Version]
- Tamason, C.C.; Bessias, S.; Villada, A.; Tulsiani, S.M.; Ensink, J.H.J.; Gurley, E.S.; Jensen, P.K.M. Measuring domestic water use: A systematic review of methodologies that measure unmetered water use in low-income settings. Trop. Med. Int. Health 2016, 21, 1389–1402. [Google Scholar] [CrossRef] [PubMed]
- Cairncross, S.; Hunt, C.; Boisson, S.; Bostoen, K.; Curtis, V.; Fung, I.C.-H.; Schmidt, W.-P. Water, sanitation and hygiene for the prevention of diarrhoea. Int. J. Epidemiol. 2010, 39, i193–i205. [Google Scholar] [CrossRef] [PubMed] [Green Version]
- The World Bank. Urban Population–Sub-Saharan Africa; The World Bank: Washington, DC, USA, 2020. [Google Scholar]
- Thomas, M.; Channon, A.; Bain, R.; Nyamai, M.; Wright, J. Household-Reported Availability of Drinking Water in Africa: A Systematic Review. Water 2020, 12, 2603. [Google Scholar] [CrossRef]
- Goma Epidemiology Group. Public health impact of Rwandan refugee crisis: What happened in Goma, Zaire, in July, 1994? Lancet 1995, 345, 339–344. [Google Scholar] [CrossRef]
- Vlassenroot, K.; Raeymaekers, T. Conflict and Social Transformation in Eastern DR Congo; Academia Press: Ghent, Belgium, 2004. [Google Scholar]
- Büscher, K.; Vlassenroot, K. Humanitarian presence and urban development: New opportunities and contrasts in Goma, DRC. Disasters 2010, 34, S256–S273. [Google Scholar] [CrossRef]
- Bele, M.Y.; Sonwa, D.J.; Tiani, A.M. Local Communities Vulnerability to Climate Change and Adaptation Strategies in Bukavu in DR Congo. J. Environ. Dev. 2014, 23, 331–357. [Google Scholar] [CrossRef]
- Joint Monitoring Programme. Drinking Water Classifications: JMP. 2020. Available online: https://washdata.org/monitoring/drinking-water (accessed on 6 June 2020).
- Bland, J.M.; Altman, D.G. Statistics notes: Cronbach’s alpha. BMJ 1997, 314, 572. [Google Scholar] [CrossRef] [Green Version]
- Morse, T.; Tilley, E.; Chidziwisano, K.; Malolo, R.; Musaya, J. Health Outcomes of an Integrated Behaviour-Centred Water, Sanitation, Hygiene and Food Safety Intervention—A Randomised before and after Trial. Int. J. Environ. Res. Public Health 2020, 17, 2648. [Google Scholar] [CrossRef] [Green Version]
- Friedrich, M.N.; Kappler, A.; Mosler, H.-J. Enhancing handwashing frequency and technique of primary caregivers in Harare, Zimbabwe: A cluster-randomized controlled trial using behavioral and microbial outcomes. Soc. Sci. Med. 2018, 196, 66–76. [Google Scholar] [CrossRef]
- Biran, A.; Schmidt, W.-P.; Varadharajan, K.S.; Rajaraman, D.; Kumar, R.; Greenland, K.; Gopalan, B.; Aunger, R.; Curtis, V. Effect of a behaviour-change intervention on handwashing with soap in India (SuperAmma): A cluster-randomised trial. Lancet Glob. Health 2014, 2, e145–e154. [Google Scholar] [CrossRef] [Green Version]
- Greenland, K.; Chipungu, J.; Curtis, V.; Schmidt, W.-P.; Siwale, Z.; Mudenda, M.; Chilekwa, J.; Lewis, J.; Chilengi, R. Multiple behaviour change intervention for diarrhoea control in Lusaka, Zambia: A cluster randomised trial. Lancet Glob. Health 2016, 4, e966–e977. [Google Scholar] [CrossRef] [Green Version]
- Curtis, V.; Dreibelbis, R.; Buxton, H.; Izang, N.; Adekunle, D.; Aunger, R. Behaviour settings theory applied to domestic water use in Nigeria: A new conceptual tool for the study of routine behaviour. Soc. Sci. Med. 2019, 235, 112398. [Google Scholar] [CrossRef]
- Barker, R.G. Ecological Psychology; Stanford University Press: Redwood City, CA, USA, 1968. [Google Scholar]
- Sandiford, P.; Gorter, A.C.; Orozco, J.G.; Pauw, J.P. Determinants of domestic water use in rural Nicaragua. J. Trop. Med. Hyg. 1990, 93, 383–389. [Google Scholar]
- Mertens, T.E.; Fernando, M.A.; Marshall, T.F.; Kirkwood, B.R.; Cairncross, S.; Radalowicz, A. Determinants of water quality, availability and use in Kurunegala, Sri Lanka. Trop. Med. Parasitol. 1990, 41, 89–97. [Google Scholar] [PubMed]
- West, S.; Lynch, M.; Turner, V.; Munoz, B.; Rapoza, P.; Mmbaga, B.B.; Taylor, H. Water availability and trachoma. Bull. World Health Organ. 1989, 67, 71–75. [Google Scholar] [PubMed]
- Blum, D.; Emeh, R.N.; Huttly, S.R.; Dosunmu-Ogunbi, O.; Okeke, N.; Ajala, M.; Okoro, J.I.; Akujobi, C.; Kirkwood, B.R.; Feachem, R.G. The Imo State (Nigeria) Drinking Water Supply and Sanitation Project, 1. Description of the project, evaluation methods, and impact on intervening variables. Trans. R. Soc. Trop. Med. Hyg. 1990, 84, 309–315. [Google Scholar] [CrossRef]
- Oageng, I.; Mmopelwa, G.P. Water consumption patterns in a rural setting in Ngamiland district, Botswana: The case of Boro village. J. Water Sanit. Hyg. Dev. 2014, 4, 720–726. [Google Scholar] [CrossRef]
- Huttinger, A.; Brunson, L.; Moe, C.L.; Roha, K.; Ngirimpuhwe, P.; Mfura, L.; Kayigamba, F.; Ciza, P.; Dreibelbis, R. Small Water Enterprise in Rural Rwanda: Business Development and Year-One Performance Evaluation of Nine Water Kiosks at Health Care Facilities. Int. J. Environ. Res. Public Health 2017, 14, 1584. [Google Scholar] [CrossRef] [Green Version]
- Kulinkina, A.V.; Kosinski, K.C.; Liss, A.; Adjei, M.N.; Ayamgah, G.A.; Webb, P.; Gute, D.M.; Plummer, J.D.; Naumova, E.N. Piped water consumption in Ghana: A case study of temporal and spatial patterns of clean water demand relative to alternative water sources in rural small towns. Sci. Total Environ. 2016, 559, 291–301. [Google Scholar] [CrossRef] [PubMed] [Green Version]
- Guragai, B.; Takizawa, S.; Hashimoto, T.; Oguma, K. Effects of inequality of supply hours on consumers’ coping strategies and perceptions of intermittent water supply in Kathmandu Valley, Nepal. Sci. Total Environ. 2017, 599–600, 431–441. [Google Scholar] [CrossRef] [PubMed]
- Francis, M.R.; Nagarajan, G.; Sarkar, R.; Mohan, V.R.; Kang, G.; Balraj, V. Perception of drinking water safety and factors influencing acceptance and sustainability of a water quality intervention in rural southern India. BMC Public Health 2015, 15, 731. [Google Scholar] [CrossRef] [PubMed] [Green Version]
- Kumpel, E.; Cock-Esteb, A.; Duret, M.; De Waal, D.; Khush, R. Seasonal Variation in Drinking and Domestic Water Sources and Quality in Port Harcourt, Nigeria. Am. J. Trop. Med. Hyg. 2016, 96, 437–445. [Google Scholar] [CrossRef]
- Kang, J.; Aldstadt, J. Examining time-dependent effects of water, sanitation, and hygiene (WASH) interventions using an agent-based model. Trop. Med. Int. Health 2019, 24, 962–971. [Google Scholar] [CrossRef]
- Elala, D.; Labhasetwar, P.; Tyrrel, S.F. Deterioration in water quality from supply chain to household and appropriate storage in the context of intermittent water supplies. Water Supply 2011, 11, 400–408. [Google Scholar] [CrossRef]
- John, V.; Jain, P.; Rahate, M.; Labhasetwar, P. Assessment of deterioration in water quality from source to household storage in semi-urban settings of developing countries. Environ. Monit. Assess. 2014, 186, 725–734. [Google Scholar] [CrossRef]
- Wolf, J.; Hunter, P.R.; Freeman, M.C.; Cumming, O.; Clasen, T.; Bartram, J.; Higgins, J.P.T.; Johnston, R.; Medlicott, K.; Boisson, S.; et al. Impact of drinking water, sanitation and handwashing with soap on childhood diarrhoeal disease: Updated meta-analysis and meta-regression. Trop. Med. Int. Health 2018, 23, 508–525. [Google Scholar] [CrossRef] [PubMed]
- Howard, G.; Bartram, J. Domestic Water Quantity, Service Level and Health; World Health Organisation: Geneva, Switzerland, 2003.



| Type | Source | Description |
|---|---|---|
| Piped on premises | Private tap (owned) | Private tapstand owned by accessing household |
| Basic or limited * | Tapstand | Public tapstand-including all pre-existing tapstands and those newly constructed or rehabilitated by the IMAGINE project. |
| Private tap (other) | Private tapstand not owned by accessing household | |
| Unimproved | Kiosk | Sebeya—Water sold at kiosks that is pre-bottled and transported from sources in Rwanda |
| Storage tank | Water stored in large storage containers from various sources | |
| Shallow well | Bizola—A traditional unprotected shallow dug well | |
| Dug well | Unprotected dug well | |
| Unprotected spring | Unprotected spring | |
| Rainwater | Rainwater, typically harvested from within household compound | |
| Delivery | Water sold from bicycle vendors sourced from lake Kivu | |
| Surface water | Surface water | Including water accessed directly from rivers and Lake Kivu |
| Bukavu (n = 614) | Goma (n = 639) | |||
|---|---|---|---|---|
| Comparison, n (%) | BCC Intervention, n (%) | Comparison, n (%) | Combined Intervention, n (%) | |
| Wealth index quintile | ||||
| Lowest wealth quintile | 109 (34.7) | 24 (7.8) | 63 (17.7) | 61 (21.6) |
| 2 | 72 (22.9) | 38 (12.3) | 62 (17.4) | 59 (20.8) |
| 3 | 74 (23.6) | 44 (14.2) | 66 (18.5) | 67 (23.7) |
| 4 | 40 (12.7) | 97 (31.4) | 91 (25.6) | 62 (21.9) |
| Highest wealth quintile | 19 (6.1) | 106 (34.3) | 74 (20.8) | 34 (12) |
| Number of household members | ||||
| 1–4 | 59 (18.8) | 43 (13.9) | 123 (34.6) | 91 (32.2) |
| 5–7 | 129 (41.1) | 119 (38.5) | 162 (45.5) | 137 (48.4) |
| 7+ | 126 (40.1) | 147 (47.6) | 71 (19.9) | 55 (19.4) |
| Respondent level of education | ||||
| No education | 50 (15.9) | 25 (8.1) | 16 (4.5) | 14 (4.9) |
| Primary education | 87 (27.7) | 46 (14.9) | 46 (12.9) | 43 (15.2) |
| Secondary or above | 177 (56.4) | 238 (77) | 294 (82.6) | 226 (79.9) |
| Ownership of dwelling | ||||
| Own dwelling | 206 (65.6) | 212 (68.6) | 230 (64.6) | 169 (59.7) |
| Occupation of head of household | ||||
| Unemployed | 25 (8.0) | 21 (7.0) | 15 (4.2) | 13 (4.4) |
| Manual occupation | 149 (47.8) | 149 (49.3) | 161 (45.2) | 139 (49.1) |
| Business owner | 117 (37.5) | 101 (33.4) | 120 (33.7) | 139 (35.3) |
| Professional | 21 (6.7) | 31 (10.2) | 60 (16.9) | 31 (11.0) |
| Ownership of mobile phone | ||||
| Own mobile phone | 257 (82.4) | 286 (94.7) | 343 (96.3) | 274 (96.8) |
| Main water source (at time of survey) | ||||
| Public tapstand | 118 (38.6) | 38 (12.9) | 18 (5.6) | 164 (58.6) |
| Owned private tap | 0 (0) | 32 (10.9) | 40 (12.5) | 8 (2.9) |
| Other private tap | 22 (7.2) | 98 (33.3) | 48 (15) | 36 (12.9) |
| Tank | 1 (0.3) | 6 (2) | 62 (19.3) | 2 (0.7) |
| Kiosk (Sebeya) | 0 (0) | 0 (0) | 4 (1.2) | 2 (0.7) |
| Delivery | 0 (0) | 0 (0) | 0 (0) | 1 (.4) |
| Well | 11 (3.6) | 2 (0.7) | 0 (0) | 0 (0) |
| Shallow well (Bizola) | 4 (1.3) | 29 (9.9) | 0 (0) | 0 (0) |
| Unprotected spring | 111 (36.3) | 41 (13.9) | 0 (0) | 0 (0) |
| Rainwater | 39 (12.7) | 48 (16.3) | 137 (42.7) | 67 (23.9) |
| Surface water | 0 (0) | 0 (0) | 12 (3.7) | 0 (0) |
| Distance to main water source (one-way trip) | ||||
| On plot or <5 min | 154 (49) | 217 (70.2) | 280 (78.7) | 199 (70.3) |
| 5–15 min | 47 (15) | 45 (14.6) | 57 (16) | 67 (23.7) |
| 15–30 min | 50 (15.9) | 33 (10.7) | 17 (4.8) | 14 (4.9) |
| 30+ min | 63 (20.1) | 14 (4.5) | 2 (0.6) | 3 (1.1) |
| Comparison | Intervention | |||||
|---|---|---|---|---|---|---|
| n (%) | n% | Adj OR (95 CI) * | p-value | |||
| Households collecting water during previous day | 246 (63.4) | 232 (81.12) | 2.53 (1.76 to 3.65) | <0.001 | ||
| n | Mean (SD) | n | Mean (SD) | Adj coef. (95 CI) * | p-value | |
| Litres per capita day (lpcd) collected among all households | 356 | 13.53 (15.48) | 283 | 16.33 (14.03) | 3.19 (0.84 to 5.53) | 0.008 |
| Lpcd collected among households collecting water | 246 | 19.58 (15.1) | 232 | 19.92 (12.98) | 0.88 (−1.66 to 3.43) | >0.1 |
| Number of sources usually accessed | 356 | 1.99 (0.55) | 283 | 2.15 (0.63) | 0.15 (0.06 to 0.24) | <0.001 |
| Proportion of water collected from primary source during previous day (%) | 246 | 92.83 (14.89) | 232 | 90.74 (16.1) | −1.85 (−4.67 to 0.97) | >0.1 |
| Time per capita day spent collecting water during previous day (minutes) | 246 | 13.08 (17.27) | 232 | 17.78 (16.68) | 4.46 (1.98 to 6.93) | <0.001 |
| Amount collected per minute spent collecting (litres) | 246 | 3.08 (1.91) | 232 | 2.06 (1.63) | −0.93 (−1.17 to −0.68) | <0.001 |
| Amount collected per minute spent collecting from tapstands (litres) | 15 | 0.69 (0.3) | 156 | 1.2 (0.82) | 0.08 (−0.3 to 0.47) | >0.1 |
| Cost per litre (CDF) | 246 | 4.19 (7.7) | 232 | 4.41 (6.31) | 0.29 (−0.95 to 1.53) | >0.1 |
| Cost per litre from improved source (CDF) | 100 | 5.7 (3.0) | 191 | 4.98 (0.82) | −0.61 (−1.09 to −0.13) | 0.014 |
| Comparison | Full Intervention | |||||
|---|---|---|---|---|---|---|
| n | Mean (SD) | n | Mean (SD) | adj coef. (95 CI) * | p Value | |
| Litres per capita day (lpcd) total used | 356 | 9.44 (7.86) | 283 | 8.2 (6.82) | −1.11 (−2.29 to 0.07) | 0.066 |
| Lpcd used for bathing | 356 | 2.17 (2.86) | 283 | 1.86 (1.97) | −0.3 (−0.7 to 0.1) | >0.1 |
| Lpcd used for cleaning | 356 | 0.84 (1.37) | 283 | 0.55 (1.11) | −0.3 (−0.5 to −0.1) | 0.003 |
| Lpcd used for cooking | 356 | 1.17 (1.44) | 283 | 1.25 (1.61) | 0.07 (−0.17 to 0.31) | >0.1 |
| Lpcd used for drinking | 356 | 0.65 (1.68) | 283 | 0.47 (0.82) | −0.19 (−0.41 to 0.02) | 0.08 |
| Lpcd used for laundry | 356 | 2.88 (4.71) | 283 | 2.26 (3.6) | −0.48 (−1.16 to 0.19) | >0.1 |
| Lpcd used for sanitation | 356 | 0.81 (1.9) | 283 | 0.67 (1.52) | −0.1 (−0.38 to 0.18) | >0.1 |
| Lpcd used for handwashing | 356 | 0.9 (1.88) | 283 | 0.88 (2.29) | −0.02 (−0.35 to 0.31) | >0.1 |
| Comparison | BCC Intervention | |||||
|---|---|---|---|---|---|---|
| n | Mean (SD) | n | Mean (SD) | adj Coef. (95 CI) * | p Value | |
| Litres per capita day (lpcd) total used | 312 | 5.28 (4.66) | 302 | 5.92 (5.89) | 0.68 (−0.31 to 1.66) | >0.1 |
| Lpcd used for bathing | 312 | 1.41 (1.75) | 302 | 1.4 (1.91) | 0.06 (−0.28 to 0.4) | >0.1 |
| Lpcd used for cleaning | 312 | 0.57 (0.96) | 302 | 0.72 (1.24) | 0.16 (−0.05 to 0.36) | >0.1 |
| Lpcd used for cooking | 312 | 0.89 (1.12) | 302 | 0.94 (1.4) | 0.08 (−0.16 to 0.31) | >0.1 |
| Lpcd used for drinking | 312 | 0.29 (0.45) | 302 | 0.34 (0.7) | 0.05 (−0.06 to 0.16) | >0.1 |
| Lpcd used for laundry | 312 | 1.56 (2.02) | 302 | 1.65 (2.4) | 0.08 (−0.34 to 0.49) | >0.1 |
| Lpcd used for sanitation | 312 | 0.3 (0.8) | 302 | 0.48 (0.89) | 0.12 (−0.04 to 0.28) | >0.1 |
| Lpcd used for handwashing | 312 | 0.26 (0.58) | 302 | 0.33 (0.9) | 0.09 (−0.05 to 0.23) | >0.1 |
Publisher’s Note: MDPI stays neutral with regard to jurisdictional claims in published maps and institutional affiliations. |
© 2022 by the authors. Licensee MDPI, Basel, Switzerland. This article is an open access article distributed under the terms and conditions of the Creative Commons Attribution (CC BY) license (https://creativecommons.org/licenses/by/4.0/).
Share and Cite
Legge, H.; Fedele, S.; Preusser, F.; Stys, P.; Muzuri, P.; Schuberth, M.; Dreibelbis, R. Urban Water Access and Use in the Kivus: Evaluating Behavioural Outcomes Following an Integrated WASH Intervention in Goma and Bukavu, Democratic Republic of Congo. Int. J. Environ. Res. Public Health 2022, 19, 1065. https://doi.org/10.3390/ijerph19031065
Legge H, Fedele S, Preusser F, Stys P, Muzuri P, Schuberth M, Dreibelbis R. Urban Water Access and Use in the Kivus: Evaluating Behavioural Outcomes Following an Integrated WASH Intervention in Goma and Bukavu, Democratic Republic of Congo. International Journal of Environmental Research and Public Health. 2022; 19(3):1065. https://doi.org/10.3390/ijerph19031065
Chicago/Turabian StyleLegge, Hugo, Shahana Fedele, Florian Preusser, Patrycja Stys, Papy Muzuri, Moritz Schuberth, and Robert Dreibelbis. 2022. "Urban Water Access and Use in the Kivus: Evaluating Behavioural Outcomes Following an Integrated WASH Intervention in Goma and Bukavu, Democratic Republic of Congo" International Journal of Environmental Research and Public Health 19, no. 3: 1065. https://doi.org/10.3390/ijerph19031065
APA StyleLegge, H., Fedele, S., Preusser, F., Stys, P., Muzuri, P., Schuberth, M., & Dreibelbis, R. (2022). Urban Water Access and Use in the Kivus: Evaluating Behavioural Outcomes Following an Integrated WASH Intervention in Goma and Bukavu, Democratic Republic of Congo. International Journal of Environmental Research and Public Health, 19(3), 1065. https://doi.org/10.3390/ijerph19031065

