High-Intensity Interval Training (HIIT) in Hypoxia Improves Maximal Aerobic Capacity More Than HIIT in Normoxia: A Systematic Review, Meta-Analysis, and Meta-Regression
Abstract
1. Introduction
1.1. Rationale
1.2. Objectives
2. Materials and Methods
2.1. Eligibility Criteria
2.2. Information Sources
2.3. Study Selection
2.4. Data Collection Process
2.5. Data Items
3. Results
3.1. Study Selection
3.2. Study Characteristics
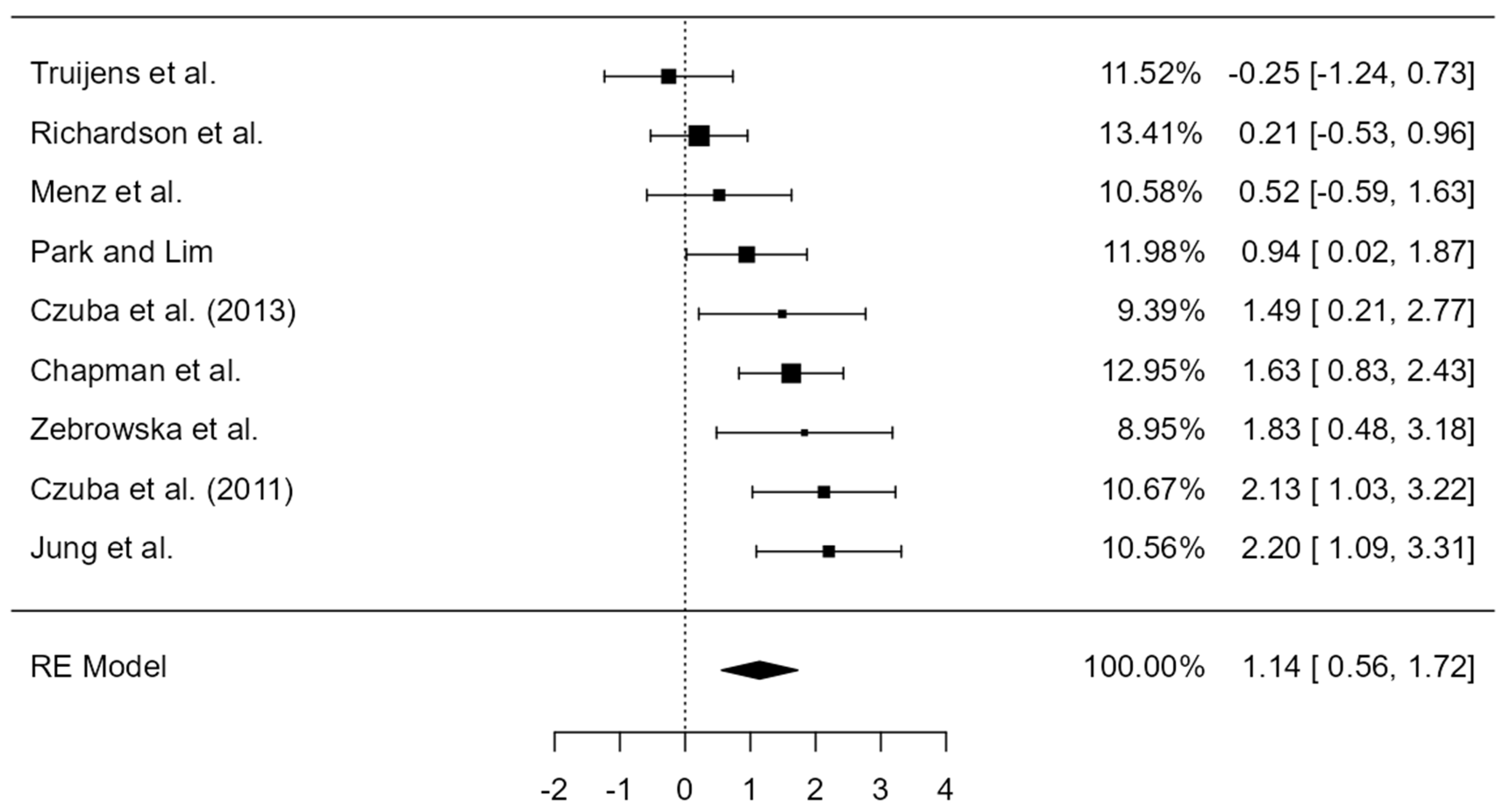
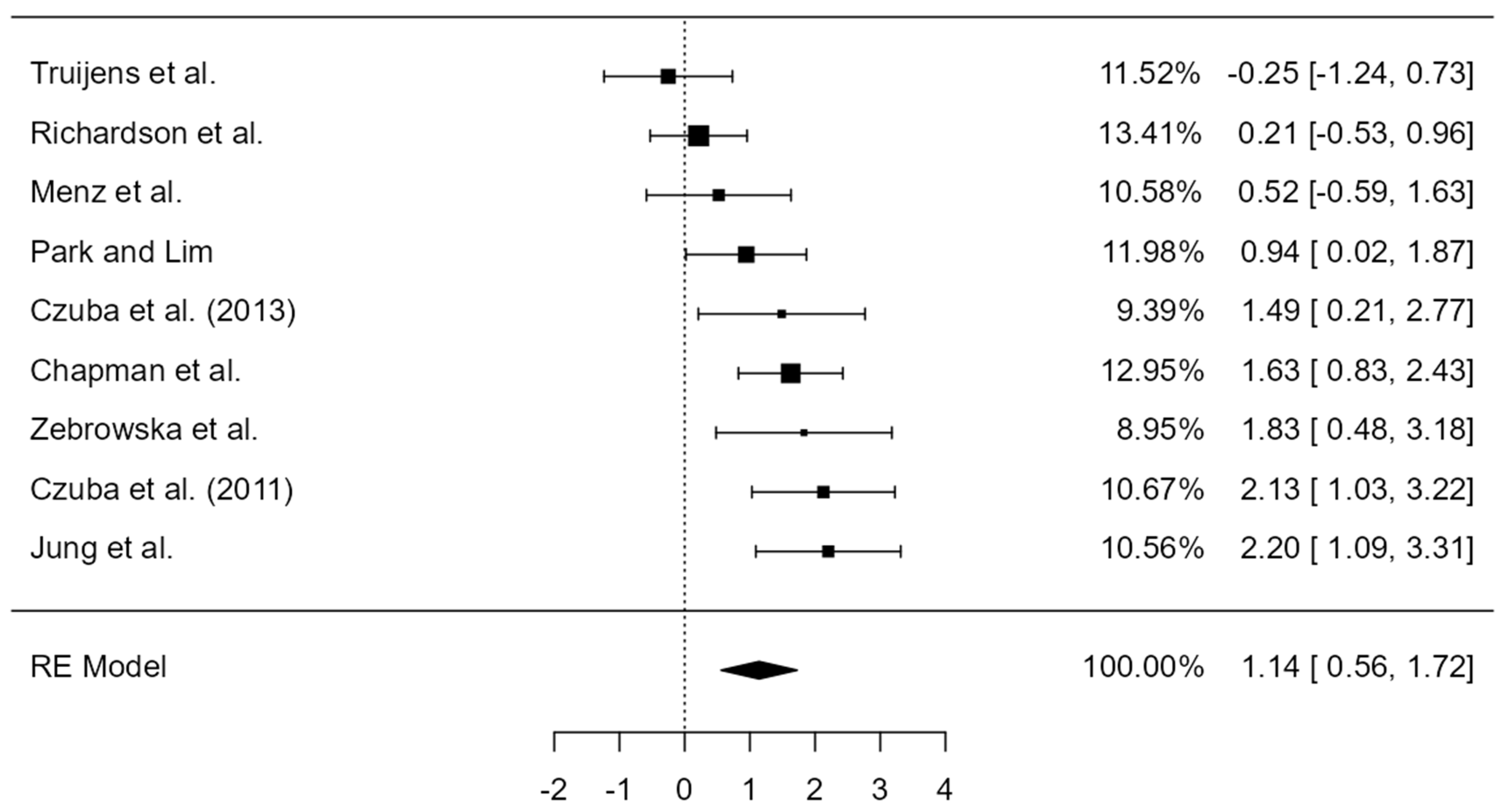
3.3. Meta-Analysis
3.4. Meta-Regressions
4. Discussion
4.1. Overview
4.2. The Effect of HIIT in Hypoxia on VO2max
4.3. Impact of Altitude Extent and Intervention Duration on VO2max
4.4. Limitations
5. Conclusions
Author Contributions
Funding
Institutional Review Board Statement
Informed Consent Statement
Data Availability Statement
Conflicts of Interest
References
- Conkin, J.; Wessel, J.H. Critique of the Equivalent Air Altitude Model. Aviat. Space Environ. Med. 2008, 79, 975–982. [Google Scholar] [CrossRef]
- Savourey, G.; Launay, J.-C.; Besnard, Y.; Guinet, A.; Travers, S. Normo- and Hypobaric Hypoxia: Are There Any Physiological Differences? Eur. J. Appl. Physiol. 2003, 89, 122–126. [Google Scholar] [CrossRef]
- Loeppky, J.A.; Icenogle, M.; Scotto, P.; Robergs, R.; Hinghofer-Szalkay, H.; Roach, R.C. Ventilation during Simulated Altitude, Normobaric Hypoxia and Normoxic Hypobaria1This Report Is Dedicated to Professor W.A. Bynum (University of California-Sacramento, Retired). Without His Foresight, Perseverance, Goodwill and Engineering Expertise, the Environmental Chamber at the University of New Mexico Would Not Exist.1. Respir. Physiol. 1997, 107, 231–239. [Google Scholar] [CrossRef]
- Jelkmann, W. Regulation of Erythropoietin Production. J. Physiol. 2011, 589, 1251–1258. [Google Scholar] [CrossRef]
- Ge, R.-L.; Witkowski, S.; Zhang, Y.; Alfrey, C.; Sivieri, M.; Karlsen, T.; Reseland, G.K.; Harber, M.; Stray-Gundersen, J.; Levine, B.D. Determinants of Erythropoietin Release in Response to Short-Term Hypobaric Hypoxia. J. Appl. Physiol. 2002, 92, 2361–2367. [Google Scholar] [CrossRef]
- Levine, B.D.; Stray-Gundersen, J. A Practical Approach to Altitude Training: Where to Live and Train for Optimal Performance Enhancement. Int. J. Sport Med. 1992, 13 (Suppl. 1), S209–S212. [Google Scholar] [CrossRef]
- Levine, B.D.; Stray-Gundersen, J. “Living High-Training Low”: Effect of Moderate-Altitude Acclimatization with Low-Altitude Training on Performance. J. Appl. Physiol. 1997, 83, 102–112. [Google Scholar] [CrossRef]
- Robach, P.; Schmitt, L.; Brugniaux, J.V.; Roels, B.; Millet, G.; Hellard, P.; Nicolet, G.; Duvallet, A.; Fouillot, J.-P.; Moutereau, S.; et al. Living High-Training Low: Effect on Erythropoiesis and Aerobic Performance in Highly-Trained Swimmers. Eur. J. Appl. Physiol. 2006, 96, 423–433. [Google Scholar] [CrossRef]
- Saugy, J.J.; Schmitt, L.; Hauser, A.; Constantin, G.; Cejuela, R.; Faiss, R.; Wehrlin, J.P.; Rosset, J.; Robinson, N.; Millet, G.P. Same Performance Changes after Live High-Train Low in Normobaric vs. Hypobaric Hypoxia. Front. Physiol. 2016, 7, 138. [Google Scholar] [CrossRef]
- Saunders, P.U.; Garvican-Lewis, L.A.; Schmidt, W.F.; Gore, C.J. Relationship between Changes in Haemoglobin Mass and Maximal Oxygen Uptake after Hypoxic Exposure. Br. J. Sport Med. 2013, 47 (Suppl. 1), i26–i30. [Google Scholar] [CrossRef]
- Girard, O.; Brocherie, F.; Millet, G.P. Effects of Altitude/Hypoxia on Single- and Multiple-Sprint Performance: A Comprehensive Review. Sport Med. 2017, 47, 1931–1949. [Google Scholar] [CrossRef]
- Millet, G.P.; Faiss, R.; Brocherie, F.; Girard, O. Hypoxic Training and Team Sports: A Challenge to Traditional Methods? Br. J. Sport Med. 2013, 47, i6–i7. [Google Scholar] [CrossRef]
- Wilber, R.L. Current Trends in Altitude Training. Sport Med. 2001, 31, 249–265. [Google Scholar] [CrossRef]
- Worldwide Survey of Fitness Trends for 2021: ACSM’s Health & Fitness Journal. Available online: https://journals.lww.com/acsm-healthfitness/Fulltext/2021/01000/Worldwide_Survey_of_Fitness_Trends_for_2021.6.aspx (accessed on 3 October 2022).
- Sabag, A.; Little, J.P.; Johnson, N.A. Low-Volume High-Intensity Interval Training for Cardiometabolic Health. J. Physiol. 2022, 600, 1013–1026. [Google Scholar] [CrossRef]
- Hayes, L.D.; Elliott, B.T.; Yasar, Z.; Bampouras, T.M.; Sculthorpe, N.F.; Sanal-Hayes, N.E.M.; Hurst, C. High Intensity Interval Training (HIIT) as a Potential Countermeasure for Phenotypic Characteristics of Sarcopenia: A Scoping Review. Front. Physiol. 2021, 12, 1270. [Google Scholar] [CrossRef]
- Hayes, L.D.; Herbert, P.; Sculthorpe, N.; Grace, F. High Intensity Interval Training (HIIT) Produces Small Improvements in Fasting Glucose, Insulin, and Insulin Resistance in Sedentary Older Men but Not Masters Athletes. Exp. Gerontol. 2020, 140, 111074. [Google Scholar] [CrossRef]
- Herbert, P.; Hayes, L.D.; Sculthorpe, N.F.; Grace, F.M. HIIT Produces Increases in Muscle Power and Free Testosterone in Male Masters Athletes. Endocr. Connect. 2017, 6, 430–436. [Google Scholar] [CrossRef]
- Yasar, Z.; Elliott, B.T.; Kyriakidou, Y.; Nwokoma, C.T.; Postlethwaite, R.D.; Gaffney, C.J.; Dewhurst, S.; Hayes, L.D. Sprint Interval Training (SIT) Reduces Serum Epidermal Growth Factor (EGF), but Not Other Inflammatory Cytokines in Trained Older Men. Eur. J. Appl. Physiol. 2021, 121, 1909–1919. [Google Scholar] [CrossRef]
- Yasar, Z.; Dewhurst, S.; Hayes, L.D. Peak Power Output Is Similarly Recovered After Three- and Five-Days’ Rest Following Sprint Interval Training in Young and Older Adults. Sport 2019, 7, 94. [Google Scholar] [CrossRef]
- Gibala, M.J.; Little, J.P.; MacDonald, M.J.; Hawley, J.A. Physiological Adaptations to Low-Volume, High-Intensity Interval Training in Health and Disease. J. Physiol. 2012, 590, 1077–1084. [Google Scholar] [CrossRef]
- MacInnis, M.J.; Gibala, M.J. Physiological Adaptations to Interval Training and the Role of Exercise Intensity. J. Physiol. 2017, 595, 2915–2930. [Google Scholar] [CrossRef]
- Herbert, P.; Hayes, L.D.; Beaumont, A.J.; Grace, F.M.; Sculthorpe, N.F. Six Weeks of High Intensity Interval Training (HIIT) Facilitates a Four Year Preservation of Aerobic Capacity in Sedentary Older Males: A Reunion Study. Exp. Gerontol. 2021, 150, 111373. [Google Scholar] [CrossRef]
- Allison, M.K.; Baglole, J.H.; Martin, B.J.; Macinnis, M.J.; Gurd, B.J.; Gibala, M.J. Brief Intense Stair Climbing Improves Cardiorespiratory Fitness. Med. Sci. Sport Exerc. 2017, 49, 298–307. [Google Scholar] [CrossRef]
- Su, L.; Fu, J.; Sun, S.; Zhao, G.; Cheng, W.; Dou, C.; Quan, M. Effects of HIIT and MICT on Cardiovascular Risk Factors in Adults with Overweight and/or Obesity: A Meta-Analysis. PLoS ONE 2019, 14, e0210644. [Google Scholar] [CrossRef]
- Hayes, L.D.; Herbert, P.; Sculthorpe, N.F.; Grace, F.M. Short-Term and Lifelong Exercise Training Lowers Inflammatory Mediators in Older Men. Front. Physiol. 2021, 12, 702248. [Google Scholar] [CrossRef]
- Hickson, R.C.; Rosenkoetter, M.A. Reduced Training Frequencies and Maintenance of Increased Aerobic Power. Med. Sci. Sport Exerc. 1981, 13, 13–16. [Google Scholar] [CrossRef]
- Hickson, R.C.; Bomze, H.A.; Holloszy, J.O. Linear Increase in Aerobic Power Induced by a Strenuous Program of Endurance Exercise. J. Appl. Physiol. 1977, 42, 372–376. [Google Scholar] [CrossRef]
- Hickson, R.C.; Hagberg, J.M.; Ehsani, A.A.; Holloszy, J.O. Time Course of the Adaptive Responses of Aerobic Power and Heart Rate to Training. Med. Sci. Sport Exerc. 1981, 13, 17–20. [Google Scholar] [CrossRef]
- Kearney, J.T.; Stull, G.A.; Ewing, J.L.; Strein, J.W. Cardiorespiratory Responses of Sedentary College Women as a Function of Training Intensity. J. Appl. Physiol. 1976, 41, 822–825. [Google Scholar] [CrossRef]
- Milanović, Z.; Sporiš, G.; Weston, M. Effectiveness of High-Intensity Interval Training (HIT) and Continuous Endurance Training for VO2max Improvements: A Systematic Review and Meta-Analysis of Controlled Trials. Sport Med. 2015, 45, 1469–1481. [Google Scholar] [CrossRef]
- Knowles, A.-M.; Herbert, P.; Easton, C.; Sculthorpe, N.; Grace, F.M. Impact of Low-Volume, High-Intensity Interval Training on Maximal Aerobic Capacity, Health-Related Quality of Life and Motivation to Exercise in Ageing Men. Age 2015, 37, 1–12. [Google Scholar] [CrossRef]
- Helgerud, J.; Høydal, K.; Wang, E.; Karlsen, T.; Berg, P.; Bjerkaas, M.; Simonsen, T.; Helgesen, C.; Hjorth, N.; Bach, R.; et al. Aerobic High-Intensity Intervals Improve VO2max More than Moderate Training. Med. Sci. Sport Exerc. 2007, 39, 665–671. [Google Scholar] [CrossRef]
- Brocherie, F.; Girard, O.; Faiss, R.; Millet, G.P. Effects of Repeated-Sprint Training in Hypoxia on Sea-Level Performance: A Meta-Analysis. Sport Med. 2017, 47, 1651–1660. [Google Scholar] [CrossRef]
- Faiss, R.; Girard, O.; Millet, G.P. Advancing Hypoxic Training in Team Sports: From Intermittent Hypoxic Training to Repeated Sprint Training in Hypoxia. Br. J. Sport Med. 2013, 47 (Suppl. 1), i45–i50. [Google Scholar] [CrossRef]
- Faiss, R.; Léger, B.; Vesin, J.-M.; Fournier, P.-E.; Eggel, Y.; Dériaz, O.; Millet, G.P. Significant Molecular and Systemic Adaptations after Repeated Sprint Training in Hypoxia. PLoS ONE 2013, 8, e56522. [Google Scholar] [CrossRef]
- Gatterer, H.; Menz, V.; Salazar-Martinez, E.; Sumbalova, Z.; Garcia-Souza, L.F.; Velika, B.; Gnaiger, E.; Burtscher, M. Exercise Performance, Muscle Oxygen Extraction and Blood Cell Mitochondrial Respiration after Repeated-Sprint and Sprint Interval Training in Hypoxia: A Pilot Study. J. Sport Sci. Med. 2018, 17, 339–347. [Google Scholar]
- Hoppeler, H.; Klossner, S.; Vogt, M. Training in Hypoxia and Its Effects on Skeletal Muscle Tissue. Scand. J. Med. Sci. Sport 2008, 18, 38–49. [Google Scholar] [CrossRef]
- Hamlin, M.J.; Lizamore, C.A.; Hopkins, W.G. The Effect of Natural or Simulated Altitude Training on High-Intensity Intermittent Running Performance in Team-Sport Athletes: A Meta-Analysis. Sport Med. 2018, 48, 431–446. [Google Scholar] [CrossRef]
- de Morton, N.A. The PEDro Scale Is a Valid Measure of the Methodological Quality of Clinical Trials: A Demographic Study. Aust. J. Physiother. 2009, 55, 129–133. [Google Scholar] [CrossRef]
- Lawler, J.; Powers, S.K.; Thompson, D. Linear Relationship between VO2max and VO2max Decrement during Exposure to Acute Hypoxia. J. Appl. Physiol. 1988, 64, 1486–1492. [Google Scholar] [CrossRef]
- Front Matter. In Cochrane Handbook for Systematic Reviews of Interventions; Higgins, J.P., Green, S., Eds.; John Wiley & Sons, Ltd.: Chichester, UK, 2008; ISBN 978-0-470-71218-4. [Google Scholar]
- Duval, S.; Tweedie, R. Trim and Fill: A Simple Funnel-Plot–Based Method of Testing and Adjusting for Publication Bias in Meta-Analysis. Biometrics 2000, 56, 455–463. [Google Scholar] [CrossRef]
- Chapman, R.F.; Stray-Gundersen, J.; Levine, B.D. Individual Variation in Response to Altitude Training. J. Appl. Physiol. 1998, 85, 1448–1456. [Google Scholar] [CrossRef]
- Czuba, M.; Waskiewicz, Z.; Zajac, A.; Poprzecki, S.; Cholewa, J.; Roczniok, R. The Effects of Intermittent Hypoxic Training on Aerobic Capacity and Endurance Performance in Cyclists. J. Sport Sci. Med. 2011, 10, 175–183. [Google Scholar]
- Czuba, M.; Zając, A.; Maszczyk, A.; Roczniok, R.; Poprzęcki, S.; Garbaciak, W.; Zając, T. The Effects of High Intensity Interval Training in Normobaric Hypoxia on Aerobic Capacity in Basketball Players. J. Hum. Kinet. 2013, 39, 103–114. [Google Scholar] [CrossRef]
- Jung, W.-S.; Kim, S.-W.; Park, H.-Y. Interval Hypoxic Training Enhances Athletic Performance and Does Not Adversely Affect Immune Function in Middle- and Long-Distance Runners. Int. J. Environ. Res. Public Health 2020, 17, 1934. [Google Scholar] [CrossRef]
- Menz, V.; Semsch, M.; Mosbach, F.; Burtscher, M. Cardiorespiratory Effects of One-Legged High-Intensity Interval Training in Normoxia and Hypoxia: A Pilot Study. J. Sport Sci. Med. 2016, 15, 208–213. [Google Scholar]
- Park, H.-Y.; Lim, K. Effects of Hypoxic Training versus Normoxic Training on Exercise Performance in Competitive Swimmers. J. Sport Sci. Med. 2017, 16, 480–488. [Google Scholar]
- Richardson, A.J.; Relf, R.L.; Saunders, A.; Gibson, O.R. Similar Inflammatory Responses Following Sprint Interval Training Performed in Hypoxia and Normoxia. Front. Physiol. 2016, 7, 332. [Google Scholar] [CrossRef]
- Truijens, M.J.; Toussaint, H.M.; Dow, J.; Levine, B.D. Effect of High-Intensity Hypoxic Training on Sea-Level Swimming Performances. J. Appl. Physiol. 2003, 94, 733–743. [Google Scholar] [CrossRef]
- Żebrowska, A.; Jastrzębski, D.; Sadowska-Krępa, E.; Sikora, M.; Di Giulio, C. Comparison of the Effectiveness of High-Intensity Interval Training in Hypoxia and Normoxia in Healthy Male Volunteers: A Pilot Study. Biomed. Res. Int. 2019, 2019, 7315714. [Google Scholar] [CrossRef]
- Bossi, A.H.; Mesquida, C.; Passfield, L.; Rønnestad, B.R.; Hopker, J.G. Optimizing Interval Training Through Power-Output Variation Within the Work Intervals. Int. J. Sport Physiol. Perform. 2020, 15, 982–989. [Google Scholar] [CrossRef]
- Rønnestad, B.R.; Øfsteng, S.J.; Zambolin, F.; Raastad, T.; Hammarström, D. Superior Physiological Adaptations After a Microcycle of Short Intervals Versus Long Intervals in Cyclists. Int. J. Sport Physiol. Perform. 2021, 16, 1432–1438. [Google Scholar] [CrossRef]
- Rønnestad, B.R.; Haugen, O.C.; Dæhlin, T.E. Superior On-Ice Performance After Short-Interval vs. Long-Interval Training in Well-Trained Adolescent Ice Hockey Players. J. Strength Cond. Res. 2021, 35, S76–S80. [Google Scholar] [CrossRef]
- Wehrlin, J.P.; Marti, B.; Hallén, J. Hemoglobin Mass and Aerobic Performance at Moderate Altitude in Elite Athletes. Adv. Exp. Med. Biol. 2016, 903, 357–374. [Google Scholar] [CrossRef]
- Treml, B.; Gatterer, H.; Burtscher, J.; Kleinsasser, A.; Burtscher, M. A Focused Review on the Maximal Exercise Responses in Hypo- and Normobaric Hypoxia: Divergent Oxygen Uptake and Ventilation Responses. Int. J. Environ. Res. Public Health 2020, 17, 5239. [Google Scholar] [CrossRef]
- Li, Y.; Li, J.; Atakan, M.M.; Wang, Z.; Hu, Y.; Nazif, M.; Yan, X. Methods to Match High-Intensity Interval Exercise Intensity in Hypoxia and Normoxia—A Pilot Study. J. Exerc. Sci. Fit. 2022, 20, 70–76. [Google Scholar] [CrossRef]
- Hendriksen, I.J.M.; Meeuwsen, T. The Effect of Intermittent Training in Hypobaric Hypoxia on Sea-Level Exercise: A Cross-over Study in Humans. Eur. J. Appl. Physiol. 2003, 88, 396–403. [Google Scholar] [CrossRef]
- Wolski, L.A.; McKenzie, D.C.; Wenger, H.A. Altitude Training for Improvements in Sea Level Performance. Is the Scientific Evidence of Benefit? Sport Med. 1996, 22, 251–263. [Google Scholar] [CrossRef]
- Płoszczyca, K.; Langfort, J.; Czuba, M. The Effects of Altitude Training on Erythropoietic Response and Hematological Variables in Adult Athletes: A Narrative Review. Front. Physiol. 2018, 9, 375. [Google Scholar] [CrossRef]
- Zoll, J.; Ponsot, E.; Dufour, S.; Doutreleau, S.; Ventura-Clapier, R.; Vogt, M.; Hoppeler, H.; Richard, R.; Flück, M. Exercise Training in Normobaric Hypoxia in Endurance Runners. III. Muscular Adjustments of Selected Gene Transcripts. J. Appl. Physiol. 2006, 100, 1258–1266. [Google Scholar] [CrossRef]
- Ponsot, E.; Dufour, S.P.; Zoll, J.; Doutrelau, S.; N’Guessan, B.; Geny, B.; Hoppeler, H.; Lampert, E.; Mettauer, B.; Ventura-Clapier, R.; et al. Exercise Training in Normobaric Hypoxia in Endurance Runners. II. Improvement of Mitochondrial Properties in Skeletal Muscle. J. Appl. Physiol. 2006, 100, 1249–1257. [Google Scholar] [CrossRef]
- Sandelowski, M. Sample Size in Qualitative Research. Res. Nurs. Health 1995, 18, 179–183. [Google Scholar] [CrossRef]
- Slade, S.C.; Dionne, C.E.; Underwood, M.; Buchbinder, R.; Beck, B.; Bennell, K.; Brosseau, L.; Costa, L.; Cramp, F.; Cup, E.; et al. Consensus on Exercise Reporting Template (CERT): Modified Delphi Study. Phys. Ther. 2016, 96, 1514–1524. [Google Scholar] [CrossRef]



| Study (Year) | Exercise; Exercise Intervention (Group) | Design Method | Intervention Duration (Weeks) | VO2max Analysis Method | Study n (M/F) | Age (Years) | PEDro Scale |
|---|---|---|---|---|---|---|---|
| Chapman et al. [44] | Running; Interval training specific to athlete’s personalised mesocycle, intensity increased weekly up to 95% HRmax (Normoxic) Running; Interval training specific to athlete’s personalised mesocycle, intensity increased weekly up to 95% HRmax (Hypoxic, 2500–3000 m) | CT | 13 Weeks | Douglas Bag; Modified Astrand-Saltin protocol | 39 (27/12) | Total = 22 ± 3 | 4 |
| Czuba et al. [45] | Cycling; HIIT: 15 min warm up @ 80% lactate threshold; 30–40 min @ 100% lactate threshold; 15 min active recovery @ 55% lactate threshold 120 min @ 60–75% lactate threshold, 3 d∙wk−1 for 3 weeks (Control) Cycling; HIIT: 15 min warm up @ 80% lactate threshold; 30- 40 min @ 95% lactate threshold; 15 min active recovery @ 55% lactate threshold; 120 min @ 60–75% lactate threshold, 3 d∙wk−1 for 3 weeks (Hypoxic; FiO2 = 15.2%, 2500–2600 m) | RCT | 3 Weeks | Douglas Bag; Maximal incremental cycle ergometer protocol | 20 (20/0) | Cont = 24 ± 4 Hyp = 22 ± 3 | 5 |
| Czuba et al. [46] | Basketball; HIIT: 4–5 min, 90% vVO2max, 4 min active recovery, 60% vVO2max, 3 d∙wk−1 for 4 weeks (Control) Basketball; HIIT:4–5 min, 90% vVO2max, 4 min active recovery, 60% vVO2max, 3 d∙wk−1 for 4 weeks (Hypoxic, 2500 m) | RCT | 3 Weeks | Breath by breath analysis: Maximal incremental cycle ergometer protocol | 12 (12/0) | Cont = 22 ± 2 Hyp = 22 ± 2 | 5 |
| Jung et al. [47] | Running; Interval training 90 min; 10 × 5 min, 90–95% HRmax, 3 d∙wk−1 for 6 weeks (Normoxic) Running; Interval training 90 min; 10 × 5 min, 90–95% HRmax, 3 d∙wk−1 for 6 weeks (Hypoxic, 3000 m) | RCT | 6 Weeks | Breath-by-breath analysis; Bruce protocol | 20 (20/0) | Norm = 26 ± 1 Hyp = 26 ± 2 | 4 |
| Menz et al. [48] | One-Legged Cycling; HIIT: 4 × 4 min, 90% HRmax, 3 d∙wk−1 for 3 weeks (Normoxic) One-Legged Cycling; HIIT: 4 × 4 min, 90% HRmax, 3 d∙wk−1 for 3 weeks (Hypoxic, 4500 m) | RCT | 3 weeks | Breath-by-breath analysis; Bruce protocol | 13 (5/8) | Total = 26 ± 3 | 5 |
| Park and Lim [49] | Swimming; Multi Component training 120 min: Running; 30 min 80% HRmax, Cycling; 2 min × 10 90% HRmax, Resistance training; multi set, multi exercise 80–90% 1 RM, 3 d∙wk−1 for 6 weeks (Normoxic) Swimming; Multi Component training 120 min: Running; 30 min 80% HRmax, Cycling; 2 min × 10 90% HRmax, Resistance training; multi set, multi exercise 80–90% 1 RM, 3 d∙wk−1 for 6 weeks (Hypoxic) | CT | 8 Weeks | Breath-by-breath analysis: Maximal incremental cycle ergometer protocol | 20 (10/10) | Norm = 23 ± 4 Hyp = 23 ± 3 | 4 |
| Richardson et al. [50] | Cycling; Sprint Interval Training: 4–7 30 s, max effort, 3 d∙wk−1 for 2 weeks (Control) Cycling; Sprint Interval Training: 4–7 30 s, max effort, 3 d∙wk−1 for 2 weeks (Normoxic) Cycling; Sprint Interval Training: 4–7 30 s, max effort, 3 d∙wk−1 for 2 weeks (Hypoxic) | RCT | 2 Weeks | Breath by breath analysis: Maximal incremental cycle ergometer protocol | 42 (27/15) | Cont = 20 ± 1 Norm = 20 ± 1 Hyp = 20 ± 1 | 5 |
| Truijens et al. [51] | Swimming; front crawl HIIT in flume, 10 × 30 s max effort RPE, 5 × 1 min, 5 × 30 s max effort, 6 d∙wk−1 for 5 weeks (Normoxic gas mix) Swimming; front crawl HIIT in flume, 10 × 30 s max effort, 5 × 1 min, 5 × 30 s max effort, 6 d∙wk−1 for 5 weeks (Hypoxic gas mix) | RCT | 5 Weeks | Breath-by-breath analysis: Maximal incremental cycle ergometer protocol | 16 (6/10) | Norm = 29 ± 9 Hyp = 29 ± 12 | 6 |
| Zebrowska et al. [52] | Cycling; HIIT: 5 min warm up @30 W; 6 × 5 min @ 120% lactate threshold; 5 min intermittent recovery, 3 d∙wk−1 for 3 weeks (Normoxic) Cycling; HIIT: 5 min warm up @30 W; 6 × 5 min @ 120% lactate threshold; 5 min intermittent recovery, 3 d∙wk−1 for 3 weeks (Hypoxic) | RCT | 6 Weeks | Brath by breath analysis: Maximal incremental cycle ergometer protocol | 12 (12/0) | Total = 24 ± 4 | 5 |
| Study (Year) | Altitude Conditions: FiO2 % | Hypobaric or Normobaric | Altitude Administration | Total Hypoxic Dose | Pre VO2max | Post VO2max | % Change |
|---|---|---|---|---|---|---|---|
| Chapman et al. [44] | Normoxic: FiO2 = 20.6 % Hypoxic: FiO2 = 14.3 % | Hypobaric | Natural altitude (2500 m) for 4 weeks. | Normoxic: 64.1 ± 4.4 mL·kg·min−1 Hypoxic: 65.0 ± 5.8 mL·kg·min−1 | Normoxic: 64.4 ± 4.7 mL·kg·min−1 Hypoxic: 69.2 ± 6.8 mL·kg·min−1 | +0.46% +6.46% | |
| Czuba et al. [45] | Normoxic: FiO2 = 21% Hypoxic: FiO2 = 15.2% | Normobaric | Hypoxia Chamber | Simulated altitude (2500–2600 m) 3 weeks 3 × per week 60–80 min | Normoxic: 67.7 ± 2.0 mL·kg·min−1 Hypoxic: 67.8 ± 2.5 mL·kg·min−1 | Normoxic: 67.5 ± 1.8 mL·kg·min−1 Hypoxic: 70.5 ± 1.5 mL·kg·min−1 | −0.30% +3.98% |
| Czuba et al. [46] | Normoxic: FiO2 = 21% Hypoxic: FiO2 = 15% | Normobaric | Hypoxia Chamber | Simulated altitude (2500 m) 3 weeks 3 × per week 60 min | Normoxic: 42.2 ± 8.6 mL·kg·min−1 Hypoxic: 43.6 ± 7.9 mL·kg·min−1 | Normoxic: 46.0 ± 7.5 mL·kg·min−1 Hypoxic: 48.8 ± 9.2 mL·kg·min−1 | +9.01% +11.92% |
| Jung et al. [47] | Normoxic: FiO2 = 20.8% Hypoxic: FiO2 = 14.3% | Hypobaric | Natural altitude | Normoxic: 65.0 ± 4.1 mL·kg·min−1 Hypoxic: 63.2 ± 2.5 mL·kg·min−1 | Normoxic: 66.1± 2.2 mL·kg·min−1 Hypoxic: 67.2 ± 3.2 mL·kg·min−1 | +1.69% +6.33% | |
| Menz et al. [48] | Normoxic: FiO2 = 21% Hypoxic: FiO2 = 12.6% | Normobaric | Hypoxia Chamber | Simulated altitude (4500 m) 3 weeks 3 × per week 30 min | Normoxic: 48.1 ± 12.4 mL·kg·min−1 Hypoxic: 45.4 ± 10.1 mL·kg·min−1 | Normoxic: 50.1 ± 9.3 mL·kg·min−1 Hypoxic: 50.0 ± 9.8 mL·kg·min−1 | +4.16% +10.13% |
| Park and Lim [49] | Normoxic: FiO2 = 20.6% Hypoxic: FiO2 = 14.3% | Hypobaric | - | Natural altitude (3000 m) 6 weeks 3 × per week 120 min | Normoxic: 58.1 ± 8.6 mL·kg·min−1 Hypoxic: 54.6 ± 6.6 mL·kg·min−1 | Normoxic: 60.5 ± 7.2 mL·kg·min−1 Hypoxic: 60.1 ± 7.2 mL·kg·min−1 | +4.13% +10.07% |
| Richardson et al. [50] | Normoxic: FiO2 = 21% Hypoxic: FiO2 = 15% | Normobaric | Hypoxia Chamber | Simulated altitude (2500 m) 2 weeks 3 × per week 22–35 min | Normoxic: 42.2 ± 8.6 mL·kg·min−1 Hypoxic: 43.6 ± 7.9 mL·kg·min−1 | Normoxic: 46.0 ± 7.5 mL·kg·min−1 Hypoxic: 48.8 ± 9.2 mL·kg·min−1 | +9.01% +11.92% |
| Truijens et al. [51] | Normoxic: FiO2 = 20.9 % Hypoxic: FiO2 = 15.3% | Normobaric | Inspiratory mouthpiece | Simulated altitude (2500 m) 5 weeks 3 × per week 30 min | Normoxic: 3.05 ± 0.58 l·min−1 Hypoxic: 2.92 ± 0.57 l·min−1 | Normoxic: 3.22 ± 0.48 l·min−1 Hypoxic: 3.03 ± 0.53 l·min−1 | +5.57% +3.77% |
| Zebrowska et al. [52] | Normoxic: FiO2 = 20.6% Hypoxic: FiO2 = 15.2% | Normobaric | Hypoxia Chamber | Simulated altitude (2500 m) 3 weeks 3 × per week 80 min | Normoxic: 54.2 ± 2.6 mL·kg·min−1 Hypoxic: 53.2 ± 2.6 mL·kg·min−1 | Normoxic: 55.4 ± 4.8 mL·kg·min−1 Hypoxic: 59.4 ± 4.6 mL·kg·min−1 | +2.21% +11.65% |
Publisher’s Note: MDPI stays neutral with regard to jurisdictional claims in published maps and institutional affiliations. |
© 2022 by the authors. Licensee MDPI, Basel, Switzerland. This article is an open access article distributed under the terms and conditions of the Creative Commons Attribution (CC BY) license (https://creativecommons.org/licenses/by/4.0/).
Share and Cite
Westmacott, A.; Sanal-Hayes, N.E.M.; McLaughlin, M.; Mair, J.L.; Hayes, L.D. High-Intensity Interval Training (HIIT) in Hypoxia Improves Maximal Aerobic Capacity More Than HIIT in Normoxia: A Systematic Review, Meta-Analysis, and Meta-Regression. Int. J. Environ. Res. Public Health 2022, 19, 14261. https://doi.org/10.3390/ijerph192114261
Westmacott A, Sanal-Hayes NEM, McLaughlin M, Mair JL, Hayes LD. High-Intensity Interval Training (HIIT) in Hypoxia Improves Maximal Aerobic Capacity More Than HIIT in Normoxia: A Systematic Review, Meta-Analysis, and Meta-Regression. International Journal of Environmental Research and Public Health. 2022; 19(21):14261. https://doi.org/10.3390/ijerph192114261
Chicago/Turabian StyleWestmacott, Ailsa, Nilihan E. M. Sanal-Hayes, Marie McLaughlin, Jacqueline L. Mair, and Lawrence D. Hayes. 2022. "High-Intensity Interval Training (HIIT) in Hypoxia Improves Maximal Aerobic Capacity More Than HIIT in Normoxia: A Systematic Review, Meta-Analysis, and Meta-Regression" International Journal of Environmental Research and Public Health 19, no. 21: 14261. https://doi.org/10.3390/ijerph192114261
APA StyleWestmacott, A., Sanal-Hayes, N. E. M., McLaughlin, M., Mair, J. L., & Hayes, L. D. (2022). High-Intensity Interval Training (HIIT) in Hypoxia Improves Maximal Aerobic Capacity More Than HIIT in Normoxia: A Systematic Review, Meta-Analysis, and Meta-Regression. International Journal of Environmental Research and Public Health, 19(21), 14261. https://doi.org/10.3390/ijerph192114261

