Health Benefits Quantification for New-Energy Vehicles Promotion: A Case Study of Beijing
Abstract
1. Introduction
2. Materials and Methods
3. Results and Discussion
3.1. The Emission Reduction Effects of NEV Promotion
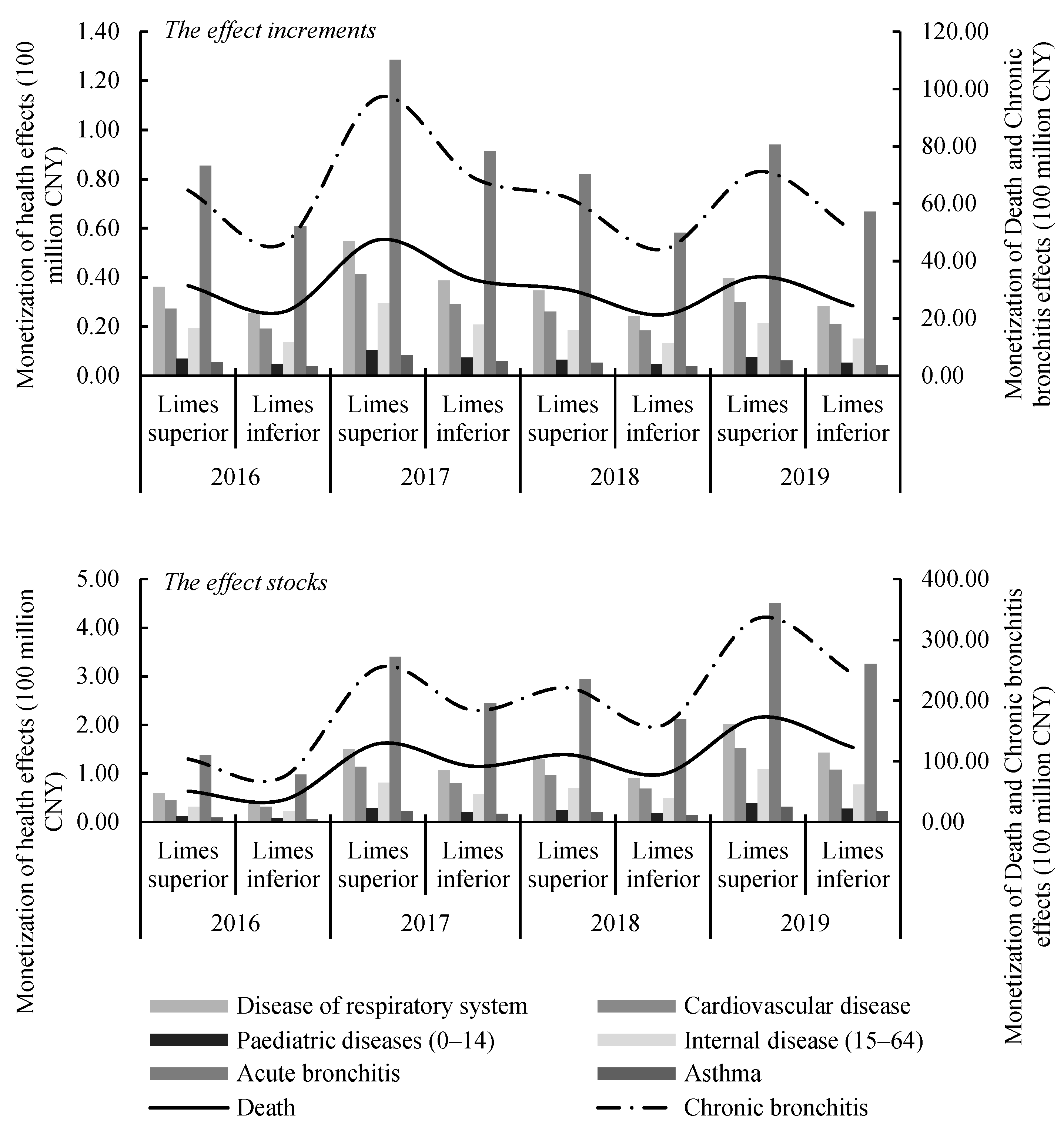
3.2. The Economic Effects of NEV Promotion
3.3. The Cost-Benefit Analysis of NEV Promotion
3.4. Limitations
4. Conclusions
Author Contributions
Funding
Institutional Review Board Statement
Informed Consent Statement
Data Availability Statement
Conflicts of Interest
References
- Sun, C.; Zhang, W.; Luo, Y.; Xu, Y. The improvement and substitution effect of transportation infrastructure on air quality: An empirical evidence from China’s rail transit construction. Energy Policy 2019, 129, 949–957. [Google Scholar] [CrossRef]
- Wu, Y.; Zhang, S.; Hao, J.; Liu, H.; Wu, X.; Hu, J.; Walsh, M.P.; Wallington, T.J.; Zhang, K.M.; Stevanovic, S. On-road vehicle emissions and their control in China: A review and outlook. Sci. Total Environ. 2017, 574, 332–349. [Google Scholar] [CrossRef] [PubMed]
- Zhang, L.; Wang, L.; Chai, J. Influence of new energy vehicle subsidy policy on emission reduction of atmospheric pollutants: A case study of Beijing, China. J. Clean. Prod. 2020, 275, 124069. [Google Scholar] [CrossRef]
- Ministry of Ecology and Environment of the People’s Republic of China. China Mobile Source Environmental Management Annual Report. 2020. Available online: https://www.mee.gov.cn/hjzl/sthjzk/ydyhjgl/202008/P020200811521365906550.pdf (accessed on 19 October 2022).
- Lin, B.; Tan, R. Estimation of the environmental values of electric vehicles in Chinese cities. Energy Policy 2017, 104, 221–229. [Google Scholar] [CrossRef]
- Song, Y.; Wang, X.; Maher, B.A.; Li, F.; Xu, C.; Liu, X.; Sun, X.; Zhang, Z. The spatial-temporal characteristics and health impacts of ambient fine particulate matter in China. J. Clean. Prod. 2016, 112, 1312–1318. [Google Scholar] [CrossRef]
- Dong, K.; Zeng, X. Public willingness to pay for urban smog mitigation and its determinants: A case study of Beijing, China. Atmos. Environ. 2018, 173, 355–363. [Google Scholar] [CrossRef]
- Nichols, B.G.; Kockelman, K.M.; Reiter, M. Air quality impacts of electric vehicle adoption in Texas. Transp. Res. Part D Transp. Environ. 2015, 34, 208–218. [Google Scholar] [CrossRef]
- Liu, Z.; Hao, H.; Cheng, X.; Zhao, F. Critical issues of energy efficient and new energy vehicles development in China. Energy Policy 2018, 115, 92–97. [Google Scholar] [CrossRef]
- Manjunath, A.; Gross, G. Towards a meaningful metric for the quantification of GHG emissions of electric vehicles (EVs). Energy Policy 2017, 102, 423–429. [Google Scholar] [CrossRef]
- Jaffe, A.B.; Stavins, R.N. The energy-efficiency gap: What does it mean? Energy Policy 1994, 22, 804–810. [Google Scholar] [CrossRef]
- Roper, S.; Tapinos, E. Taking risks in the face of uncertainty: An exploratory analysis of green innovation. Technol. Forecast. Soc. Chang. 2016, 112, 357–363. [Google Scholar] [CrossRef]
- Li, Q.; Wang MXiangli, L. Do government subsidies promote new-energy firms’ innovation? Evidence from dynamic and threshold models. J. Clean. Prod. 2021, 286, 124992. [Google Scholar] [CrossRef]
- Xie, Y.; Wu, D.; Zhu, S. Can new energy vehicles subsidy curb the urban air pollution? Empirical evidence from pilot cities in China. Sci. Total Environ. 2021, 754, 142232. [Google Scholar] [CrossRef]
- Liu, W.; Yi, H. What affects the diffusion of new energy vehicles financial subsidy policy? Evidence from Chinese cities. Int. J. Environ. Res. Public Health 2020, 17, 726. [Google Scholar] [CrossRef]
- Yang, X.; Lin, W.; Gong, R.; Zhu, M.; Springer, C. Transport decarbonization in big cities: An integrated environmental co-benefit analysis of vehicles purchases quota-limit and new energy vehicles promotion policy in Beijing. Sustain. Cities Soc. 2021, 71, 102976. [Google Scholar] [CrossRef]
- Li, F.; Ou, R.; Xiao, X.; Zhou, K.; Xie, W.; Ma, D.; Liu, K.; Song, Z. Regional comparison of electric vehicle adoption and emission reduction effects in China. Resour. Conserv. Recycl. 2019, 149, 714–726. [Google Scholar] [CrossRef]
- Kwan, S.C.; Tainio, M.; Woodcock, J.; Sutan, R.; Hashim, J.H. The carbon savings and health co-benefits from the introduction of mass rapid transit system in Greater Kuala Lumpur, Malaysia. J. Transp. Health 2017, 6, 187–200. [Google Scholar] [CrossRef]
- Wang, X.; Li, Z.; Shaikh, R.; Ranjha, A.R.; Batala, L.K. Do government subsidies promote financial performance? Fresh evidence from China’s new energy vehicle industry. Sustain. Prod. Consum. 2021, 28, 142–153. [Google Scholar] [CrossRef]
- Wang, Q.; Xue, M.; Lin, B.-L.; Lei, Z.; Zhang, Z. Well-to-wheel analysis of energy consumption, greenhouse gas and air pollutants emissions of hydrogen fuel cell vehicle in China. J. Clean. Prod. 2020, 275, 123061. [Google Scholar] [CrossRef]
- Wang, K.; Zheng, L.; Zhang, J.Z.; Yao, H. The impact of promoting new energy vehicles on carbon intensity, Causal evidence from China. Energy Econ. 2022, 114, 106255. [Google Scholar] [CrossRef]
- Yu, F.; Wang, L.; Li, X. The effects of government subsidies on new energy vehicle enterprises: The moderating role of intelligent transformation. Energy Policy 2020, 141, 111463. [Google Scholar] [CrossRef]
- Rothengatter, W. Economic Valuation of Health Impacts in Cost-Benefit Analyses of Transport Infrastructure Projects in Europe. In Encyclopedia of Environmental Health, 2nd ed.; Elsevier: Amsterdam, The Netherlands, 2019; pp. 231–240. [Google Scholar]
- Anenberg, S.C.; Miller, J.; Henze, D.K.; Minjares, R.; Achakulwisut, P. The global burden of transportation tail-pipe emissions on air pollution-related mortality in 2010 and 2015. Environ. Res. Lett. 2019, 14, 094012. [Google Scholar] [CrossRef]
- Arter, C.; Buonocore, J.; Chang, C.; Arunachalam, S. Mortality-based damages per ton due to the on-road mobile sector in the Northeastern and Mid-Atlantic U.S. by region, vehicle class and precursor. Environ. Res. Lett. 2021, 16, 065008. [Google Scholar] [CrossRef]
- Sarigiannis, D.A.; Kontoroupis, P.; Nikolaki, S.; Gotti, A.; Chapizanis, D.; Karakitsios, S. Benefits on public health from transport-related greenhouse gas mitigation policies in Southeastern European cities. Sci. Total Environ. 2017, 579, 1427–1438. [Google Scholar] [CrossRef] [PubMed]
- Raifman, M.; Lambert, K.F.; Levy, J.I.; Kinney, P.L. Mortality Implications of Increased Active Mobility for a Proposed Regional Transportation Emission Cap-and-Invest Program. J. Urban Health 2021, 98, 315–327. [Google Scholar] [CrossRef]
- Coomes, K.E.; Buonocore, J.J.; Levy, J.I.; Arter, C.; Arunachalam, S.; Buckley, L.; Berberian, A.; Gunasti, J.; Perera, F. Assessment of the health benefits to children of a transportation climate policy in New York City. Environ. Res. 2022, 215, 114165. [Google Scholar] [CrossRef]
- Yang, G.; Wang, Y.; Zeng, Y.; Gao, G.F.; Liang, X.; Zhou, M.; Wan, X.; Yu, S.; Jiang, Y.; Naghavi, M.; et al. Rapid health transition in China, 1990–2010: Findings from the Global Burden of Disease Study 2010. Lancet 2013, 381, 1987–2015. [Google Scholar] [CrossRef]
- Sciascia, S.; Gilcrease, G.W.; Roccatello, L.; Padovan, D.; Peano, C.; Ricceri, F. Air pollution from global health to individual risk factor-Is it time for enviropathies in everyday clinical practice? Int. J. Environ. Res. Public Health 2022, 19, 9595. [Google Scholar] [CrossRef]
- Cheng, J.; Su, J.; Cui, T.; Li, X.; Dong, X.; Sun, F.; Yang, Y.; Tong, D.; Zheng, Y.; Li, Y.; et al. Dominant role of emission reduction in PM2.5 air quality improvement in Beijing during 2013–2017: A model-based decomposition analysis. Atmos. Chem. Phys. 2019, 19, 6125–6146. [Google Scholar] [CrossRef]
- Zhang, S.; Wu, Y.; Wu, X.; Li, M.; Ge, Y.; Liang, B.; Xu, Y.; Zhou, Y.; Liu, H.; Fu, L.; et al. Historic and future trends of vehicle emissions in Beijing, 1998–2020: A policy assessment for the most stringent vehicle emission control program in China. Atmos. Environ. 2014, 89, 216–229. [Google Scholar] [CrossRef]
- Xia, F.; Lian, C.; Wang, M.; Zou, X.; Fu, X.; Bai, Y.; Li, Y.; Chen, S. Health benefits of nuclear power in China from the perspective of air pollution emissions. Nucl. Saf. 2020, 19, 50–57. (In Chinese) [Google Scholar]
- Chen, W.; Zheng, R.; Baade, P.D.; Zhang, S.; Zeng, H.; Bray, F.; Jemal, A.; Yu, X.; He, J. Cancer statistics in China, 2015. CA Cancer J. Clin. 2016, 66, 115–132. [Google Scholar] [CrossRef]
- Ebenstein, A.; Fan, M.; Greenstone, M.; He, G.; Yin, P.; Zhou, M. Growth, pollution, and life expectancy: China from 1991–2012. Am. Econ. Rev. 2015, 105, 226–231. [Google Scholar] [CrossRef]
- Fischer, P.H.; Marra, M.; Ameling, C.B.; Hoek, G.; Beelen, R.; de Hoogh, K.; Breugelmans, O.; Kruize, H.; Janssen, N.A.H.; Houthuijs, D. Air pollution and mortality in seven million adults: The dutch environmental longitudinal study (DUELS). Environ. Health Perspect. 2015, 123, 697–704. [Google Scholar] [CrossRef]
- Guo, Y.; Zeng, H.; Zheng, R.; Li, S.; Pereira, G.; Liu, Q.; Chen, W.; Huxley, R. The burden of lung cancer mortality attributable to fine particles in China. Sci. Total Environ. 2016, 579, 1460–1466. [Google Scholar] [CrossRef]
- Wang, Y.; Sun, K.; Li, L.; Lei, Y.; Wu, S.; Jiang, Y.; Xi, Y.; Wang, F.; Cui, Y. Assessing the public health economic loss from PM2.5 pollution in ‘2 + 26’ cities. Int. J. Environ. Res. Public Health 2022, 19, 10647. [Google Scholar] [CrossRef]
- Zhang, Q.; Zheng, Y.; Tong, D.; Shao, M.; Wang, S.; Zhang, Y.; Xu, X.; Wang, J.; He, H.; Liu, W.; et al. Drivers of improved PM2.5 air quality in China from 2013 to 2017. Proc. Natl. Acad. Sci. USA 2019, 116, 24463–24469. [Google Scholar] [CrossRef]
- Kan, H.D.; Chen, B.H. Particulate air pollution in urban areas of Shanghai, China: Health-based economic assessment. Sci. Total Environ. 2004, 322, 71–79. [Google Scholar] [CrossRef]
- Zhao, N.; Li, B.; Li, H.; Ahmad, R.; Peng, K.; Chen, D.; Yu, X.; Zhou, Y.; Dong, R.; Wang, H.; et al. Field-based measurements of natural gas burning in domestic wall-mounted gas stove and estimates of climate, health and economic benefits in rural Baoding and Langfang regions of Northern China. Atmos. Environ. 2020, 229, 117454. [Google Scholar] [CrossRef]
- Altieri, K.E.; Keen, S.L. Public health benefits of reducing exposure to ambient fine particulate matter in South Africa. Sci. Total Environ. 2019, 684, 610–620. [Google Scholar] [CrossRef]
- Wang, G.; Wu, L.; Chen, J.; Song, Y.; Chen, R. A CGE-based analysis on PM2.5-induced health-related economic effect in Beijing. China Environ. Sci. 2017, 37, 2779–2785. (In Chinese) [Google Scholar]
- Hou, Q.; An, X.; Tao, Y.; Sun, Z. Assessment of resident’s exposure level and health economic costs of PM10 in Beijing from 2008 to 2012. Sci. Total Environ. 2016, 563, 557–565. [Google Scholar] [CrossRef] [PubMed]
- Wang, J.; Zhang, L.; Niu, X.; Liu, Z. Effects of PM2.5 on health and economic loss: Evidence from Beijing-Tianjin-Hebei region of China. J. Clean. Prod. 2020, 257, 120605. [Google Scholar] [CrossRef]
- Xu, X.; Zhang, W.; Zhu, C.; Li, J.; Wang, J.; Li, P.; Zhao, P. Health risk and external costs assessment of PM2.5 in Beijing during the “Five-year Clean Air Action Plan.”. Atmos. Pollut. Res. 2021, 12, 101089. [Google Scholar] [CrossRef]
- Yang, K.; Xia, Z.; He, P.; Wu, L.; Gong, L.; Qian, Y.; Hou, Y.; He, Y. Correlation of fuel quality and emissions of motor vehicle with atmospheric pollution in Beijing. J. Univ. Chin. Acad. Sci. 2017, 34, 304–317. (In Chinese) [Google Scholar]
- Zhang, W.; Zhang, Y.; Lv, Y.; Li, K.; Li, Z. Observation of atmospheric boundary layer height by ground-based LiDAR during haze days. J. Remote Sens. 2013, 17, 981–992. (In Chinese) [Google Scholar]
- Gai, Y.; Minet, L.; Posen, I.D.; Smargiassi, A.; Tétreault, L.F.; Hatzopoulou, M. Health and climate benefits of Electric Vehicle Deployment in the Greater Toronto and Hamilton Area. Environ. Pollut. 2020, 265, 114983. [Google Scholar] [CrossRef]
- Liu, Y.; Liao, W.; Li, L.; Huang, Y.; Xu, W.; Zeng, X. Reduction measures for air pollutants and greenhouse gas in the transportation sector: A cost-benefit analysis. J. Clean. Prod. 2018, 207, 1023–1032. [Google Scholar] [CrossRef]
- Wang, T.; Jiang, Z.; Zhao, B.; Gu, Y.; Liou, K.N.; Kalandiyur, N.; Zhang, D.; Zhu, Y. Health co-benefits of achieving sustainable net-zero greenhouse gas emissions in California. Nat. Sustain. 2020, 3, 597–605. [Google Scholar] [CrossRef]
- Bollen, J.; van der Zwaan, B.; Brink, C.; Eerens, H. Local air pollution and global climate change: A combined cost-benefit analysis. Resour. Energy Econ. 2009, 31, 161–181. [Google Scholar] [CrossRef]
- Rosqvist, L.S.; Hiselius, L.W. Online shopping habits and the potential for reductions in carbon dioxide emissions from passenger transport. J. Clean. Prod. 2016, 131, 163–169. [Google Scholar] [CrossRef]
- Shih, Y.H.; Tseng, C.H. Cost-benefit analysis of sustainable energy development using life-cycle co-benefits assessment and the system dynamics approach. Appl. Energy 2014, 119, 57–66. [Google Scholar] [CrossRef]
- Wang, L.; Chen, X.; Zhang, Y.; Li, M.; Li, P.; Jiang, L.; Xia, Y.; Li, Z.; Li, J.; Wang, L.; et al. Switching to electric vehicles can lead to significant reductions of PM2.5 and NO2 across China. One Earth 2021, 4, 1037–1048. [Google Scholar] [CrossRef]
- Liang, X.; Zhang, S.; Wu, Y.; Xing, J.; He, X.; Zhang, K.; Wang, S.; Hao, J. Air quality and health benefits from fleet electrification in China. Nat. Sustain. 2019, 2, 962–971. [Google Scholar] [CrossRef]






| Variable | Unit | Value | |
|---|---|---|---|
| P | 104 people | 2016 | 1649.23 |
| 2017 | 1647.56 | ||
| 2018 | 1635.04 | ||
| 2019 | 1634.58 | ||
| % | Death | 0.45% | |
| Disease of respiratory system | 1.62% | ||
| Cardiovascular disease | 0.86% | ||
| Pediatric diseases (0–14) | 22.04% | ||
| Internal disease (15–64) | 66.55% | ||
| Chronic bronchitis | 0.69% | ||
| Acute bronchitis | 3.80% | ||
| Asthma | 1.19% | ||
| % | Death | 0.30% | |
| Disease of respiratory system | 0.11% | ||
| Cardiovascular disease | 0.07% | ||
| Pediatric diseases (0–14) | 0.06% | ||
| Internal disease (15–64) | 0.05% | ||
| Chronic bronchitis | 1.01% | ||
| Acute bronchitis | 0.79% | ||
| Asthma | 0.21% |
| Increments | Stocks | |||||
|---|---|---|---|---|---|---|
| Cost | Benefit | Cost | Benefit | |||
| Limes Superior | Limes Inferior | Limes Superior | Limes Inferior | |||
| 2016 | 5.41 | 97.84 | 69.45 | 5.41 | 157.17 | 111.91 |
| 2017 | 6.46 | 147.15 | 104.67 | 11.87 | 390.08 | 280.88 |
| 2018 | 7.90 | 93.74 | 66.48 | 19.77 | 337.97 | 242.45 |
| 2019 | 17.11 | 107.60 | 76.34 | 36.88 | 517.50 | 373.93 |
Publisher’s Note: MDPI stays neutral with regard to jurisdictional claims in published maps and institutional affiliations. |
© 2022 by the authors. Licensee MDPI, Basel, Switzerland. This article is an open access article distributed under the terms and conditions of the Creative Commons Attribution (CC BY) license (https://creativecommons.org/licenses/by/4.0/).
Share and Cite
Wang, Y.; Wen, Y.; Xu, Y.; Shi, L.; Yang, X. Health Benefits Quantification for New-Energy Vehicles Promotion: A Case Study of Beijing. Int. J. Environ. Res. Public Health 2022, 19, 13876. https://doi.org/10.3390/ijerph192113876
Wang Y, Wen Y, Xu Y, Shi L, Yang X. Health Benefits Quantification for New-Energy Vehicles Promotion: A Case Study of Beijing. International Journal of Environmental Research and Public Health. 2022; 19(21):13876. https://doi.org/10.3390/ijerph192113876
Chicago/Turabian StyleWang, Yue, Yang Wen, Yingying Xu, Lei Shi, and Xuan Yang. 2022. "Health Benefits Quantification for New-Energy Vehicles Promotion: A Case Study of Beijing" International Journal of Environmental Research and Public Health 19, no. 21: 13876. https://doi.org/10.3390/ijerph192113876
APA StyleWang, Y., Wen, Y., Xu, Y., Shi, L., & Yang, X. (2022). Health Benefits Quantification for New-Energy Vehicles Promotion: A Case Study of Beijing. International Journal of Environmental Research and Public Health, 19(21), 13876. https://doi.org/10.3390/ijerph192113876

