Intra- and Interrater Reliability of Short-Term Measurement of Heart Rate Variability on Rest in Individuals Post-COVID-19
Abstract
1. Introduction
2. Materials and Methods
2.1. Study Design
2.2. Participants
2.3. Habitual Physical Activity
2.4. Heart Rate Variability Assessment
2.5. Heart Rate Collection and RR Intervals
2.6. Data Processing and Analysis
2.7. Statistical Analysis
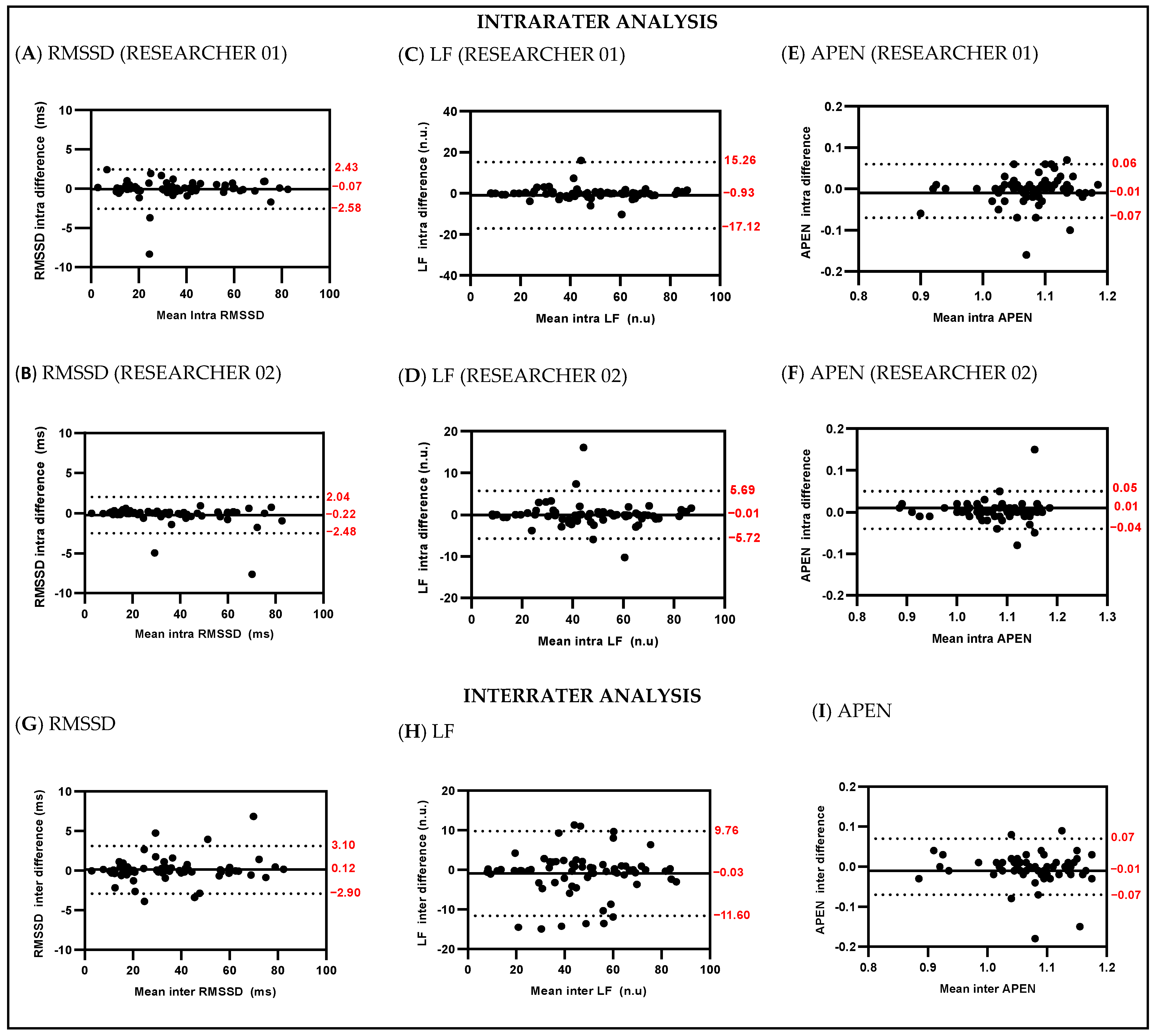
3. Results
4. Discussion
5. Conclusions
Supplementary Materials
Author Contributions
Funding
Institutional Review Board Statement
Informed Consent Statement
Data Availability Statement
Acknowledgments
Conflicts of Interest
References
- Shi, S.; Qin, M.; Shen, B.; Cai, Y.; Liu, T.; Yang, F.; Gong, W.; Liu, X.; Liang, J.; Zhao, Q.; et al. Association of Cardiac Injury with Mortality in Hospitalized Patients with COVID-19 in Wuhan, China. JAMA Cardiol. 2020, 5, 802–810. [Google Scholar] [CrossRef] [PubMed]
- Xu, H.; Hou, K.; Xu, R.; Li, Z.; Fu, H.; Wen, L.; Xie, L.; Liu, H.; Selvanayagam, J.B.; Zhang, N.; et al. Clinical Characteristics and Risk Factors of Cardiac Involvement in COVID-19. J. Am. Hear. Assoc. 2020, 9, 16807. [Google Scholar] [CrossRef] [PubMed]
- Frota, A.X.; Vieira, M.C.; Soares, C.C.S.; da Silva, P.S.; da Silva, G.M.S.; Mendes, F.d.S.N.S.; Mazzoli-Rocha, F.; Veloso, H.H.; da Costa, A.D.; Lamas, C.d.C.; et al. Functional Capacity and Rehabilitation Strategies in COVID-19 Patients: Current Knowledge and Challenges. Rev. Soc. Bras. Med. Trop. 2021, 54, 1–8. [Google Scholar] [CrossRef] [PubMed]
- Hasty, F.; García, G.; Dávila, H.; Wittels, S.H.; Hendricks, S.; Chong, S. Heart Rate Variability as a Possible Predictive Marker for Acute Inflammatory Response in COVID-19 Patients. Mil. Med. 2021, 186, e34–e38. [Google Scholar] [CrossRef] [PubMed]
- Williams, D.W.P.; Koenig, J.; Carnevali, L.; Sgoifo, A.; Jarczok, M.N.; Sternberg, E.M.; Thayer, J.F. Heart Rate Variability and Inflammation: A Meta-Analysis of Human Studies. Brain Behav. Immun. 2019, 80, 219–226. [Google Scholar] [CrossRef]
- Catai, A.M.; Pastre, C.M.; de Godoy, M.F.; da Silva, E.; Takahashi, A.C.D.M.; Vanderlei, L.C.M. Heart Rate Variability: Are You Using It Properly? Standardisation Checklist of Procedures. Braz. J. Phys. Ther. 2020, 24, 91. [Google Scholar] [CrossRef]
- Scala, I.; Bellavia, S.; Luigetti, M.; Brunetti, V.; Broccolini, A.; Gabrielli, M.; Zileri Dal Verme, L.; Calabresi, P.; Della Marca, G.; Frisullo, G. Autonomic Dysfunction in Non-Critically Ill COVID-19 Patients during the Acute Phase of Disease: An Observational, Cross-Sectional Study. Neurol. Sci. 2022, 43, 4635–4643. [Google Scholar] [CrossRef]
- Kurtoğlu, E.; Afsin, A.; Aktaş, İ.; Aktürk, E.; Kutlusoy, E.; Çağaşar, Ö. Altered Cardiac Autonomic Function after Recovery from COVID-19. Ann. Noninvasive Electrocardiol. 2021, 27, e12916. [Google Scholar] [CrossRef]
- Adler, T.E.; Norcliffe-Kaufmann, L.; Condos, R.; Fishman, G.; Kwak, D.; Talmor, N.; Reynolds, H. Heart Rate Variability is Reduced 3- and 6-Months after Hospitalization for COVID-19 Infection. J. Am. Coll. Cardiol. 2021, 77, 3062. [Google Scholar] [CrossRef]
- Mol, M.B.A.; Strous, M.T.A.; van Osch, F.H.M.; Jeroen Vogelaar, F.; Barten, D.G.; Farchi, M.; Foudraine, N.A.; Gidron, Y. Heart-Rate-Variability (HRV), Predicts Outcomes in COVID-19. PLoS ONE 2021, 16, e0258841. [Google Scholar] [CrossRef]
- Stone, J.D.; Ulman, H.K.; Tran, K.; Thompson, A.G.; Halter, M.D.; Ramadan, J.H.; Stephenson, M.; Finomore, V.S.; Galster, S.M.; Rezai, A.R.; et al. Assessing the Accuracy of Popular Commercial Technologies That Measure Resting Heart Rate and Heart Rate Variability. Front. Sport. Act. Living 2021, 3, 585870. [Google Scholar] [CrossRef] [PubMed]
- Shaffer, F.; Ginsberg, J.P. An Overview of Heart Rate Variability Metrics and Norms. Front. Public Health 2017, 5, 258. [Google Scholar] [CrossRef]
- Krumholz, H.M.; Anderson, J.L.; Brooks, N.H.; Fesmire, F.M.; Lambrew, C.T.; Landrum, M.B.; Weaver, W.D.; Whyte, J. ACC/AHA Clinical Performance Measures for Adults with ST-Elevation and Non-ST-Elevation Myocardial Infarction: A Report of the American College of Cardiology/American Heart Association Task Force on Performance Measures Develop Performance Measures on ST-Elevation and Non-ST-Elevation Myocardial Infarction). J. Am. Coll. Cardiol. 2006, 47, 236–265. [Google Scholar] [CrossRef] [PubMed][Green Version]
- Tarvainen, M.P.; Niskanen, J.P.; Lipponen, J.A.; Ranta-aho, P.O.; Karjalainen, P.A. Kubios HRV-Heart Rate Variability Analysis Software. Comput. Methods Progr. Biomed. 2014, 113, 210–220. [Google Scholar] [CrossRef] [PubMed]
- Bassi, D.; Santos-de-Araújo, A.D.; Camargo, P.F.; Dibai-Filho, A.V.; da Fonseca, M.A.; Mendes, R.G.; Borghi-Silva, A. Inter and Intra-Rater Reliability of Short-Term Measurement of Heart Rate Variability on Rest in Diabetic Type 2 Patients. J. Med. Syst. 2018, 42, 236. [Google Scholar] [CrossRef]
- Farah, B.Q.; Lima, A.H.R.D.A.; Cavalcante, B.R.; de Oliveira, L.M.F.T.; Brito, A.L.D.S.; de Barros, M.V.G.; Ritti-Dias, R.M. Intra-Individuals and Inter- and Intra-Observer Reliability of Short-Term Heart Rate Variability in Adolescents. Clin. Physiol. Funct. Imaging 2016, 36, 33–39. [Google Scholar] [CrossRef]
- Plaza-Florido, A.; Alcantara, J.M.A.; Migueles, J.H.; Amaro-Gahete, F.J.; Acosta, F.M.; Mora-Gonzalez, J.; Sacha, J.; Ortega, F.B. Inter- and Intra-Researcher Reproducibility of Heart Rate Variability Parameters in Three Human Cohorts. Sci. Rep. 2020, 10, 1–11. [Google Scholar] [CrossRef]
- Milovanovic, B.; Djajic, V.; Bajic, D.; Djokovic, A.; Krajnovic, T.; Jovanovic, S.; Verhaz, A.; Kovacevic, P.; Ostojic, M. Assessment of Autonomic Nervous System Dysfunction in the Early Phase of Infection With SARS-CoV-2 Virus. Front. Neurosci. 2021, 15, 640835. [Google Scholar] [CrossRef]
- Santos-de-Araújo, A.D.; Shida-Marinho, R.; Pontes-Silva, A. Heart Rate Variability (HRV): Checklist for Observational and Experimental Studies. Autoimmun. Rev. 2022, 21, 103190. [Google Scholar] [CrossRef]
- Kottner, J.; Audigé, L.; Brorson, S.; Donner, A.; Gajewski, B.J.; Hróbjartsson, A.; Roberts, C.; Shoukri, M.; Streiner, D.L. Guidelines for Reporting Reliability and Agreement Studies (GRRAS) Were Proposed. J. Clin. Epidemiol. 2011, 64, 96–106. [Google Scholar] [CrossRef]
- COVID-19 Treatment Guidelines Panel. Coronavirus Disease 2019 (COVID-19) Treatment Guidelines. National Institutes of Health. Available online: https://www.covid19treatmentguidelines.nih.gov/ (accessed on 15 September 2022).
- Baecke, J.A.H.; Burema, J.; Frijters, J.E.R. A Short Questionnaire for the Measurement of Habitual Physical Activity in Epidemiological Studies. Am. J. Clin. Nutr. 1982, 36, 936–942. [Google Scholar] [CrossRef] [PubMed]
- Rocha, D.S.; Dibai-Filho, A.V.; Pinheiro, J.S.; De Azevedo, L.F.S.; Falcai, A.; De Jesus Tavarez, R.R.; Rego, A.S.; De Santana, G.N.; De Paula Gomes, C.A.F.; Bassi-Dibai, D. The Baecke Habitual Physical Activity Questionnaire (BHPAQ): A Valid Internal Structure of the Instrument to Assess Healthy Brazilian Adults. Rev. Assoc. Med. Bras. 2022, 68, 912–916. [Google Scholar] [CrossRef] [PubMed]
- Giles, D.; Draper, N.; Neil, W. Validity of the Polar V800 Heart Rate Monitor to Measure RR Intervals at Rest. Eur. J. Appl. Physiol. 2016, 116, 563. [Google Scholar] [CrossRef] [PubMed]
- Johnston, B.W.; Barrett-Jolley, R.; Krige, A.; Welters, I.D. Heart Rate Variability: Measurement and Emerging Use in Critical Care Medicine. J. Intensiv. Care Soc. 2020, 21, 148–157. [Google Scholar] [CrossRef]
- Koo, T.K.; Li, M.Y. A Guideline of Selecting and Reporting Intraclass Correlation Coefficients for Reliability Research. J. Chiropr. Med. 2016, 15, 155. [Google Scholar] [CrossRef]
- Fleiss, J.L. The Design and Analysis of Clinical Experiments; John Wiley & Sons: New York, NY, USA, 1986. [Google Scholar]
- Weir, J.P. Quantifying Test-Retest Reliability Using the Intraclass Correlation Coefficient and the SEM. J. Strength Cond. Res. 2005, 19, 231–240. [Google Scholar] [CrossRef]
- Atkinson, G.; Nevill, A.M. Statistical Methods For Assessing Measurement Error (Reliability) in Variables Relevant to Sports Medicine. Sport. Med. 1998, 26, 217–238. [Google Scholar] [CrossRef]
- Giavarina, D. Understanding Bland Altman Analysis. Biochem. Medica 2015, 25, 141. [Google Scholar] [CrossRef]
- Doğan, N.Ö. Bland-Altman Analysis: A Paradigm to Understand Correlation and Agreement. Turk. J. Emerg. Med. 2018, 18, 139. [Google Scholar] [CrossRef]
- Huang, C.J.; Chan, H.L.; Chang, Y.J.; Chen, S.M.; Hsu, M.J. Validity of the Polar V800 Monitor for Assessing Heart Rate Variability in Elderly Adults under Mental Stress and Dual Task Conditions. Int. J. Environ. Res. Public Health 2021, 18, 869. [Google Scholar] [CrossRef]
- Rahbek Zizzo, A.; Kirkegaard, I.; From Reese, C.; Hansen, J.; Uldbjerg, N.; Mølgaard, H. Fetal Respiratory Movements Improve Reliability of Heart Rate Variability and Suggest a Coupling between Fetal Respiratory Arrhythmia and Vagal Activity. Physiol. Rep. 2022, 10, e15224. [Google Scholar] [CrossRef] [PubMed]
- Sima, C.A.; Inskip, J.A.; Sheel, A.W.; van Eeden, S.F.; Reid, W.D.; Camp, P.G. The Reliability of Short-Term Measurement of Heart Rate Variability during Spontaneous Breathing in People with Chronic Obstructive Pulmonary Disease. Rev. Port. Pneumol. 2017, 23, 338–342. [Google Scholar] [CrossRef] [PubMed]


| Variables | Mean (Standard Deviation) or n (%) | 
|---|---|
| Age (years) | 34.20 (8.05) | 
| Sex | |
| Male | 26 (37.7%) | 
| Female | 43 (62.3%) | 
| Body Mass (kg) | 73.45 (22.33) | 
| Height (m) | 1.65 (0.11) | 
| Body mass index (kg/m2) | 26.07 (8.08) | 
| Habitual physical activity (score, 1–15) | 7.40 (1.18) | 
| Infection time (months) | 25.85 (17.91) | 
| Severity | |
| Mild | 53 | 
| Moderate | 16 | 
| Comorbidities | |
| Systemic Arterial Hypertension | 8 (11.60%) | 
| Diabetes | 10 (14.49%) | 
| Obesity | 5 (7.24%) | 
| Heart diseases | 2 (2.89%) | 
| HRV Indices | Researcher 1 | Researcher 1 | Researcher 2 | Researcher 2 | 
|---|---|---|---|---|
| Test | Retest | Test | Restest | |
| TIME-DOMAIN | ||||
| Mean RR (ms) | 808.55 ± 106.85 | 808.33 ± 106.74 | 807.53 ± 106.92 | 808.40 ± 106.93 | 
| SDNN (ms) | 31.15 ± 15.65 | 31.15 ± 15.73 | 31.10 ± 15.47 | 31.24 ± 15.60 | 
| Mean HR (bpm) | 75.56 ± 10.61 | 75.58 ± 10.61 | 75.67 ± 10.64 | 75.58 ± 10.63 | 
| RMSSD (ms) | 33.48 ± 20.17 | 33.55 ± 20.14 | 33.35 ± 19.94 | 33.57 ± 20.21 | 
| RR Tri | 8.45 ± 4.04 | 8.34 ± 4.02 | 8.35 ± 3.90 | 8.47 ± 3.97 | 
| FREQUENCY-DOMAIN | ||||
| LF (n.u.) | 46.51 ± 19.75 | 47.44 ± 18.56 | 47.44 ± 19.53 | 47.46 ± 19.66 | 
| HF (n.u.) | 53.40 ± 19.77 | 52.49 ± 18.58 | 52.47 ± 19.54 | 52.47 ± 19.67 | 
| LF (ms2) | 431.00 ± 428.30 | 453.50 ± 441.00 | 454.46 ± 468.01 | 460.05 ± 468.25 | 
| HF (ms2) | 631.30 ± 753.40 | 643.70 ± 762.20 | 631.38 ± 769.00 | 640.24 ± 767.95 | 
| NONLINEAR METHODS | ||||
| Apen | 1.08 ± 0.66 | 1.08 ± 0.62 | 1.08 ± 0.69 | 1.08 ± 0.70 | 
| SampEn | 1.78 ± 0.25 | 1.78 ± 0.22 | 1.76 ± 0.22 | 1.76 ± 0.23 | 
| DFA α1 | 0.94 ± 0.26 | 0.94 ± 0.26 | 0.95 ± 0.26 | 0.95 ± 0.27 | 
| DFA α2 | 0.35 ± 0.15 | 0.37 ± 0.15 | 0.35 ± 0.16 | 0.36 ± 0.16 | 
| HRV Index | ICC | CI 95% | SEM | SEM (%) | MDC | MDC (%) | Bias ± SD | CV (%) | 95% Limit of Agreement | 
|---|---|---|---|---|---|---|---|---|---|
| TIME-DOMAIN | |||||||||
| Mean RR (ms) | 0.999 | 0.999, 1.000 | 0.63 | 1.90 | 1.76 | 5.26 | 0.22 ± 2.00 | 0.11 | −3.70, 4.15 | 
| SDNN | 0.998 | 0.996, 0.999 | 0.70 | 2.25 | 1.94 | 6.24 | −0.01 ± 1.53 | 2.47 | −3.00, 3.00 | 
| Mean HR (bpm) | 0.999 | 0.999, 1.000 | 0.59 | 1.81 | 1.64 | 5.01 | −0.01 ± 0.21 | 0.11 | −0.42, 0.39 | 
| RMSSD (ms) | 0.999 | 0.998, 0.999 | 0.64 | 2.28 | 1.77 | 6.31 | −0.07 ± 1.28 | 1.87 | −2.58, 2.43 | 
| RR Tri | 0.992 | 0.986, 0.995 | 0.36 | 4.29 | 1.00 | 11.90 | 0.11 ± 0.73 | 4.46 | −1.33, 1.55 | 
| FREQUENCY-DOMAIN | |||||||||
| LF (n.u.) | 0.951 | 0.922, 0.970 | 4.24 | 9.03 | 11.75 | 25.02 | −0.93 ± 8.26 | 7.66 | −17.12, 15.26 | 
| HF (n.u.) | 0.952 | 0.922, 0.970 | 4.20 | 7.93 | 11.64 | 21.99 | 0.92 ± 8.25 | 6.51 | −15.25, 17.09 | 
| LF (ms2) | 0.986 | 0.976, 0.992 | 62.69 | 14.17 | 173.76 | 39.29 | −22.54 ± 305.20 | 15.92 | −620.70, 575.70 | 
| HF (ms2) | 0.984 | 0.974, 0.990 | 95.85 | 15.04 | 265.70 | 41.68 | −12.36 ± 91.90 | 7.78 | −388.40, 363.70 | 
| NONLINEAR METHODS | |||||||||
| Apen | 0.920 | 0.871, 0.950 | 0.18 | 16.76 | 0.50 | 46.46 | −0.01 ± 0.03 | 1.43 | −0.07, 0.06 | 
| SampEn | 0.963 | 0.941, 0.977 | 0.05 | 2.54 | 0.13 | 7.04 | −0.01 ± 0.08 | 2.28 | −0.18, 0.17 | 
| DFA α1 | 0.972 | 0.955, 0.983 | 0.04 | 4.63 | 0.12 | 12.83 | 0.01 ± 0.09 | 4.93 | −0.17, 0.17 | 
| DFA α2 | 0.958 | 0.932, 0.974 | 0.03 | 8.54 | 0.09 | 23.67 | −0.01 ± 0.06 | 9.23 | −0.13, 0.10 | 
| HRV Index | ICC | CI 95% | SEM | SEM (%) | MDC | MDC (%) | Bias ± SD | CV (%) | 95% Limit of Agreement | 
|---|---|---|---|---|---|---|---|---|---|
| TIME-DOMAIN | |||||||||
| Mean RR (ms) | 0.964 | 0.942, 0.978 | 20.29 | 2.51 | 56.23 | 6.96 | −0.87 ± 4.72 | 0.76 | −10.14, 8.39 | 
| SDNN | 0.998 | 0.996, 0.998 | 0.69 | 2.23 | 1.93 | 6.18 | −0.14 ± 1.10 | 1.29 | −2.30, 2.00 | 
| Mean HR (bpm) | 0.959 | 0.934, 0.975 | 2.15 | 2.85 | 5.97 | 7.89 | 0.08 ± 0.47 | 0.76 | −0.84, 1.01 | 
| RMSSD (ms) | 0.999 | 0.998, 0.999 | 0.63 | 1.90 | 1.76 | 5.26 | −0.22 ± 1.15 | 1.07 | −2.48, 2.04 | 
| RR Tri | 0.992 | 0.987, 0.995 | 0.35 | 4.18 | 0.98 | 11.60 | −0.12 ± 0.65 | 3.05 | −1.41, 1.16 | 
| FREQUENCY-DOMAIN | |||||||||
| LF (n.u.) | 0.988 | 0.980, 0.992 | 0.87 | 1.84 | 2.42 | 5.10 | −0.01 ± 2.91 | 3.08 | −5.72, 5.69 | 
| HF (n.u.) | 0.987 | 0.980, 0.992 | 2.24 | 4.26 | 6.20 | 11.81 | 0.01 ± 2.91 | 3.10 | −5.71, 5.71 | 
| LF (ms2) | 0.984 | 0.974, 0.990 | 59.21 | 12.95 | 164.13 | 35.90 | −5.49 ± 119.3 | 4.60 | −239.4, 228.4 | 
| HF (ms2) | 0.997 | 0.996, 0.998 | 42.09 | 6.62 | 116.67 | 18.35 | −8.96 ± 80.69 | 3.58 | −167.1, 149.2 | 
| NONLINEAR METHODS | |||||||||
| Apen | 0.965 | 0.944, 0.978 | 0.13 | 12.04 | 0.36 | 33.37 | 0.01 ± 0.02 | 0.86 | −0.04, 0.05 | 
| SampEn | 0.990 | 0.984, 0.994 | 0.02 | 1.28 | 0.06 | 3.54 | −0.01 ± 0.04 | 1.16 | −0.08, 0.07 | 
| DFA α1 | 0.968 | 0.948, 0.980 | 0.05 | 4.99 | 0.13 | 13.83 | −0.01 ± 0.07 | 4.66 | −0.15, 0.14 | 
| DFA α2 | 0.969 | 0.950, 0.981 | 0.03 | 7.94 | 0.08 | 22.00 | −0.01 ± 0.03 | 6.86 | −0.06, 0.06 | 
| HRV Index | ICC | CI 95% | SEM | SEM (%) | MDC | MDC (%) | Bias ± SD | CV (%) | 95% Limit of Agreement | 
|---|---|---|---|---|---|---|---|---|---|
| TIME-DOMAIN | |||||||||
| Mean RR (ms) | 0.963 | 0.940, 0.977 | 20.56 | 2.54 | 56.99 | 7.05 | 1.01 ± 5.31 | 0.86 | −9.40, 11.44 | 
| SDNN | 0.996 | 0.993, 0.997 | 0.98 | 3.16 | 2.73 | 8.76 | 0.05 ± 1.63 | 2.47 | −3.15, 3.26 | 
| Mean HR (bpm) | 0.958 | 0.932, 0.974 | 2.18 | 2.88 | 6.04 | 7.98 | −0.10 ± 0.53 | 0.86 | −1.15, 0.95 | 
| RMSSD (ms) | 0.998 | 0.997, 0.999 | 0.90 | 2.68 | 2.49 | 7.44 | 0.12 ± 1.50 | 2.29 | −2.90, 3.10 | 
| RR Tri | 0.989 | 0.983, 0.993 | 0.42 | 4.96 | 1.15 | 13.74 | 0.10 ± 0.79 | 3.97 | −1.45, 1.65 | 
| FREQUENCY DOMAIN | |||||||||
| LF (n.u.) | 0.971 | 0.953, 0.982 | 3.34 | 7.12 | 9.27 | 19.74 | −0.93 ± 5.45 | 6.69 | −11.60, 9.76 | 
| HF (n.u.) | 0.970 | 0.952, 0.982 | 3.40 | 6.43 | 9.44 | 17.83 | 0.93 ± 5.45 | 6.02 | −9.74, 11.60 | 
| LF (ms2) | 0.931 | 0.889, 0.957 | 117.72 | 26.59 | 326.30 | 73.70 | −22.54 ± 305.2 | 14.38 | −620.70, 575.70 | 
| HF (ms2) | 0.979 | 0.965, 0.987 | 110.31 | 17.47 | 305.76 | 48.43 | −8.94 ± 191.10 | 9.48 | −383.40, 365.60 | 
| NONLINEAR METHODS | |||||||||
| Apen | 0.912 | 0.858, 0.945 | 0.20 | 18.54 | 0.56 | 51.39 | −0.01 ± 0.03 | 1.45 | −0.07, 0.07 | 
| SampEn | 0.970 | 0.951, 0.981 | 0.04 | 2.50 | 0.12 | 6.92 | 0.01 ± 0.08 | 2.32 | −0.14, 0.16 | 
| DFA α1 | 0.957 | 0.930, 0.973 | 0.05 | 5.71 | 0.15 | 15.81 | −0.01 ± 0.08 | 5.93 | −0.17, 0.17 | 
| DFA α2 | 0.937 | 0.899, 0.961 | 0.04 | 11.12 | 0.11 | 30.81 | 0.01 ± 0.05 | 8.83 | −0.11, 0.11 | 
| Publisher’s Note: MDPI stays neutral with regard to jurisdictional claims in published maps and institutional affiliations. | 
© 2022 by the authors. Licensee MDPI, Basel, Switzerland. This article is an open access article distributed under the terms and conditions of the Creative Commons Attribution (CC BY) license (https://creativecommons.org/licenses/by/4.0/).
Share and Cite
Almeida, L.V.d.; Santos-de-Araújo, A.D.; Cutrim, R.C.; Tavarez, R.R.d.J.; Borghi-Silva, A.; Pereira, F.H.F.; Pontes-Silva, A.; Rêgo, A.S.; Rocha, D.S.; Marinho, R.S.; et al. Intra- and Interrater Reliability of Short-Term Measurement of Heart Rate Variability on Rest in Individuals Post-COVID-19. Int. J. Environ. Res. Public Health 2022, 19, 13587. https://doi.org/10.3390/ijerph192013587
Almeida LVd, Santos-de-Araújo AD, Cutrim RC, Tavarez RRdJ, Borghi-Silva A, Pereira FHF, Pontes-Silva A, Rêgo AS, Rocha DS, Marinho RS, et al. Intra- and Interrater Reliability of Short-Term Measurement of Heart Rate Variability on Rest in Individuals Post-COVID-19. International Journal of Environmental Research and Public Health. 2022; 19(20):13587. https://doi.org/10.3390/ijerph192013587
Chicago/Turabian StyleAlmeida, Lucivalda Viegas de, Aldair Darlan Santos-de-Araújo, Rodrigo Costa Cutrim, Rudys Rodolfo de Jesus Tavarez, Audrey Borghi-Silva, Fábio Henrique Ferreira Pereira, André Pontes-Silva, Adriana Sousa Rêgo, Daniel Santos Rocha, Renan Shida Marinho, and et al. 2022. "Intra- and Interrater Reliability of Short-Term Measurement of Heart Rate Variability on Rest in Individuals Post-COVID-19" International Journal of Environmental Research and Public Health 19, no. 20: 13587. https://doi.org/10.3390/ijerph192013587
APA StyleAlmeida, L. V. d., Santos-de-Araújo, A. D., Cutrim, R. C., Tavarez, R. R. d. J., Borghi-Silva, A., Pereira, F. H. F., Pontes-Silva, A., Rêgo, A. S., Rocha, D. S., Marinho, R. S., Dibai-Filho, A. V., & Bassi-Dibai, D. (2022). Intra- and Interrater Reliability of Short-Term Measurement of Heart Rate Variability on Rest in Individuals Post-COVID-19. International Journal of Environmental Research and Public Health, 19(20), 13587. https://doi.org/10.3390/ijerph192013587
 
        



 
       