Calcareous Materials Effectively Reduce the Accumulation of Cd in Potatoes in Acidic Cadmium-Contaminated Farmland Soils in Mining Areas
Abstract
:1. Introduction
2. Materials and Methods
2.1. Overview of the Study Area
2.2. Pot Experiment
2.3. Determination of Physical and Chemical Properties of Soil
2.4. Data Processing and Analysis
3. Results and Discussion
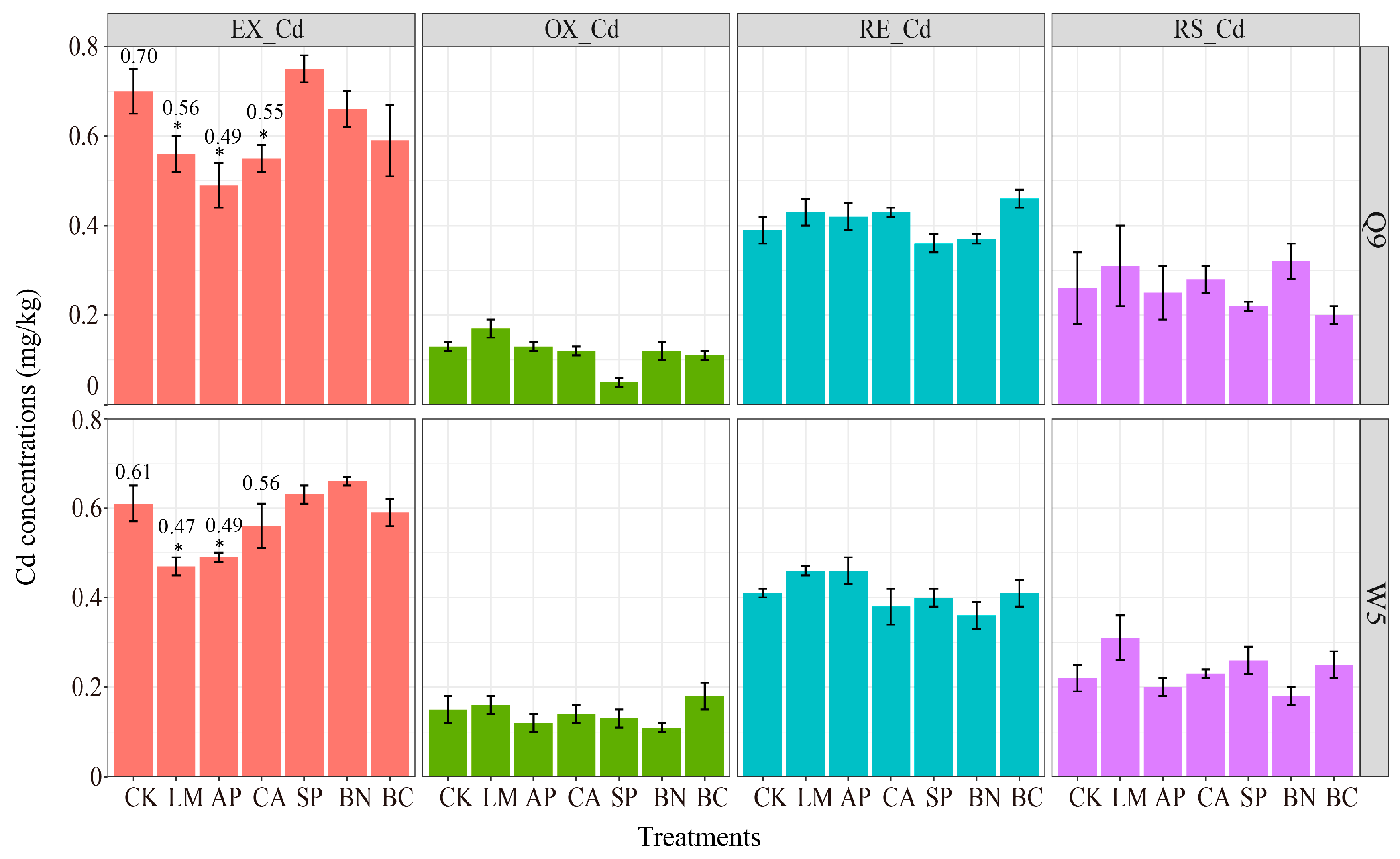
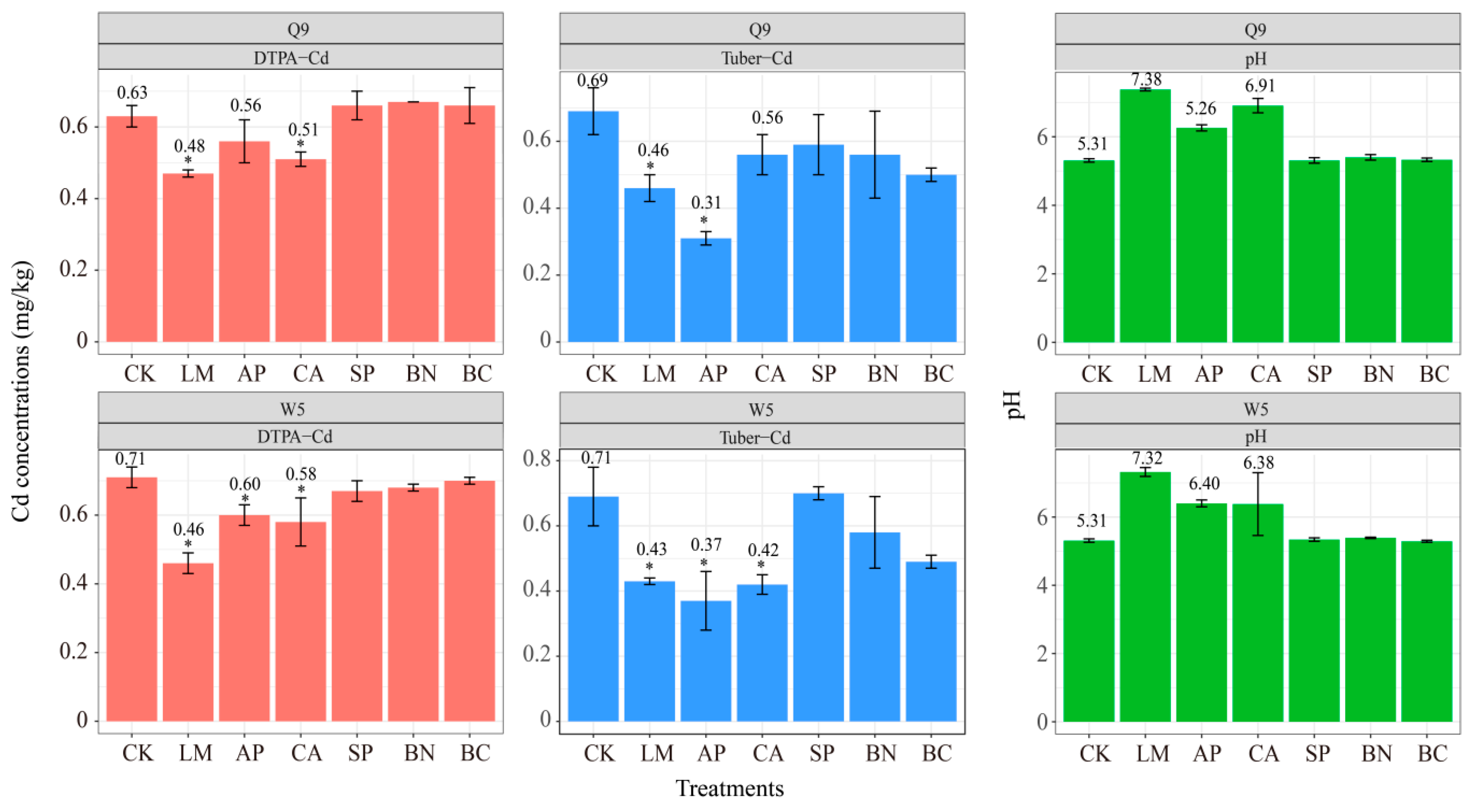
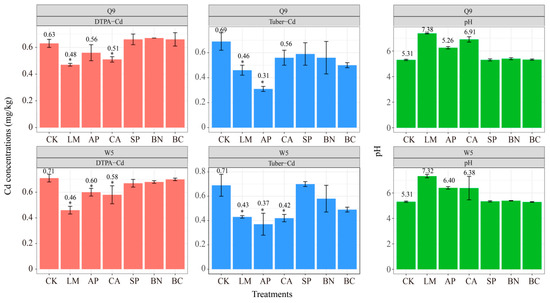
3.1. Effect of Different Treatments on the Morphology of Cd
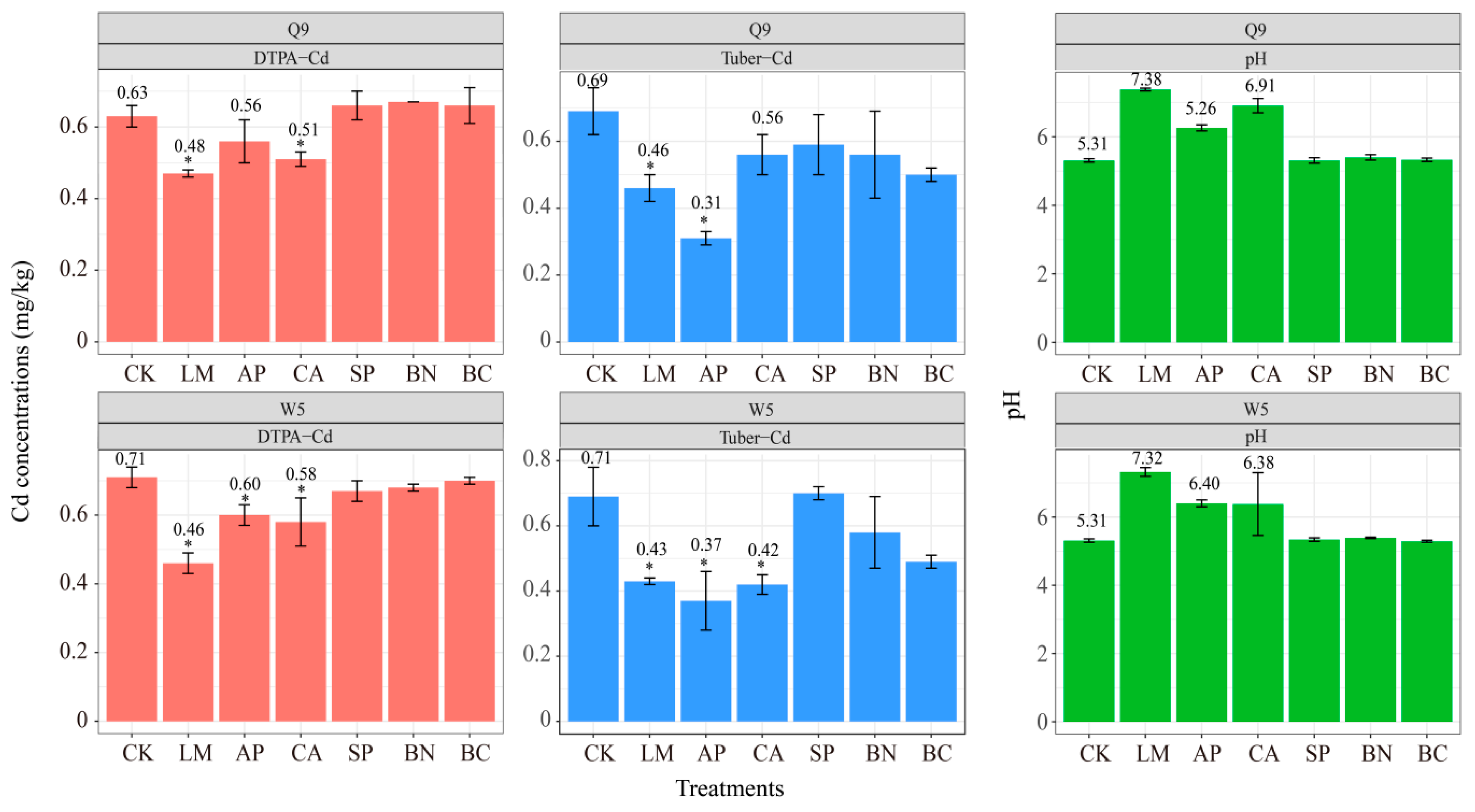
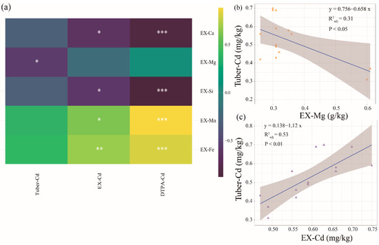
3.2. Effect of Different Treatments on Cd Concentrations in Potato Tubers
3.3. Effects of Different Treatments on Cd Concentration in Potato Plants
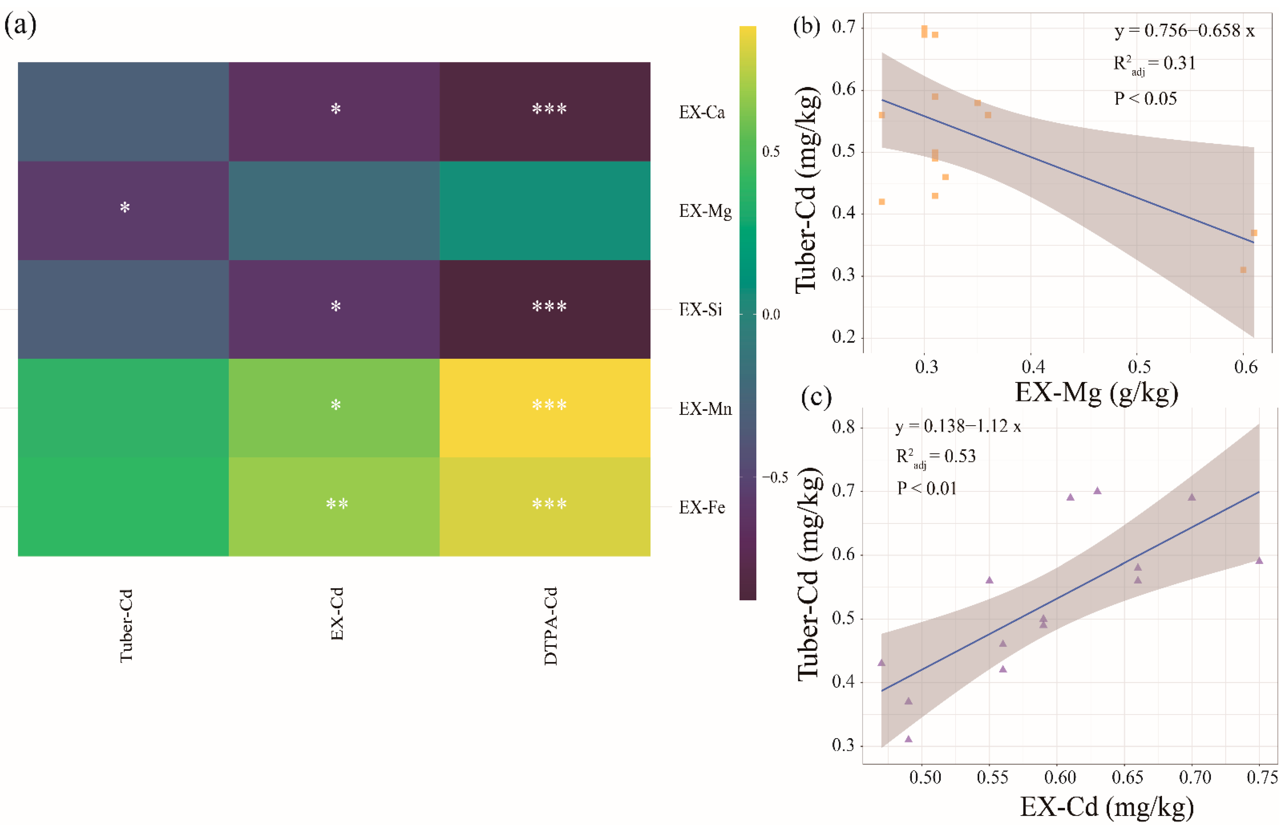
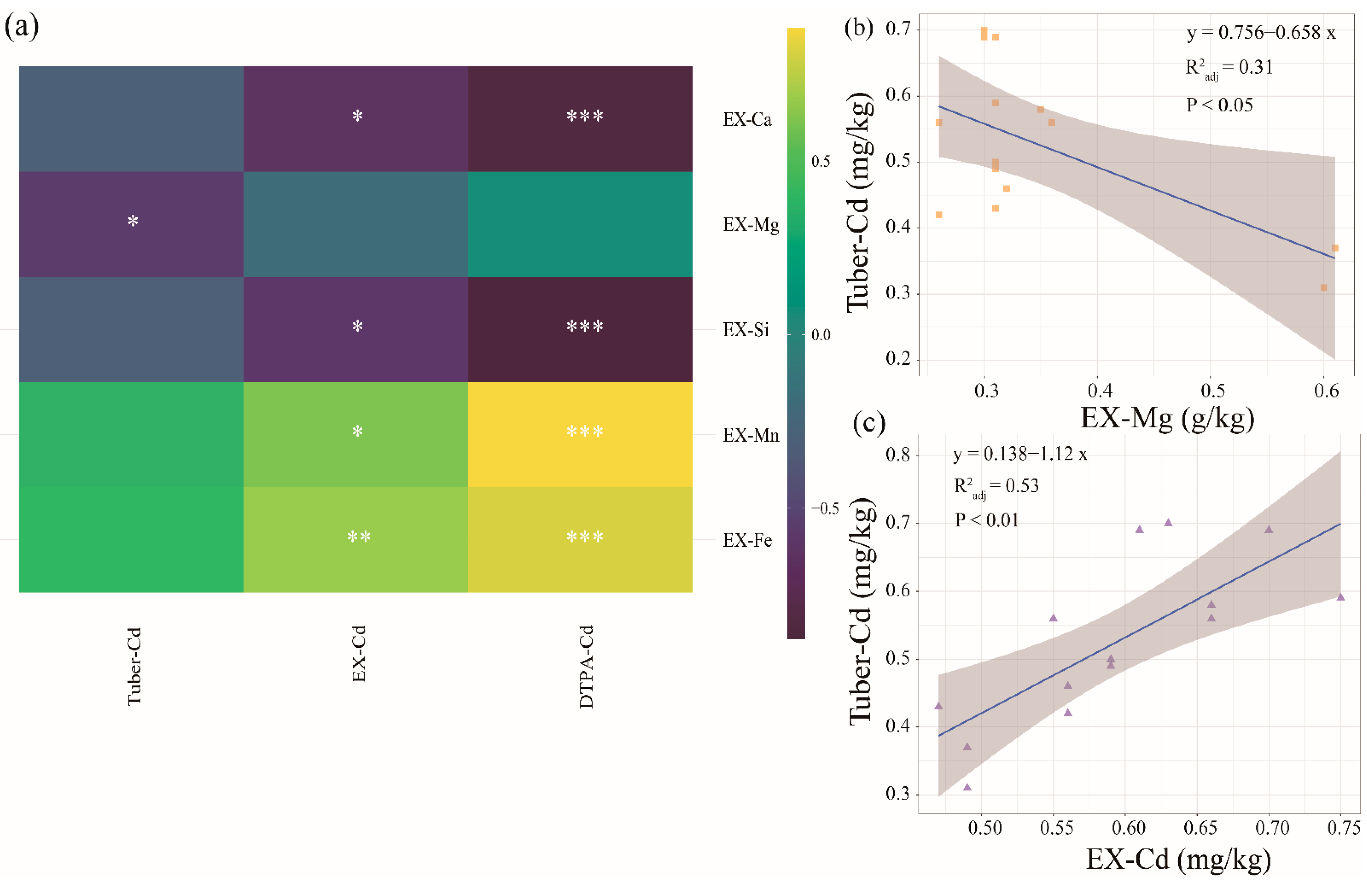
3.4. Correlations between Soil Cations and Availability of Cd
4. Conclusions
Supplementary Materials
Author Contributions
Funding
Institutional Review Board Statement
Informed Consent Statement
Data Availability Statement
Acknowledgments
Conflicts of Interest
References
- Nordberg, G.F.; Jin, T.; Wu, X.; Lu, J.; Chen, L.; Lei, L.; Hong, F.; Nordberg, M. Prevalence of Kidney dysfunction in humans—Relationship to cadmium dose, metallothionein, immunological and metabolic factors. Biochimie 2009, 91, 1282–1285. [Google Scholar] [CrossRef] [PubMed]
- Nawrot, T.; Plusquin, M.; Hogervorst, J.; Roels, H.A.; Celis, H.; Thijs, L.; Vangronsveld, J.; Van Hecke, E.; Staessen, J.A. Environmental exposure to cadmium and risk of cancer: A prospective population-cased study. Lancet Oncol. 2006, 7, 119–126. [Google Scholar] [CrossRef]
- Ren, S.; Song, C.; Ye, S.; Cheng, C.; Gao, P. The spatiotemporal variation in heavy metals in China’s farmland soil over the past 20 years: A Meta-analysis. Sci. Total Environ. 2022, 806, 150322. [Google Scholar] [CrossRef] [PubMed]
- Yang, Q.; Li, Z.; Lu, X.; Duan, Q.; Huang, L.; Bi, J. A review of soil heavy metal pollution from industrial and agricultural regions in China: Pollution and risk assessment. Sci. Total Environ. 2018, 642, 690–700. [Google Scholar] [CrossRef]
- Liu, L.; Li, W.; Song, W.; Guo, M. Remediation techniques for heavy metal-contaminated soils: Principles and applicability. Sci. Total Environ. 2018, 633, 206–219. [Google Scholar] [CrossRef] [PubMed]
- Sun, Y.; Li, Y.; Xu, Y.; Liang, X.; Wang, L. In situ stabilization remediation of cadmium (Cd) and lead (Pb) co-contaminated paddy soil using bentonite. Appl. Clay Sci. 2015, 105–106, 200–206. [Google Scholar] [CrossRef]
- Wan, J.; Zeng, G.; Huang, D.; Hu, L.; Xu, P.; Huang, C.; Deng, R.; Xue, W.; Lai, C.; Zhou, C.; et al. Rhamnolipid stabilized nano-chlorapatite: Synthesis and enhancement effect on Pb- and Cd-immobilization in polluted sediment. J. Hazard Mater. 2018, 343, 332–339. [Google Scholar] [CrossRef]
- Hamid, Y.; Tang, L.; Hussain, B.; Usman, M.; Gurajala, H.K.; Rashid, M.S.; He, Z.; Yang, X. Efficiency of lime, biochar, Fe containing biochar and composite amendments for Cd and Pb immobilization in a co-contaminated alluvial soil. Environ. Pollut. 2020, 257, 113609. [Google Scholar] [CrossRef]
- Su, R.; Ou, Q.; Wang, H.; Luo, Y.; Dai, X.; Wang, Y.; Chen, Y.; Shi, L. Comparison of phytoremediation pPotential of nerium indicum with inorganic modifier calcium carbonate and organic modifier mushroom residue to lead–zinc tailings. Int. J. Environ. Res. Public Health 2022, 19, 10353. [Google Scholar] [CrossRef]
- Kong, L.; Guo, Z.; Peng, C.; Xiao, X.; He, Y. Factors influencing the effectiveness of liming on cadmium reduction in rice: A meta-analysis and decision tree analysis. Sci. Total Environ. 2021, 779, 146477. [Google Scholar] [CrossRef]
- He, L.; Huang, D.; Zhang, Q.; Zhu, H.; Xu, C.; Li, B.; Zhu, Q. Meta-analysis of the effects of liming on soil pH and cadmium accumulation in crops. Ecotoxicol. Environ. Saf. 2021, 223, 112621. [Google Scholar] [CrossRef] [PubMed]
- Albert, H.A.; Li, X.; Jeyakumar, P.; Wei, L.; Huang, L.; Huang, Q.; Kamran, M.; Shaheen, S.M.; Hou, D.; Rinklebe, J.; et al. Influence of biochar and soil properties on soil and plant tissue concentrations of Cd and Pb: A meta-Analysis. Sci. Total Environ. 2021, 755, 142582. [Google Scholar] [CrossRef]
- Jia, Y.; Li, J.; Zeng, X.; Zhang, N.; Wen, J.; Liu, J.; Jiku, M.A.S.; Wu, C.; Su, S. The performance and mechanism of cadmium availability mitigation by biochars differ among soils with different pH: Hints for the reasonable choice of passivators. J. Environ. Manag. 2022, 312, 114903. [Google Scholar] [CrossRef] [PubMed]
- Qi, S.; Ji, H.; Shen, D.; Mao, Y.; Shentu, J. The optimization strategy for Cd and Pb immobilization in soil by meta-Analysis combined with numerical modeling. Pedosphere 2022. [Google Scholar] [CrossRef]
- He, L.; Su, R.; Chen, Y.; Zeng, P.; Du, L.; Cai, B.; Zhang, A.; Zhu, H. Integration of manganese accumulation, subcellular distribution, chemical forms, and physiological responses to understand manganese tolerance in Macleaya cordata. Environ. Sci. Pollut. R 2022, 29, 39017–39026. [Google Scholar] [CrossRef] [PubMed]
- Chen, F.; Wang, Q.; Meng, F.; Chen, M.; Wang, B. Effects of long-term zinc smelting activities on the distribution and health risk of heavy metals in agricultural soils of Guizhou Province, China. Environ. Geochem. Health 2020. [Google Scholar] [CrossRef]
- Zhang, X.; Yang, L.; Li, Y.; Li, H.; Wang, W.; Ye, B. Impacts of lead/zinc mining and smelting on the environment and human health in China. Environ. Monit. Assess. 2012, 184, 2261–2273. [Google Scholar] [CrossRef]
- Wu, T.; Bi, X.; Li, Z.; Sun, G.; Feng, X.; Shang, L.; Zhang, H.; He, T.; Chen, J. Contaminations, sources, and health risks of trace metal(Loid)s in street dust of a small city impacted by artisanal Zn smelting activities. Int. J. Environ. Res. Public Health 2017, 14, 961. [Google Scholar] [CrossRef]
- Luo, Y.; Wu, Y.; Shu, J.; Wu, Z. Effect of particulate organic matter fractions on the distribution of heavy metals with aided phytostabilization at a zinc smelting waste slag site. Environ. Pollut. 2019, 253, 330–341. [Google Scholar] [CrossRef]
- Zhou, Y.; Wang, L.; Xiao, T.; Chen, Y.; Beiyuan, J.; She, J.; Zhou, Y.; Yin, M.; Liu, J.; Liu, Y.; et al. Legacy of multiple heavy metal(loid)s contamination and ecological risks in farmland soils from a historical artisanal zinc smelting area. Sci. Total Environ. 2020, 720, 137541. [Google Scholar] [CrossRef] [PubMed]
- Zhang, Z.; Chen, X.; Cheng, Q.; Li, S.; Yue, F.; Peng, T.; Waldron, S.; Oliver, D.M.; Soulsby, C. Coupled hydrological and biogeochemical modelling of nitrogen transport in the karst critical zone. Sci. Total Environ. 2020, 732, 138902. [Google Scholar] [CrossRef] [PubMed]
- Bai, Y.; He, Q.; Liu, Z.; Wu, Z.; Xie, S. Soil nutrient variation impacted by ecological restoration in the different lithological darst area, Shibing, China. Glob. Ecol. Conserv. 2021, 25, e01399. [Google Scholar] [CrossRef]
- Cai, Z.; Wang, B.; Xu, M.; Zhang, H.; He, X.; Zhang, L.; Gao, S. Intensified soil acidification from chemical N fertilization and prevention by manure in an 18-year field experiment in the red soil of southern China. J. Soils Sediments 2015, 15, 260–270. [Google Scholar] [CrossRef]
- Peng, Y.; Yang, R.; Jin, T.; Chen, J.; Zhang, J. Risk assessment for potentially toxic metal (loid)s in potatoes in the indigenous zinc smelting area of northwestern Guizhou Province, China. Food Chem. Toxicol. 2018, 120, 328–339. [Google Scholar] [CrossRef]
- Blott, S.J.; Pye, K. Particle size scales and classification of sediment types based on particle size distributions: Review and recommended procedures. Sedimentology 2012, 59, 2071–2096. [Google Scholar] [CrossRef]
- Lu, R. Methods for Chemical Analysis of Soil Agriculture; China Agricultural Science and Technology Press: Beijing, China, 2000. [Google Scholar]
- Svete, P.; Milačič, R.; Pihlar, B. Partitioning of Zn, Pb and Cd in river sediments from a lead and zinc mining area using the BCR three-step sequential extraction procedure. J. Environ. Monit. 2001, 3, 586–590. [Google Scholar] [CrossRef]
- Dai, J. Heavy metal accumulation by two earthworm species and its relationship to total and DTPA-extractable metals in soils. Soil Biol. Biochem. 2004, 36, 91–98. [Google Scholar] [CrossRef]
- Wickham, H. Elegant Graphics for Data Analysis (ggplot2); Springer: New York, NY, USA, 2009. [Google Scholar]
- Žemberyová, M.; Barteková, J.; Hagarová, I. The utilization of modified BCR three-step sequential extraction procedure for the fractionation of Cd, Cr, Cu, Ni, Pb and Zn in soil reference materials of different origins. Talanta 2006, 70, 973–978. [Google Scholar] [CrossRef]
- Tahervand, S.; Jalali, M. Sorption and desorption of potentially toxic metals (Cd, Cu, Ni and Zn) by soil amended with bentonite, calcite and zeolite as a function of pH. J. Geochem. Explor. 2017, 181, 148–159. [Google Scholar] [CrossRef]
- Zhang, D.; Ding, A.; Li, T.; Wu, X.; Liu, Y.; Naidu, R. Immobilization of Cd and Pb in a contaminated acidic soil amended with hydroxyapatite, bentonite, and biochar. J. Soils Sediments 2021, 21, 2262–2272. [Google Scholar] [CrossRef]
- Han, X.; Xiao, X.; Guo, Z.; Xie, Y.; Zhu, H.; Peng, C.; Liang, Y. Release of cadmium in contaminated paddy soil amended with NPK fertilizer and lime under water management. Ecotoxicol. Environ. Saf. 2018, 159, 38–45. [Google Scholar] [CrossRef] [PubMed]
- Gómez del Río, J.A.; Morando, P.J.; Cicerone, D.S. Natural materials for treatment of industrial effluents: Comparative study of the retention of Cd, Zn and Co by calcite and hydroxyapatite. Part I: Batch experiments. J. Environ. Manag. 2004, 71, 169–177. [Google Scholar] [CrossRef] [PubMed]
- Mustafa, G.; Singh, B.; Kookana, R.S. Cadmium adsorption and desorption behaviour on goethite at low equilibrium concentrations: Effects of pH and index cations. Chemosphere 2004, 57, 1325–1333. [Google Scholar] [CrossRef] [PubMed]
- Abate, G.; Masini, J.C. Influence of pH, ionic strength and humic acid on adsorption of Cd(II) and Pb(II) onto vermiculite. Colloids Surf. A Physicochem. Eng. Asp. 2005, 262, 33–39. [Google Scholar] [CrossRef]
- Zhao, D.; Chen, S.; Yang, S.; Yang, X.; Yang, S. Investigation of the sorption behavior of Cd (II) on GMZ bentonite as affected by solution chemistry. Chem. Eng. J. 2011, 166, 1010–1016. [Google Scholar] [CrossRef]
- Huang, C. Pedology; China Agriculture Press: Beijing, China, 2000. [Google Scholar]
- Xu, Y.; Liang, X.; Xu, Y.; Qin, X.; Huang, Q.; Wang, L.; Sun, Y. Remediation of heavy metal-polluted agricultural soils using clay minerals: A review. Pedosphere 2017, 27, 193–204. [Google Scholar] [CrossRef]
- Liu, C.; Wang, L.; Yin, J.; Qi, L.; Feng, Y. Combined amendments of nano-hydroxyapatite immobilized cadmium in contaminated soil-potato (Solanum tuberosum L.) system. Bull. Environ. Contam. Toxicol. 2018, 100, 581–587. [Google Scholar] [CrossRef]
- Liang, J.; Yang, Z.; Tang, L.; Zeng, G.; Yu, M.; Li, X.; Wu, H.; Qian, Y.; Li, X.; Luo, Y. Changes in heavy metal mobility and availability from contaminated wetland soil remediated with combined biochar-compost. Chemosphere 2017, 181, 281–288. [Google Scholar] [CrossRef]
- Yang, F.; Wang, B.; Shi, Z.; Li, L.; Li, Y.; Mao, Z.; Liao, L.; Zhang, H.; Wu, Y. Immobilization of heavy metals (Cd, Zn, and Pb) in different contaminated soils with swine manure biochar. Environ. Pollut. Bioavailab. 2021, 33, 55–65. [Google Scholar] [CrossRef]
- Mengist, M.F.; Milbourne, D.; Griffin, D.; McLaughlin, M.J.; Creedon, J.; Jones, P.W.; Alves, S. Cadmium Uptake and Partitioning in Potato (Solanum tuberosum L.) Cultivars with different tuber-Cd concentration. Environ. Sci. Pollut. Res. 2017, 24, 27384–27391. [Google Scholar] [CrossRef]
- Reid, R.J.; Dunbar, K.R.; Mclaughlin, M.J. Cadmium loading into potato tubers: The roles of the periderm, xylem and phloem. Plant Cell Environ. 2003, 26, 201–206. [Google Scholar] [CrossRef]
- Hamid, Y.; Tang, L.; Hussain, B.; Usman, M.; Liu, L.; Ulhassan, Z.; He, Z.; Yang, X. Sepiolite clay: A review of its applications to immobilize toxic metals in contaminated soils and its implications in soil–plant system. Environ. Technol. Innov. 2021, 23, 101598. [Google Scholar] [CrossRef]
- Czaban, J.; Czyz, E.; Siebielec, G.; Niedzwiecki, J. Long-lasting effects of bentonite on properties of a sandy soil deprived of the humus layer. Int. Agrophys. 2014, 28, 279–289. [Google Scholar] [CrossRef]
- Liu, M.; Ke, X.; Liu, X.; Fan, X.; Xu, Y.; Li, L.; Solaiman, Z.M.; Pan, G. The effects of biochar soil amendment on rice growth may vary greatly with rice genotypes. Sci. Total Environ. 2022, 810, 152223. [Google Scholar] [CrossRef] [PubMed]
- Ma, J.; Ni, X.; Huang, Q.; Liu, D.; Ye, Z. Effect of bamboo biochar on reducing grain cadmium content in two contrasting wheat genotypes. Environ. Sci. Pollut. Res. 2021, 28, 17405–17416. [Google Scholar] [CrossRef] [PubMed]
- Zhang, G.; Fukami, M.; Sekimoto, H. Genotypic differences in effects of cadmium on growth and nutrient compositions in wheat. J. Plant Nutr. 2000, 23, 1337–1350. [Google Scholar] [CrossRef]
- Larssen, T.; Duan, L.; Mulder, J. Deposition and leaching of sulfur, nitrogen and calcium in four forested catchments in China: Implications for acidification. Environ. Sci. Technol. 2011, 45, 1192–1198. [Google Scholar] [CrossRef]
- Whittinghill, K.A.; Hobbie, S.E. Effects of pH and calcium on soil organic matter dynamics in Alaskan tundra. Biogeochemistry 2012, 111, 569–581. [Google Scholar] [CrossRef]
- Xu, G.; Wei, L.L.; Sun, J.N.; Shao, H.B.; Chang, S.X. What is more important for enhancing nutrient bioavailability with biochar application into a sandy soil: Direct or indirect mechanism? Ecol. Eng. 2013, 52, 119–124. [Google Scholar] [CrossRef]
- Kashem, A.; Kawai, S. Alleviation of cadmium phytotoxicity by magnesium in japanese mustard spinach. Soil Sci. Plant Nutr. 2007, 53, 246–251. [Google Scholar] [CrossRef]
- Nikolić, N.; Pajević, S.; Župunski, M.; Topić, M.; Arsenov, D. Responses of wheat (Triticum aestivum L.) and maize (Zea mays L.) plants to cadmium toxicity in relation to magnesium nutrition. Acta Bot. Croat. 2014, 73, 359–373. [Google Scholar] [CrossRef]
- Kudo, H.; Kudo, K.; Uemura, M.; Kawai, S. Magnesium inhibits cadmium translocation from roots to shoots, rather than the uptake from roots, in barley. Botany 2015, 93, 345–351. [Google Scholar] [CrossRef]
- Rengel, Z.; Bose, J.; Chen, Q.; Tripathi, B.N. Magnesium alleviates plant toxicity of aluminium and heavy metals. Crop Pasture Sci. 2015, 66, 1298. [Google Scholar] [CrossRef]
- Borišev, M.; Pajević, S.; Nikolić, N.; Orlović, S.; Župunski, M.; Pilipović, A.; Kebert, M. Magnesium and iron deficiencies alter Cd accumulation in Salix Viminalis L. Int. J. Phytoremediat. 2016, 18, 164–170. [Google Scholar] [CrossRef]
- Dong, Q.; Fang, J.; Huang, F.; Cai, K. Silicon amendment reduces soil Cd availability and Cd uptake of two pennisetum species. Int. J. Environ. Res. Public Health 2019, 16, 1624. [Google Scholar] [CrossRef]
- Wang, J.; Wang, P.-M.; Gu, Y.; Kopittke, P.M.; Zhao, F.-J.; Wang, P. Iron–manganese (oxyhydro) oxides, rather than oxidation of sulfides, determine mobilization of Cd during soil drainage in paddy soil systems. Environ. Sci. Technol. 2019, 53, 2500–2508. [Google Scholar] [CrossRef]





| Material | Treatment | Potato Cultivar | Dosage (Material Weight/Soil Weight) |
|---|---|---|---|
| Control | CK | Q9 | 0% |
| Control | CK | W5 | 0% |
| Lime | LM | Q9 | 0.4% |
| Lime | LM | W5 | 0.4% |
| Calcite | CA | Q9 | 0.4% |
| Calcite | CA | W5 | 0.4% |
| Apatite | AP | Q9 | 1.4% |
| Apatite | AP | W5 | 1.4% |
| Sepiolite | SP | Q9 | 0.35% |
| Sepiolite | SP | W5 | 0.35% |
| Bentonite | BN | Q9 | 1.4% |
| Bentonite | BN | W5 | 1.4% |
| Corn biochar | BC | Q9 | 0.4% |
| Corn biochar | BC | W5 | 0.4% |
| Materials | Main Ingredient | pH | Cd/(mg/kg) | Abbr. |
|---|---|---|---|---|
| Lime | CaO | 12.38 | 1.176 | LM |
| Apatite | CaO (55.38%); P2O3 (42.06%) | 7.62 | 0.232 | AP |
| Calcite | CaO (56.03%); CO2 (43.97%) | 8.9 | 0.730 | CA |
| Sepiolite | SiO2 (55.65%); MgO (24.89%) | 7.69 | 0.031 | SP |
| Bentonitic | SiO2 (66.7%); Al2O3 (28.3%) | 8.83 | 0.291 | BN |
| Corn biochar | / | 7.77 | 0.214 | BC |
Publisher’s Note: MDPI stays neutral with regard to jurisdictional claims in published maps and institutional affiliations. |
© 2022 by the authors. Licensee MDPI, Basel, Switzerland. This article is an open access article distributed under the terms and conditions of the Creative Commons Attribution (CC BY) license (https://creativecommons.org/licenses/by/4.0/).
Share and Cite
Gong, S.; Wang, H.; Lou, F.; Qin, R.; Fu, T. Calcareous Materials Effectively Reduce the Accumulation of Cd in Potatoes in Acidic Cadmium-Contaminated Farmland Soils in Mining Areas. Int. J. Environ. Res. Public Health 2022, 19, 11736. https://doi.org/10.3390/ijerph191811736
Gong S, Wang H, Lou F, Qin R, Fu T. Calcareous Materials Effectively Reduce the Accumulation of Cd in Potatoes in Acidic Cadmium-Contaminated Farmland Soils in Mining Areas. International Journal of Environmental Research and Public Health. 2022; 19(18):11736. https://doi.org/10.3390/ijerph191811736
Chicago/Turabian StyleGong, Sitong, Hu Wang, Fei Lou, Ran Qin, and Tianling Fu. 2022. "Calcareous Materials Effectively Reduce the Accumulation of Cd in Potatoes in Acidic Cadmium-Contaminated Farmland Soils in Mining Areas" International Journal of Environmental Research and Public Health 19, no. 18: 11736. https://doi.org/10.3390/ijerph191811736
APA StyleGong, S., Wang, H., Lou, F., Qin, R., & Fu, T. (2022). Calcareous Materials Effectively Reduce the Accumulation of Cd in Potatoes in Acidic Cadmium-Contaminated Farmland Soils in Mining Areas. International Journal of Environmental Research and Public Health, 19(18), 11736. https://doi.org/10.3390/ijerph191811736

