Posttraumatic Stress Symptoms and Attitudes toward the China Eastern Airlines Plane Crash in Transportation Students
Abstract
:1. Introduction
1.1. The China Eastern Airlines Plane Crash
1.2. PTSD or PTSS Following Disasters
1.3. Indirect Exposure to Traumatic Events and Impact of Media Coverage
1.4. Purpose of This Study
2. Materials and Methods
2.1. Study Design and Participants
2.2. Measuring Instruments
2.2.1. Demographic Characteristics
2.2.2. Mental Health Symptoms
Depressive symptoms
Anxiety symptoms
Insomnia symptoms
Fatigue symptoms
Posttraumatic stress symptoms
2.2.3. Experience and Attitudes
2.3. Data Analysis
3. Results
3.1. Participant Characteristics
3.2. Mental Health Symptoms
3.3. Experience and Attitudes
3.4. Comparison between Attendant Students with and without PTSS
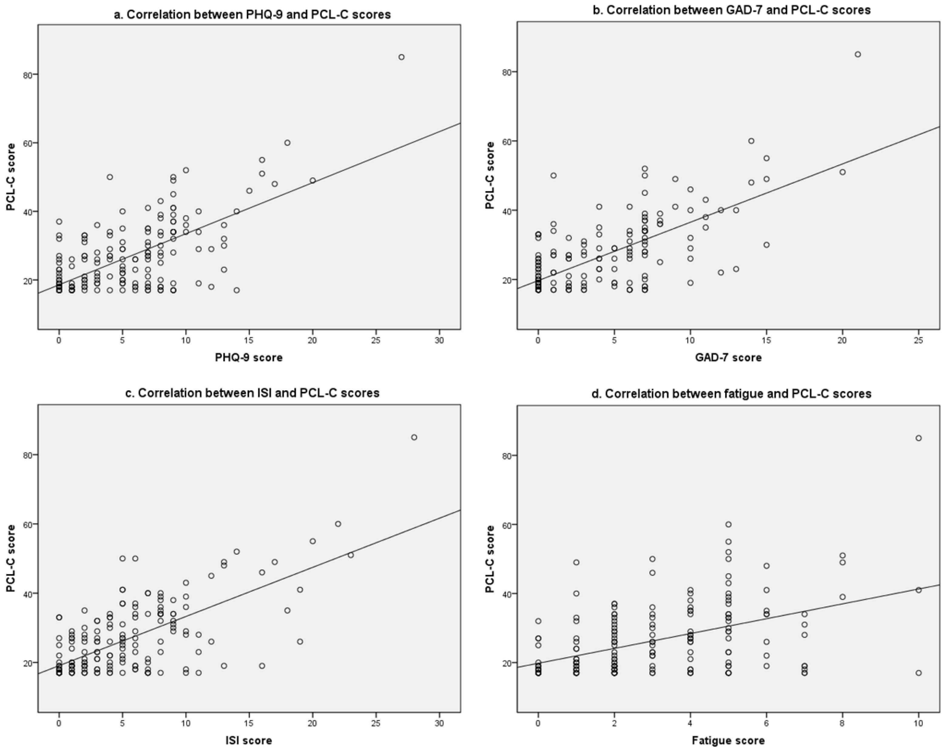
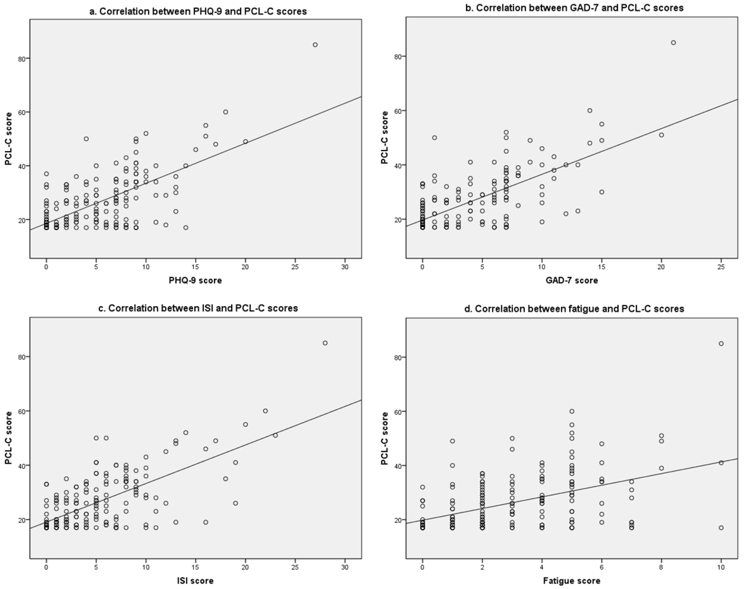
3.5. Correlations among PHQ-9, GAD-7, ISI, Fatigue, and PCL-C Scores
4. Discussion
4.1. Mental Health Symptoms and PTSS
4.2. Experience and Attitudes
4.3. Factors Associated with PTSS
4.4. Vicarious Traumatization Related to the Plane Crash?
4.5. Limitations
5. Conclusions
Supplementary Materials
Author Contributions
Funding
Institutional Review Board Statement
Informed Consent Statement
Data Availability Statement
Conflicts of Interest
References
- China Daily. Flight Carrying 132 Crashes in Guangxi. 2022. Available online: https://www.chinadaily.com.cn/a/202203/23/WS62383393a310fd2b29e524a3_1.html (accessed on 1 August 2022).
- Jeronimus, B.F.; Snippe, E.; Emerencia, A.C.; de Jonge, P.; Bos, E.H. Acute stress responses after indirect exposure to theMH17 airplane crash. Br. J. Psychol. 2019, 110, 790–813. [Google Scholar] [CrossRef] [PubMed]
- Neria, Y.; Nandi, A.; Galea, S. Post-traumatic stress disorder following disasters: A systematic review. Psychol. Med. 2008, 38, 467–480. [Google Scholar] [CrossRef] [PubMed]
- Miao, X.-R.; Chen, Q.-B.; Wei, K.; Tao, K.; Lu, Z.-J. Posttraumatic stress disorder: From diagnosis to prevention. Mil. Med. Res. 2018, 5, 32. [Google Scholar] [CrossRef] [PubMed]
- Beaglehole, B.; Mulder, R.T.; Frampton, C.M.; Boden, J.M.; Newton-Howes, G.; Bell, C.J. Psychological distress and psychiatric disorder after natural disasters: Systematic review and meta-analysis. Br. J. Psychiatry 2018, 213, 716–722. [Google Scholar] [CrossRef]
- Liang, Y.; Cheng, J.; Ruzek, J.I.; Liu, Z. Posttraumatic stress disorder following the 2008 Wenchuan earthquake: A 10-year systematic review among highly exposed populations in China. J. Affect. Disord. 2019, 243, 327–339. [Google Scholar] [CrossRef]
- Hong, C.; Efferth, T. Systematic Review on Post-Traumatic Stress Disorder Among Survivors of the Wenchuan Earthquake. Trauma Violence Abus. 2016, 17, 542–561. [Google Scholar] [CrossRef]
- Chung, M.C.; Dennis, I.; Easthope, Y.; Farmer, S.; Werrett, J. Differentiating Posttraumatic Stress Between Elderly and Younger Residents. Psychiatry 2005, 68, 164–173. [Google Scholar] [CrossRef]
- Silver, R.C.; Holman, E.A.; McIntosh, D.N.; Poulin, M.; Gil-Rivas, V. Nationwide Longitudinal Study of Psychological Responses to September 11. JAMA 2002, 288, 1235–1244. [Google Scholar] [CrossRef]
- Carlier, I.V.E.; Gersons, B.P.R. Stress reactions in disaster victims following the Bijlmermeer plane crash. J. Trauma. Stress 1997, 10, 329–335. [Google Scholar] [CrossRef]
- Catanesi, R.; Martino, V.; Candelli, C.; Troccoli, G.; Grattagliano, I.; Di Vella, G.; Carabellese, F. Posttraumatic Stress Disorder: Protective and Risk Factors in 18 Survivors of a Plane Crash. J. Forensic Sci. 2013, 58, 1388–1392. [Google Scholar] [CrossRef]
- Boman, B. Behavioural observations on the Granville train disaster and the significance of stress for psychiatry. Soc. Sci. Med. 1979, 13, 463–471. [Google Scholar]
- Selley, C.; King, E.; Peveler, R.; Osola, K.; Martin, N.; Thompson, C. Post-traumatic stress disorder symptoms and the Clapham rail accident. Br. J. Psychiatry 1997, 171, 478–482. [Google Scholar] [CrossRef] [PubMed]
- van der Meer, T.G.L.A.; Kroon, A.C.; Vliegenthart, R. Do News Media Kill? How a Biased News Reality can Overshadow Real Societal Risks, The Case of Aviation and Road Traffic Accidents. Soc. Forces 2021, 101, 506–530. [Google Scholar] [CrossRef]
- Huang, Y.; Zhao, N. Generalized anxiety disorder, depressive symptoms and sleep quality during COVID-19 outbreak in China: A web-based cross-sectional survey. Psychiatry Res. 2020, 288, 112954. [Google Scholar] [CrossRef]
- Kroenke, K.; Spitzer, R.L.; Williams, J.B. The PHQ-9: Validity of a brief depression severity measure. J. Gen. Intern. Med. 2001, 16, 606–613. [Google Scholar] [CrossRef]
- Wang, W.; Bian, Q.; Zhao, Y.; Li, X.; Wang, W.; Du, J.; Zhang, G.; Zhou, Q.; Zhao, M. Reliability and validity of the Chinese version of the Patient Health Questionnaire (PHQ-9) in the general population. Gen. Hosp. Psychiatry 2014, 36, 539–544. [Google Scholar] [CrossRef]
- Chen, M.M.; Sheng, L.; Shan, Q.U. Diagnostic test of screening depressive disorders in general hospital with the Patient Health Questionnaire. Chin. Ment. Health J. 2015, 29, 241–245. (In Chinese) [Google Scholar]
- Spitzer, R.L.; Kroenke, K.; Williams, J.B.; Löwe, B. A brief measure for assessing generalized anxiety disorder: The GAD-7. Arch. Intern. Med. 2006, 166, 1092–1097. [Google Scholar] [CrossRef]
- Tong, X.; An, D.; McGonigal, A.; Park, S.-P.; Zhou, D. Validation of the Generalized Anxiety Disorder-7 (GAD-7) among Chinese people with epilepsy. Epilepsy Res. 2016, 120, 31–36. [Google Scholar] [CrossRef]
- Wang, Y.J.; Chen, R.; Zhang, L. Reliability and validity of generalized anxiety scale-7 in inpatients in Chinese general hospital (In Chinese). J. Clin. Psychiatry 2018, 28, 168–171. [Google Scholar]
- Bastien, C.H.; Vallières, A.; Morin, C.M. Validation of the Insomnia Severity Index as an outcome measure for insomnia research. Sleep Med. 2001, 2, 297–307. [Google Scholar] [CrossRef]
- Baghyahi, S.B.A.; Gao, Y.; Taghanaki, H.B.; Aval, M.B. Reliability and validity of the chinese translation of insomnia severity index (C-ISI) in chinese patients with insomnia. Eur. Psychiatry 2013, 28, 3–9. [Google Scholar] [CrossRef]
- Bai, J.D.; Chen, L.X.; Li, L.; Wang, C.X. Reliability and validity of Insomnia Severity Index in clinical insomnia patients. Chin. J. Pract. Nurs. 2018, 34, 2182–2186. (In Chinese) [Google Scholar]
- Butt, Z.; Wagner, L.I.; Beaumont, J.; Paice, J.; Peterman, A.H.; Shevrin, D.; Von Roenn, J.H.; Carro, G.; Straus, J.L.; Muir, J.C.; et al. Use of a Single-Item Screening Tool to Detect Clinically Significant Fatigue, Pain, Distress, and Anorexia in Ambulatory Cancer Practice. J. Pain Symptom Manag. 2008, 35, 20–30. [Google Scholar] [CrossRef] [PubMed]
- Berger, A.M.; Abernethy, A.P.; Atkinson, A.; Barsevick, A.M.; Breitbart, W.S.; Cella, D.; Cimprich, B.; Cleeland, C.; Eisenberger, M.A.; Escalante, C.P.; et al. NCCN Clinical Practice Guidelines Cancer-related fatigue. J. Natl. Compr. Canc. Netw. 2010, 8, 904–931. [Google Scholar] [CrossRef] [PubMed]
- Weathers, F.; Litz, B.; Herman, D.; Huska, J.A.; Keane, T. The PTSD Checklist (PCL): Reliability, validity, and diagnostic utility. In Annual Convention of the International Society for Traumatic Stress Studies; 1993; Available online: https://www.researchgate.net/publication/291448760 (accessed on 1 September 2022).
- Yang, X.Y.; Yang, H.A.; Liu, Q.G.; Yang, L.Z. The research on the reliability and validity of PCL-C and influence factors. China J. Health Psychol. 2007, 15, 6–9. (In Chinese) [Google Scholar]
- Tang, W.; Hu, T.; Hu, B.; Jin, C.; Wang, G.; Xie, C.; Chen, S.; Xu, J. Prevalence and correlates of PTSD and depressive symptoms one month after the outbreak of the COVID-19 epidemic in a sample of home-quarantined Chinese university students. J. Affect. Disord. 2020, 274, 1–7. [Google Scholar] [CrossRef]
- Dobie, D.J.; Kivlahan, D.R.; Maynard, C.; Bush, K.R.; McFall, M.; Epler, A.J.; Bradley, K.A. Screening for post-traumatic stress disorder in female Veteran’s Affairs patients: Validation of the PTSD checklist. Gen. Hosp. Psychiatry 2002, 24, 367–374. [Google Scholar] [CrossRef]
- Liang, L.; Ren, H.; Cao, R.; Hu, Y.; Qin, Z.; Li, C.; Mei, S. The Effect of COVID-19 on Youth Mental Health. Psychiatr. Q. 2020, 91, 841–852. [Google Scholar] [CrossRef]
- Sun, L.; Sun, Z.; Wu, L.; Zhu, Z.; Zhang, F.; Shang, Z.; Jia, Y.; Gu, J.; Zhou, Y.; Wang, Y.; et al. Prevalence and risk factors for acute posttraumatic stress disorder during the COVID-19 outbreak. J. Affect. Disord. 2021, 283, 123–129. [Google Scholar] [CrossRef]
- Sanchez-Gomez, M.; Giorgi, G.; Finstad, G.L.; Urbini, F.; Foti, G.; Mucci, N.; Zaffina, S.; León-Perez, J.M. COVID-19 Pandemic as a Traumatic Event and Its Associations with Fear and Mental Health: A Cognitive-Activation Approach. Int. J. Environ. Res. Public Health 2021, 18, 7422. [Google Scholar] [CrossRef] [PubMed]
- Shi, L.; Lu, Z.-A.; Que, J.-Y.; Huang, X.-L.; Liu, L.; Ran, M.-S.; Gong, Y.-M.; Yuan, K.; Yan, W.; Sun, Y.-K.; et al. Prevalence of and Risk Factors Associated With Mental Health Symptoms Among the General Population in China During the Coronavirus Disease 2019 Pandemic. JAMA Netw. Open 2020, 3, e2014053. [Google Scholar] [CrossRef] [PubMed]
- Wikipedia. Aviation Safety. 2022. Available online: https://en.wikipedia.org/wiki/Aviation_safety (accessed on 1 August 2022).
- Zhang, J.-N.; Xiong, K.-L.; Qiu, M.-G.; Zhang, Y.; Xie, B.; Wang, J.; Li, M.; Chen, H.; Zhang, Y.; Zhang, J.-J. Negative emotional distraction on neural circuits for working memory in patients with posttraumatic stress disorder. Brain Res. 2013, 1531, 94–101. [Google Scholar] [CrossRef]
- Yang, R.; Xiang, Y.-T.; Shuai, L.; Qian, Y.; Lai, K.Y.; Ungvari, G.S.; Chiu, H.F.; Wang, Y.-F. Executive function in children and adolescents with posttraumatic stress disorder 4 and 12 months after the Sichuan earthquake in China. J. Child Psychol. Psychiatry 2013, 55, 31–38. [Google Scholar] [CrossRef] [PubMed]
- Collins, S.; Long, A. Working with the psychological effects of trauma: Consequences for mental health-care workers--a literature review. J. Psychiatr. Ment. Health Nurs. 2003, 10, 417–424. [Google Scholar] [CrossRef]
- Jenkins, S.R.; Baird, S. Secondary traumatic stress and vicarious trauma: A validational study. J. Trauma. Stress 2002, 15, 423–432. [Google Scholar] [CrossRef]
- Argentero, P.; Setti, I. Engagement and Vicarious Traumatization in rescue workers. Int. Arch. Occup. Environ. Health 2011, 84, 67–75. [Google Scholar] [CrossRef]
- Li, Z.; Ge, J.; Yang, M.; Feng, J.; Qiao, M.; Jiang, R.; Bi, J.; Zhan, G.; Xu, X.; Wang, L.; et al. Vicarious traumatization in the general public, members, and non-members of medical teams aiding in COVID-19 control. Brain Behav. Immun. 2020, 88, 916–919. [Google Scholar] [CrossRef]
- Lindert, J.; Jakubauskiene, M.; Bilsen, J. The COVID-19 disaster and mental health-assessing, responding and recovering. Eur. J. Public Health 2021, 31, iv31–iv35. [Google Scholar] [CrossRef]
- Thome, J.; Coogan, A.N.; Fischer, M.; Tucha, O.; Faltraco, F. Challenges for mental health services during the 2020 COVID-19 outbreak in Germany. Psychiatry Clin. Neurosci. 2020, 74, 407. [Google Scholar] [CrossRef]

| Characteristics | Total (n = 494) | Attendant Students (n = 183) | General Public (n = 311) | t/χ2 | p |
|---|---|---|---|---|---|
| Age (years, Mean ± SD) | 23.2 ± 7.7 | 17.3 ± 1.7 | 26.7 ± 7.8 | −20.432 | <0.001 |
| Gender (%) | 19.080 | <0.001 | |||
| Male | 153 (31.0) | 35 (19.1) | 118 (37.9) | ||
| Female | 341 (69.0) | 148 (80.9) | 193 (62.1) | ||
| Marital status (%) | |||||
| Single | 387 (78.3) | 179 (97.8) | 208 (66.9) | 64.979 | <0.001 |
| Married | 105 (21.3) | 4 (2.2) | 101 (32.5) | ||
| Divorced or widowed | 2 (0.4) | 0 | 2 (0.6) |
| Variables | Total (n = 494) | Attendant Students (n = 183) | General Public (n = 311) | χ2/Z | p |
|---|---|---|---|---|---|
| Depressive symptoms (%) | 1.996 | 0.158 | |||
| Yes | 236 (47.8) | 95 (51.9) | 141 (45.3) | ||
| No | 258 (52.2) | 88 (48.1) | 170 (54.7) | ||
| Anxiety symptoms (%) | |||||
| Yes | 186 (37.7) | 74 (40.4) | 112 (36.0) | 0.961 | 0.327 |
| No | 308 (62.3) | 109 (59.6) | 199 (64.0) | ||
| Insomnia symptoms (%) | 4.312 | 0.038 | |||
| Yes | 100 (20.2) | 46 (25.1) | 54 (17.4) | ||
| No | 394 (79.8) | 137 (74.9) | 257 (82.6) | ||
| Fatigue score (Mean ± SD) | 3.2 ± 2.2 | 3.0 ± 2.3 | 3.3 ± 2.2 | −1.622 1 | 0.105 |
| PCL-C score (Mean ± SD) | 24.0 ± 9.0 | 26.3 ± 10.5 | 22.6 ± 7.7 | −3.880 1 | <0.001 |
| PTSS 2 (%) | 11.998 | 0.001 | |||
| Yes | 36 (7.3) | 23 (12.6) | 13 (4.2) | ||
| No | 458 (92.7) | 160 (87.4) | 298 (95.8) |
| Questions | Total (n = 494) | Attendant Students (n = 183) | General Public (n = 311) | χ2 | p |
|---|---|---|---|---|---|
| 1. Do you think flying is a safe way of transportation? | 1.779 | 0.182 | |||
| Yes. It is a safe way. | 347 (70.2) | 122 (66.7) | 225 (72.3) | ||
| No. It is an unsafe (dangerous) way. | 147 (29.8) | 61 (33.3) | 86 (27.7) | ||
| 2. Which means of transportation do you think are relatively safe that you will choose (multiple choices)? | |||||
| Railway | 354 (71.7) | 99 (54.1) | 255 (82.0) | 44.143 | <0.001 |
| On foot | 272 (55.1) | 112 (61.2) | 160 (51.4) | 4.431 | 0.035 |
| Air | 181 (36.6) | 56 (30.6) | 125 (40.2) | 4.566 | 0.033 |
| Car | 143 (28.9) | 56 (30.6) | 87 (28.0) | 0.387 | 0.534 |
| Bicycle | 141 (28.5) | 59 (32.2) | 82 (26.4) | 1.949 | 0.163 |
| Bus | 127 (25.7) | 57 (31.1) | 70 (22.5) | 4.502 | 0.034 |
| Water | 40 (8.1) | 17 (9.3) | 23 (7.4) | 0.555 | 0.456 |
| Van | 19 (3.8) | 10 (5.5) | 9 (2.9) | 2.059 | 0.151 |
| Motorcycle | 17 (3.4) | 9 (4.9) | 8 (2.6) | 1.908 | 0.167 |
| 3. How often do you travel by airplane? | 29.406 | <0.001 | |||
| Never | 341 (69.0) | 153 (83.6) | 188 (60.5) | ||
| A few times a year | 140 (28.3) | 26 (14.2) | 114 (36.7) | ||
| A few times a month or more | 13 (2.6) | 4 (2.2) | 9 (2.9) | ||
| 4. Have you or any families/friends experienced any sudden or unexpected events when flying? | 4.594 | 0.032 | |||
| Yes | 16 (3.2) | 10 (5.5) | 6 (1.9) | ||
| No | 478 (96.8) | 173 (94.5) | 305 (98.1) | ||
| 5. Does the China Eastern Airlines plane crash have any impact on your choice of air travel? | 6.569 | 0.087 | |||
| Yes. I will not choose to fly in the future. | 84 (17.0) | 34 (18.6) | 50 (16.1) | ||
| Yes. I will reduce the frequency of air travel. | 134 (27.1) | 48 (26.2) | 86 (27.7) | ||
| No. I will choose transportation as needed. | 221 (44.7) | 73 (39.9) | 148 (47.6) | ||
| No. I will give preference to air travel if the conditions permit. | 55 (11.1) | 28 (15.3) | 27 (8.7) | ||
| 6. Times spent thinking about the plane crash | |||||
| <1 h per day | 376 (76.1) | 115 (62.8) | 261 (83.9) | 29.293 | <0.001 |
| 1–2 h per day | 99 (20.0) | 55 (30.1) | 44 (14.1) | ||
| ≥3 h per day | 19 (3.8) | 13 (7.1) | 6 (1.9) | ||
| 7. Have you been physically and psychologically affected by the China Eastern Airlines plane crash? | 6.745 | 0.080 | |||
| No | 149 (30.2) | 45 (24.6) | 104 (33.4) | ||
| Mild | 274 (55.5) | 105 (57.4) | 169 (54.3) | ||
| Moderate | 53 (10.7) | 23 (12.6) | 30 (9.6) | ||
| Severe | 18 (3.6) | 10 (5.5) | 8 (2.6) | ||
| 8. Do you need professional psychological assistance? | 18.840 | <0.001 | |||
| Yes | 57 (11.5) | 36 (19.7) | 21 (6.8) | ||
| No | 437 (88.5) | 147 (80.3) | 290 (93.2) |
| Variables | With PTSS (n = 23) | Without PTSS (n = 160) | t/Z/χ2 | p |
|---|---|---|---|---|
| Characteristics | ||||
| Age (years, Mean ± SD) | 16.8 ± 1.2 | 17.4 ± 1.8 | 0.495 | 0.173 |
| Gender (%) | - 2 | 1.000 | ||
| Male | 4 (17.4) | 31 (19.4) | ||
| Female | 19 (82.6) | 129 (80.6) | ||
| Marital status (%) | - 2 | 0.418 | ||
| Single | 22 (95.7) | 157 (98.1) | ||
| Married | 1 (4.3) | 3 (1.9) | ||
| Category of students (%) | 0.045 | 0.832 | ||
| Flight attendant students | 18 (78.3) | 122 (76.2) | ||
| Train attendant students | 5 (21.7) | 38 (23.8) | ||
| Mental health symptoms | ||||
| Depressive symptoms (%) | 22 (95.7) | 73 (45.6) | 20.161 | <0.001 |
| Anxiety symptoms (%) | 21 (91.3) | 53 (33.1) | 28.260 | <0.001 |
| Insomnia symptoms (%) | 17 (73.9) | 29 (18.1) | 33.259 | <0.001 |
| Fatigue score (Mean ± SD) | 5.3 ± 2.3 | 2.7 ± 2.1 | −4.651 1 | <0.001 |
| Experiences and attitudes (Number of participants with a response of “yes”, %) | ||||
| Q1. Thought that airplane is unsafe (dangerous). | 6 (26.1) | 55 (34.4) | 0.622 | 0.430 |
| Q2. Tendency to choose air travel. | 7 (30.4) | 49 (30.6) | 0.0003 | 0.985 |
| Q3. Flying a few times a year or more. | 9 (39.1) | 21 (13.1) | - 2 | 0.004 |
| Q4. Experience of sudden or unexpected events when flying. | 4 (17.4) | 6 (3.8) | - 2 | 0.024 |
| Q5. Negative choice of air travel after the China Eastern Airlines plane crash. | 13 (56.5) | 69 (43.1) | 1.459 | 0.227 |
| Q6. Times spent thinking about the plane crash per day ≥1 h. | 10 (43.5) | 58 (36.2) | 0.450 | 0.502 |
| Q7. Perception of moderate to severe physical and psychological effects by the plane crash. | 13 (56.5) | 20 (12.5) | - 2 | <0.001 |
| Q8. Perception of the need for psychological assistance. | 8 (34.8) | 28 (17.5) | - 2 | 0.087 |
Publisher’s Note: MDPI stays neutral with regard to jurisdictional claims in published maps and institutional affiliations. |
© 2022 by the authors. Licensee MDPI, Basel, Switzerland. This article is an open access article distributed under the terms and conditions of the Creative Commons Attribution (CC BY) license (https://creativecommons.org/licenses/by/4.0/).
Share and Cite
Xia, L.; Yang, C.; Wang, J.; Liu, L.; Tian, Y.; Tang, Y.-l.; Jiang, F.; Liu, H. Posttraumatic Stress Symptoms and Attitudes toward the China Eastern Airlines Plane Crash in Transportation Students. Int. J. Environ. Res. Public Health 2022, 19, 11400. https://doi.org/10.3390/ijerph191811400
Xia L, Yang C, Wang J, Liu L, Tian Y, Tang Y-l, Jiang F, Liu H. Posttraumatic Stress Symptoms and Attitudes toward the China Eastern Airlines Plane Crash in Transportation Students. International Journal of Environmental Research and Public Health. 2022; 19(18):11400. https://doi.org/10.3390/ijerph191811400
Chicago/Turabian StyleXia, Lei, Cheng Yang, Jiawei Wang, Lewei Liu, Yinghan Tian, Yi-lang Tang, Feng Jiang, and Huanzhong Liu. 2022. "Posttraumatic Stress Symptoms and Attitudes toward the China Eastern Airlines Plane Crash in Transportation Students" International Journal of Environmental Research and Public Health 19, no. 18: 11400. https://doi.org/10.3390/ijerph191811400
APA StyleXia, L., Yang, C., Wang, J., Liu, L., Tian, Y., Tang, Y.-l., Jiang, F., & Liu, H. (2022). Posttraumatic Stress Symptoms and Attitudes toward the China Eastern Airlines Plane Crash in Transportation Students. International Journal of Environmental Research and Public Health, 19(18), 11400. https://doi.org/10.3390/ijerph191811400

