Effects of pH and Metal Ions on the Hydrothermal Treatment of Penicillin: Kinetic, Pathway, and Antibacterial Activity
Abstract
:1. Introduction
2. Materials and Methods
2.1. Reagents and Bacterial Strain
2.2. Hydrothermal Treatment
2.3. Analytical Methods
2.4. Modelling of Penicillin Degradation
2.5. Antibacterial Activity of Penicillin and Its Degradation Products
3. Results and Discussion
3.1. Degradation Characteristics of Penicillin under Neutral Condition
3.2. Effects of pH on Penicillin Degradation at Different Temperatures
3.3. Effect of Metal Ion Species and Concentration on the Degradation Kinetics of Penicillin
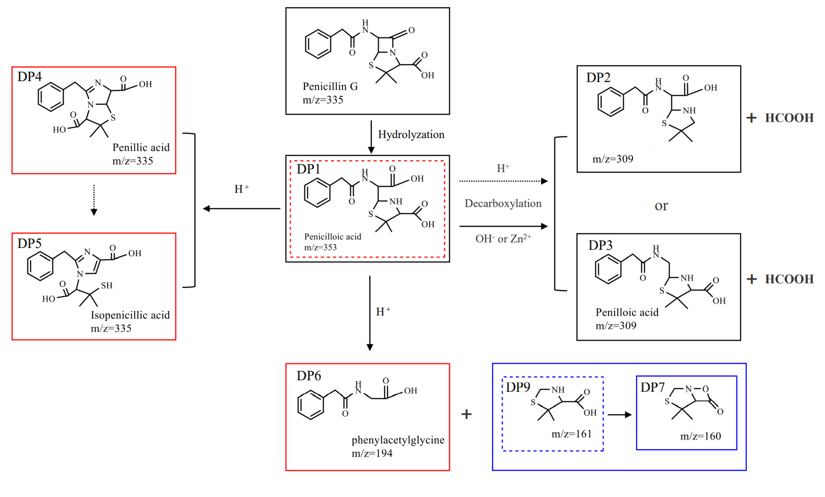
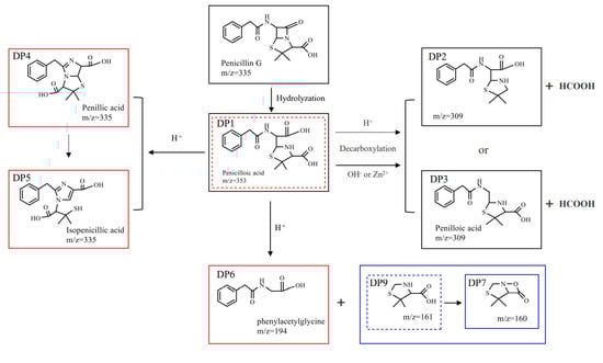
3.4. Degradation Products and Pathway of Penicillin under Different Conditions
3.5. Antibacterial Activity of Penicillin and Hydrothermally Treated Samples
4. Conclusions
Author Contributions
Funding
Institutional Review Board Statement
Informed Consent Statement
Data Availability Statement
Conflicts of Interest
References
- Knapp, C.W.; Dolfing, J.; Ehlert, P.A.I.; Graham, D.W. Evidence of Increasing Antibiotic Resistance Gene Abundances in Archived Soils since 1940. Environ. Sci. 2010, 44, 580–587. [Google Scholar] [CrossRef]
- Ashraf, A.; Liu, G.; Yousaf, B.; Arif, M.; Ahmed, R.; Irshad, S.; Cheema, A.I.; Rashid, A.; Gulzaman, H. Recent trends in advanced oxidation process-based degradation of erythromycin: Pollution status, eco-toxicity and degradation mechanism in aquatic ecosystems. Sci. Total Environ. 2021, 772, 145389. [Google Scholar] [CrossRef] [PubMed]
- Zhang, S.; Chen, Z.; Wen, Q.; Yang, L.; Wang, W.; Zheng, J. Effectiveness of bulking agents for co-composting penicillin mycelial dreg (PMD) and sewage sludge in pilot-scale system. Environ. Sci. Pollut. Res. Int. 2016, 23, 1362–1370. [Google Scholar] [CrossRef] [PubMed]
- Ma, D.; Zhang, G.; Zhao, P.; Areeprasert, C.; Shen, Y.; Yoshikawa, K.; Xu, G. Hydrothermal treatment of antibiotic mycelial dreg: More understanding from fuel characteristics. Chem. Eng. J. 2015, 273, 147–155. [Google Scholar] [CrossRef]
- Wang, B.; Li, G.; Cai, C.; Zhang, J.; Liu, H. Assessing the safety of thermally processed penicillin mycelial dreg following the soil application: Organic matter’s maturation and antibiotic resistance genes. Sci. Total Environ. 2018, 636, 1463–1469. [Google Scholar] [CrossRef]
- Jiang, X.; Feng, Y.; Lv, G.; Du, Y.; Qin, D.; Li, X.; Chi, Y.; Yan, J.; Liu, X. Bioferment Residue: TG-FTIR Study and Cocombustion in a MSW Incineration Plant. Environ. Sci. Technol. 2012, 46, 13539–13544. [Google Scholar] [CrossRef]
- Wang, Q.; Zhang, Z.; Xu, G.; Li, G. Pyrolysis behaviors of antibiotic fermentation residue and wastewater sludge from penicillin production: Kinetics, gaseous products distribution, and nitrogen transformation. J. Anal. Appl. Pyrol. 2021, 158, 105208. [Google Scholar] [CrossRef]
- Hong, C.; Wang, Z.; Si, Y.; Li, Z.; Xing, Y.; Hu, J.; Li, Y. Effects of aqueous phase circulation and catalysts on hydrothermal liquefaction (HTL) of penicillin residue (PR): Characteristics of the aqueous phase, solid residue and bio oil. Sci. Total Environ. 2021, 776, 145596. [Google Scholar] [CrossRef]
- Wang, Q.; Zhang, Z.; Xu, G.; Li, G. Pyrolysis of penicillin fermentation residue and sludge to produce biochar: Antibiotic resistance genes destruction and biochar application in the adsorption of penicillin in water. J. Hazard. Mater. 2021, 413, 125385. [Google Scholar] [CrossRef]
- Yang, L.; Zhang, S.; Chen, Z.; Wen, Q.; Wang, Y. Maturity and security assessment of pilot-scale aerobic co-composting of penicillin fermentation dregs (PFDs) with sewage sludge. Biores. Technol. 2016, 204, 185–191. [Google Scholar] [CrossRef]
- Peterson, A.A.; Vogel, F.; Lachance, R.P.; Fröling, M.; Antal, J.M.J.; Tester, J.W. Thermochemical biofuel production in hydrothermal media: A review of sub- and supercritical water technologies. Energy Environ. Sci. 2008, 1, 32–65. [Google Scholar] [CrossRef]
- Ren, J.; Deng, L.; Li, C.; Dong, L.; Li, Z.; Huhetaoli; Zhang, J.; Niu, D. Effects of added thermally treated penicillin fermentation residues on the quality and safety of composts. J. Environ. Manag. 2021, 283, 111984. [Google Scholar] [CrossRef]
- Zhang, G.; Li, C.; Ma, D.; Zhang, Z.; Xu, G. Anaerobic digestion of antibiotic residue in combination with hydrothermal pretreatment for biogas. Biores. Technol. 2015, 192, 257–265. [Google Scholar] [CrossRef]
- Ren, J.; Deng, L.; Li, C.; Dong, L.; Li, Z.; Zhao, J.; Huhetaoli; Zhang, J.; Niu, D. Safety of composts consisting of hydrothermally treated penicillin fermentation residue: Degradation products, antibiotic resistance genes and bacterial diversity. Environ. Pollut. 2021, 290, 118075. [Google Scholar] [CrossRef]
- Li, M. Organic Chemistry of Drug Degradation; Royal Society of Chemistry: London, UK, 2015. [Google Scholar]
- Yang, L.; Hu, D.; Liu, H.; Wang, X.; Liu, Y.; Xia, Q.; Deng, S.; Hao, Y.; Jin, Y.; Xie, M. Biodegradation pathway of penicillins by beta-lactamase encapsulated in metal-organic frameworks. J. Hazard. Mater. 2021, 414, 125549. [Google Scholar] [CrossRef]
- Berkani, M.; Smaali, A.; Kadmi, Y.; Almomani, F.; Vasseghian, Y.; Lakhdari, N.; Alyane, M. Photocatalytic degradation of Penicillin G in aqueous solutions: Kinetic, degradation pathway, and microbioassays assessment. J. Hazard. Mater. 2022, 421, 126719. [Google Scholar] [CrossRef]
- Sheng, F.; Ling, J.; Wang, C.; Jin, X.; Gu, X.; Li, H.; Zhao, J.; Wang, Y.; Gu, C. Rapid Hydrolysis of Penicillin Antibiotics Mediated by Adsorbed Zinc on Goethite Surfaces. Environ. Sci. Technol. 2019, 53, 10705–10713. [Google Scholar] [CrossRef]
- Chen, J.; Wang, Y.; Qian, Y.; Huang, T. Fe(III)-promoted transformation of beta-lactam antibiotics: Hydrolysis vs oxidation. J. Hazard. Mater. 2017, 335, 117–124. [Google Scholar] [CrossRef]
- Huang, T.; Fang, C.; Qian, Y.; Gu, H.; Chen, J. Insight into Mn(II)-mediated transformation of β-lactam antibiotics: The overlooked hydrolysis. Chem. Eng. J. 2017, 321, 662–668. [Google Scholar] [CrossRef]
- Chen, J.; Sun, P.; Zhou, X.; Zhang, Y.; Huang, C.H. Cu(II)-catalyzed transformation of benzylpenicillin revisited: The overlooked oxidation. Environ. Sci. Technol. 2015, 49, 4218–4225. [Google Scholar] [CrossRef]
- Mitchell, S.M.; Ullman, J.L.; Teel, A.L.; Watts, R.J. pH and temperature effects on the hydrolysis of three beta-lactam antibiotics: Ampicillin, cefalotin and cefoxitin. Sci. Total Environ. 2014, 466–467, 547–555. [Google Scholar] [CrossRef]
- Ren, J.; Fan, B.; Niu, D.; Gu, Y.; Li, C. Biodegradation of Waste Cooking Oils by Klebsiella quasivariicola IUMR-B53 and Characteristics of Its Oil-Degrading Enzyme. Waste Biomass Valorization 2021, 12, 1243–1252. [Google Scholar] [CrossRef]
- Ren, J.; Wang, C.; Li, C.; Fan, B.; Niu, D. Biodegradation of acephate by Bacillus paramycoides NDZ and its degradation pathway. J. Microbiol. Biotechnol. 2020, 36, 155. [Google Scholar] [CrossRef]
- Chu, L.; Zhuang, S.; Wang, J. Degradation kinetics and mechanism of penicillin G in aqueous matrices by ionizing radiation. Radiat. Phys. Chem. 2018, 145, 34–38. [Google Scholar] [CrossRef]
- Aldeek, F.; Canzani, D.; Standland, M.; Crosswhite, M.R.; Hammack, W.; Gerard, G.; Cook, J.M. Identification of Penicillin G Metabolites under Various Environmental Conditions Using UHPLC-MS/MS. J. Agric. Food Chem. 2016, 64, 6100–6107. [Google Scholar] [CrossRef]
- Yan, D.; Wu, X.; Pei, J.; Wu, C.; Wang, X.; Zhao, H. Construction of g-C3N4/TiO2/Ag composites with enhanced visible-light photocatalytic activity and antibacterial properties. Ceram. Int. 2020, 46, 696–702. [Google Scholar] [CrossRef]
- Gong, P.; Liu, H.; Xin, Y.; Wang, G.; Dai, X.; Yao, J. Composting of oxytetracycline fermentation residue in combination with hydrothermal pretreatment for reducing antibiotic resistance genes enrichment. Biores. Technol. 2020, 318, 124271. [Google Scholar] [CrossRef]
- Jain, A.; Balasubramanian, R.; Srinivasan, M.P. Hydrothermal conversion of biomass waste to activated carbon with high porosity: A review. Chem. Eng. J. 2016, 283, 789–805. [Google Scholar] [CrossRef]
- Kheirolomoom, A.; Kazemi-Vaysari, A.; Ardjmand, M.; Baradar-Khoshfetrat, A. The combined effects of pH and temperature on penicillin G decomposition and its stability modeling. Process. Biochem. 1999, 35, 205–211. [Google Scholar] [CrossRef]
- Lu, X.; Xing, H.; Su, B.; Ren, J.J. Effect of buffer solution and temperature on the stability of penicillin G. J. Chem Eng. 2008, 53, 543–547. [Google Scholar] [CrossRef]
- Rose, M.T.; Slavin, M.; Trubiano, J. The democratization of de-labeling: A review of direct oral challenge in adults with low-risk penicillin allergy. Expert Rev. Anti-Infect. Ther. 2020, 18, 1143–1153. [Google Scholar] [CrossRef] [PubMed]
- Bockris, J.O. Theories of Chemical Reaction Rates; Laidler, K.J., Ed.; McGraw-Hill: New York, NY, USA, 1971. [Google Scholar]
- Li, X.; Zheng, W.; Machesky, M.L.; Yates, S.R.; Katterhenry, M. Degradation kinetics and mechanism of antibiotic ceftiofur in recycled water derived from a beef farm. J. Agric. Food Chem. 2011, 59, 10176–10181. [Google Scholar] [CrossRef] [PubMed]
- Hilton, R.J.; Seare, M.C.; Andros, N.D.; Kenealey, Z.; Orozco, C.M.; Webb, M.; Watt, R.K.J.J. Phosphate inhibits in vitro Fe3+ loading into transferrin by forming a soluble Fe(III)–phosphate complex: A potential non-transferrin bound iron species. J. Inorg. Biochem. 2012, 110, 1–7. [Google Scholar] [CrossRef] [PubMed]
- Chen, J.; Sun, P.; Zhang, Y.; Huang, C.H. Multiple Roles of Cu(II) in Catalyzing Hydrolysis and Oxidation of beta-Lactam Antibiotics. Environ. Sci. Technol. 2016, 50, 12156–12165. [Google Scholar] [CrossRef] [PubMed]
- Li, D.; Yang, M.; Hu, J.; Zhang, Y.; Chang, H.; Jin, F. Determination of penicillin G and its degradation products in a penicillin production wastewater treatment plant and the receiving river. Water Res. 2008, 42, 307–317. [Google Scholar] [CrossRef] [PubMed]
- Zhou, J.; An, J.; Dong, C.; Zhang, Y.; Zhao, Q.; Cui, Y.; Jiao, B. Dissipation and residue determination of penicillin G and its two metabolites in citrus under field conditions by DSPE/UPLC-MS/MS. Biomed. Chromatogr. 2020, 34, e4962. [Google Scholar] [CrossRef]
- Hirte, K.; Seiwert, B.; Schuurmann, G.; Reemtsma, T. New hydrolysis products of the beta-lactam antibiotic amoxicillin, their pH-dependent formation and search in municipal wastewater. Water Res. 2016, 88, 880–888. [Google Scholar] [CrossRef]
- Atmaca, S.; Gul, K.; Cicek, R. The effect of zinc on microbial growth. Turk. J. Med. Sci. 1998, 28, 595–598. [Google Scholar]
- Bamberger, D.M.; Herndon, B.L.; Suvarna, P.R. The Effect of Zinc on Microbial Growth and Bacterial Killing by Cefazolin in a Staphylococcus aureus Abscess Milieu. J. Infect. Dis. 1993, 168, 893–896. [Google Scholar] [CrossRef]







| pH | Temperature (°C) | k (min−1) | R2 | Approximated t1/2 (min) | Observed t1/2 (min) |
|---|---|---|---|---|---|
| pH = 4. | 80 | 0.0514 | 0.9918 | 13.48 | 13.61 |
| 90 | 0.0654 | 0.9942 | 10.59 | 10.14 | |
| 100 | 0.1603 | 0.9955 | 4.32 | 4.26 | |
| pH = 6 | 80 | 0.0032 | 0.9946 | 216.56 | 209.01 |
| 90 | 0.0056 | 0.9975 | 123.75 | 131.92 | |
| 100 | 0.0127 | 0.9963 | 54.57 | 57.85 | |
| pH = 7 | 80 | 0.0008 | 0.9984 | 866.25 | >240.00 |
| 90 | 0.0012 | 0.9983 | 577.50 | >240.00 | |
| 100 | 0.0039 | 0.9999 | 177.69 | 174.88 | |
| pH = 8 | 80 | 0.0032 | 0.9957 | 216.56 | 215.41 |
| 90 | 0.0050 | 0.9952 | 138.60 | 127.74 | |
| 100 | 0.0126 | 0.9647 | 55.00 | 34.01 | |
| pH = 10 | 80 | 0.0169 | 0.9752 | 41.01 | 31.11 |
| 90 | 0.0234 | 0.9713 | 29.62 | 20.21 | |
| 100 | 0.0485 | 0.9447 | 14.29 | 12.62 |
| Items | pH | ||||
|---|---|---|---|---|---|
| 4 | 6 | 7 | 8 | 10 | |
| Ea (kJ·mol−1) | 60.80 | 75.36 | 86.37 | 74.82 | 64.50 |
| LnA (min−1) | 17.67 | 19.88 | 22.15 | 19.65 | 17.71 |
| f | 1.766 | 3.97 | 4.88 | 3.94 | 2.87 |
| ΔH≠(kJ·mol−1) | 57.78 | 72.35 | 83.35 | 71.80 | 61.48 |
| ΔS≠(kJ·mol−1) | −107.98 | −89.63 | −70.69 | −91.46 | −107.62 |
Publisher’s Note: MDPI stays neutral with regard to jurisdictional claims in published maps and institutional affiliations. |
© 2022 by the authors. Licensee MDPI, Basel, Switzerland. This article is an open access article distributed under the terms and conditions of the Creative Commons Attribution (CC BY) license (https://creativecommons.org/licenses/by/4.0/).
Share and Cite
Zhang, Q.; Niu, D.; Ni, S.; An, W.; Li, C.; Huhe, T.; Wang, C.; Jiang, X.; Ren, J. Effects of pH and Metal Ions on the Hydrothermal Treatment of Penicillin: Kinetic, Pathway, and Antibacterial Activity. Int. J. Environ. Res. Public Health 2022, 19, 10701. https://doi.org/10.3390/ijerph191710701
Zhang Q, Niu D, Ni S, An W, Li C, Huhe T, Wang C, Jiang X, Ren J. Effects of pH and Metal Ions on the Hydrothermal Treatment of Penicillin: Kinetic, Pathway, and Antibacterial Activity. International Journal of Environmental Research and Public Health. 2022; 19(17):10701. https://doi.org/10.3390/ijerph191710701
Chicago/Turabian StyleZhang, Qiaopan, Dongze Niu, Shensheng Ni, Wenying An, Chunyu Li, Taoli Huhe, Chongqing Wang, Xingmei Jiang, and Jianjun Ren. 2022. "Effects of pH and Metal Ions on the Hydrothermal Treatment of Penicillin: Kinetic, Pathway, and Antibacterial Activity" International Journal of Environmental Research and Public Health 19, no. 17: 10701. https://doi.org/10.3390/ijerph191710701
APA StyleZhang, Q., Niu, D., Ni, S., An, W., Li, C., Huhe, T., Wang, C., Jiang, X., & Ren, J. (2022). Effects of pH and Metal Ions on the Hydrothermal Treatment of Penicillin: Kinetic, Pathway, and Antibacterial Activity. International Journal of Environmental Research and Public Health, 19(17), 10701. https://doi.org/10.3390/ijerph191710701

