Greater Emotional Distress Due to Social Distancing and Greater Symptom Severity during the COVID-19 Pandemic in Individuals with Bipolar Disorder: A Multicenter Study in Austria, Germany, and Denmark
Abstract
:1. Introduction
2. Materials and Methods
2.1. Participants
2.2. Procedure
2.3. Material
- On a scale from 0–10, how strongly do you rate your concerns and fears about the coronavirus?
- On a scale from 0–10, how strongly do you rate your fear of contracting the coronavirus?
- On a scale from 0–10, how strongly do you rate your fear of infecting others with the coronavirus?
2.4. Statistics
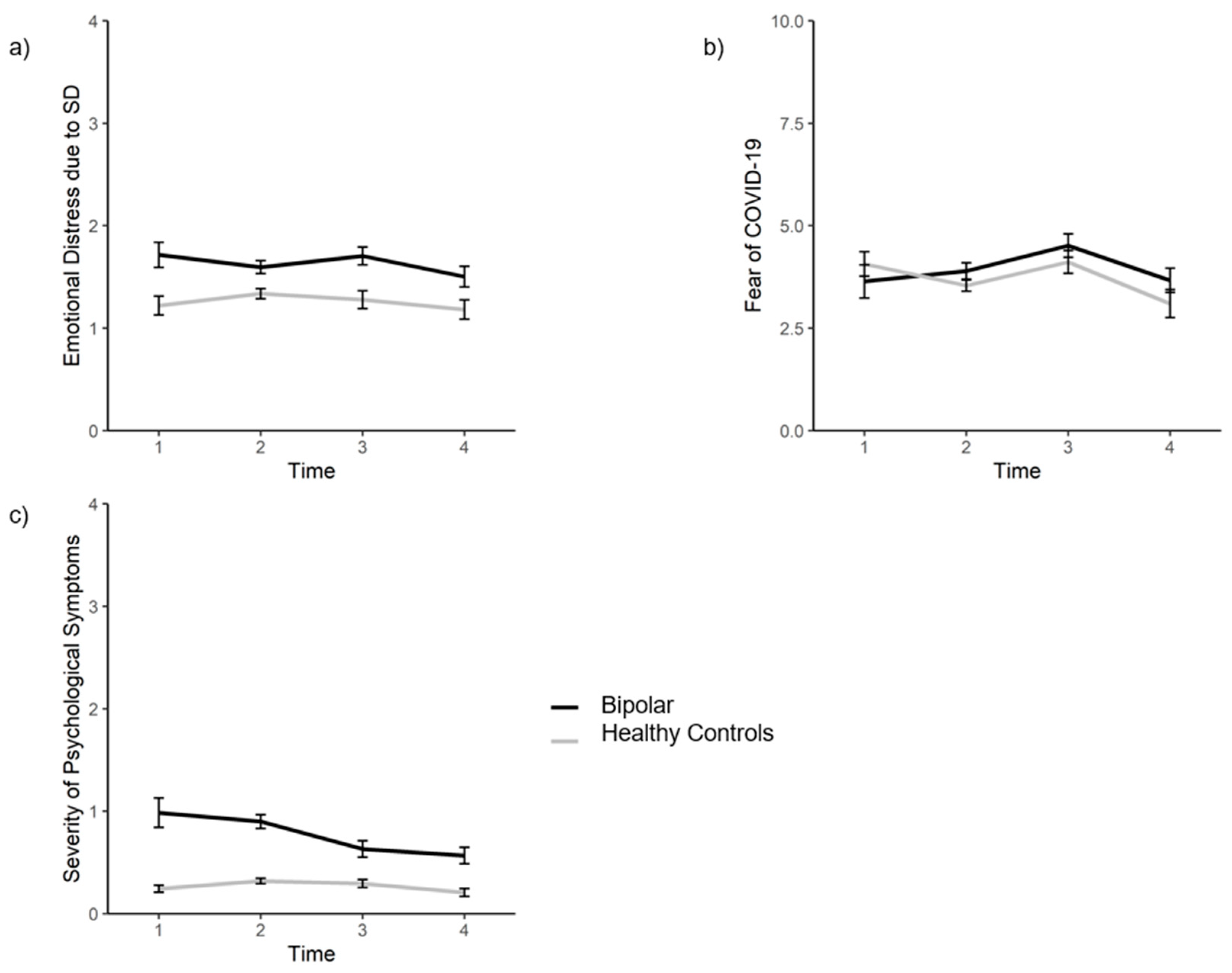
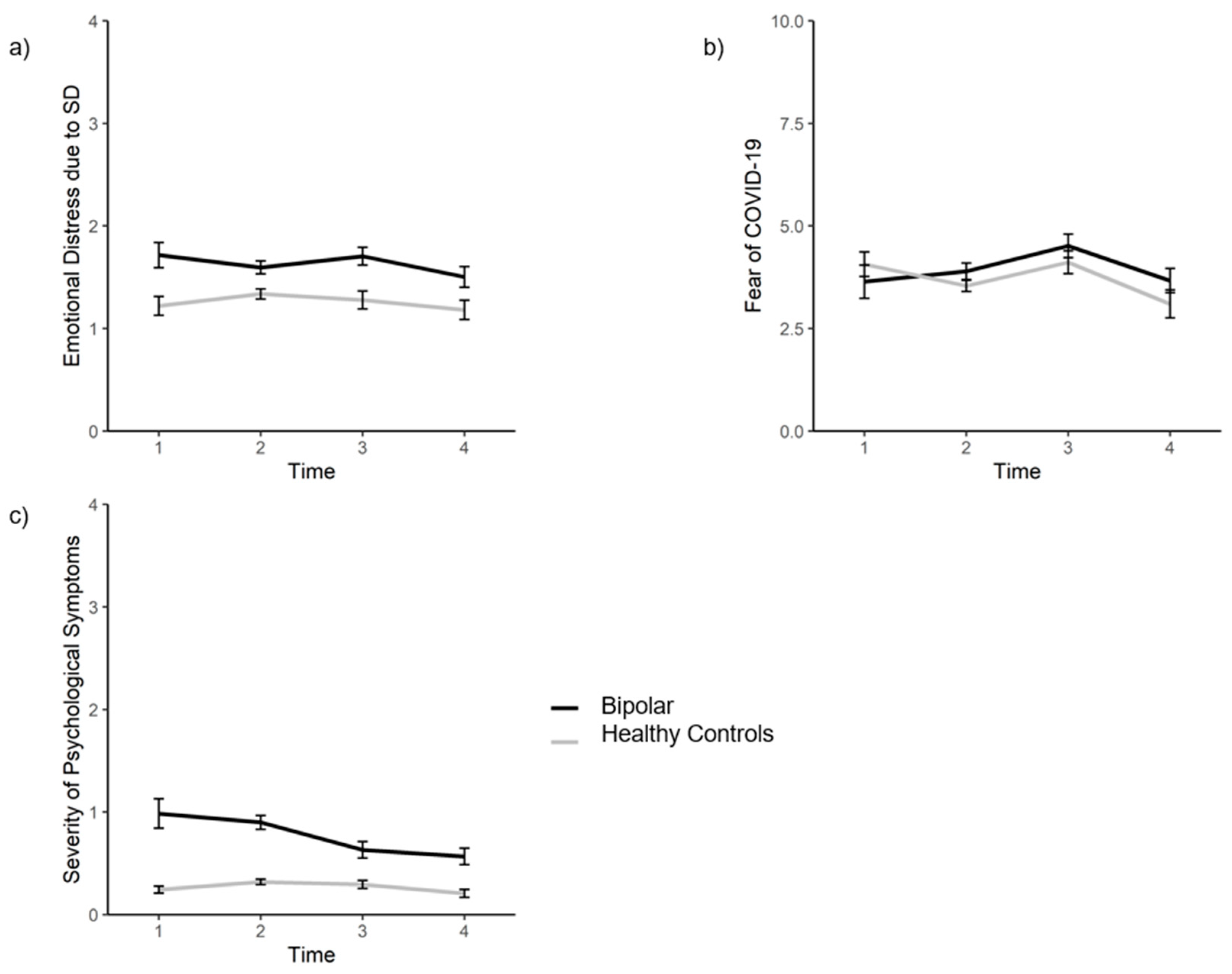
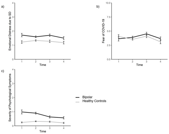
3. Results
Control Analyses
4. Discussion
Limitations
5. Conclusions
Author Contributions
Funding
Institutional Review Board Statement
Informed Consent Statement
Data Availability Statement
Acknowledgments
Conflicts of Interest
References
- Velavan, T.P.; Meyer, C.G. The COVID-19 epidemic. Trop. Med. Int. Health. 2020, 25, 278–280. [Google Scholar] [CrossRef] [PubMed] [Green Version]
- Vervoort, D.; Ma, X.; Luc, J.G.Y. COVID-19 pandemic: A time for collaboration and a unified global health front. Int. J. Qual. Health Care. 2021, 33, 1–3. [Google Scholar] [CrossRef] [PubMed]
- Burlacu, A.; Mavrichi, I.; Crisan-Dabija, R.; Jugrin, D.; Buju, S.; Artene, B.; Covic, A. “Celebrating old age”: An obsolete expression during the COVID-19 pandemic? Medical, social, psychological, and religious consequences of home isolation and loneliness among the elderly. Arch. Med. Sci. 2021, 17, 285–295. [Google Scholar] [CrossRef] [PubMed]
- Mofijur, M.; Fattah, I.M.R.; Alam, M.A.; Islam, A.B.M.S.; Ong, H.C.; Rahman, S.M.A.; Najafi, G.; Ahmed, S.; Uddin, M.A.; Mahlia, T. Impact of COVID-19 on the social, economic, environmental and energy domains: Lessons learnt from a global pandemic. Sustain. Prod. Consum. 2021, 26, 343–359. [Google Scholar] [CrossRef]
- Rasheed, R.; Rizwan, A.; Javed, H.; Sharif, F.; Zaidi, A. Socio-economic and environmental impacts of COVID-19 pandemic in Pakistan—an integrated analysis. Environ. Sci. Pollut Res. 2021, 28, 19926–19943. [Google Scholar] [CrossRef]
- Sarkodie, S.A.; Owusu, P.A. Global assessment of environment, health and economic impact of the novel coronavirus (COVID-19). Environ. Dev. Sustain. 2021, 23, 5005–5015. [Google Scholar] [CrossRef]
- Alzueta, E.; Perrin, P.; Baker, F.C.; Caffarra, S.; Ramos-Usuga, D.; Yuksel, D.; Arango-Lasprilla, J.C. How the COVID-19 pandemic has changed our lives: A study of psychological correlates across 59 countries. J. Clin. Psychol. 2021, 77, 556–570. [Google Scholar] [CrossRef]
- Knolle, F.; Ronan, L.; Murray, G.K. The impact of the COVID-19 pandemic on mental health in the general population: A comparison between Germany and the UK. BMC Psychol. 2021, 9, 60. [Google Scholar] [CrossRef]
- Varma, P.; Junge, M.; Meaklim, H.; Jackson, M.L. Younger people are more vulnerable to stress, anxiety and depression during COVID-19 pandemic: A global cross-sectional survey. Prog. Neuropsychopharmacol. Biol. Psychiatry 2021, 109, 110236. [Google Scholar] [CrossRef]
- Hao, F.; Tan, W.; Jiang, L.; Zhang, L.; Zhao, X.; Zou, Y.; Hu, Y.; Luo, X.; Jiang, X.; McIntyre, R.S.; et al. Do psychiatric patients experience more psychiatric symptoms during COVID-19 pandemic and lockdown? A case-control study with service and research implications for immunopsychiatry. Brain Behav. Immun. 2020, 87, 100–106. [Google Scholar] [CrossRef]
- Gobbi, S.; Płomecka, M.B.; Ashraf, Z.; Radziński, P.; Neckels, R.; Lazzeri, S.; Dedić, A.; Bakalović, A.; Hrustić, L.; Skórko, B.; et al. Worsening of Preexisting Psychiatric Conditions During the COVID-19 Pandemic. Front. Psychiatry 2020, 11, 581426. [Google Scholar] [CrossRef] [PubMed]
- Orhan, M.; Korten, N.; Paans, N.; de Walle, B.; Kupka, R.; van Oppen, P.; Kok, A.; Sonnenberg, C.; Schouws, S.; Dols, A. Psychiatric symptoms during the COVID-19 outbreak in older adults with bipolar disorder. Int. J. Geriatr. Psychiatry 2021, 36, 892–900. [Google Scholar] [CrossRef] [PubMed]
- Barlati, S.; Nibbio, G.; Vita, A. Schizophrenia during the COVID-19 pandemic. Curr. Opin. Psychiatry 2021, 34, 203–210. [Google Scholar] [CrossRef] [PubMed]
- Reininghaus, E.Z.; Manchia, M.; Dalkner, N.; Bonkat, N.; Squassina, A.; Hodl, I.; Vieta, E.; Reif, A.; Hajek, T.; Landén, M.; et al. Outcomes associated with different vaccines in individuals with bipolar disorder and impact on the current COVID-19 pandemic—A systematic review. Eur. Neuropsychopharmacol. 2021, 54, 90–99. [Google Scholar] [CrossRef]
- Yang, H.; Chen, W.; Hu, Y.; Chen, Y.; Zeng, Y.; Sun, Y.; Ying, Z.; He, J.; Qu, Y.; Lu, D.; et al. Pre-pandemic psychiatric disorders and risk of COVID-19: A UK Biobank cohort analysis. Lancet Healthy Longev. 2020, 1, e69–e79. [Google Scholar] [CrossRef]
- Sher, L. The impact of the COVID-19 pandemic on suicide rates. QJM 2020, 113, 707–712. [Google Scholar] [CrossRef]
- Carta, M.G.; Ouali, U.; Perra, A.; Ben Cheikh Ahmed, A.; Boe, L.; Aissa, A.; Lorrai, S.; Cossu, G.; Aresti, A.; Preti, A.; et al. Living With Bipolar Disorder in the Time of COVID-19: Biorhythms During the Severe Lockdown in Cagliari, Italy, and the Moderate Lockdown in Tunis, Tunisia. Front. Psychiatry 2021, 12, 634765. [Google Scholar] [CrossRef]
- Yazdi, K.; Fuchs-Leitner, I.; Rosenleitner, J.; Gerstgrasser, N.W. Impact of the COVID-19 Pandemic on Patients With Alcohol Use Disorder and Associated Risk Factors for Relapse. Front. Psychiatry 2020, 11, 1–10. [Google Scholar] [CrossRef]
- Grande, I.; Berk, M.; Birmaher, B.; Vieta, E. Bipolar disorder. Lancet 2016, 387, 1561–1572. [Google Scholar] [CrossRef]
- Young, J.W.; Dulcis, D. Investigating the mechanism(s) underlying switching between states in bipolar disorder. Eur. J. Pharmacol. 2015, 759, 151–162. [Google Scholar] [CrossRef] [Green Version]
- Edgcomb, J.B.; Tseng, C.H.; Kerner, B. Medically unexplained somatic symptoms and bipolar spectrum disorders: A systematic review and meta-analysis. J. Affect. Disord. 2016, 204, 205–213. [Google Scholar] [CrossRef] [PubMed]
- Goldstein, B.I.; Carnethon, M.R.; Matthews, K.A.; McIntyre, R.S.; Miller, G.E.; Raghuveer, G.; Stoney, C.M.; Wasiak, H.; McCrindle, B.W. Major Depressive Disorder and Bipolar Disorder Predispose Youth to Accellerated Atherosclerosis and Early Cardiovascular Disease. Circulation 2015, 132, 965–986. [Google Scholar] [CrossRef]
- Silarova, B.; Giltay, E.J.; Van Reedt Dortland, A.; Van Rossum, E.F.C.; Hoencamp, E.; Penninx, B.W.J.H.; Spijker, A.T. Metabolic syndrome in patients with bipolar disorder: Comparison with major depressive disorder and non-psychiatric controls. J. Psychosom. Res. 2015, 78, 391–398. [Google Scholar] [CrossRef] [PubMed] [Green Version]
- Bertrand, L.; Schröder, C.; Bourgin, P.; Maruani, J.; Atoui, Y.; d’Ortho, M.-P.; Lejoyeux, M.; Geoffroy, P.A. Sleep and circadian rhythm characteristics in individuals from the general population duing the French COVID-19 full lockdown. J. Sleep Res. 2021, 31, e13480. [Google Scholar] [CrossRef] [PubMed]
- Fornaro, M.; De Prisco, M.; Billeci, M.; Ermini, E.; Young, A.H.; Lafer, B.; Soares, J.C.; Vieta, E.; Quevedo, J.; de Bartolomeis, A.; et al. Implications of the COVID-19 pandemic for people with bipolar disorders: A scoping review. J. Affect. Disord. 2021, 295, 740–751. [Google Scholar] [CrossRef]
- Murray, G.; Gottlieb, J.; Swartz, H.A. Maintaining Daily Routines to Stabilize Mood: Theory, Data, and Potential Intervention for Circadian Consequences of COVID-19. Can. J. Psychiatry 2021, 66, 9–13. [Google Scholar] [CrossRef]
- Van Rheenen, T.E.; Meyer, D.; Neill, E.; Phillipou, A.; Tan, E.J.; Toh, W.L.; Rossell, S.L. Mental health status of individuals with a mood-disorder during the COVID-19 pandemic in Australia: Initial results from the COLLATE project. J. Affect. Disord. 2020, 275, 69–77. [Google Scholar] [CrossRef]
- Dalkner, N.; Wagner-Skacel, J.; Ratzenhofer, M.; Fellendorf, F.; Lenger, M.; Maget, A.; Tmava-Berisha, A.; Pilz, R.; Queissner, R.; Hamm, C.; et al. Psychological symptoms during and after Austrian first lockdown in individuals with bipolar disorder? A follow-up control-group investigation. Int. J. Bipolar Disord. 2021, 9, 16. [Google Scholar] [CrossRef]
- Yocum, A.K.; Zhai, Y.; McInnis, M.G.; Han, P. COVID-19 pandemic and lockdown impacts: A description in a longitudinal study of bipolar disorder. J. Affect. Disord. 2021, 282, 1226–1233. [Google Scholar] [CrossRef]
- Fellendorf, F.T.; Reininghaus, E.Z.; Ratzenhofer, M.; Lenger, M.; Maget, A.; Platzer, M.; Bengesser, S.A.; Birner, A.; Queissner, R.; Hamm, C.; et al. COVID-19-related fears and information frequency predict sleep behavior in bipolar disorder. Brain Behav. 2021, 11, e02182. [Google Scholar] [CrossRef]
- Koenders, M.; Mesbah, R.; Spijker, A.; Boere, E.; de Leeuw, M.; van Hemert, B.; Giltay, E. Effects of the COVID-19 pandemic in a preexisting longitudinal study of patients with recently diagnosed bipolar disorder: Indications for increases in manic symptoms. Brain Behav. 2021, 11, e2326. [Google Scholar] [CrossRef] [PubMed]
- Tundo, A.; Betro’, S.; Necci, R. What Is the Impact of COVID-19 Pandemic on Patients with Pre-Existing Mood or Anxiety Disorder? An Observational Prospective Study. Medicina. 2021, 57, 304. [Google Scholar] [CrossRef] [PubMed]
- Wittchen, H.U.; Zaudig, M.; Fydrich, T. Strukturiertes Klinisches Interview für DSM-IV Achse I und II [Structured Clinical Interview for DSM-IV Axis I and II]. Manual; Hogrefe: Göttingen, Germany, 1997. [Google Scholar]
- Dalkner, N.; Ratzenhofer, M.; Fleischmann, E.; Fellendorf, F.T.; Bengesser, S.; Birner, A.; Maget, A.; Großschädl, K.; Lenger, M.; Platzer, M.; et al. Psychological and behavioral response on the COVID-19 pandemic in individuals with bipolar disorder: A multicenter study. Psychiatry Res. 2022, 310, 114451. [Google Scholar] [CrossRef] [PubMed]
- Sperling, J.D.; Dalkner, N.; Berndt, C.; Fleischman, E.; Ratzenhofer, M.; Martini, J.; Pfennig, A.; Bauer, M.; Reininghaus, E.; Vinberg, M. Physical Health Profile and Associated Behavior During the COVID-19 Pandemic in Patients With Bipolar Disorder. Front Psychiatry 2021, 12, 2139. [Google Scholar] [CrossRef]
- Derogatis, L.R.; Fitzpatrick, M. The SCL-90-R, the Brief Symptom Inventory (BSI), and the BSI-18. In The Use of Psychological Testing for Treatment Planning and Outcomes Assessment: Instruments for Adults, 3rd ed.; Maruish, M.E., Ed.; Lawrence Erlbaum Associates Publishers: Mahwah, NJ, USA, 2004; pp. 1–41. [Google Scholar]
- Derogatis, L.R.; Savitz, K.L. The SCL-90-R, Brief Symptom Inventory, and Matching Clinical Rating Scales. In The Use of Psychological Testing for Treatment Planning and Outcomes Assessment, 2nd ed.; Maruish, M.E., Ed.; Lawrence Erlbaum Associates Publishers: Mahwah, NJ, USA, 1999; pp. 679–724. [Google Scholar]
- Zhang, H.; Paik, M.C. Handling Missing Responses in Generalized Linear Mixed Model Without Specifying Missing Mechanism. J. Biopharm. Stat. 2009, 19, 1001–1017. [Google Scholar] [CrossRef]
- Gbyl, K.; Rostrup, E.; Raghava, J.M.; Andersen, C.; Rosenberg, R.; Larsson, H.B.W.; Videbech, P. Volume of hippocampal subregions and clinical improvement following electroconvulsive therapy in patients with depression. Prog. Neuropsychopharmacol. Biol. Psychiatry 2021, 104, 110048. [Google Scholar] [CrossRef]
- Nie, L. Strong consistency of the maximum likelihood estimator in generalized linear and nonlinear mixed-effects models. Metrika 2006, 63, 123–143. [Google Scholar] [CrossRef]
- Lex, C.; Bäzner, E.; Meyer, T.D. Does stress play a significant role in bipolar disorder? A meta-analysis. J. Affect. Disord. 2017, 208, 298–308. [Google Scholar] [CrossRef]
- Wolkenstein, L.; Zwick, J.C.; Hautzinger, M.; Joormann, J. Cognitive emotion regulation in euthymic bipolar disorder. J. Affect. Disord. 2017, 160, 92–97. [Google Scholar] [CrossRef]
- Green, M.J.; Lino, B.J.; Hwang, E.J.; Sparks, A.; James, C.; Mitchell, P.B. Cognitive regulation of emotion in bipolar I disorder and unaffected biological relatives. Acta Psychiatr Scand. 2011, 124, 307–316. [Google Scholar] [CrossRef]
- Moon, E.; Chang, J.S.; Choi, S.; Ha, T.H.; Cha, B.; Cho, H.S.; Park, J.M.; Lee, B.D.; Lee, Y.M.; Choi, Y.; et al. Characteristics of stress-coping behaviors in patients with bipolar disorders. Psychiatry Res. 2014, 218, 69–74. [Google Scholar] [CrossRef]
- Geirdal, A.Ø.; Ruffolo, M.; Leung, J.; Thygesen, H.; Price, D.; Bonsaksen, T.; Schoultz, M. Mental health, quality of life, wellbeing, loneliness and use of social media in a time of social distancing during the COVID-19 outbreatk. A cross-country comparative study. J. Ment. Health 2021, 30, 148–155. [Google Scholar] [CrossRef]
- Villani, L.; Pastorino, R.; Molinari, E.; Anelli, F.; Ricciardi, W.; Graffigna, G.; Boccia, S. Impact of the COVID-19 pandemic on psychological well-being of students in an Italian university: A web-based cross-sectional survey. Glob. Health 2021, 17, 39. [Google Scholar] [CrossRef]
- Cohen, A.N.; Hammen, C.; Henry, R.M.; Daley, S.E. Effects of stress and social support on recurrence in bipolar disorder. J. Affect. Disord. 2004, 82, 143–147. [Google Scholar] [CrossRef]
- Johnson, L.; Lundström, O.; Åberg-Wistedt, A.; Mathé, A.A. Social support in bipolar disorder: Its relevance to remission and relapse. Bipolar Disord. 2003, 5, 129–137. [Google Scholar] [CrossRef]
- Karrouri, R.; Hammani, Z.; Otheman, Y. Managing Bipolar Disorder in Time of COVID-19 Pandemic. J. Clin. Med. 2020, 1, 20–23. [Google Scholar] [CrossRef]
- Karantonis, J.A.; Rossell, S.L.; Berk, M.; Van Rheenen, T.E. The mental health and lifestyle impacts of COVID-19 on bipolar disorder. J. Affect. Disord. 2021, 282, 442–447. [Google Scholar] [CrossRef]


| Austria | Germany | Denmark | |||||||
|---|---|---|---|---|---|---|---|---|---|
| Restrictions | Infection (per 100.000) | Mortality (per 100.000) | Restrictions | Infection (per 100.000) | Mortality (per 100.000) | Restrictions | Infection (per 100.000) | Mortality (per 100.000) | |
| Baseline (Graz: 9–28 April 2020) | Social distancing; mandatory face masks in stores and public transport; all hotels, bars, and stores closed except for daily-needs stores; prohibition of events: closed schools and kindergartens; no travels or visits; no going outside without necessity | 193 | 19 | Social distancing (>1.50 m); mandatory face masks in stores, public transport; all hotels, bars, and stores closed expect for daily-needs stores; prohibition of events; closed schools and kindergartens; no travels or visits; no going outside without necessity | 3.020 | 223 | Social distancing; mandatory face masks; some shops remain open; prohibition of events; re-opening of schools and kindergartens; no travels or visits; going outside is possible without necessity | 193 | 13 |
| First Follow-Up (Graz: 5 May to 4 June 2020; Dresden: 17 June to 22 September 2020; Copenhagen: 15 June to 22 September) | Social distancing (>1 m); face masks in all public indoor areas; small stores and leisure parks re-open; events up to 10 people allowed; no travels or visits; gastronomy remains closed; school lessons and kindergarten in shifts with parted groups | 34 | 3 | Social distancing (>1.50 m); obligatory face masks in all public indoor areas; stores and some gastronomy re-opens under strict conditions; no travels or visits; school lessons and kindergartens in shifts with parted groups | 1.224 | 23 | Ease of rules; shops, bars, and restaurants re-open; schools and kindergartens re-open; universities and higher grades remain closed; restricted number of employees at workspace allowed | 255 | 2 |
| Second Follow-Up (Graz, Dresden: 5 November 2020 to 7 January 2021) | Social distancing; no going outside without necessity; mandatory face masks in all public indoor areas; re-closure of stores, universities, and secondary schools; gastronomy remains closed; schools and kindergartens in shifts | 4.978 | 42 | Social distancing; public gatherings with max. 10 people from two households; closure of leisure time activities and gastronomy; no travels and visits; schools and kindergartens remain open | 33.947 | 657 | Social distancing; local lockdowns; public gatherings limited to 10 people; bars and restaurants close at 22:00; mandatory face masks in indoor public areas; universities, secondary schools remain closed; indoor events prohibited | 1533 | 21 |
| Third Follow-Up (Graz, Dresden: 10 July to 8 September 2021) | Loosened social distancing; face masks only mandatory in supermarkets, public transport, and health care; schools, kindergartens, and universities fully re-opened; visit of bars, restaurants, hotels, and events and travelling possible if one is fully vaccinated, tested, or recovered from COVID-19 | 1.215 | 2 | Loosened social distancing; face masks mandatory in stores, public transport, and health care; schools, kindergartens, and universities fully re-opened; visit of bars, restaurants, hotels, and events and travelling possible if one is fully vaccinated, tested, or recovered from COVID-19 | 2.960 | 4 | All COVID-19-related restrictions are removed due to high vaccination rate | 517 | 3 |
| Variable | Group | ||
|---|---|---|---|
| BD | HC | ||
| Baseline Assessment | Total (N) | 41 | 40 |
| Center Graz (n = 81) | Age (M, SD) | 49.95, 14.33 | 31.95, 7.86 |
| (9–28 April 2020) | Sex (n, %) | ||
| Male | 24 (58.54%) | 10 (25%) | |
| Female | 17 (41.46%) | 30 (75%) | |
| Education (n, %) | |||
| GCSE/O levels | 2 (5%) | 0 (0%) | |
| Apprenticeship | 13 (32.5%) | 1 (2.5%) | |
| A- Levels | 12 (30%) | 9 (22.5%) | |
| Bachelor’s degree | 2 (5%) | 9 (22.5%) | |
| Master’s degree | 10 (25%) | 16 (40%) | |
| Doctoral level | 1 (2.5%) | 5 (12.5%) | |
| First Follow-Up | Total (N) | 127 | 214 |
| Centers Graz (n = 214) | Age | 40.95, 15.13 | 35.60, 12.90 |
| (5 May to 4 June 2020) | Sex (n, %) | ||
| Male | 84 (66.14%) | 151 (70.56%) | |
| Dresden (n = 78) | Female | 43 (33.86%) | 63 (29.44%) |
| (17 June to 22 September 2020) | Education | ||
| Copenhagen (n = 49) | no formal education | 5 (3.94%) | 10 (4.67%) |
| (15 June to 22 September 2020) | GCSE/O levels | 0 (0%) | 0 (0%) |
| Apprenticeship | 28 (22.04%) | 21 (9.81%) | |
| A- Levels | 40 (31.50%) | 32 (14.96%) | |
| Bachelor’s degree | 25 (19.69%) | 23 (10.75%) | |
| Master’s degree | 26 (20.47%) | 91 (42.52%) | |
| Doctoral level | 3 (2.36%) | 37 (17.29%) | |
| Second Follow-Up | Total (N) | 60 | 57 |
| Centers Graz (n = 61), | Age | 46.46, 15.21 | 36.63, 13.71 |
| Dresden (n = 56) | Sex (n, %) | ||
| (5 November 2020 to 7 January 2021) | Male | 33 (55%) | 49 (85.96%) |
| Female | 27 (45%) | 8 (14.04%) | |
| Education | |||
| no formal education | 1 (1.67%) | 0 (0%) | |
| GCSE/O levels | 2 (3.33%) | 1 (1.75%) | |
| Apprenticeship | 19 (31.67%) | 4 (7.02%) | |
| A- Levels | 20 (33.33%) | 9 (15.79%) | |
| Bachelor’s degree | 5 (8.33%) | 12 (21.05%) | |
| Master’s degree | 11 (18.33%) | 24 (42.11%) | |
| Doctoral level | 2 (3.33%) | 7 (12.28%) | |
| Third Follow-Up | Total (N) | 47 | 41 |
| Centers Graz (n = 50), | Age | 48.17, 13.53 | 39.93, 12.69 |
| Dresden (n = 38) | Sex (n, %) | ||
| (10 July to 8 September 2021) | Male | 22 (46.81%) | 36 (87.80%) |
| Female | 25 (53.20%) | 5 (12.20%) | |
| Education | |||
| no formal education | 2 (4.26%) | 0 (0%) | |
| GCSE/O levels | 2 (4.26%) | 1 (2.44%) | |
| Apprenticeship | 15 (31.91%) | 4 (9.76%) | |
| A- Levels | 11 (23.40%) | 6 (14.63%) | |
| Bachelor’s degree | 2 (4.25%) | 5 (12.20%) | |
| Master’s degree | 13 (27.66%) | 18 (43.90%) | |
| Doctoral level | 2 (4.26%) | 7 (17.07%) | |
Publisher’s Note: MDPI stays neutral with regard to jurisdictional claims in published maps and institutional affiliations. |
© 2022 by the authors. Licensee MDPI, Basel, Switzerland. This article is an open access article distributed under the terms and conditions of the Creative Commons Attribution (CC BY) license (https://creativecommons.org/licenses/by/4.0/).
Share and Cite
Schönthaler, E.M.D.; Dalkner, N.; Ratzenhofer, M.; Fleischmann, E.; Fellendorf, F.T.; Bengesser, S.A.; Birner, A.; Maget, A.; Lenger, M.; Platzer, M.; et al. Greater Emotional Distress Due to Social Distancing and Greater Symptom Severity during the COVID-19 Pandemic in Individuals with Bipolar Disorder: A Multicenter Study in Austria, Germany, and Denmark. Int. J. Environ. Res. Public Health 2022, 19, 7626. https://doi.org/10.3390/ijerph19137626
Schönthaler EMD, Dalkner N, Ratzenhofer M, Fleischmann E, Fellendorf FT, Bengesser SA, Birner A, Maget A, Lenger M, Platzer M, et al. Greater Emotional Distress Due to Social Distancing and Greater Symptom Severity during the COVID-19 Pandemic in Individuals with Bipolar Disorder: A Multicenter Study in Austria, Germany, and Denmark. International Journal of Environmental Research and Public Health. 2022; 19(13):7626. https://doi.org/10.3390/ijerph19137626
Chicago/Turabian StyleSchönthaler, Elena M. D., Nina Dalkner, Michaela Ratzenhofer, Eva Fleischmann, Frederike T. Fellendorf, Susanne A. Bengesser, Armin Birner, Alexander Maget, Melanie Lenger, Martina Platzer, and et al. 2022. "Greater Emotional Distress Due to Social Distancing and Greater Symptom Severity during the COVID-19 Pandemic in Individuals with Bipolar Disorder: A Multicenter Study in Austria, Germany, and Denmark" International Journal of Environmental Research and Public Health 19, no. 13: 7626. https://doi.org/10.3390/ijerph19137626
APA StyleSchönthaler, E. M. D., Dalkner, N., Ratzenhofer, M., Fleischmann, E., Fellendorf, F. T., Bengesser, S. A., Birner, A., Maget, A., Lenger, M., Platzer, M., Queissner, R., Tmava-Berisha, A., Berndt, C., Martini, J., Bauer, M., Sperling, J. D., Vinberg, M., & Reininghaus, E. Z. (2022). Greater Emotional Distress Due to Social Distancing and Greater Symptom Severity during the COVID-19 Pandemic in Individuals with Bipolar Disorder: A Multicenter Study in Austria, Germany, and Denmark. International Journal of Environmental Research and Public Health, 19(13), 7626. https://doi.org/10.3390/ijerph19137626

