Elbow Joint Position and Force Senses in Young and Adult Untrained People and Gymnasts
Abstract
:1. Introduction
2. Materials and Methods
2.1. Experimental Approach to the Problem
2.2. Participants
2.3. Procedures
2.3.1. Joint Position Sense
2.3.2. Force Sense
2.4. Data Analysis
2.5. Statistical Analyses
3. Results
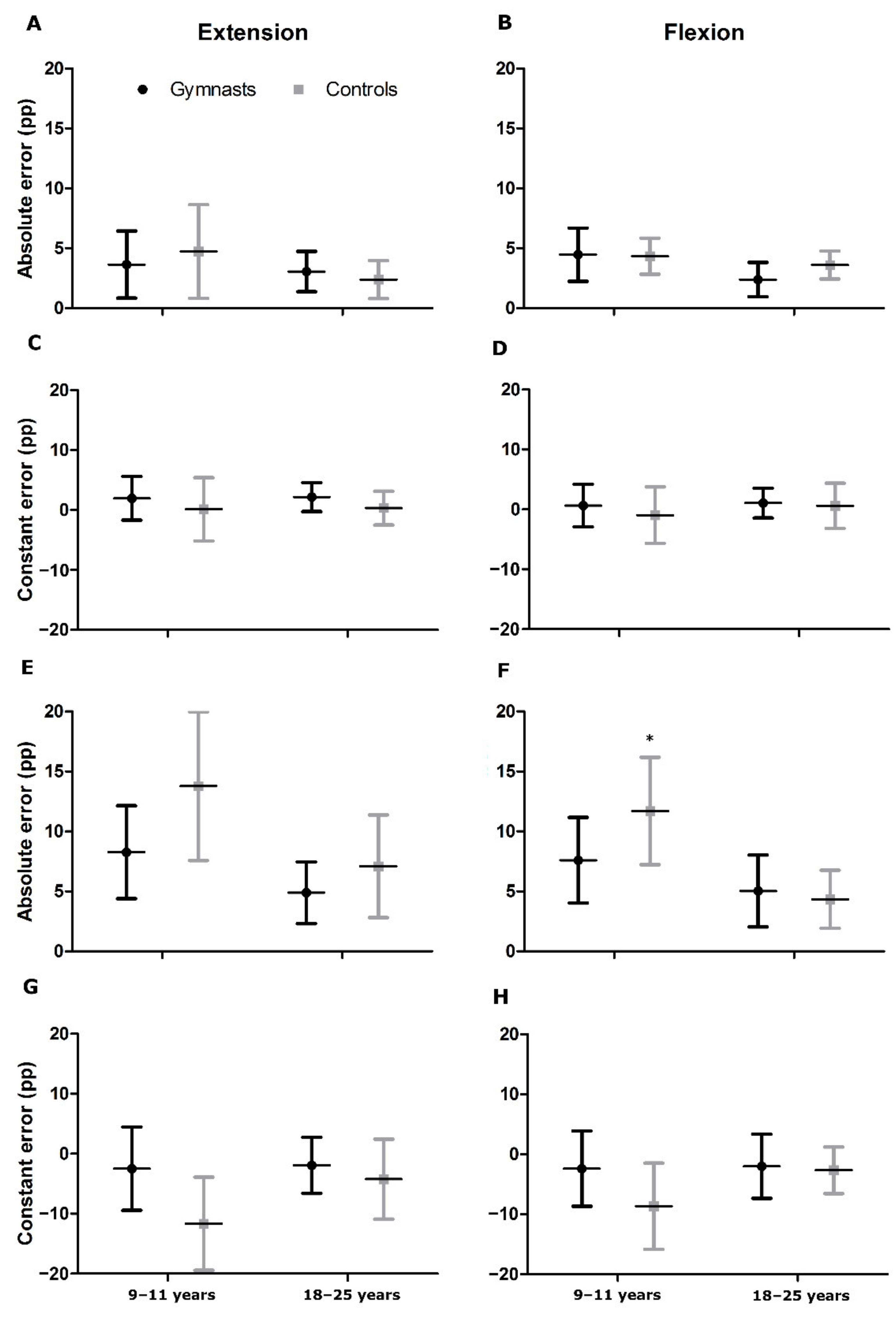
3.1. Joint Position Sense
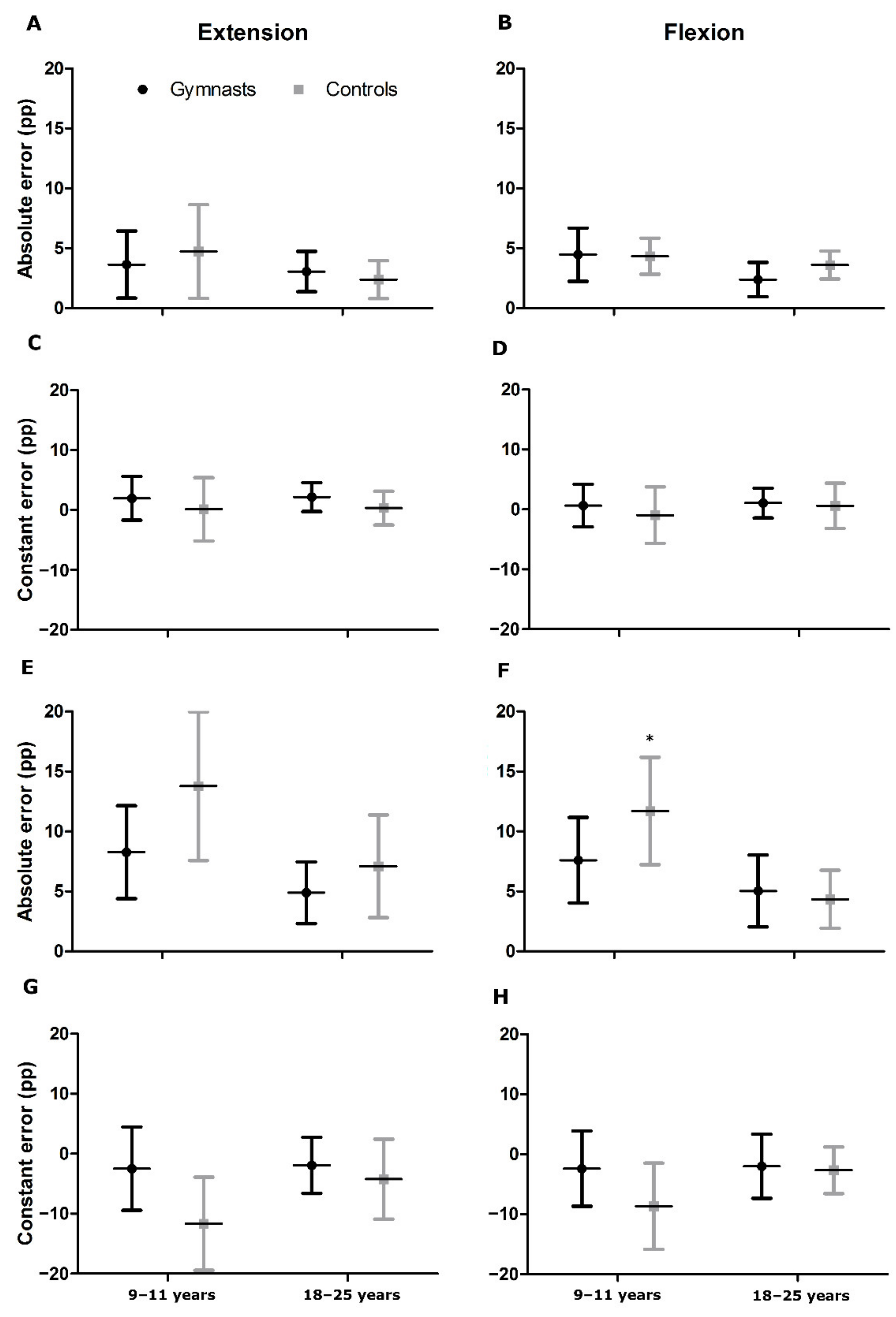
3.2. Force Sense
4. Discussion
5. Conclusions
Author Contributions
Funding
Institutional Review Board Statement
Informed Consent Statement
Data Availability Statement
Conflicts of Interest
References
- De Vasconcelos, G.S.; Cini, A.; Sbruzzi, G.; Lima, C.S. Effects of proprioceptive training on the incidence of ankle sprain in athletes: Systematic review and meta-analysis. Clin. Rehabil. 2018, 32, 1581–1590. [Google Scholar] [CrossRef] [PubMed]
- Oshima, T.; Nakase, J.; Kitaoka, K.; Shima, Y.; Numata, H.; Takata, Y.; Tsuchiya, H. Poor static balance is a risk factor for non-contact anterior cruciate ligament injury. Arch. Orthop. Trauma Surg. 2018, 138, 1713–1718. [Google Scholar] [CrossRef] [PubMed]
- Proske, U.; Gandevia, S.C. The proprioceptive senses: Their roles in signaling body shape, body position and movement, and muscle force. Physiol. Rev. 2012, 92, 1651–1697. [Google Scholar] [CrossRef]
- Proske, U. Kinesthesia: The role of muscle receptors. Muscle Nerve 2006, 34, 545–558. [Google Scholar] [CrossRef] [PubMed]
- Proske, U.; Allen, T. The neural basis of the senses of effort, force and heaviness. Exp. Brain Res. 2019, 237, 589–599. [Google Scholar] [CrossRef] [PubMed]
- Scotland, S.; Adamo, D.E.; Martin, B.J. Sense of effort revisited: Relative contributions of sensory feedback and efferent copy. Neurosci. Lett. 2014, 561, 208–212. [Google Scholar] [CrossRef] [PubMed]
- Goble, D.J.; Baweja, H.S. Normative Data for the BTrackS Balance Test of Postural Sway: Results from 16,357 Community-Dwelling Individuals Who Were 5 to 100 Years Old. Phys. Ther. 2018, 98, 779–785. [Google Scholar] [CrossRef] [Green Version]
- Goble, D.J.; Lewis, C.A.; Hurvitz, E.A.; Brown, S.H. Development of upper limb proprioceptive accuracy in children and adolescents. Hum. Mov. Sci. 2005, 24, 155–170. [Google Scholar] [CrossRef]
- Dunn, W.; Griffith, J.W.; Sabata, D.; Morrison, M.T.; MacDermid, J.C.; Darragh, A.; Schaaf, R.; Dudgeon, B.; Connor, L.T.; Carey, L.; et al. Measuring change in somatosensation across the lifespan. Am. J. Occup. Ther. 2015, 69, 1–9. [Google Scholar] [CrossRef] [Green Version]
- Visser, J.; Geuze, R.H. Kinaesthetic acuity in adolescent boys: A longitudinal study. Dev. Med. Child Neurol. 2000, 42, 93–96. [Google Scholar] [CrossRef]
- Paus, T.; Zijdenbos, A.; Worsley, K.; Collins, D.L.; Blumenthal, J.; Giedd, J.N.; Rapoport, J.L.; Evans, A.C. Structural maturation of neural pathways in children and adolescents: In vivo study. Science 1999, 283, 1908–1911. [Google Scholar] [CrossRef]
- Luu, B.L.; Day, B.L.; Cole, J.D.; Fitzpatrick, R.C. The fusimotor and reafferent origin of the sense of force and weight. J. Physiol. 2011, 589, 3135–3147. [Google Scholar] [CrossRef]
- Venancio, J.; Lopes, D.; Lourenco, J.; Ribeiro, F. Knee joint position sense of roller hockey players: A comparative study. Sports Biomech. 2016, 15, 162–168. [Google Scholar] [CrossRef]
- Niespodzinski, B.; Kochanowicz, A.; Mieszkowski, J.; Piskorska, E.; Zychowska, M. Relationship between Joint Position Sense, Force Sense, and Muscle Strength and the Impact of Gymnastic Training on Proprioception. BioMed Res. Int. 2018, 2018, 5353242. [Google Scholar] [CrossRef]
- Kiefer, A.W.; Riley, M.A.; Shockley, K.; Sitton, C.A.; Hewett, T.E.; Cummins-Sebree, S.; Haas, J.G. Lower-limb proprioceptive awareness in professional ballet dancers. J. Danc. Med. Sci. Off. Publ. Int. Assoc. Danc. Med. Sci. 2013, 17, 126–132. [Google Scholar] [CrossRef]
- Dotan, R.; Mitchell, C.J.; Cohen, R.; Gabriel, D.; Klentrou, P.; Falk, B. Explosive sport training and torque kinetics in children. Appl. Physiol. Nutr. Metab. Physiol. Appl. Nutr. Et Metab. 2013, 38, 740–745. [Google Scholar] [CrossRef]
- Goble, D.J.; Rauh, M.J.; Baweja, H.S. Normative Data for the BTrackS Balance Test Concussion-Management Tool: Results From 10 045 Athletes Aged 8 to 21 Years. J. Athl. Train. 2019, 54, 439–444. [Google Scholar] [CrossRef] [Green Version]
- Salles, J.I.; Velasques, B.; Cossich, V.; Nicoliche, E.; Ribeiro, P.; Amaral, M.V.; Motta, G. Strength training and shoulder proprioception. J. Athl. Train. 2015, 50, 277–280. [Google Scholar] [CrossRef] [Green Version]
- Proske, U.; Tsay, A.; Allen, T. Muscle thixotropy as a tool in the study of proprioception. Exp. Brain Res. 2014, 232, 3397–3412. [Google Scholar] [CrossRef]
- Missitzi, J.; Geladas, N.; Misitzi, A.; Misitzis, L.; Classen, J.; Klissouras, V. Heritability of proprioceptive senses. J. Appl. Physiol. 2018, 125, 972–982. [Google Scholar] [CrossRef] [Green Version]
- Cohen, J. Statistical Power Analysis for the Behavioral Sciences; Erlbaum: Hillsdale, NJ, USA, 1988. [Google Scholar]
- Nudo, R. Adaptive plasticity in motor cortex: Implications for rehabilitation after brain injury. J. Rehabil. Med. 2003, 35, 7–10. [Google Scholar] [CrossRef] [Green Version]
- Duzgun, I.; Kanbur, N.O.; Baltaci, G.; Aydin, T. Effect of Tanner stage on proprioception accuracy. J. Foot Ankle Surg. Off. Publ. Am. Coll. Foot Ankle Surg. 2011, 50, 11–15. [Google Scholar] [CrossRef] [PubMed]
- Winter, J.A.; Allen, T.J.; Proske, U. Muscle spindle signals combine with the sense of effort to indicate limb position. J. Physiol. 2005, 568, 1035–1046. [Google Scholar] [CrossRef]
- Dotan, R.; Mitchell, C.; Cohen, R.; Gabriel, D.; Klentrou, P.; Falk, B. Child-adult differences in the kinetics of torque development. J. Sports Sci. 2013, 31, 945–953. [Google Scholar] [CrossRef] [PubMed] [Green Version]
- Dimitriou, M. Human muscle spindle sensitivity reflects the balance of activity between antagonistic muscles. J. Neurosci. Off. J. Soc. Neurosci. 2014, 34, 13644–13655. [Google Scholar] [CrossRef]
- Myers, J.B.; Lephart, S.M. The role of the sensorimotor system in the athletic shoulder. J. Athl. Train. 2000, 35, 351–363. [Google Scholar] [PubMed]
- Fong, S.; Tsang, W.; Ng, G. Lower limb joint sense, muscle strength and postural stability in adolescent Taekwondo practitioners. Int. SportMed J. 2013, 14, 44–52. [Google Scholar]
- Aydin, T.; Yildiz, Y.; Yildiz, C.; Atesalp, S.; Kalyon, T.A. Proprioception of the ankle: A comparison between female teenaged gymnasts and controls. Foot Ankle Int. 2002, 23, 123–129. [Google Scholar] [CrossRef]
- Lephart, S.M.; Giraldo, J.L.; Borsa, P.A.; Fu, F.H. Knee joint proprioception: A comparison between female intercollegiate gymnasts and controls. Knee Surg. Sports Traumatol. Arthrosc. Off. J. ESSKA 1996, 4, 121–124. [Google Scholar] [CrossRef]
- Kochanowicz, A.; Niespodzinski, B.; Mieszkowski, J.; Kochanowicz, K.; Sawczyn, S. The effect of gymnastic training on muscle strength and co-activation during isometric elbow and glenohumeral flexion/extension. J. Sports Med. Phys. Fit. 2017, 58, 966–973. [Google Scholar] [CrossRef]
- Walsh, L.D.; Proske, U.; Allen, T.J.; Gandevia, S.C. The contribution of motor commands to position sense differs between elbow and wrist. J. Physiol. 2013, 591, 6103–6114. [Google Scholar] [CrossRef] [Green Version]
- Kochanowicz, A.; Niespodzinski, B.; Mieszkowski, J.; Sawczyn, S.; Cieszczyk, P.; Kochanowicz, K. Neuromuscular and Torque Kinetic Changes After 10 Months of Explosive Sport Training in Prepubertal Gymnasts. Pediatric Exerc. Sci. 2019, 31, 77–84. [Google Scholar] [CrossRef] [PubMed]
- Celichowski, J. Mechanisms underlying the regulation of motor unit contraction in the skeletal muscle. J. Physiol. Pharmacol. Off. J. Pol. Physiol. Soc. 2000, 51, 17–33. [Google Scholar]
- Smith, B.I.; Docherty, C.L.; Simon, J.; Klossner, J.; Schrader, J. Ankle strength and force sense after a progressive, 6-week strength-training program in people with functional ankle instability. J. Athl. Train. 2012, 47, 282–288. [Google Scholar] [CrossRef] [PubMed] [Green Version]
- Relph, N.; Herrington, L. The effects of knee direction, physical activity and age on knee joint position sense. Knee 2016, 23, 393–398. [Google Scholar] [CrossRef]
- Ribeiro, F.; Oliveira, J. Effect of physical exercise and age on knee joint position sense. Arch. Gerontol. Geriatr. 2010, 51, 64–67. [Google Scholar] [CrossRef]
- Daneshjoo, A.; Mokhtar, A.H.; Rahnama, N.; Yusof, A. The effects of comprehensive warm-up programs on proprioception, static and dynamic balance on male soccer players. PLoS ONE 2012, 7, e51568. [Google Scholar] [CrossRef]
- Sánchez-Lastra, M.A.; Varela, S.; Cancela, J.M.; Ayán, C. Improving Children’s Coordination with Proprioceptive Training. Apunt. Educ. Física I Esports 2019, 35, 22–35. [Google Scholar] [CrossRef]
- Faul, F.; Erdfelder, E.; Buchner, A.; Lang, A.G. Statistical power analyses using G*Power 3.1: Tests for correlation and regression analyses. Behav. Res. Methods 2009, 41, 1149–1160. [Google Scholar] [CrossRef] [Green Version]


| Characteristics | 9–11-Year-Olds | 18–25-Year-Olds | ||
|---|---|---|---|---|
| Gymnasts | Controls | Gymnasts | Controls | |
| Age (years) | 11.07 ± 0.65 | 10.47 ± 0.73 | 20.20± 2.40 | 20.07 ± 0.80 |
| Body mass (kg) | 35.22 ± 4.98 | 37.54 ± 6.29 | 67.24 ± 5.05 * | 73.17 ± 6.29 |
| Body height (cm) | 142.12 ± 6.69 | 144.5 ± 6.92 | 169.97 ± 3.87 ** | 178.26 ± 4.22 |
| Training experience (years) a | 5.07 ± 0.65 | - | 14.2 ± 2.40 | - |
| Training volume (hours/week) a | 14 | - | 24 | - |
| Task | Examined Muscles | Measured Error | Effect | F Statistics (df) | p-Value | Effect Size (ƞ2) | Significant Outcome |
|---|---|---|---|---|---|---|---|
| 20% of MVC | Ext. | AE | Age | 4.40 (1, 49) | 0.04 * | 0.08 | A1 > A2 |
| Group | 0.10 (1, 49) | 0.75 | <0.01 | ||||
| Group × age | 1.60 (1, 49) | 0.21 | 0.03 | ||||
| CE | Age | 0.04 (1, 49) | 0.84 | <0.01 | |||
| Group | 3.50 (1, 49) | 0.07 | 0.07 | ||||
| Group × age | <0.01 (1, 49) | 1.00 | <0.01 | ||||
| Flex. | AE | Age | 9.81 (1, 49) | <0.01 ** | 0.17 | A1 > A2 | |
| Group | 1.47 (1, 49) | 0.23 | 0.03 | ||||
| Group × age | 2.23 (1, 49) | 0.14 | 0.04 | ||||
| CE | Age | 0.96 (1, 49) | 0.33 | 0.02 | |||
| Group | 1.04 (1, 49) | 0.31 | 0.02 | ||||
| Group × age | 0.32 (1, 49) | 0.57 | <0.01 | ||||
| 50% of MVC | Ext. | AE | Age | 18.25 (1, 49) | <0.01 *** | 0.27 | A1 > A2 |
| Group | 10.74 (1, 49) | <0.01 ** | 0.18 | G < C | |||
| Group × age | 1.97 (1, 49) | 0.17 | 0.04 | ||||
| CE | Age | 4.91 (1, 49) | <0.03 * | 0.09 | A1 < A2 | ||
| Group | 10.14 (1, 49) | <0.01 ** | 0.17 | C < G | |||
| Group × age | 3.65 (1, 49) | 0.06 | 0.07 | ||||
| Flex. | AE | Age | 28.70 (1, 49) | <0.01 *** | 0.37 | A1 > A2 | |
| Group | 3.42 (1, 49) | 0.07 | 0.07 | ||||
| Group × age | 6.69 (1, 49) | 0.01 | 0.12 | G1, G2, C2 < C1 | |||
| CE | Age | 4.17 (1, 49) | <0.05 * | 0.08 | A1 < A2 | ||
| Group | 4.87 (1, 49) | 0.03 * | 0.09 | C < G | |||
| Group × age | 3.19 (1, 49) | 0.08 | 0.06 |
Publisher’s Note: MDPI stays neutral with regard to jurisdictional claims in published maps and institutional affiliations. |
© 2022 by the authors. Licensee MDPI, Basel, Switzerland. This article is an open access article distributed under the terms and conditions of the Creative Commons Attribution (CC BY) license (https://creativecommons.org/licenses/by/4.0/).
Share and Cite
Niespodziński, B.; Mieszkowski, J.; Sawczyn, S.; Kochanowicz, K.; Szulc, A.; Zasada, M.; Kochanowicz, A. Elbow Joint Position and Force Senses in Young and Adult Untrained People and Gymnasts. Int. J. Environ. Res. Public Health 2022, 19, 7592. https://doi.org/10.3390/ijerph19137592
Niespodziński B, Mieszkowski J, Sawczyn S, Kochanowicz K, Szulc A, Zasada M, Kochanowicz A. Elbow Joint Position and Force Senses in Young and Adult Untrained People and Gymnasts. International Journal of Environmental Research and Public Health. 2022; 19(13):7592. https://doi.org/10.3390/ijerph19137592
Chicago/Turabian StyleNiespodziński, Bartłomiej, Jan Mieszkowski, Stanisław Sawczyn, Kazimierz Kochanowicz, Adam Szulc, Mariusz Zasada, and Andrzej Kochanowicz. 2022. "Elbow Joint Position and Force Senses in Young and Adult Untrained People and Gymnasts" International Journal of Environmental Research and Public Health 19, no. 13: 7592. https://doi.org/10.3390/ijerph19137592
APA StyleNiespodziński, B., Mieszkowski, J., Sawczyn, S., Kochanowicz, K., Szulc, A., Zasada, M., & Kochanowicz, A. (2022). Elbow Joint Position and Force Senses in Young and Adult Untrained People and Gymnasts. International Journal of Environmental Research and Public Health, 19(13), 7592. https://doi.org/10.3390/ijerph19137592

