Re-Developing the Adversity Response Profile for Chinese University Students
Abstract
:1. Introduction
1.1. Adversity Quotient
1.2. Instruments Assessing Adversity Quotient
1.3. Current Study
2. Materials and Methods
2.1. Participants
2.2. Instruments
2.3. Procedure
2.4. Data Analysis
3. Results
3.1. Exploratory Factor Analysis (EFA)
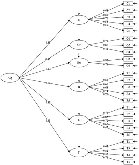
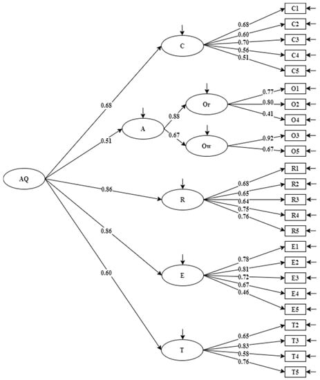
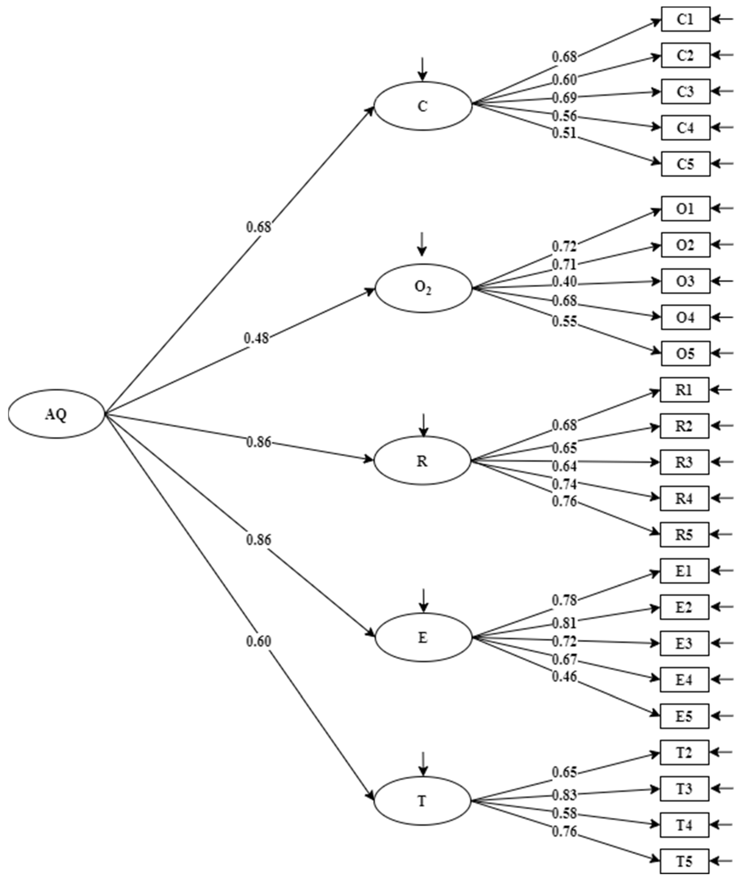
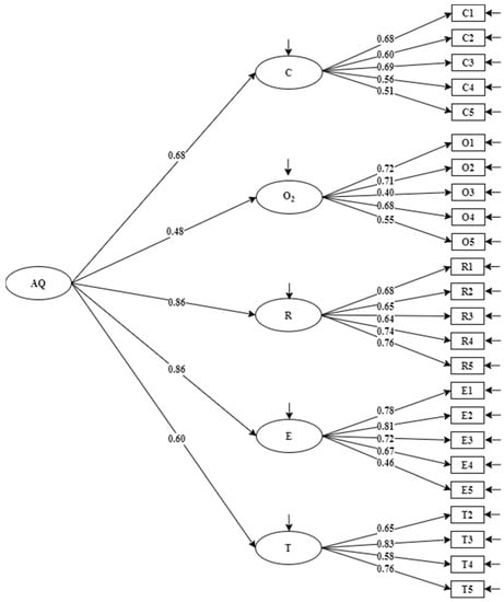
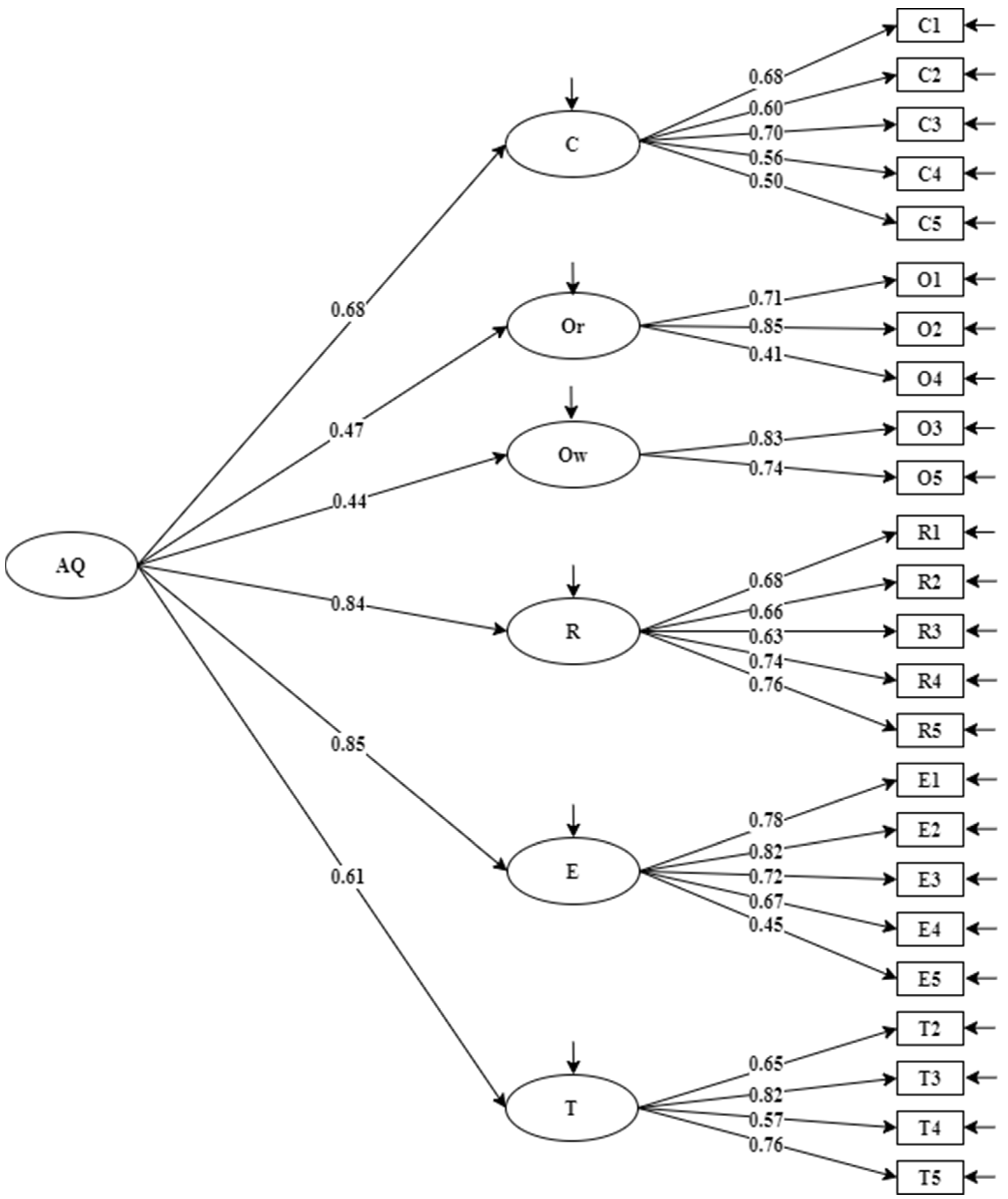
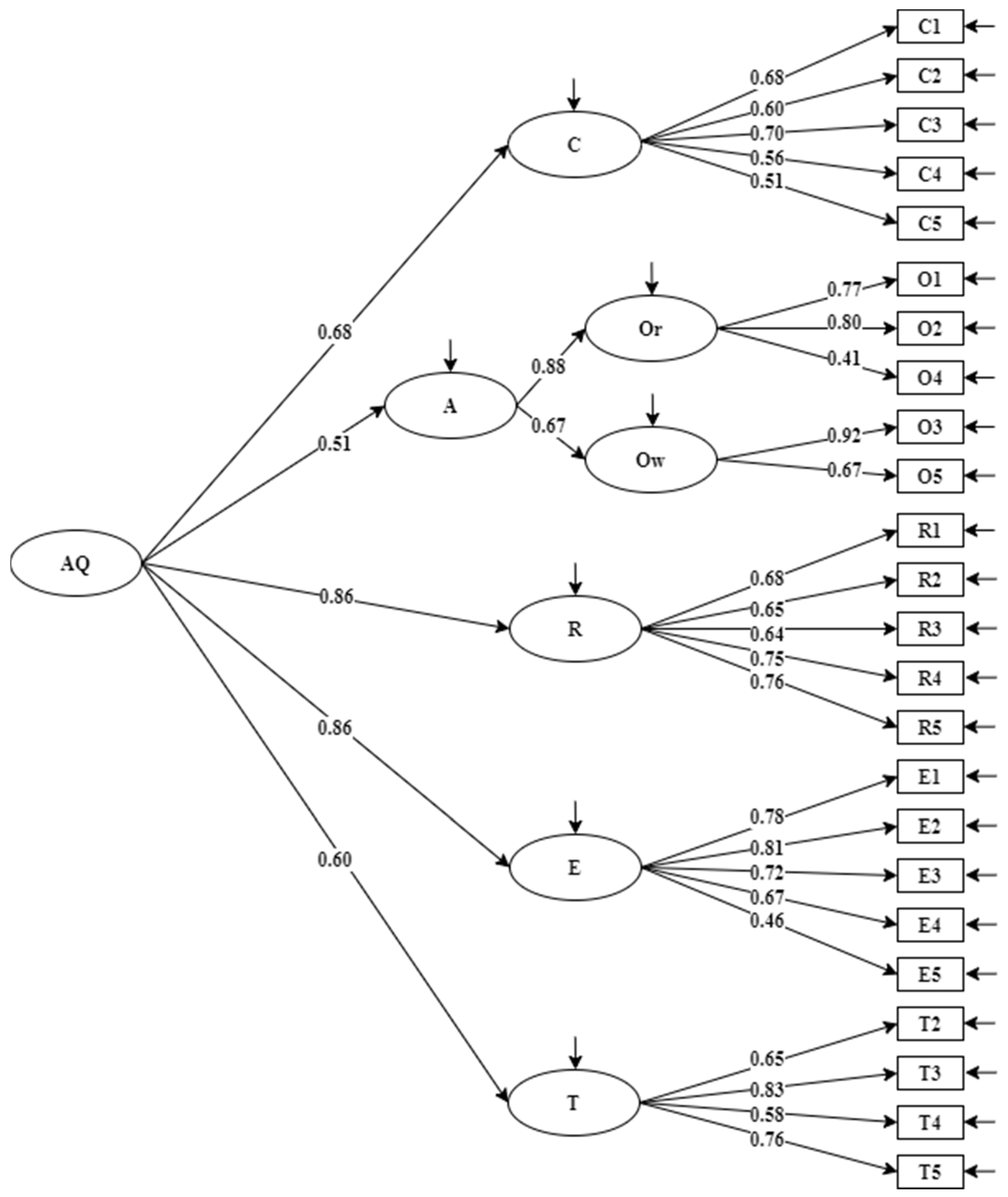
3.2. Confirmatory Factory Analysis
3.3. Rasch Analysis
3.4. Criterion-Related validity
3.5. Reliability
4. Discussion
5. Conclusions
Author Contributions
Funding
Institutional Review Board Statement
Informed Consent Statement
Data Availability Statement
Conflicts of Interest
Appendix A
| To What Extent Can You Influence This Situation? | Not at All | Completely | |||
| 1 | 2 | 3 | 4 | 5 | |
| C1. You suffer an academic setback. | |||||
| C2. People don’t like your idea during a discussion. | |||||
| C3. Your personal and study obligations are out of balance. | |||||
| C4. You have a conflict with your family. | |||||
| C5. Your computer crashed for the third time, wasting your time. | |||||
| To what extent do you feel responsible for improving the situation? | Not responsible at all | Completely Responsible | |||
| 1 | 2 | 3 | 4 | 5 | |
| O1. You are overlooked for the opportunity of being given an excellent person award. | |||||
| O2. Someone you respect ignores your attempt to discuss an important issue. | |||||
| O3. One of your important friends did not show up on your birthday. | |||||
| O4. You fail to complete the work arranged by the teacher. | |||||
| O5. You fail a specific course. | |||||
| The consequences of this situation will: | Affect all aspects of my life | Be limited this situation | |||
| 1 | 2 | 3 | 4 | 5 | |
| R1. You are criticized for a subject assignment. | |||||
| R2. The important activity you are taking on gets canceled. | |||||
| R3. You go through a significant number of bad patches in one day. | |||||
| R4. You miss an important appointment. | |||||
| R5. Your teacher adamantly disagrees with your idea. | |||||
| The consequences of this situation will: | Last forever | Quickly pass | |||
| 1 | 2 | 3 | 4 | 5 | |
| E1. You accidentally delete an important message. | |||||
| E2. You argue with someone and develop negative emotions. | |||||
| E3. You leave some messages for a friend, but without any reply. | |||||
| E4. You missed a flight or a train when you were traveling. | |||||
| E5. You lost something important to you. | |||||
| Do you agree with the following items? | Strongly disagree | Strongly Agree | |||
| 1 | 2 | 3 | 4 | 5 | |
| T1. You believe that it is beneficial to tactically compromise when arguing with a friend. | |||||
| T2. Even though you put in lots of effort, you still failed the exam. You believe this is a necessary step for success. | |||||
| T3. You have no idea about how to complete work assigned by a teacher. You believe that it is not necessary to worry about it; it can be addressed eventually. | |||||
| T4. You go through lots of bad patches during a period. You believe this is a good chance to strengthen your will. |
References
- Stoltz, P.G. Adversity Quotient Work: Finding Your Hidden Capacity for Getting Things Done; Harper Collins: New York, NY, USA, 2010. [Google Scholar]
- Effendi, M.; Matore, E.M.; Khairani, A.Z. Correlation between adversity quotient (AQ) with IQ, EQ and SQ among polytechnic students using rasch model. Indian J. Sci. Technol. 2016, 9, 47. [Google Scholar] [CrossRef]
- Yodsakun, A.; Kuha, A. Relationship between emotional intelligence (EQ), adversity quotient (AQ) and moral quotient (MQ) towards academic achievement of Mattayom Suksa Two students. J. Fac. Educ. 2008, 19, 129–142. [Google Scholar]
- Matore, M.E.; Effendi, M.; Khairani, A.Z.; Adnan, R. Exploratory factor analysis (EFA) for adversity quotient (AQ) instrument among youth. J. Crit. Rev. 2019, 6, 234–242. [Google Scholar]
- Hidayat, W.; Prabawanto, S. Improving students’ creative mathematical reasoning ability students through adversity quotient and argument driven inquiry learning. J. Phys. Conf. Ser. 2018, 948, 12005. [Google Scholar] [CrossRef]
- Jiang, W.; Chen, J. Cultivating college student’s adversity quotient. J. Southwest Pet. Univ. Soc. Sci. Ed. 2012, 14, 116–120. [Google Scholar]
- Solis, B.; Elna, R. Stress level and adversity quotient among single working mothers. Asia Pac. J. Multidiscip. Res. 2015, 3, 72–79. [Google Scholar]
- Development Planning Department. Major Educational Achievement in China in 2020. Available online: http://en.moe.gov.cn/features/2021TwoSessions/Reports/202103/t20210323_522026.html (accessed on 1 March 2021).
- Tian, Q.; Fan, X.; Lv, F. Study on relationships among adversity quotient, future time perspective and achievement motivation in college nursing students. J. Nurs. Sci. 2011, 26, 7–10. [Google Scholar]
- Liu, C.H.; Mo, Z.Z.; Zhou, Y. Review, reflection and prospect of students’ adversity quotient studies in China—Based on the statistics and analysis of 179 CNKI literatures. J. Mod. Educ. Sci. 2019, 11, 145–150. [Google Scholar]
- Li, B.; Chen, C. The reliability and validity of the adversity quotient scale in Chinese students. Chin. Ment. Health J. 2008, 22, 605–607. [Google Scholar]
- Stoltz, P.G. Adversity Quotient: Turning Obstacles into Opportunities; John Wiley & Sons: Hoboken, NJ, USA, 1997. [Google Scholar]
- Matore, M.E.E.M.; Zainal, M.A.; Noh, M.F.M.; Khairani, A.Z.; Abd Razak, N. The Development and Psychometric Assessment of Malaysian Youth Adversity Quotient Instrument (MY-AQi) by Combining Rasch Model and Confirmatory Factor Analysis. IEEE Access 2021, 9, 13314–13329. [Google Scholar] [CrossRef]
- De Castella, K.; Byrne, D.; Covington, M. Unmotivated or motivated to fail? A cross-cultural study of achievement motivation, fear of failure, and student disengagement. J. Educ. Psychol. 2013, 105, 861. [Google Scholar] [CrossRef] [Green Version]
- Cheng, C.Y. On harmony as transformation: Paradigms from the I Ching. Harmony and Strife: Contemporary Perspectives. East West 1988, 16, 225–248. [Google Scholar]
- Yue, X. Culturally constructed coping among university students in Beijing. J. Psychol. Chin. Soc. 2001, 2, 119–137. [Google Scholar]
- Dorji, R.; Singh, K. Role of adversity quotient in learning. Int. J. Educ. 2019, 11, 119–125. [Google Scholar]
- Kartikasari, N.P.D.; Wiarta, I.W. The Contribution of Adversity Quotient dan Working Motivation to Teachers’ Performance. In Proceedings of the 2nd International Conference on Technology and Educational Science (ICTES 2020); Atlantis Press: Dordrecht, The Netherlands, 2021; p. 540. [Google Scholar] [CrossRef]
- Cornista, G.A.; Macasaet, C. Adversity Quotient® and Achievement Motivation of Selected Third Year and Fourth Year Psychology Students of De La Salle Lipa, AY 2012–2013. Unpublished. Undergraduate Thesis, De La Salle Lipa, Lipa City, Philippines, March 2013. [Google Scholar]
- Espaňola, R.P. Adversity quotient (AQ) and academic performance of selected students in Msu Marawi city. Proc. J. Educ. Psychol. Soc. Sci. Res. 2016, 3, 57. [Google Scholar] [CrossRef]
- Kuhon, F. A study on students’ adversity quotient and Academic performance in english subject. J. Adv. Engl. Stud. 2020, 3, 24–29. [Google Scholar]
- Lin, S.H.; Chen, J. Adversity quotient and achievement motivation of college students in poverty. Chin. Ment. Health J. 2011, 25, 691–694. [Google Scholar]
- Suryadi, B.; Santoso, T.I. Self-Efficacy, Adversity Quotient, and Students’ Achievement in Mathematics. Int. Educ. Stud. 2017, 10, 12–19. [Google Scholar] [CrossRef] [Green Version]
- Bakare, B. Students’ Adversity Quotient and Related Factors as Predictors of Academic Achievement in the West African Senior School Certificate Examination in Southwestern Nigeria. Unpublished Doctoral Dissertation, Ibadan, Nigeria, March 2015. [Google Scholar]
- Shek, D.T. Chinese cultural beliefs about adversity: Its relationship to psychological well-being, school adjustment and problem behaviour in Hong Kong adolescents with and without economic disadvantage. Childhood 2004, 11, 63–80. [Google Scholar] [CrossRef]
- Phillips, M.R.; Pearson, V. Coping in Chinese communities: The need for a new research agenda. In Handbook of Chinese Psychology; Oxford University Press: Oxford, UK, 1996; pp. 429–440. [Google Scholar]
- Jing, H.B. Confucian Coping and Its Role to Mental Health. Acta Psychol. Sin. 2006, 38, 126–134. [Google Scholar]
- Lazarus, R.S. Coping theory and research: Past, present, and future. Psychosom. Med. 1993, 55, 234–247. [Google Scholar] [CrossRef] [PubMed]
- Fhkps, S. Chinese beliefs about adversity: Their association with treatment fears among young psychotropic substance abusers in Hong Kong. Int. Public Health J. 2017, 9, 285–290. [Google Scholar]
- Yan, Z.; Mok, M.M.C. Exercise. Validating the coping scale for Chinese athletes using multidimensional Rasch analysis. Psychol. Sport 2012, 13, 271–279. [Google Scholar]
- Yoo, J. Factorial validity of the coping scale for Korean athletes. Int. J. Sport Psychol. 2000, 31, 391. [Google Scholar]
- Bo, Z.; Si, G.Y.; Li, Q.Z.; Liu, H. Development and preliminary test of coping scale for Chinese athletes. Chin. J. Sports Med. 2004, 23, 356–362. [Google Scholar]
- Lawshe, C.H. A quantitative approach to content validity. Pers. Psychol. 1975, 28, 563–575. [Google Scholar]
- Anderson, J.C.; Gerbing, D.W. Predicting the performance of measures in a confirmatory factor analysis with a pretest assessment of their substantive validities. J. Appl. Psychol. 1991, 76, 732. [Google Scholar] [CrossRef]
- Commission IT. The ITC Guidelines for Translating and Adapting Tests, 2nd ed.; ITC: Denver, CO, USA, 2017. [Google Scholar]
- McClelland, D.C. Achieving Society; Simon and Schuster: Riverside, NJ, USA, 1961. [Google Scholar]
- Gjesme, T.; Nygard, R. Achievement-Related Motives: Theoretical Considerations and Construction of a Measuring Instrument; Unpublished Report; University of Oslo: Oslo, Norway, 1970. [Google Scholar]
- Tang, H.; Lu, N. Measure invariance research of the short form of achievement motive scale in boy-girl of middle school students in Shenzhen. Adv. Psychol. 2013, 3, 321–326. [Google Scholar]
- Comrey, A.L. Factor-analytic methods of scale development in personality and clinical psychology. J. Consult. Clin. Psychol. 1988, 56, 754. [Google Scholar] [CrossRef]
- DeVellis, R.F.; Thorpe, C.T. Scale Development: Theory and Applications; Sage Publications: New York, NY, USA, 2021. [Google Scholar]
- Hayton, J.C.; Allen, D.G.; Scarpello, V. Factor retention decisions in exploratory factor analysis: A tutorial on parallel analysis. Organ. Res. Methods 2004, 7, 191–205. [Google Scholar] [CrossRef]
- West, S.G.; Finch, J.F.; Curran, P.J. Structural Equation Models with Nonnormal Variables: Problems and Remedies; Sage Publications: New York, NY, USA, 1995. [Google Scholar]
- Finney, S.J.; DiStefano, C. Non-normal and categorical data in structural equation modeling. In Structural Equation Modeling: A Second Course; Information Age Publishing, Inc.: Charlotte, NC, USA, 2006; Volume 10, pp. 269–314. [Google Scholar]
- Wang, J.; Wang, X. Structural Equation Modeling: Applications Using Mplus; John Wiley & Sons: Hoboken, NJ, USA, 2019. [Google Scholar]
- Hu, L.T.; Bentler, P.M. Cutoff criteria for fit indexes in covariance structure analysis: Conventional criteria versus new alternatives. Struct. Equ. Model. A Multidiscip. J. 1999, 6, 1–55. [Google Scholar] [CrossRef]
- McDonald, R.P.; Ho, M.-H.R. Principles and practice in reporting structural equation analyses. Psychol. Methods 2002, 7, 64. [Google Scholar] [CrossRef] [PubMed]
- Bond, T.G.; Yan, Z.; Heene, M. Applying the Rasch Model: Fundamental Measurement in the Human Sciences, 4th ed.; Routledge: Oxford, UK, 2020. [Google Scholar]
- Deneen, C.; Brown, G.T.; Bond, T.G.; Shroff, R. Understanding outcome-based education changes in teacher education: Evaluation of a new instrument with preliminary findings. Asia-Pac. J. Teach. Educ. 2013, 41, 441–456. [Google Scholar] [CrossRef]
- Testa, I.; Capasso, G.; Colantonio, A.; Galano, S.; Marzoli, I.; di Uccio, U.S.; Trani, F.; Zappia, A. Development and validation of a university students’ progression in learning quantum mechanics through exploratory factor analysis and Rasch analysis. Int. J. Sci. Educ. 2019, 41, 388–417. [Google Scholar] [CrossRef]
- Yan, Z.; Brubacher, S.; Boud, D.; Powell, M. Psychometric properties of the self-assessment practice scale for professional training contexts: Evidence from confirmatory factor analysis and Rasch analysis. Int. J. Train. Dev. 2020, 24, 357–373. [Google Scholar] [CrossRef]
- Adams, R.J.; Wilson, M.; Wang, W.-C. The multidimensional random coefficients multinomial logit model. Appl. Psychol. Meas. 1997, 21, 1–23. [Google Scholar] [CrossRef]
- Wu, M.L.; Adams, R.J.; Wilson, M.R.; Haldane, S.A. ACER ConQuest Version 2.0: Generalised Item Response Modelling Software; ACER Press: Victoria, BC, Canada, 2007. [Google Scholar]
- Messick, S. Validity of psychological assessment: Validation of inferences from persons’ responses and performances as scientific inquiry into score meaning. Am. Psychol. 1995, 50, 741. [Google Scholar] [CrossRef]
- George, D. SPSS for Windows Step by Step: A simple Study Guide and Reference; 17.0 update, 10/e; Pearson Education: Noida, India, 2011. [Google Scholar]
- Masters, G.N. A Rasch model for partial credit scoring. Psychometrika 1982, 47, 149–174. [Google Scholar] [CrossRef]
- Linacre, J.M. Data variance explained by Rasch measures. Rasch Meas. Trans. 2006, 20, 1045. [Google Scholar]
- Wang, W.C.; Yao, G.; Tsai, Y.J.; Wang, J.D.; Hsieh, C.L. Validating, improving reliability, and estimating correlation of the four subscales in the WHOQOL-BREF using multidimensional Rasch analysis. Qual. Life Res. 2006, 15, 607–620. [Google Scholar] [CrossRef] [Green Version]
- Fisher, W.P. Rating scale instrument quality criteria. Rasch Meas. Trans. 2007, 21, 1095. [Google Scholar]
- Geisinger, K.F. Cross-cultural normative assessment: Translation and adaptation issues influencing the normative interpretation of assessment instruments. Psychol. Assess. 1994, 6, 304. [Google Scholar] [CrossRef]
- Lazarus, R.S.; Folkman, S. Stress, Appraisal, and Coping; Springer Publishing Company: Berlin/Heidelberg, Germany, 1984. [Google Scholar]
- Beery, R.G. Special feature: Fear of failure in the student experience. Pers. Guid. J. 1975, 54, 191–203. [Google Scholar] [CrossRef]
- Ahmar, A.S.; Rahman, A.; Mulbar, U. The analysis of students’ logical thinking ability and adversity quotient, and it is reviewed from cognitive style. J. Phys. Conf. Ser. 2018, 1028, 12167. [Google Scholar] [CrossRef]



| Frequency | Percentage | |
|---|---|---|
| Year of study | ||
| First | 141 | 29.8 |
| Second | 85 | 17.9 |
| Third | 153 | 32.3 |
| Fourth | 95 | 20 |
| Gender | ||
| Male | 165 | 34.8 |
| Female | 309 | 65.2 |
| Source | ||
| City | 151 | 31.9 |
| Urban | 323 | 68.1 |
| n | 474 | 100 |
| Item | Status | EFA Factor Loadings | |||||
|---|---|---|---|---|---|---|---|
| C | Or | Ow | R | E | T | ||
| C1: You suffer an academic setback. | M | 0.46 | 0.05 | 0.12 | 0.23 | −0.04 | 0.00 |
| C2: People don’t like your idea during a discussion. | M | 0.47 | −0.03 | −0.05 | 0.10 | 0.05 | 0.00 |
| C3: Your personal and study obligations are out of balance. | M | 0.71 | 0.08 | −0.01 | 0.05 | −0.08 | −0.02 |
| C4: You have a conflict with your family. | M | 0.77 | −0.16 | 0.07 | −0.20 | 0.07 | −0.01 |
| C5: Your computer crashed for the third time, wasting your time. | O | 0.36 | −0.06 | −0.05 | 0.00 | 0.08 | 0.06 |
| O1: You are overlooked for the opportunity of being given an excellent person award. | M | 0.07 | 0.50 | 0.30 | −0.05 | −0.08 | 0.06 |
| O2: Someone you respect ignores your attempt to discuss an important issue. | O | 0.07 | 0.72 | 0.07 | −0.12 | 0.08 | −0.01 |
| O4: One of your important friends did not show up on your birthday. | M | −0.23 | 0.53 | 0.09 | −0.02 | 0.03 | −0.08 |
| O3: You fail to complete the work arranged by the teacher. | M | 0.15 | 0.12 | 0.66 | 0.02 | −0.01 | −0.08 |
| O5: You fail a specific course. | N | −0.08 | 0.16 | 0.76 | 0.08 | 0.02 | 0.07 |
| R1: You are criticized for a subject assignment. | N | 0.00 | −0.14 | 0.25 | 0.62 | 0.10 | −0.06 |
| R2: The important activity you are taking on gets canceled. | M | −0.03 | −0.10 | 0.07 | 0.69 | −0.03 | 0.04 |
| R3: You go through a significant number of bad patches in one day. | M | −0.06 | 0.21 | −0.24 | 0.65 | 0.04 | −0.02 |
| R4: You miss an important appointment. | O | 0.04 | 0.04 | −0.04 | 0.68 | −0.04 | 0.10 |
| R5: Your teacher adamantly disagrees with your idea. | M | 0.04 | −0.18 | 0.07 | 0.64 | 0.07 | −0.05 |
| E1: You accidentally delete an important message. | M | 0.05 | −0.03 | 0.06 | 0.10 | 0.53 | −0.09 |
| E2: You argue with someone and develop negative emotions. | M | 0.02 | 0.08 | −0.04 | 0.05 | 0.76 | −0.02 |
| E3: You leave some messages for a friend, but without any reply. | M | −0.06 | 0.00 | 0.01 | −0.07 | 0.79 | 0.06 |
| E4: You missed a flight or a train when you were traveling. | M | 0.03 | 0.00 | 0.01 | 0.09 | 0.49 | 0.02 |
| E5: You lost something important to you. | O | 0.12 | 0.13 | −0.24 | 0.05 | 0.32 | 0.02 |
| T2: You believe that it is beneficial to tactically compromise when arguing with a friend. | N | 0.04 | −0.08 | 0.10 | −0.15 | 0.26 | 0.39 |
| T3: Even though you put in lots of effort, you still failed the exam. You believe this is a necessary step for success. | N | −0.15 | −0.05 | 0.11 | 0.04 | 0.01 | 0.84 |
| T4: You have no idea about how to complete work assigned by a teacher. You believe that it is not necessary to worry about it; it can be addressed eventually. | N | 0.11 | −0.03 | −0.16 | 0.02 | −0.09 | 0.47 |
| T5: You go through lots of bad patches during a period. You believe this is a good chance to strengthen your will. | N | 0.17 | 0.11 | −0.09 | 0.07 | −0.04 | 0.48 |
| Eigenvalues | 1.72 | 1.30 | 1.40 | 5.15 | 2.57 | 1.47 | |
| % variance explained | 7.17 | 5.42 | 5.81 | 21.45 | 10.72 | 6.14 | |
| TLI | CFI | SRMR | RMSEA | |
|---|---|---|---|---|
| Model 1 | 0.897 | 0.884 | 0.070 | 0.055 |
| Model 2 | 0.872 | 0.886 | 0.065 | 0.058 |
| Model 3 | 0.903 | 0.914 | 0.063 | 0.050 |
| Mean | SD | 1 | 2 | 3 | 4 | 5 | 6 | 7 | 8 | |
|---|---|---|---|---|---|---|---|---|---|---|
| 1. MS | −0.04 | 2.30 | - | |||||||
| 2. MF | 1.07 | 2.20 | −0.122 ** | - | ||||||
| 3. Control | 0.86 | 1.06 | 0.207 ** | −0.242 ** | - | |||||
| 4. Origin | 1.14 | 1.18 | 0.165 ** | 0.004 | 0.261 ** | - | ||||
| 5. Ownership | 1.22 | 1.33 | 0.092 * | 0.042 | 0.054 | 0.535 ** | - | |||
| 6. Reach | 0.70 | 1.40 | 0.127 ** | −0.131 ** | 0.429 ** | 0.092 * | 0.069 | - | ||
| 7. Endurance | 0.45 | 1.29 | 0.272 ** | −0.176 ** | 0.421 ** | 0.159 ** | 0.054 | 0.584 ** | - | |
| 8. Transcendence | 0.51 | 1.15 | 0.330 ** | −0.016 | 0.337 ** | 0.189 ** | 0.102 * | 0.364 ** | 0.404 ** | - |
Publisher’s Note: MDPI stays neutral with regard to jurisdictional claims in published maps and institutional affiliations. |
© 2022 by the authors. Licensee MDPI, Basel, Switzerland. This article is an open access article distributed under the terms and conditions of the Creative Commons Attribution (CC BY) license (https://creativecommons.org/licenses/by/4.0/).
Share and Cite
Wang, X.; Yan, Z.; Huang, Y.; Tang, A.; Chen, J. Re-Developing the Adversity Response Profile for Chinese University Students. Int. J. Environ. Res. Public Health 2022, 19, 6389. https://doi.org/10.3390/ijerph19116389
Wang X, Yan Z, Huang Y, Tang A, Chen J. Re-Developing the Adversity Response Profile for Chinese University Students. International Journal of Environmental Research and Public Health. 2022; 19(11):6389. https://doi.org/10.3390/ijerph19116389
Chicago/Turabian StyleWang, Xiang, Zi Yan, Yichao Huang, Anqi Tang, and Junjun Chen. 2022. "Re-Developing the Adversity Response Profile for Chinese University Students" International Journal of Environmental Research and Public Health 19, no. 11: 6389. https://doi.org/10.3390/ijerph19116389
APA StyleWang, X., Yan, Z., Huang, Y., Tang, A., & Chen, J. (2022). Re-Developing the Adversity Response Profile for Chinese University Students. International Journal of Environmental Research and Public Health, 19(11), 6389. https://doi.org/10.3390/ijerph19116389

