Modified-Dose Pembrolizumab and Prognostic Outcomes among Non-Small Cell Lung Cancer Patients: A Chart Review Study
Abstract
:1. Introduction
2. Materials and Methods
2.1. Study Population and Treatment
2.2. Outcome Measurements
2.3. Statistical Analysis
2.4. Sample Size
3. Results
3.1. Patient Characteristics
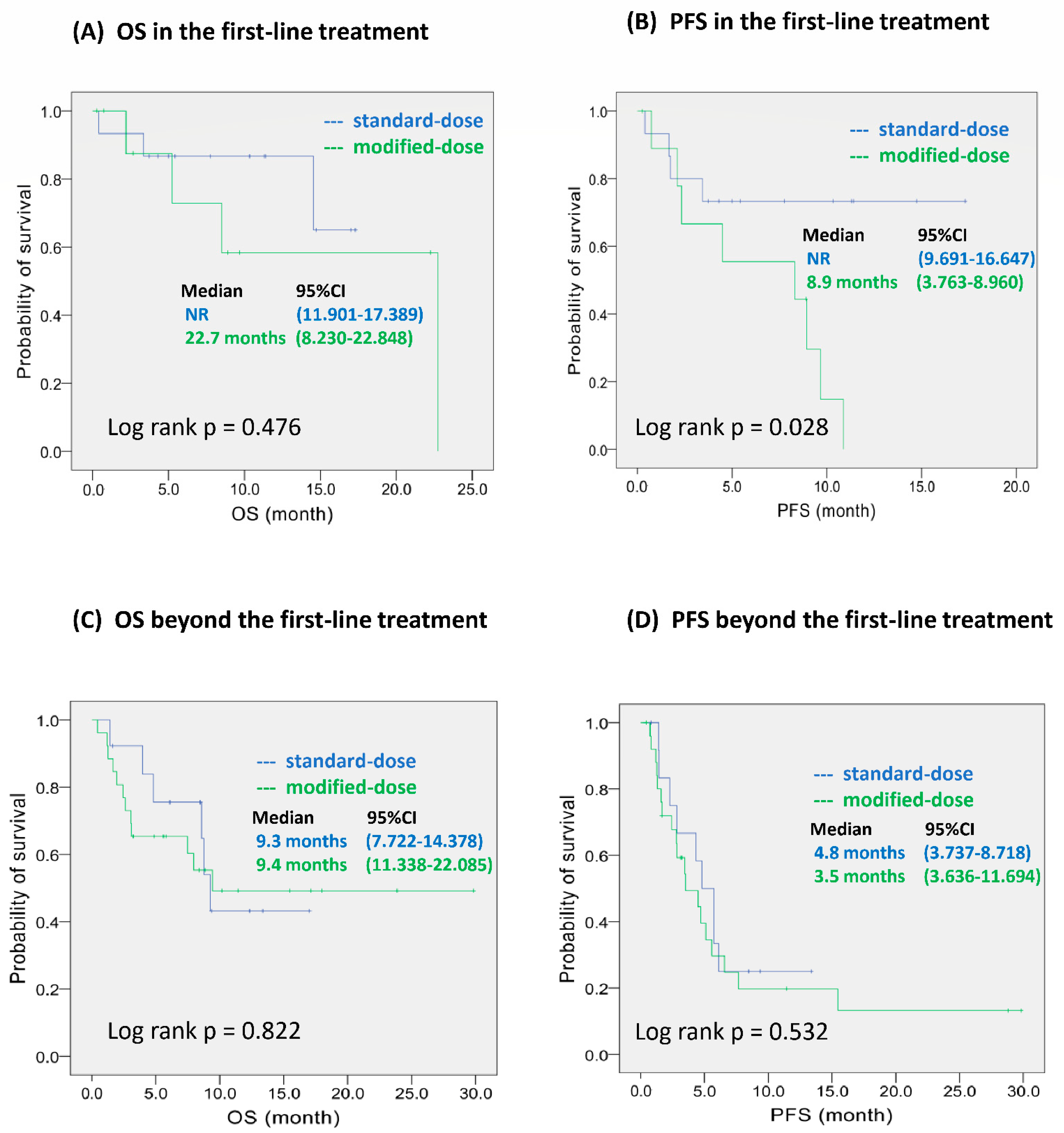
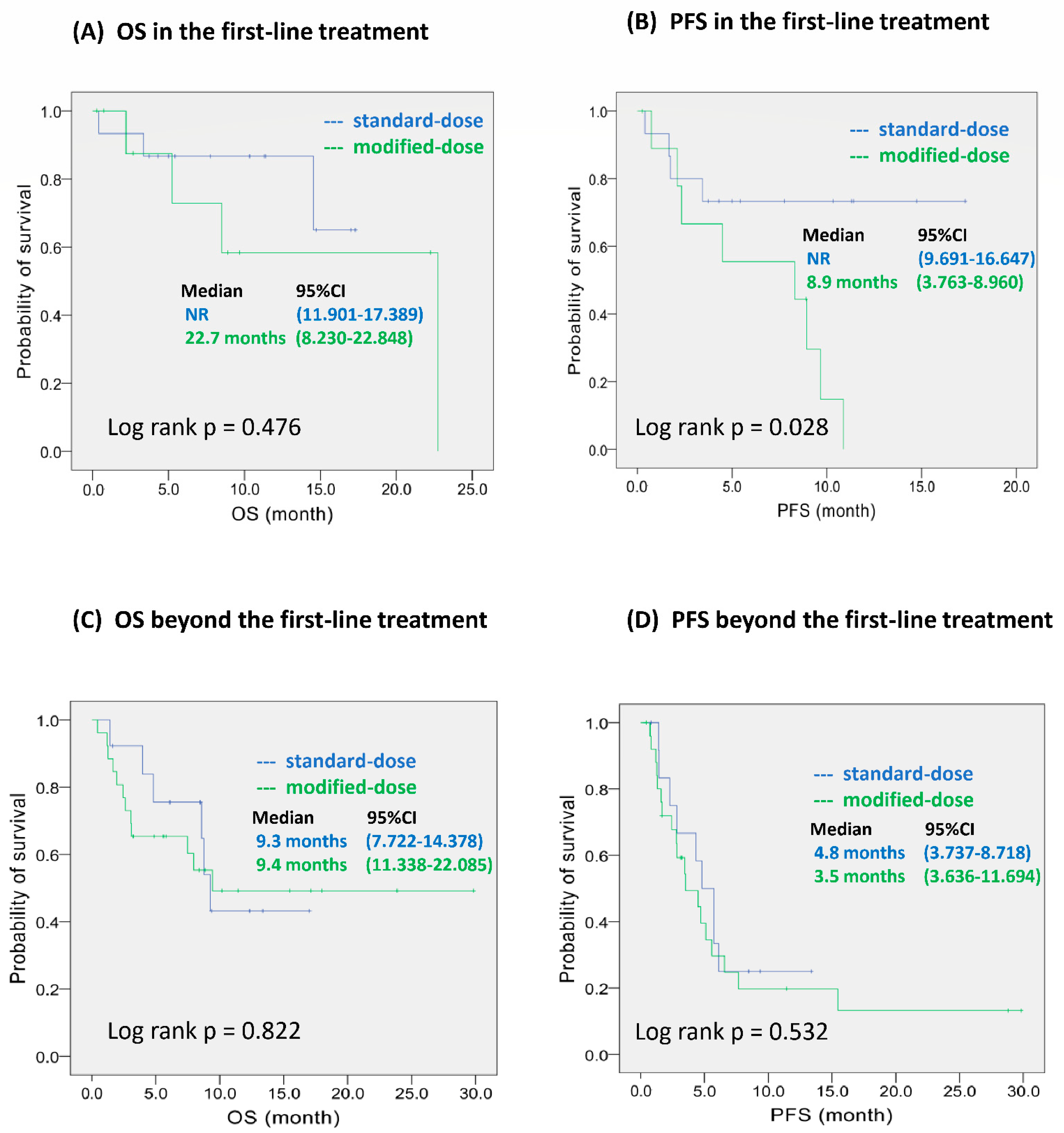
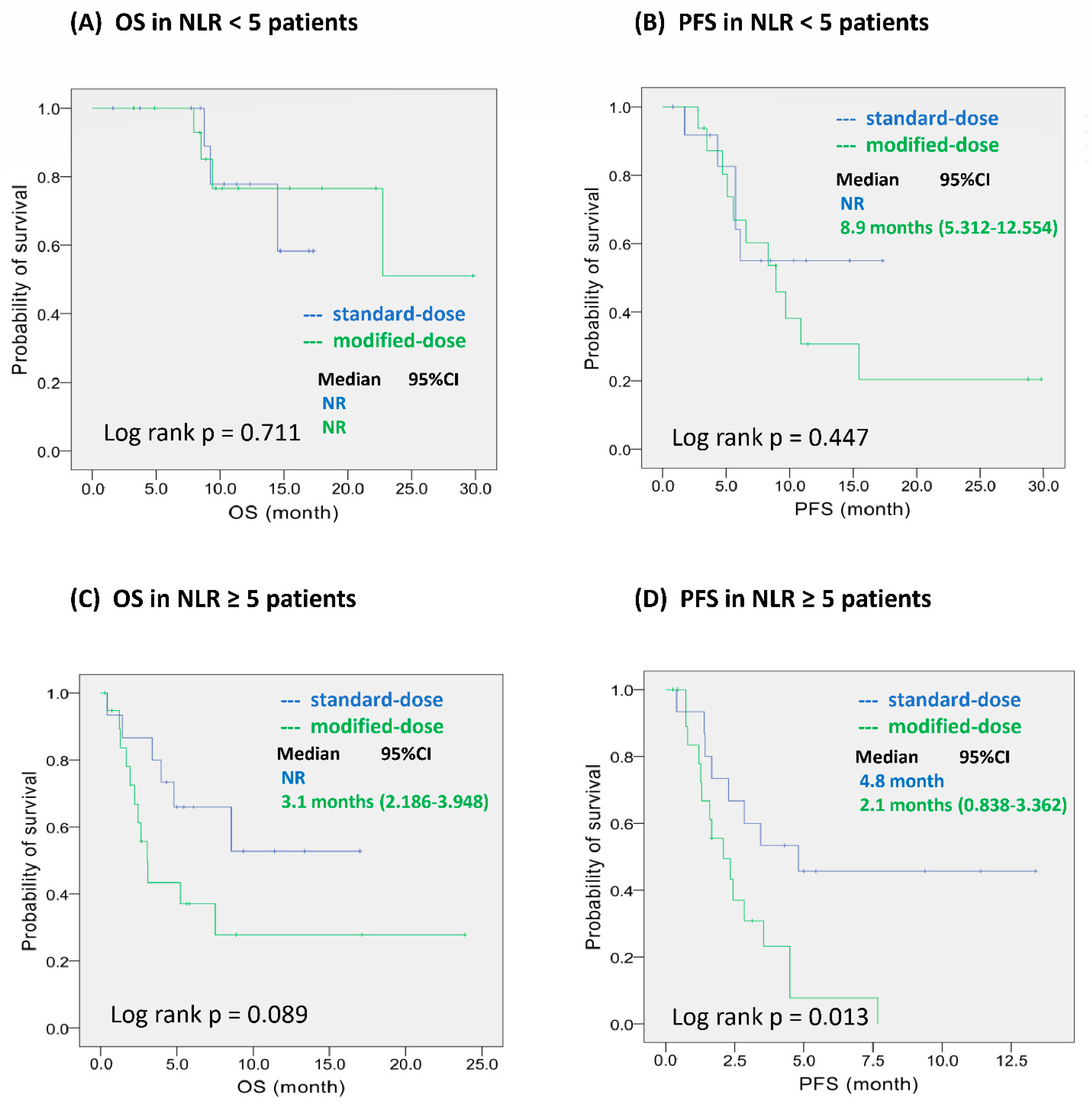
3.2. OS and PFS between MD and SD Groups
3.3. Results of the Regression Model
3.4. Tumor Response between MD and SD Groups
3.5. Toxicities
4. Discussion
5. Conclusions
Author Contributions
Funding
Institutional Review Board Statement
Informed Consent Statement
Data Availability Statement
Conflicts of Interest
References
- Herbst, R.S.; Baas, P.; Kim, D.W.; Felip, E.; Perez-Gracia, J.L.; Han, J.Y.; Molina, J.; Kim, J.H.; Arvis, C.D.; Ahn, M.J.; et al. Pembrolizumab versus docetaxel for previously treated, PD-L1-positive, advanced non-small-cell lung cancer (KEYNOTE-010): A randomised controlled trial. Lancet 2016, 387, 1540–1550. [Google Scholar] [CrossRef]
- Horn, L.; Spigel, D.R.; Vokes, E.E.; Holgado, E.; Ready, N.; Steins, M.; Poddubskaya, E.; Borghaei, H.; Felip, E.; Paz-Ares, L.; et al. Nivolumab Versus Docetaxel in Previously Treated Patients With Advanced Non-Small-Cell Lung Cancer: Two-Year Outcomes From Two Randomized, Open-Label, Phase III Trials (CheckMate 017 and CheckMate 057). J. Clin. Oncol. 2017, 35, 3924–3933. [Google Scholar] [CrossRef] [PubMed]
- Eggermont, A.M.; Blank, C.U.; Mandala, M.; Long, G.V.; Atkinson, V.G.; Dalle, S.; Haydon, A.M.; Meshcheryakov, A.; Khattak, A.; Carlino, M.S. Longer follow-up confirms recurrence-free survival benefit of adjuvant pembrolizumab in high-risk stage III melanoma: Updated results from the EORTC 1325-MG/KEYNOTE-054 trial. J. Clin. Oncol. 2020, 38, 3925. [Google Scholar] [CrossRef] [PubMed]
- Cortes, J.; Cescon, D.W.; Rugo, H.S.; Nowecki, Z.; Im, S.-A.; Yusof, M.M.; Gallardo, C.; Lipatov, O.; Barrios, C.H.; Holgado, E. Pembrolizumab plus chemotherapy versus placebo plus chemotherapy for previously untreated locally recurrent inoperable or metastatic triple-negative breast cancer (KEYNOTE-355): A randomised, placebo-controlled, double-blind, phase 3 clinical trial. Lancet 2020, 396, 1817–1828. [Google Scholar] [CrossRef]
- Mehra, R.; Seiwert, T.Y.; Gupta, S.; Weiss, J.; Gluck, I.; Eder, J.P.; Burtness, B.; Tahara, M.; Keam, B.; Kang, H. Efficacy and safety of pembrolizumab in recurrent/metastatic head and neck squamous cell carcinoma: Pooled analyses after long-term follow-up in KEYNOTE-012. Br. J. Cancer 2018, 119, 153–159. [Google Scholar] [CrossRef] [PubMed]
- Pai-Scherf, L.; Blumenthal, G.M.; Li, H.; Subramaniam, S.; Mishra-Kalyani, P.S.; He, K.; Zhao, H.; Yu, J.; Paciga, M.; Goldberg, K.B.; et al. FDA Approval Summary: Pembrolizumab for Treatment of Metastatic Non-Small Cell Lung Cancer: First-Line Therapy and Beyond. Oncologist 2017, 22, 1392–1399. [Google Scholar] [CrossRef] [Green Version]
- Ettinger, D.S.; Wood, D.E.; Aisner, D.L.; Akerley, W.; Bauman, J.R.; Bharat, A.; Bruno, D.S.; Chang, J.Y.; Chirieac, L.R.; D’Amico, T.A.; et al. NCCN Guidelines Insights: Non-Small Cell Lung Cancer, Version 2.2021. J. Natl. Compr. Cancer Netw. 2021, 19, 254–266. [Google Scholar] [CrossRef]
- Elassaiss-Schaap, J.; Rossenu, S.; Lindauer, A.; Kang, S.P.; de Greef, R.; Sachs, J.R.; de Alwis, D.P. Using Model-Based “Learn and Confirm” to Reveal the Pharmacokinetics-Pharmacodynamics Relationship of Pembrolizumab in the KEYNOTE-001 Trial. CPT Pharmacomet. Syst. Pharmacol. 2017, 6, 21–28. [Google Scholar] [CrossRef]
- Chatterjee, M.; Turner, D.C.; Felip, E.; Lena, H.; Cappuzzo, F.; Horn, L.; Garon, E.B.; Hui, R.; Arkenau, H.T.; Gubens, M.A.; et al. Systematic evaluation of pembrolizumab dosing in patients with advanced non-small-cell lung cancer. Ann. Oncol. 2016, 27, 1291–1298. [Google Scholar] [CrossRef]
- Patnaik, A.; Kang, S.P.; Rasco, D.; Papadopoulos, K.P.; Elassaiss-Schaap, J.; Beeram, M.; Drengler, R.; Chen, C.; Smith, L.; Espino, G.; et al. Phase I Study of Pembrolizumab (MK-3475; Anti-PD-1 Monoclonal Antibody) in Patients with Advanced Solid Tumors. Clin. Cancer Res. 2015, 21, 4286–4293. [Google Scholar] [CrossRef] [Green Version]
- Garon, E.B.; Rizvi, N.A.; Hui, R.; Leighl, N.; Balmanoukian, A.S.; Eder, J.P.; Patnaik, A.; Aggarwal, C.; Gubens, M.; Horn, L.; et al. Pembrolizumab for the treatment of non-small-cell lung cancer. N. Engl. J. Med. 2015, 372, 2018–2028. [Google Scholar] [CrossRef] [PubMed]
- Hui, R.; Garon, E.B.; Goldman, J.W.; Leighl, N.B.; Hellmann, M.D.; Patnaik, A.; Gandhi, L.; Eder, J.P.; Ahn, M.J.; Horn, L.; et al. Pembrolizumab as first-line therapy for patients with PD-L1-positive advanced non-small cell lung cancer: A phase 1 trial. Ann. Oncol. 2017, 28, 874–881. [Google Scholar] [CrossRef] [PubMed]
- Kang, S.; Gergich, K.; Lubiniecki, G.; de Alwis, D.; Chen, C.; Tice, M.; Rubin, E. Pembrolizumab KEYNOTE-001: An adaptive study leading to accelerated approval for two indications and a companion diagnostic. Ann. Oncol. 2017, 28, 1388–1398. [Google Scholar] [CrossRef] [PubMed]
- Leighl, N.B.; Hellmann, M.D.; Hui, R.; Carcereny, E.; Felip, E.; Ahn, M.-J.; Eder, J.P.; Balmanoukian, A.S.; Aggarwal, C.; Horn, L. Pembrolizumab in patients with advanced non-small-cell lung cancer (KEYNOTE-001): 3-year results from an open-label, phase 1 study. Lancet Respir. Med. 2019, 7, 347–357. [Google Scholar] [CrossRef]
- Lim, S.H.; Sun, J.-M.; Lee, S.-H.; Ahn, J.S.; Park, K.; Ahn, M.-J. Pembrolizumab for the treatment of non-small cell lung cancer. Expert Opin. Biol. Ther. 2016, 16, 397–406. [Google Scholar] [CrossRef]
- Freshwater, T.; Kondic, A.; Ahamadi, M.; Li, C.H.; de Greef, R.; de Alwis, D.; Stone, J.A. Evaluation of dosing strategy for pembrolizumab for oncology indications. J. Immunother. Cancer 2017, 5, 43. [Google Scholar] [CrossRef]
- Keytruda (Pembrolizumab) Package Insert; Merck & Co., Inc.: Whitehouse Station, NJ, USA, 2021.
- Reck, M.; Rodriguez-Abreu, D.; Robinson, A.G.; Hui, R.; Csoszi, T.; Fulop, A.; Gottfried, M.; Peled, N.; Tafreshi, A.; Cuffe, S.; et al. Pembrolizumab versus Chemotherapy for PD-L1-Positive Non-Small-Cell Lung Cancer. N. Engl. J. Med. 2016, 375, 1823–1833. [Google Scholar] [CrossRef] [Green Version]
- Mok, T.S.K.; Wu, Y.L.; Kudaba, I.; Kowalski, D.M.; Cho, B.C.; Turna, H.Z.; Castro, G., Jr.; Srimuninnimit, V.; Laktionov, K.K.; Bondarenko, I.; et al. Pembrolizumab versus chemotherapy for previously untreated, PD-L1-expressing, locally advanced or metastatic non-small-cell lung cancer (KEYNOTE-042): A randomised, open-label, controlled, phase 3 trial. Lancet 2019, 393, 1819–1830. [Google Scholar] [CrossRef]
- Gandhi, L.; Rodriguez-Abreu, D.; Gadgeel, S.; Esteban, E.; Felip, E.; De Angelis, F.; Domine, M.; Clingan, P.; Hochmair, M.J.; Powell, S.F.; et al. Pembrolizumab plus Chemotherapy in Metastatic Non-Small-Cell Lung Cancer. N. Engl. J. Med. 2018, 378, 2078–2092. [Google Scholar] [CrossRef]
- Loong, H.H.; Wong, C.K.; Leung, L.K.S.; Dhankhar, P.; Insinga, R.P.; Chandwani, S.; Hsu, D.C.; Lee, M.Y.; Huang, M.; Pellissier, J. Cost effectiveness of PD-L1-based test-and-treat strategy with pembrolizumab as the first-line treatment for metastatic NSCLC in Hong Kong. Pharm.-Open 2020, 4, 235–247. [Google Scholar] [CrossRef] [Green Version]
- Pires, V.; Ribeiro, M.; Gouveia, A. 2SPD-013 Economic impact of the use of flat dose vs. personalised dose of pembrolizumab. 2019, 26, A25. [Google Scholar]
- Goldstein, D.A.; Gordon, N.; Davidescu, M.; Leshno, M.; Steuer, C.E.; Patel, N.; Stemmer, S.M.; Zer, A. A Phamacoeconomic Analysis of Personalized Dosing vs. Fixed Dosing of Pembrolizumab in Firstline PD-L1-Positive Non-Small Cell Lung Cancer. J. Natl. Cancer Inst. 2017, 109, 11. [Google Scholar] [CrossRef] [PubMed]
- Low, J.L.; Huang, Y.; Sooi, K.; Ang, Y.; Chan, Z.Y.; Spencer, K.; Jeyasekharan, A.D.; Sundar, R.; Goh, B.C.; Soo, R.; et al. Low-dose pembrolizumab in the treatment of advanced non-small cell lung cancer. Int. J. Cancer 2021, 149, 169–176. [Google Scholar] [CrossRef] [PubMed]
- Renner, A.; Burotto, M.; Rojas, C. Immune Checkpoint Inhibitor Dosing: Can We Go Lower Without Compromising Clinical Efficacy? J. Glob. Oncol. 2019, 5, 1–5. [Google Scholar] [CrossRef]
- Herbst, R.S.; Garon, E.B.; Kim, D.-W.; Cho, B.C.; Gervais, R.; Perez-Gracia, J.L.; Han, J.-Y.; Majem, M.; Forster, M.D.; Monnet, I. Five year survival update from KEYNOTE-010: Pembrolizumab versus docetaxel for previously treated, programmed death-ligand 1–positive advanced NSCLC. J. Thorac. Oncol. 2021, 16, 1718–1732. [Google Scholar] [CrossRef]
- Eisenhauer, E.A.; Therasse, P.; Bogaerts, J.; Schwartz, L.H.; Sargent, D.; Ford, R.; Dancey, J.; Arbuck, S.; Gwyther, S.; Mooney, M. New response evaluation criteria in solid tumours: Revised RECIST guideline (version 1.1). Eur. J. Cancer 2009, 45, 228–247. [Google Scholar] [CrossRef]
- Schwartz, L.H.; Litière, S.; De Vries, E.; Ford, R.; Gwyther, S.; Mandrekar, S.; Shankar, L.; Bogaerts, J.; Chen, A.; Dancey, J. RECIST 1.1—Update and clarification: From the RECIST committee. Eur. J. Cancer 2016, 62, 132–137. [Google Scholar] [CrossRef] [Green Version]
- Huang, Y.; Shen, A. The prediction potential of neutrophil-to-lymphocyte ratio for the therapeutic outcomes of programmed death receptor-1/programmed death ligand 1 inhibitors in non-small cell lung cancer patients: A meta-analysis. Medicine 2020, 99, e21718. [Google Scholar] [CrossRef]
- Jin, J.; Yang, L.; Liu, D.; Li, W. Association of the neutrophil to lymphocyte ratio and clinical outcomes in patients with lung cancer receiving immunotherapy: A meta-analysis. BMJ Open 2020, 10, e035031. [Google Scholar] [CrossRef]
- Faul, F.; Erdfelder, E.; Lang, A.-G.; Buchner, A. G* Power 3: A flexible statistical power analysis program for the social, behavioral, and biomedical sciences. Behav. Res. Methods 2007, 39, 175–191. [Google Scholar] [CrossRef]
- Wu, S.; Wang, L.; Li, W.; Chen, B.; Liu, Y.; Wang, H.; Zhao, S.; Ye, L.; Sun, H.; He, Y. Comparison between the first-line and second-line immunotherapy drugs in the progression-free survival and overall survival in advanced non-small cell lung cancer: A systematic review and meta-analysis of randomized controlled trials. Ann. Palliat. Med. 2020, 10, 1717–1726. [Google Scholar] [CrossRef] [PubMed]
- Yoo, S.H.; Keam, B.; Kim, M.; Kim, S.H.; Kim, Y.J.; Kim, T.M.; Kim, D.W.; Lee, J.S.; Heo, D.S. Low-dose nivolumab can be effective in non-small cell lung cancer: Alternative option for financial toxicity. ESMO Open 2018, 3, e000332. [Google Scholar] [CrossRef] [PubMed] [Green Version]
- Wang, Z.; Zhan, P.; Lv, Y.; Shen, K.; Wei, Y.; Liu, H.; Song, Y. Prognostic role of pretreatment neutrophil-to-lymphocyte ratio in non-small cell lung cancer patients treated with systemic therapy: A meta-analysis. Transl. Lung Cancer Res. 2019, 8, 214–226. [Google Scholar] [CrossRef] [PubMed]
- Yang, T.; Hao, L.; Yang, X.; Luo, C.; Wang, G.; Lin Cai, C.; Qi, S.; Li, Z. Prognostic value of derived neutrophil-to-lymphocyte ratio (dNLR) in patients with non-small cell lung cancer receiving immune checkpoint inhibitors: A meta-analysis. BMJ Open 2021, 11, e049123. [Google Scholar] [CrossRef]
- Russo, A.; Russano, M.; Franchina, T.; Migliorino, M.R.; Aprile, G.; Mansueto, G.; Berruti, A.; Falcone, A.; Aieta, M.; Gelibter, A. Neutrophil-to-lymphocyte ratio (NLR), platelet-to-lymphocyte ratio (PLR), and outcomes with nivolumab in pretreated non-small cell lung cancer (NSCLC): A large retrospective multicenter study. Adv. Ther. 2020, 37, 1145–1155. [Google Scholar] [CrossRef]
- Bagley, S.J.; Kothari, S.; Aggarwal, C.; Bauml, J.M.; Alley, E.W.; Evans, T.L.; Kosteva, J.A.; Ciunci, C.A.; Gabriel, P.E.; Thompson, J.C. Pretreatment neutrophil-to-lymphocyte ratio as a marker of outcomes in nivolumab-treated patients with advanced non-small-cell lung cancer. Lung Cancer 2017, 106, 1–7. [Google Scholar] [CrossRef]
- Mezquita, L.; Auclin, E.; Ferrara, R.; Charrier, M.; Remon, J.; Planchard, D.; Ponce, S.; Ares, L.P.; Leroy, L.; Audigier-Valette, C.; et al. Association of the Lung Immune Prognostic Index With Immune Checkpoint Inhibitor Outcomes in Patients With Advanced Non-Small Cell Lung Cancer. JAMA Oncol. 2018, 4, 351–357. [Google Scholar] [CrossRef]
- Gabrilovich, D.I.; Ostrand-Rosenberg, S.; Bronte, V. Coordinated regulation of myeloid cells by tumours. Nat. Rev. Immunol. 2012, 12, 253–268. [Google Scholar] [CrossRef] [Green Version]
- Diakos, C.I.; Charles, K.A.; McMillan, D.C.; Clarke, S.J. Cancer-related inflammation and treatment effectiveness. Lancet Oncol. 2014, 15, e493–e503. [Google Scholar] [CrossRef]
- Mantovani, A.; Allavena, P.; Sica, A.; Balkwill, F. Cancer-related inflammation. Nature 2008, 454, 436–444. [Google Scholar] [CrossRef]



| Total (n = 64) | Modified Dose (n = 36) | Standard Dose (n = 28) | p Value | |
|---|---|---|---|---|
| Age (years) | 0.129 | |||
| <65 | 39 (60.9) | 19 (52.8) | 20 (71.4) | |
| ≥65 | 25 (39.1) | 17 (47.2) | 8 (28.6) | |
| Sex | 0.355 | |||
| Male | 37 (57.8) | 19 (52.8) | 18 (64.3) | |
| Female | 27 (42.2) | 17 (47.2) | 10 (35.7) | |
| Brain metastases | 0.435 | |||
| Yes | 24 (37.5) | 12 (33.3) | 12 (42.9) | |
| No | 40 (62.5) | 24 (66.7) | 16 (57.1) | |
| Histologic subtype | 0.163 | |||
| Adenocarcinoma | 54 (84.4) | 28 (77.8) | 26 (92.9) | |
| Squamous cell carcinoma | 8 (12.5) | 7 (19.4) | 1 (3.6) | |
| Other * | 2 (3.1) | 1 (2.8) | 1 (3.6) | |
| Smoking history | 0.95 | |||
| Current or ex-smoker | 30 (46.9) | 17 (47.2) | 14 (46.4) | |
| Never smoked | 34 (53.1) | 19 (52.8) | 15 (53.6) | |
| ECOG PS | 0.748 | |||
| 0–1 | 47 (73.4) | 27 (75) | 20 (71.4) | |
| ≥2 | 17 (26.6) | 9 (25) | 8 (28.6) | |
| EGFR mutation | 0.076 | |||
| Yes | 17 (26.6) | 10 (27.8) | 7 (25) | |
| No | 38 (59.4) | 18 (50) | 20 (71.4) | |
| Unknown | 9 (14.1) | 8 (22.2) | 1 (3.6) | |
| ALK rearrangement | 0.935 | |||
| Yes | 2 (3.1) | 1 (2.8) | 1 (3.6) | |
| No | 47 (73.4) | 26 (72.2) | 21 (75) | |
| Unknown | 15 (23.4) | 9 (25) | 6 (21.4) | |
| PD-L1 (TPS score) | 0.117 | |||
| <1% | 15 (23.4) | 12 (33.3) | 3 (10.7) | |
| 1–49% | 9 (14.1) | 6 (16.7) | 3 (10.7) | |
| ≥50% | 31 (48.4) | 14 (38.9) | 17 (60.7) | |
| Unknown | 9 (14.1) | 4 (11.1) | 5 (17.9) | |
| Pretreatment NLR | 0.874 | |||
| <5 | 29 (45.3) | 16 (44.4) | 13 (46.4) | |
| ≥5 | 35 (54.7) | 20 (55.6) | 15 (53.6) | |
| Dose/kg of pembrolizumab | 2.4 (0.8–4.4) | 1.8 (0.8–4.4) | 3.3 (2.3–4.0) | <0.001 |
| Line of treatment | 0.015 | |||
| First | 25 (39.1) | 10 (27.8) | 15 (53.6) | |
| Second | 15 (23.4) | 7 (19.4) | 8 (28.6) | |
| Third or beyond | 24 (37.5) | 19 (52.8) | 5 (17.9) | |
| Partner drug | 0.005 | |||
| Monotherapy | 35 (54.7) | 15 (41.7) | 20 (71.4) | |
| Combined CT a | 26 (40.6) | 21 (58.3) | 5 (17.9) | |
| Combined TKI b | 3 (4.7) | 0 | 3 (10.7) | |
| Treatment duration (months) | 2.9 (<0.1–17.3) | 2.3 (<0.1–15.5) | 5.0 (<0.1–17.3) | 0.018 |
| OS | PFS | |||||||
|---|---|---|---|---|---|---|---|---|
| Univariable | Multivariable | Univariable | Multivariable | |||||
| HR (95% CI) | p Value | HR (95% CI) | p Value | HR (95% CI) | p Value | HR (95% CI) | p Value | |
| Standard dose (ref: modified) | 0.670 (0.293–1.533) | 0.343 | 0.591 (0.059–5.954) | 0.656 | 0.517 (0.266–1.004) | 0.051 | 0.642 (0.105–3.927) | 0.631 |
| Dose (mg/kg) | 0.790 (0.485–1.289) | 0.346 | 0.677 (0.158–2.898) | 0.599 | 0.687 (0.474–0.997) | 0.048 | 0.543 (0.191–1.549) | 0.254 |
| Pretreatment NLR <5 (ref: NLR ≥ 5) | 0.231 (0.095–0.566) | 0.001 | 0.052 (0.006–0.489) | 0.010 | 0.309 (0.158–0.604) | 0.001 | 0.259 (0.082–0.816) | 0.021 |
| PD-L1 positive (ref: negative) | 0.467 (0.190–1.151) | 0.098 | 0.218 (0.061–0.782) | 0.019 | 0.560 (0.271–1.158) | 0.118 | 0.425 (0.160–1.130) | 0.086 |
| ECOG PS 0-1 (ref: ≥2) | 0.33 (0.147–0.740) | 0.007 | 0.444 (0.108–1.818) | 0.259 | 0.495 (0.250–0.980) | 0.044 | 0.411 (0.126–1.340) | 0.141 |
| ADC (ref: SqCC) | 1.760 (0.412–7.524) | 0.446 | 0.062 (0.002–1.652) | 0.097 | 0.911 (0.380–2.188) | 0.836 | 0.052 (0.003–0.832) | 0.037 |
| EGFR mutation (ref: no) | 1.224 (0.494–3.033) | 0.663 | 1.665 (0.356–7.788) | 0.517 | 1.975 (0.967–4.036) | 0.062 | 1.154 (0.381–3.494) | 0.800 |
| Age < 65 (ref: ≥65) | 0.674 (0.307–1.482) | 0.327 | 0.296 (0.070–1.248) | 0.097 | 0.972 (0.515–1.835) | 0.909 | 1.463 (0.503–4.253) | 0.485 |
| Male (ref: Female) | 0.877 (0.397–1.936) | 0.745 | 0.696 (0.129–3.749) | 0.673 | 0.969 (0.517–1.816) | 0.922 | 0.980 (0.285–3.364) | 0.974 |
| Smoking (ref: non) | 1.291 (0.382–2.860) | 0.530 | 3.161 (0.382–26.188) | 0.286 | 0.645 (0.344–1.210) | 0.172 | 0.450 (0.112–1.806) | 0.260 |
| Brain metastases (ref: no) | 0.969 (0.427–2.197) | 0.939 | 0.713 (0.173–2.938) | 0.639 | 1.269 (0.665–2.422) | 0.469 | 1.191 (0.461–3.072) | 0.718 |
| First-line therapy (ref: ≥2) | 0.596 (0.248–1.430) | 0.247 | 1.119 (0.166–7.552) | 0.908 | 0.520 (0.263–1.028) | 0.060 | 1.062 (0.312–3.616) | 0.923 |
| Best Overall Response, No. (%) | ORR * | DCR † | |||||||
|---|---|---|---|---|---|---|---|---|---|
| CR | PR | SD | PD | NE | No. (%) | p Value | No. (%) | p Value | |
| All patients (n = 64) | |||||||||
| Modified-dose group (n = 36) | 0 | 5 (13.9) | 18 (50) | 9 (25) | 4 (11.1) | 5 (13.9) | 0.001 | 23 (63.9) | 0.202 |
| Standard-dose group (n = 28) | 1 (3.6) | 14 (50) | 7 (25) | 4 (14.3) | 2 (7.1) | 15 (53.6) | 22 (78.6) | ||
| First-line treatment (n = 25) | |||||||||
| Modified-dose group (n = 10) | 0 | 3 (30) | 4 (40) | 2 (20) | 1 (10) | 3 (30) | 0.086 | 7 (70) | 0.517 |
| Standard-dose group (n = 15) | 1 (6.7) | 9 (60) | 2 (13.3) | 2 (13.3) | 1 (6.7) | 10 (66.7) | 12 (80) | ||
| Beyond first-line treatment (n = 39) | |||||||||
| Modified-dose group (n = 26) | 0 | 2 (7.7) | 14 (53.8) | 7 (26.9) | 3 (11.5) | 2 (7.7) | 0.033 | 16 (61.5) | 0.324 |
| Standard-dose group (n = 13) | 0 | 5 (38.5) | 5 (38.5) | 2 (15.4) | 1 (7.7) | 5 (38.5) | 10 (77) | ||
| Low NLR (n = 29) | |||||||||
| Modified-dose group (n = 16) | 0 | 4 (25) | 10 (62.5) | 1 (6.3) | 1 (6.3) | 4 (25) | 0.067 | 14 (87.5) | 1 |
| Standard-dose group (n = 13) | 1 (7.7) | 7 (53.8) | 3 (23.1) | 2 (15.4) | 0 | 8 (61.5) | 11 (84.6) | ||
| High NLR (n = 35) | |||||||||
| Modified-dose group (n = 20) | 0 | 1 (5) | 8 (40) | 8 (40) | 3 (15) | 1 (5) | 0.011 | 9 (45) | 0.167 |
| Standard-dose group (n = 15) | 0 | 7 (46.7) | 4 (26.7) | 2 (13.3) | 2 (13.3) | 7 (46.7) | 11 (73.4) | ||
Publisher’s Note: MDPI stays neutral with regard to jurisdictional claims in published maps and institutional affiliations. |
© 2022 by the authors. Licensee MDPI, Basel, Switzerland. This article is an open access article distributed under the terms and conditions of the Creative Commons Attribution (CC BY) license (https://creativecommons.org/licenses/by/4.0/).
Share and Cite
To, S.-Y.; Kao, L.-T.; Shih, J.-H.; Li, I.-H.; Huang, T.-W.; Tsai, C.-L.; Chian, C.-F.; Ho, C.-L.; Chang, P.-Y. Modified-Dose Pembrolizumab and Prognostic Outcomes among Non-Small Cell Lung Cancer Patients: A Chart Review Study. Int. J. Environ. Res. Public Health 2022, 19, 5999. https://doi.org/10.3390/ijerph19105999
To S-Y, Kao L-T, Shih J-H, Li I-H, Huang T-W, Tsai C-L, Chian C-F, Ho C-L, Chang P-Y. Modified-Dose Pembrolizumab and Prognostic Outcomes among Non-Small Cell Lung Cancer Patients: A Chart Review Study. International Journal of Environmental Research and Public Health. 2022; 19(10):5999. https://doi.org/10.3390/ijerph19105999
Chicago/Turabian StyleTo, Sheng-Yin, Li-Ting Kao, Jui-Hu Shih, I-Hsun Li, Tsai-Wang Huang, Chen-Liang Tsai, Chih-Feng Chian, Ching-Liang Ho, and Ping-Ying Chang. 2022. "Modified-Dose Pembrolizumab and Prognostic Outcomes among Non-Small Cell Lung Cancer Patients: A Chart Review Study" International Journal of Environmental Research and Public Health 19, no. 10: 5999. https://doi.org/10.3390/ijerph19105999
APA StyleTo, S.-Y., Kao, L.-T., Shih, J.-H., Li, I.-H., Huang, T.-W., Tsai, C.-L., Chian, C.-F., Ho, C.-L., & Chang, P.-Y. (2022). Modified-Dose Pembrolizumab and Prognostic Outcomes among Non-Small Cell Lung Cancer Patients: A Chart Review Study. International Journal of Environmental Research and Public Health, 19(10), 5999. https://doi.org/10.3390/ijerph19105999

