A Comparison of Particulate Exposure Levels during Taxi, Bus, and Metro Commuting among Four Chinese Megacities
Abstract
:1. Introduction
2. Materials and Methods
2.1. Experimental Design
2.2. Mobile-Based In-Transit Measurements
2.3. Quality Check and Validation of Measurements
2.4. Data Collection and Preprocessing
2.4.1. Data Collection
2.4.2. Data Preprocessing
2.5. Data Analysis
- (1)
- Effects of in-cabin environmental conditions (for bus and metro): in-cabin environmental conditions might vary across route segments during the trip; therefore, we investigated the effect of in-cabin environmental conditions on the variations in PM concentrations between route segments during the trip. Given that the PM concentrations data of some trips were not normally distributed, we selected trips that showed normal distribution of PM concentration data. For each trip, we performed a factorial ANCOVA analysis to examine the effect of in-cabin transit conditions on the variations in PM concentrations between route segments, wherein travel duration was considered a covariate. Moreover, factorial ANOVA analysis was conducted when no significant effect of the covariate was identified. Additionally, we defined the data of PM concentrations measured during the moving period of route segments as the dependent variable, considering that the PM concentrations measured during the idling period might be affected by other extraneous factors, such as indoor–outdoor air/gas exchange when passengers were boarding and alighting.
- (2)
- Effects of in-cabin environmental conditions (for taxi): the in-cabin environmental conditions of taxis included in-cabin ventilation conditions, temperature, and relative humidity. The ventilation conditions of taxis were manipulated by taxi drivers based on their habits and, thus, varied. Therefore, we employed simplified descriptive statistics to examine whether the changes in PM concentrations were associated with the changes in ventilation conditions, i.e., comparing the average PM concentrations measured during the five minutes before and after the change in ventilation conditions.
- (3)
- Effects of out-cabin and urban background environmental conditions: For the effect of out-cabin environments measured by our investigators when waiting for buses and metro trains, we examined the correlations between the in-cabin PM concentrations measured on first route segment (moving period) and the PM concentrations measured at each bus platform and metro station before boarding, which indicated whether the out-cabin PM concentrations during the idling period had any effect on the in-cabin PM concentrations. Regarding the effect of urban background environment, which aims for cities’ comparison, we examined the correlation between in-cabin PM concentrations measured during the moving periods in each of the four cities and their urban background PM concentrations, as well as meteorological conditions.
3. Results and Discussion
3.1. General Description on Exposure Levels and Transit Conditions
3.2. Variations in In-Transit Exposure Levels among Cities
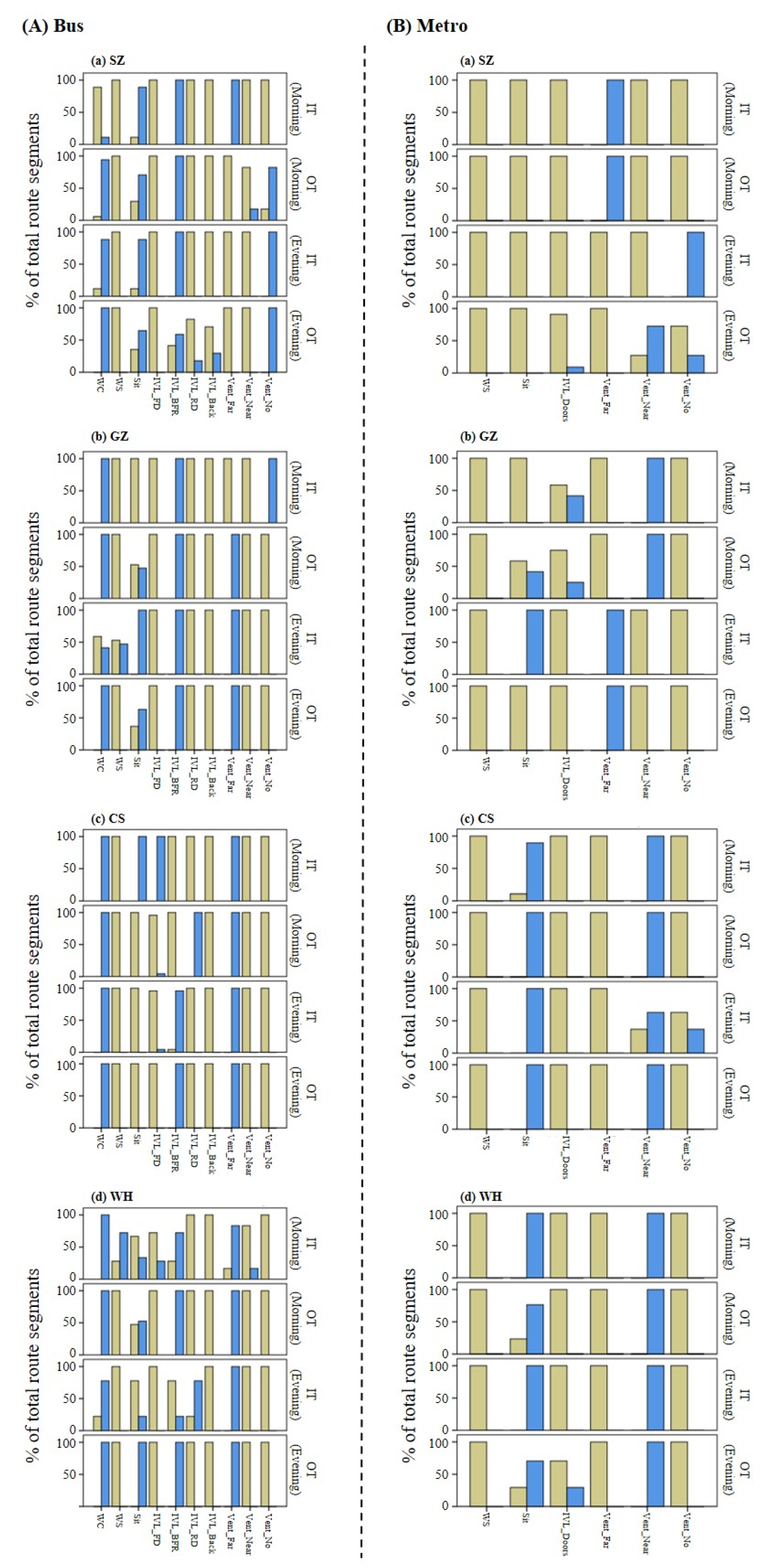
3.3. Effects of En-Route Environmental Conditions on the Variation in Exposure Levels
3.3.1. In-Cabin Environmental Conditions
3.3.2. Out-Cabin and Urban Background Environmental Conditions
4. Discussion
5. Conclusions
Supplementary Materials
Author Contributions
Funding
Institutional Review Board Statement
Informed Consent Statement
Data Availability Statement
Conflicts of Interest
References
- WHO. Ambient (Outdoor) Air Pollution. 2021. Available online: https://www.who.int/news-room/fact-sheets/detail/ambient-(outdoor)-air-quality-and-health (accessed on 25 April 2022).
- de Nazelle, A.; Bode, O.; Orjuela, J.P. Comparison of air pollution exposures in active vs. passive travel modes in European cities: A quantitative review. Environ. Int. 2017, 99, 151–160. [Google Scholar] [CrossRef] [PubMed]
- Knibbs, L.; Cole-Hunter, T.; Morawska, L. A review of commuter exposure to ultrafine particles and its health effects. Atmos. Environ. 2011, 45, 2611–2622. [Google Scholar] [CrossRef] [Green Version]
- Kumar, P.; Patton, A.; Durant, J.L.; Frey, H.C. A review of factors impacting exposure to PM2.5, ultrafine particles and black carbon in Asian transport microenvironments. Atmos. Environ. 2018, 187, 301–316. [Google Scholar] [CrossRef]
- Rezaei, M.; Salimi, A.; Taghidust, M.; Naserzadeh, P.; Goudarzi, G.; Seydi, E.; Pourahmad, J. A comparison of toxicity mechanisms of dust storm particles collected in the southwest of Iran on lung and skin using isolated mitochondria. Toxicol. Environ. Chem. 2014, 96, 814–830. [Google Scholar] [CrossRef]
- Cohen, A.J.; Brauer, M.; Burnett, R. Estimates and 25-year trends of the global burden of disease attributable to ambient air pollution: An analysis of data from the Global Burden of Diseases Study 2015. Lancet 2018, 391, 1576. [Google Scholar] [CrossRef] [Green Version]
- Caplin, A.; Ghandehari, M.; Lim, C.; Glimcher, P.; Thurston, G. Advancing environmental exposure assessment science to benefit society. Nat. Commun. 2019, 10, 1236. [Google Scholar] [CrossRef] [Green Version]
- Pant, P.; Harrison, R.M. Estimation of the contribution of road traffic emissions to particulate matter concentrations from field measurements: A review. Atmos. Environ. 2013, 77, 78–97. [Google Scholar] [CrossRef]
- Cepeda, M.; Schoufour, J.; Freak-Poli, R.; Koolhaas, C.M.; Dhana, K.; Bramer, W.M.; Franco, O.H. Levels of ambient air pollution according to mode of transport: A systematic review. Lancet Public Health 2016, 2, e23–e34. [Google Scholar] [CrossRef] [Green Version]
- Liu, Y.; Zhong, H.; Liu, K.; Gao, H.O.; He, L.; Xu, R.; Ding, H.; Huang, W. Assessment of personal exposure to PM for multiple transportation modes. Transp. Res. Part D Transp. Environ. 2021, 101, 103086. [Google Scholar] [CrossRef]
- Rivas, B.; Kumar, P.; Hagen-Zanker, A. Exposure to air pollutants during commuting in London: Are there inequalities among different socio-economic groups? Environ. Int. 2017, 101, 143–157. [Google Scholar] [CrossRef] [Green Version]
- Zuurbier, M.; Hoek, G.; Oldenwening, M.; Lenters, V.; Meliefste, K.; Van Den Hazel, P.; Brunekreef, B. Commuters’ Exposure to Particulate Matter Air Pollution Is Affected by Mode of Transport, Fuel Type, and Route. Environ. Health Perspect. 2010, 118, 783–789. [Google Scholar] [CrossRef] [PubMed] [Green Version]
- Ren, J.; He, J.; Kong, X.; Xu, W.; Kang, Y.; Yu, Z.; Li, H. A field study of CO2 and particulate matter characteristics during the transition season in the subway system in Tianjin, China. Energy Build. 2022, 254, 111620. [Google Scholar] [CrossRef]
- Hong, A. Effect of mode shift from car to light rail on personal exposure: A controlled experiment. Atmos. Environ. 2018, 196, 53–65. [Google Scholar] [CrossRef]
- Apparicio, P.; Gelb, J.; Carrier, M.; Mathieu, M.; Kingham, S. Exposure to noise and air pollution by mode of transportation during rush hours in Montreal. J. Transp. Geogr. 2018, 70, 182–192. [Google Scholar] [CrossRef]
- Kumar, P.; Rivas, I.; Singh, A.P.; Ganesh, V.J.; Ananya, M.; Frey, H.C. Dynamics of coarse and fine particle exposure in transport microenvironments. NPJ Clim. Atmos. Sci. 2018, 1, 11. [Google Scholar] [CrossRef]
- Ngoc, L.T.N.; Kim, M.; Bui, V.K.H.; Park, D.; Lee, Y.-C. Particulate Matter Exposure of Passengers at Bus Stations: A Review. Int. J. Environ. Res. Public Health 2018, 15, 2886. [Google Scholar] [CrossRef] [Green Version]
- Xu, B.; Hao, J. Air quality inside subway metro indoor environment worldwide: A review. Environ. Int. 2017, 107, 33–46. [Google Scholar] [CrossRef]
- Mitsakou, C.; Adamson, J.P.; Doutsi, A.; Brunt, H.; Jones, S.J.; Gowers, A.M.; Exley, K.S. Assessing the exposure to air pollution during transport in urban areas—Evidence review. J. Transp. Health 2021, 21, 101064. [Google Scholar] [CrossRef]
- Passi, A.; Nagendra, S.S.; Maiya, M. Characteristics of indoor air quality in underground metro stations: A critical review. Build. Environ. 2021, 198, 107907. [Google Scholar] [CrossRef]
- Choi, W.; Ranasinghe, D.; DeShazo, J.; Kim, J.-J.; Paulson, S.E. Where to locate transit stops: Cross-intersection profiles of ultrafine particles and implications for pedestrian exposure. Environ. Pollut. 2018, 233, 235–245. [Google Scholar] [CrossRef]
- Goel, A.; Kumar, P. Characterisation of nanoparticle emissions and exposure at traffic intersections through fast–response mobile and sequential measurements. Atmos. Environ. 2015, 107, 374–390. [Google Scholar] [CrossRef] [Green Version]
- Jiao, W.; Frey, H.C. Comparison of Fine Particulate Matter and Carbon Monoxide Exposure Concentrations for Selected Transportation Modes. Transp. Res. Rec. J. Transp. Res. Board 2014, 2428, 54–62. [Google Scholar] [CrossRef]
- Joodatnia, P.; Kumar, P.; Robins, A. The behaviour of traffic produced nanoparticles in a car cabin and resulting exposure rates. Atmos. Environ. 2013, 65, 40–51. [Google Scholar] [CrossRef] [Green Version]
- Karanasiou, A.; Viana, M.; Querol, X.; Moreno, T.; de Leeuw, F. Assessment of personal exposure to particulate air pollution during commuting in European cities—Recommendations and policy implications. Sci. Total Environ. 2014, 490, 785–797. [Google Scholar] [CrossRef] [PubMed]
- Okokon, E.O.; Yli-Tuomi, T.; Turunen, A.W.; Taimisto, P.; Pennanen, A.; Vouitsis, I.; Samaras, Z.; Voogt, M.; Keuken, M.; Lanki, T. Particulates and noise exposure during bicycle, bus and car commuting: A study in three European cities. Environ. Res. 2017, 154, 181–189. [Google Scholar] [CrossRef] [PubMed]
- Van Ryswyk, K.; Anastasopolos, A.T.; Evans, G.; Sun, L.; Sabaliauskas, K.; Kulka, R.; Wallace, L.; Weichenthal, S. Metro Commuter Exposures to Particulate Air Pollution and PM2.5-Associated Elements in Three Canadian Cities: The Urban Transportation Exposure Study. Environ. Sci. Technol. 2017, 51, 5713–5720. [Google Scholar] [CrossRef] [Green Version]
- Weichenthal, S.; Van Ryswyk, K.; Kulka, R.; Sun, L.; Wallace, L.; Joseph, L. In-Vehicle Exposures to Particulate Air Pollution in Canadian Metropolitan Areas: The Urban Transportation Exposure Study. Environ. Sci. Technol. 2014, 49, 597–605. [Google Scholar] [CrossRef]
- Tan, S.H.; Roth, M.; Velasco, E. Particle exposure and inhaled dose during commuting in Singapore. Atmos. Environ. 2017, 170, 245–258. [Google Scholar] [CrossRef]
- TSI_Inc. DUSTTRAK™ Drx Aerosol Monitor Theory of Operation—Application Note Expmn-002; TSI Incorporated: Shoreview, MN, USA, 2012; p. 4. [Google Scholar]
- TSI_Inc. Rationale for Programming a Photometer Calibration Factor (PCF) of 0.38 for Ambient Monitoring; TSI Incorporated: Shoreview, MN, USA, 2013. [Google Scholar]
- Wang, X.; Chancellor, G.; Evenstad, J.; Farnsworth, J.E.; Hase, A.; Olson, G.M.; Sreenath, A.; Agarwal, J.K. A Novel Optical Instrument for Estimating Size Segregated Aerosol Mass Concentration in Real Time. Aerosol Sci. Technol. 2009, 43, 939–950. [Google Scholar] [CrossRef]
- Wang, Z.; Calderón, L.; Patton, A.; Allacci, M.S.; Senick, J.; Wener, R.; Andrews, C.J.; Mainelis, G. Comparison of real-time instruments and gravimetric method when measuring particulate matter in a residential building. J. Air Waste Manag. Assoc. 2016, 66, 1109–1120. [Google Scholar] [CrossRef]
- Patton, A.P.; Calderon, L.; Xiong, Y.; Wang, Z.; Senick, J.; Allacci, M.S.; Plotnik, D.; Wener, R.; Andrews, C.J.; Krogmann, U.; et al. Airborne Particulate Matter in Two Multi-Family Green Buildings: Concentrations and Effect of Ventilation and Occupant Behavior. Int. J. Environ. Res. Public Health 2016, 13, 144. [Google Scholar] [CrossRef]
- Che, W.; Frey, H.C.; Lau, A. Sequential Measurement of Intermodal Variability in Public Transportation PM2.5 and CO Exposure Concentrations. Environ. Sci. Technol. 2016, 50, 8760–8769. [Google Scholar] [CrossRef]
- Li, Z.; Che, W.; Lau, A.K.; Fung, J.C.; Lin, C.; Lu, X. A feasible experimental framework for field calibration of portable light-scattering aerosol monitors: Case of TSI DustTrak. Environ. Pollut. 2019, 255, 113136. [Google Scholar] [CrossRef]
- Fischer, S.L.; Koshland, C.P. Field performance of a nephelometer in rural kitchens: Effects of high humidity excursions and correlations to gravimetric analyses. J. Expo. Sci. Environ. Epidemiol. 2006, 17, 141–150. [Google Scholar] [CrossRef]
- Wallace, L.A.; Wheeler, A.J.; Kearney, J.; Van Ryswyk, K.; You, H.; Kulka, R.H.; Rasmussen, P.E.; Brook, J.R.; Xu, X. Validation of continuous particle monitors for personal, indoor, and outdoor exposures. J. Expo. Sci. Environ. Epidemiol. 2011, 21, 49–64. [Google Scholar] [CrossRef]
- Rivas, I.; Mazaheri, M.; Viana, M.; Moreno, T.; Clifford, S.; He, C.; Bischof, O.F.; Martins, V.; Reche, C.; Alastuey, A.; et al. Identification of technical problems affecting performance of DustTrak DRX aerosol monitors. Sci. Total Environ. 2017, 584–585, 849–855. [Google Scholar] [CrossRef] [Green Version]
- Li, Z.; Che, W.; Frey, H.C.; Lau, A.K. Factors affecting variability in PM2.5 exposure concentrations in a metro system. Environ. Res. 2018, 160, 20–26. [Google Scholar] [CrossRef] [PubMed]
- Velasco, E.; Segovia, E. Determining a Commuters’ Exposure to Particle and Noise Pollution on Double-decker Buses. Aerosol Air Qual. Res. 2021, 21, 210165. [Google Scholar] [CrossRef]
- Patton, A.P.; Laumbach, R.; Ohman-Strickland, P.; Black, K.; Alimokhtari, S.; Lioy, P.J.; Kipen, H.M. Scripted drives: A robust protocol for generating exposures to traffic-related air pollution. Atmos. Environ. 2016, 143, 290–299. [Google Scholar] [CrossRef] [PubMed] [Green Version]





| Factor | Type | Factor Name | Factor Description |
|---|---|---|---|
| In-Cabin | Transit Condition | Window Closed (WC) | dummy variable (0 or 1), “1” = “Windows surrounding the investigator are closed inside the bus cabin” |
| Sit | dummy variable (0 or 1), 1 indicate “The investigator was sitting when conducting measurement inside the cabin” | ||
| Ventilator_Near (VN) | dummy variable (0 or 1), 1 indicate “Vents are located directly above or below the investigator” | ||
| Ventilator_Far (VF) | dummy variable (0 or 1), 1 indicate “Vents are surrounding the investigator but are not located directly above or below the investigator” | ||
| Ventilator_No (VO) | dummy variable (0 or 1), 1 indicate “No vent is in the area surrounding the investigator” | ||
| In-Vehicle Location_FrontDoor (IVL_FD) | dummy variable (0 or 1), 1 indicate “The position of the investigator inside the bus cabin is near the front door” | ||
| In-Vehicle Location_BFR (IVL_BFR) | dummy variable (0 or 1), 1 indicate “The position of the investigator inside the bus cabin o is between the front and rear doors” | ||
| In-Vehicle Location_RearDoor (IVL_RD) | dummy variable (0 or 1), 1 indicate “The position of the investigator inside the bus cabin is near the rear door” | ||
| In-Vehicle Location_Back (IVL_Back) | dummy variable (0 or 1), 1 indicate “The position of the investigator inside bus cabin is at the back part” | ||
| In-Vehicle Location_Seats (IVL_Seats) | dummy variable (0 or 1), 1 indicate “The position of the investigator inside the metro cabin is the seating area” | ||
| In-Vehicle Location_Doors (IVL_Doors) | dummy variable (0 or 1), 1 indicate “The position of the investigator inside the metro cabin is near the door” | ||
| Passengers’ density (PD) | The density of passengers inside the cabin (value = 1, 2, 3, 4, 5). | ||
| Trip duration (TD) | The travel time (minutes) of each trip. | ||
| Tem | Temperature (Tem) | The temperature inside the cabin measured by the investigator. | |
| RH | Relative Humidity (RH) | The relative humidity inside the cabin measured by the investigator. | |
| Out-Cabin | Out-cabin PM | PM concentrations (Bus platform) | PM1, PM2.5, and PM10 concentrations measured at bus platform while investigator was waiting for the bus. |
| PM concentrations (Metro station) | PM1, PM2.5, and PM10 concentrations measured by investigator while walking from entrance to platform, we divided this period into three parts: E-T represents walking from entrance to turnstile, T-P represents walking from turnstile to platform, and Platform represents the period waiting for the train. | ||
| Urban background PM | Urban ambient PM concentration | PM2.5, PM10 concentrations measured by fixed urban PM monitoring stations. | |
| Urban Meteorological Condition | Temperature (U-Tem) | min, mean, max values of temperature measured by fixed urban meteorological stations (unit 0.1 °C). | |
| Relative Humidity (U-RH) | min, mean, max values of relative humidity measured by fixed urban meteorological stations (unit 1%). | ||
| Precipitation (PRE) | mean values of precipitations measured by fixed urban meteorological stations, two groups (i.e., 8–20 for day, 20–8 for night) (unit 0.1 mm). | ||
| Wind Speed | mean and max values of wind speed measured by fixed urban meteorological stations (unit 0.1 m/s). |
| (a) | ||||||||
| Morning | Evening | |||||||
| PM1 | PM2.5 | PM10 | PM1 | PM2.5 | PM10 | |||
| Taxi | IT a | Chi-Square | 47.654 | 46.413 | 52.191 | 50.499 | 50.295 | 48.241 |
| Monte Carlo Sig. * | 0.000 | 0.000 | 0.000 | 0.000 | 0.000 | 0.000 | ||
| OT b | Chi-Square | 57.375 | 65.370 | 61.915 | 37.577 | 43.235 | 52.554 | |
| Monte Carlo Sig. * | 0.000 | 0.000 | 0.000 | 0.000 | 0.000 | 0.000 | ||
| Bus | IT | Chi-Square | 40.933 | 49.289 | 46.470 | 42.543 | 44.964 | 48.080 |
| Monte Carlo Sig. * | 0.000 | 0.000 | 0.000 | 0.000 | 0.000 | 0.000 | ||
| OT | Chi-Square | 54.147 | 54.151 | 41.488 | 36.378 | 42.317 | 43.687 | |
| Monte Carlo Sig. * | 0.000 | 0.000 | 0.000 | 0.000 | 0.000 | 0.000 | ||
| Metro | IT | Chi-Square | 55.508 | 53.758 | 51.148 | 35.282 | 37.080 | 26.882 |
| Monte Carlo Sig. * | 0.000 | 0.000 | 0.000 | 0.000 | 0.000 | 0.000 | ||
| OT | Chi-Square | 51.782 | 51.929 | 46.490 | 61.612 | 63.139 | 48.983 | |
| Monte Carlo Sig. * | 0.000 | 0.000 | 0.000 | 0.000 | 0.000 | 0.000 | ||
| (b) | ||||||||
| Morning | Evening | |||||||
| PM1 | PM2.5 | PM10 | PM1 | PM2.5 | PM10 | |||
| Taxi | IT | Std.J–T Statistics | 4.892 | 5.813 | 7.449 | −0.518 | −0.149 | 0.966 |
| Monte Carlo Sig. | 0.000 * | 0.000 * | 0.000 * | 0.305 | 0.434 | 0.171 | ||
| OT | Std. J–T Statistics | 8.855 | 9.362 | 9.005 | 5.124 | 5.791 | 7.337 | |
| Monte Carlo Sig. * | 0.000 | 0.000 | 0.000 | 0.000 | 0.000 | 0.000 | ||
| Bus | IT | Std.J–T Statistics | 6.059 | 6.565 | 6.292 | 3.393 | 4.072 | 6.256 |
| Monte Carlo Sig. * | 0.000 | 0.000 | 0.000 | 0.000 | 0.000 | 0.000 | ||
| OT | Std. J–T Statistics | 2.635 | 2.635 | 5.176 | 5.687 | 5.530 | 5.149 | |
| Monte Carlo Sig. | 0.004 | 0.004 | 0.000 * | 0.000 * | 0.000 * | 0.000 * | ||
| Metro | IT | Std. J–T Statistics | 5.028 | 5.549 | 6.817 | 3.224 | 3.368 | 3.517 |
| Monte Carlo Sig. * | 0.000 | 0.000 | 0.000 | 0.000 | 0.000 | 0.000 | ||
| OT | Std. J–T Statistics | 6.241 | 6.724 | 6.682 | 6.199 | 6.408 | 5.809 | |
| Monte Carlo Sig. * | 0.000 | 0.000 | 0.000 | 0.000 | 0.000 | 0.000 | ||
| (a) | ||||||||
| Morning | Evening | |||||||
| PM1/PM2.5 | PM1/PM10 | PM2.5/PM10 | PM1/PM2.5 | PM1/PM10 | PM2.5/PM10 | |||
| Taxi | IT a | Chi-Square | 49.345 | 44.320 | 39.665 | 39.837 | 44.615 | 41.997 |
| Monte Carlo Sig. * | 0.000 | 0.000 | 0.000 | 0.000 | 0.000 | 0.000 | ||
| OT b | Chi-Square | 42.507 | 44.258 | 41.048 | 45.203 | 48.507 | 45.682 | |
| Monte Carlo Sig. * | 0.000 | 0.000 | 0.000 | 0.000 | 0.000 | 0.000 | ||
| Bus | IT | Chi-Square | 41.019 | 38.381 | 36.120 | 50.921 | 54.507 | 53.130 |
| Monte Carlo Sig. * | 0.000 | 0.000 | 0.000 | 0.000 | 0.000 | 0.000 | ||
| OT | Chi-Square | 30.795 | 28.086 | 26.933 | 57.334 | 46.640 | 43.020 | |
| Monte Carlo Sig. * | 0.000 | 0.000 | 0.000 | 0.000 | 0.000 | 0.000 | ||
| Metro | IT | Chi-Square | 22.695 | 26.464 | 24.234 | 5.863 | 7.764 | 6.631 |
| Monte Carlo Sig. | 0.000 * | 0.000 * | 0.000 * | 0.120 | 0.053 | 0.085 | ||
| OT | Chi-Square | 12.341 | 10.606 | 9.764 | 21.889 | 14.544 | 11.731 | |
| Monte Carlo Sig. | 0.005 | 0.012 | 0.017 | 0.000 * | 0.002 | 0.005 | ||
| (b) | ||||||||
| Morning | Evening | |||||||
| PM1/PM2.5 | PM1/PM10 | PM2.5/PM10 | PM1/PM2.5 | PM1/PM10 | PM2.5/PM10 | |||
| Taxi | IT | Std.J–T Statistics | −7.300 | −5.947 | −5.318 | −6.901 | −7.252 | −6.798 |
| Monte Carlo Sig. * | 0.000 | 0.000 | 0.000 | 0.000 | 0.000 | 0.000 | ||
| OT | Std. J–T Statistics | −6.155 | −5.040 | −4.528 | −6.025 | −7.758 | −7.501 | |
| Monte Carlo Sig. * | 0.000 | 0.000 | 0.000 | 0.000 | 0.000 | 0.000 | ||
| Bus | IT | Std.J–T Statistics | −4.364 | −5.309 | −5.321 | −4.772 | −5.719 | −5.902 |
| Monte Carlo Sig. * | 0.000 | 0.000 | 0.000 | 0.000 | 0.000 | 0.000 | ||
| OT | Std. J–T Statistics | −4.020 | −5.320 | −5.283 | −2.069 | −3.616 | −4.267 | |
| Monte Carlo Sig. | 0.000 * | 0.000 * | 0.000 * | 0.018 | 0.000 * | 0.000 * | ||
| Metro | IT | Std. J–T Statistics | −4.152 | −4.615 | −4.422 | −1.891 | −2.591 | −2.434 |
| Monte Carlo Sig. | 0.000 * | 0.000 * | 0.000 * | 0.031 | 0.005 | 0.008 | ||
| OT | Std. J–T Statistics | −2.208 | −2.811 | −2.561 | −3.849 | −2.673 | −2.237 | |
| Monte Carlo Sig. | 0.014 | 0.003 | 0.005 | 0.000 * | 0.004 | 0.012 | ||
| Before (Changing Ventilation) | After (Changing Ventilation) | Differences (After–Before) | ||||
|---|---|---|---|---|---|---|
| PM1 | PM2.5 | PM10 | ||||
| IT (Morning) | WH | WC a (Heating) | WO b (driver) | 0.013 | 0.013 | −0.011 |
| OT(Morning) | CS_1 | WC | WO (1/5-driver) | 0.007 | 0.008 | 0.010 |
| CS_2 | WO (1/5-driver) | WC | 0.014 | 0.015 | 0.017 | |
| SZ | WO | AO c | −0.010 | −0.012 | −0.021 | |
| WH | WC | WO (small-front passenger seat) | 0.007 | 0.007 | −0.0003 | |
| IT (Evening) | CS_1 | AO (Heating) and WC | WO (front windows) | 0.008 | 0.009 | 0.010 |
| CS_2 | WO (front windows) | AO (Heating) and WC | 0.0003 | 0.0003 | −0.0004 | |
| SZ | WO (front windows) | WC (1/3-front windows) | −0.020 | −0.021 | −0.029 | |
| GZ | WO | WC (Back windows) | −0.006 | −0.007 | −0.013 | |
| WH | WC | WO (small-front windows) | −0.002 | −0.002 | −0.010 | |
| OT(Evening) | CS_1 | WC and AO (Heating) | WO (1/3-driver) and AO (Heating) | −0.004 | −0.004 | −0.006 |
| CS_2 | WO (1/3-driver) and AO (Heating) | WO (1/2-driver) and AO (Heating) | 0.009 | 0.010 | −0.001 | |
| CS_3 | WO (1/2-driver) and AO (Heating) | WC and AO (Heating) | −0.004 | −0.005 | −0.007 | |
| CS_4 | WC and AO (Heating) | WO (1/3-driver) and AO (Heating) | 0.003 | 0.003 | 0.004 | |
| CS_5 | WO (1/3-driver) and AO (Heating) | WO (driver) and AO (Heating) | −0.002 | −0.003 | −0.004 | |
| CS_6 | WO (driver) and AO (Heating) | WC and AO (Heating) | 0.003 | 0.004 | 0.006 | |
| CS_7 | WC and AO (Heating) | WO (1/2-driver) and AO (Heating) | −0.001 | −0.001 | −0.001 | |
| WH_1 | WC | WO (1/2-all windows) | 0.003 | 0.006 | 0.038 | |
| WH_2 | WO (1/2-all windows) | WC (back windows) | 0.0003 | 0.001 | −0.0003 | |
| Travel Mode | Trip Name | Influential Factors (Statistical Significance) | Explained Variability | Significant Effects (Indicated by Factorial Analysis) | ||
|---|---|---|---|---|---|---|
| PM1 | PM2.5 | PM10 | ||||
| Bus | GZ (Evening-IT) | WC*PD a | 56.3% * | 65.5% ** | 73.6% ** | (1) When WC = 0, PD shows a significant effect: PM concentrations of group (PD = 4) are significantly higher than the PM concentrations of group (PD = 2) and group (PD = 5) (2) When PD = 2 and 4, WC shows a significant effect: when PD = 2, the PM10 concentration of group (WC = 0) is significantly higher than the PM10 concentration of group (WC = 1); when PD = 4, the PM10 concentration of group (WC = 0) is significantly lower than the PM10 concentrations of group (WC = 1) |
| TD | 13.4% * | 14.4% * | 16.8% ** | Travel duration of each route segment is negatively correlated with the variation in PM concentrations | ||
| SZ (Evening-OT) | Sit*PD a | 69.50% ** | 67.80% ** | 57.60% ** | (1) When PD = 3 and PD = 4, Sit shows a significant effect: PM concentration of group (Sit = 1) is significantly higher than the PM concentration of group (Sit = 0) (2) When Sit = 0 or Sit = 1, PD shows significant effect: when Sit = 0, the PM concentration of group (PD = 3) is significantly higher than the PM concentration of group (PD = 4); when Sit = 1, the PM concentration of group (PD = 3) is significantly lower than the PM concentrations of group (PD = 4) | |
| IVL_RD | 4.80% * | 5.90% * | 10.70% ** | IVL_RD shows a negative effect: PM concentration is significantly higher when IVL_RD = 1 (near rear doors) | ||
| SZ (Evening-IT) | PD*WC a | 60.8% ** | 61.7% ** | 60.0% ** | PD shows a significant positive effect when WC = 1 | |
| TD | 9.8%* | 9.7%* | 11.2% * | Negative effect | ||
| SZ (Morning-OT) | Sit*Vent_Near a | / | / | 52% ** | When Sit = 1, PM concentration is significantly higher when Vent_Near = 1 compared to that when Vent_Near = 0 | |
| WH (Morning-OT) | Sit*PD a | 54.60% * | / | / | (1) PD shows a significant positive effect when Sit = 1 (2) Sit does not show a significant interactive effect within each level of combination of PD effects shown. | |
| Metro | CS (Morning-IT) | PD | 46.40% ** | 54.10% ** | / | Positive effect |
| GZ (Morning-IT) | PD*IVL_Doors a | 66.60% ** | 62.00% * | / | Simple effects: (1) When PD = 5, PM concentration measured in the seating area is significantly higher than that measured near doors (2) In the seating area, PD shows a slight positive association with PM concentrations, but the relationship is not statistically significant. | |
| SZ (Evening-OT) | Vent_Near | 58.40% ** | 57.50% ** | / | PM concentration is significantly higher when Vent_Near = 1 compared to that when Vent_Near = 0 | |
| WH (Morning-OT) | Sit | 43.70% ** | 52.60% ** | 51.40% ** | PM concentration is significantly higher when Sit = 1 compared to that when Sit = 0 | |
| In-Cabin PM1 | In-Cabin PM2.5 | In-Cabin PM10 | |||
|---|---|---|---|---|---|
| Urban PM concentrations (Official) | PM10 | Bus | 0.919 * | 0.943 * | 0.945 * |
| PM10 | Metro | 0.914 * | 0.916 * | - | |
| Out-Cabin PM concentrations (Self-measured) | PM1 | Bus (Platform) | 0.982 ** | 0.986 ** | - |
| PM2.5 | 0.907 * | 0.945 * | - | ||
| PM1 | Metro (Platform) | 0.955 * | 0.955 * | 0.916 * | |
| PM2.5 | 0.941 * | 0.944 * | 0.909 * | ||
| PM10 | 0.973 * | 0.981 ** | 0.985 ** | ||
| PM1 | Metro (T-P) | - | - | - | |
| PM2.5 | - | - | - | ||
| PM10 | 0.915 * | 0.931 * | 0.976 * | ||
| PM1 | Metro (E-T) | 0.955 * | 0.961 * | 0.945 * | |
| PM2.5 | 0.955 * | 0.963 * | 0.949 * | ||
| PM10 | 0.914 * | 0.912 * | 0.928 * | ||
| Urban Meteorology (Official) | PRE a | Taxi | −0.986 ** | −0.968 * | −0.922 * |
| WS b | −0.974 * | −0.994 ** | −0.964 * |
Publisher’s Note: MDPI stays neutral with regard to jurisdictional claims in published maps and institutional affiliations. |
© 2022 by the authors. Licensee MDPI, Basel, Switzerland. This article is an open access article distributed under the terms and conditions of the Creative Commons Attribution (CC BY) license (https://creativecommons.org/licenses/by/4.0/).
Share and Cite
Zhang, Y.; Huang, Z.; Huang, J. A Comparison of Particulate Exposure Levels during Taxi, Bus, and Metro Commuting among Four Chinese Megacities. Int. J. Environ. Res. Public Health 2022, 19, 5830. https://doi.org/10.3390/ijerph19105830
Zhang Y, Huang Z, Huang J. A Comparison of Particulate Exposure Levels during Taxi, Bus, and Metro Commuting among Four Chinese Megacities. International Journal of Environmental Research and Public Health. 2022; 19(10):5830. https://doi.org/10.3390/ijerph19105830
Chicago/Turabian StyleZhang, Ying, Zhengdong Huang, and Jiacheng Huang. 2022. "A Comparison of Particulate Exposure Levels during Taxi, Bus, and Metro Commuting among Four Chinese Megacities" International Journal of Environmental Research and Public Health 19, no. 10: 5830. https://doi.org/10.3390/ijerph19105830
APA StyleZhang, Y., Huang, Z., & Huang, J. (2022). A Comparison of Particulate Exposure Levels during Taxi, Bus, and Metro Commuting among Four Chinese Megacities. International Journal of Environmental Research and Public Health, 19(10), 5830. https://doi.org/10.3390/ijerph19105830
