Disease Burden of the Kidney Disabled in Korea, 2009–2013: The Gap with That of the Non-Kidney Disabled Continues
Abstract
1. Introduction
2. Materials and Methods
2.1. Data Source
2.2. Data Collection
2.3. Study Subjects and Analytic Variables
2.4. Statistical Analysis
2.5. Definitions of Terms
2.5.1. Disease Burden
2.5.2. The Internal-Organ Disabled, Kidney or Non-Kidney Disabled
2.5.3. Medical Social Security System
3. Results
3.1. Socio-Demographic Characteristics
3.2. The Number of Chronic Diseases
3.3. The Annual OOP Medical Expenditure
3.4. Today’s Subjective Health Status as QOL (EQ-VAS)
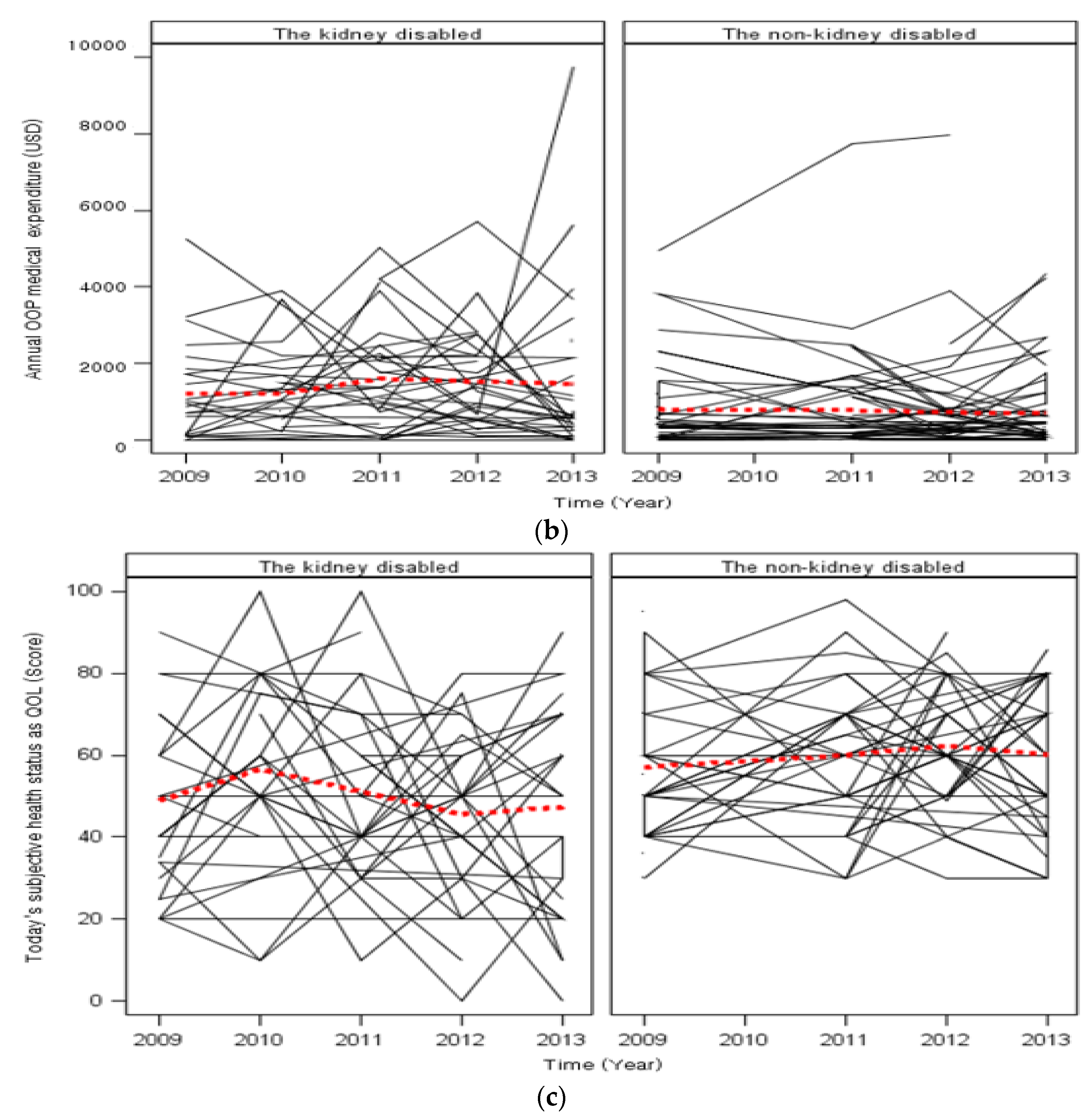
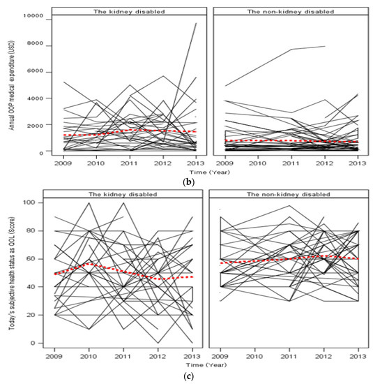
3.5. The Trends over Five Years of the Number of Chronic Diseases, the OOP Medical Expenditure, and QOL
4. Discussion
5. Conclusions
Author Contributions
Funding
Institutional Review Board Statement
Informed Consent Statement
Data Availability Statement
Acknowledgments
Conflicts of Interest
References
- Health Knowledge. Measures of Disease Burden (Event-Based and Time-Based) and Population Attributable Risks Including Identification of Comparison Groups Appropriate to Public Health. Available online: https://www.healthknowledge.org.uk/public-health-textbook/research-methods/1a-epidemiology/measures-disease-burden (accessed on 15 November 2021).
- Wetmore, J.B.; Collins, A.J. Global challenges posed by the growth of end-stage renal disease. Ren. Replace. Ther. 2016, 2, 15. [Google Scholar] [CrossRef]
- Chronic Kidney Disease Complications. Available online: https://m.ksn.or.kr/general/disease/?sn=4 (accessed on 15 November 2021).
- Jin, D.C. Dialysis registries in the world: Korean Dialysis Registry. Kidney Int. Suppl. 2015, 5, 8–11. [Google Scholar] [CrossRef]
- Hamrahian, S.M.; Falkner, B. Hypertension in chronic kidney disease. Hypertens. Basic Res. Clin. Pract. 2016, 5, 307–325. [Google Scholar]
- Narres, M.; Claessen, H.; Droste, S.; Kvitkina, T.; Koch, M.; Kuss, O.; Icks, A. The incidence of end-stage renal disease in the diabetic (compared to the non-diabetic) population: A systematic review. PLoS ONE 2016, 11, e0147329. [Google Scholar] [CrossRef]
- Qi, W.; Li, Q.; Gordin, D.; King, G.L. Preservation of renal function in chronic diabetes by enhancing glomerular glucose metabolism. Mol. Med. 2018, 96, 373–381. [Google Scholar] [CrossRef]
- Kim, B.K.; Chun, Y.G.; Lee, S.H.; Park, D.J. Emerging technology and institution of foods for the elderly. Food Sci. Ind. 2015, 48, 28–36. [Google Scholar]
- Rah, U.W.; Jung, H.Y. Changing Concepts and Classifications of Disablement. J. Korean Med. Assoc. 2009, 52, 537–544. Available online: https://pdfs.semanticscholar.org/385a/4e5bf57265e90f80e50b1fe448816161e89f.pdf (accessed on 15 November 2021). [CrossRef]
- Badley, E.M. An introduction to the concepts and classifications of the international classification of impairments, disabilities, and handicaps. Disabil. Rehabil. 1993, 15, 161–178. [Google Scholar] [CrossRef]
- Ministry of Government Legislation. Act on Welfare of Persons with Disabilities. Available online: https://www.law.go.kr/%EB%B2%95%EB%A0%B9/%EC%9E%A5%EC%95%A0%EC%9D%B8%EB%B3%B5%EC%A7%80%EB%B2%95 (accessed on 15 November 2021).
- National Health Insurance Corporation. The Governance of Korean Health Care System. Available online: https://www.nhis.or.kr/static/html/wbd/g/a/wbdga0401.html (accessed on 15 November 2021).
- National Health Insurance Corporation. Available online: https://www.nhis.or.kr/static/html/wbd/g/a/wbdga0301.html (accessed on 15 November 2021).
- EQ-VAS. An Important and Under-Used Element of the EQ-5D. Available online: https://www.ohe.org/news/eq-vas-important-and-under-used-element-eq-5d (accessed on 15 November 2021).
- Korea Health Panel Study. Available online: https://www.khp.re.kr:444/eng/main.do (accessed on 15 November 2021).
- Korea Health Panel Study. Available online: https://www.khp.re.kr:444/eng/data/board/listview.do?bbsid=105 (accessed on 15 November 2021).
- Korea Health Panel Study. Available online: https://www.khp.re.kr:444/eng/survey/sampling.do (accessed on 15 November 2021).
- Korea Health Panel Study. Available online: https://www.khp.re.kr:444/eng/data/data.do (accessed on 15 November 2021).
- Historic Exchange Rates (South Korean Won). Available online: http://www.x-rates.com/historical/?from=KRW&amount=1&date=2017-07-20 (accessed on 15 November 2021).
- Korean Standard Classification of Diseases. Available online: https://www.koicd.kr/kcd/kcd.do (accessed on 15 November 2021).
- Whitehead, S.J.; Ali, S. Health outcomes in economic evaluation: The QALY and utilities. Br. Med. Bull. 2010, 96, 5–21. [Google Scholar] [CrossRef]
- Statutes of the Republic of Korea. Act on Welfare of Persons with Disabilities. Available online: https://www.un.org/development/desa/disabilities/wp-content/uploads/sites/15/2019/11/Korea-Republic-of_The-Welfare-Law-for-Persons-with-Disabilities.pdf (accessed on 15 November 2021).
- Korea Insurance Charge Review Association. Available online: http://www.hicra.or.kr/sub_asp/04_data06_2.html (accessed on 15 November 2021).
- Eide, A.H.; Mannan, H.; Khogali, M.; Van Rooy, G.; Swartz, L.; Munthali, A.; Dyrstad, K. Perceived barriers for accessing health services among individuals with disability in four African countries. PLoS ONE 2015, 10, e0125915. [Google Scholar] [CrossRef]
- DeJong, G.; Palsbo, S.E.; Beatty, P.W. The organization and financing of health services for persons with disabilities. Milbank Q. 2002, 80, 261–301. [Google Scholar] [CrossRef]
- Van Manen, J.G.; Korevaar, J.C.; Dekker, F.W.; Boeschoten, E.W.; Bossuyt, P.M.; Krediet, R.T.; NECOSAD Study Group. How to adjust for comorbidity in survival studies in ESRD patients: A comparison of different indices. Am. J. Kidney Dis. 2002, 40, 82–89. [Google Scholar] [CrossRef]
- Martínez-Castelao, A.; Górriz, J.L.; Garcia-López, F.; López-Revuelta, K.; De Alvaro, F.; Cruzado, J.M. Perceived health-related quality of life and comorbidity in diabetic patients starting dialysis (CALVIDIA study). J. Nephrol. 2004, 17, 544–551. [Google Scholar]
- Miskulin, D.C.; Meyer, K.B.; Martin, A.A.; Fink, N.E.; Coresh, J.; Powe, N.R.; Levey, A.S. Comorbidity and its change predict survival in incident dialysis patients. Am. J. Kidney Dis. 2003, 41, 149–161. [Google Scholar] [CrossRef]
- Kim, S.; Nigatu, Y.; Araya, T.; Assefa, Z.; Dereje, N. Health related quality of life (HRQOL) of patients with End Stage Kidney Disease (ESKD) on hemodialysis in Addis Ababa, Ethiopia: A cross-sectional study. BMC Nephrol. 2021, 22, 280. [Google Scholar] [CrossRef]
- Lintern, T.C.; Beaumont, J.G.; Kenealy, P.M.; Murrell, R.C. Quality of Life (QoL) in severely disabled multiple sclerosis patients: Comparison of three QoL measures using multidimensional scaling. Qual. Life Res. 2001, 10, 371–378. [Google Scholar] [CrossRef]
- Hogan, A.N.; Fox, W.R.; Roppolo, L.P.; Suter, R.E. Emergent dialysis and its impact on quality of life in undocumented patents with end-stage renal disease. Ethn. Dis 2017, 27, 39. [Google Scholar] [CrossRef][Green Version]
- McGee, J.; Jackson, N.R.; Slakey, D.P. Disability and kidney transplantation in the United States. Clin. Transplant. 2012, 26, 377–381. [Google Scholar] [CrossRef]
- Collins, A.J.; Li, S.; Gilbertson, D.T.; Liu, J.; Chen, S.C.; Herzog, C.A. Chronic kidney disease and cardiovascular disease in the Medicare population: Management of comorbidities in kidney disease in the 21st century: Anemia and bone disease. Kidney Int. 2003, 64, S24–S31. [Google Scholar] [CrossRef]
- Beddhu, S.; Bruns, F.J.; Saul, M.; Seddon, P.; Zeidel, M.L. A simple comorbidity scale predicts clinical outcomes and costs in dialysis patients. Am. J. Med. 2000, 108, 609–613. [Google Scholar] [CrossRef]
- Ward, B.W.; Black, L.I. State and regional prevalence of diagnosed multiple chronic conditions among adults aged ≥ 18 years—United States, 2014. MMWR 2016, 65, 735–738. [Google Scholar] [CrossRef]
- Krishnaswami, A.; Kiley, M.L.; Anthony, F.F.; Chen, Y.; Chen, J.; Rajagopal, S.; Paxton, E.W. Effect of advancing age and multiple chronic conditions on mortality in patients with End-Stage Renal Disease after implantable cardioverter-defibrillator placement. Perm. J. 2016, 20, 27. [Google Scholar] [CrossRef][Green Version]
- Patel, U.D.; Davis, M.M. Falling into the doughnut hole: Drug spending among beneficiaries with end-stage renal disease under Medicare Part D plans. J. Am. Soc. Nephrol. 2006, 17, 2546–2553. [Google Scholar] [CrossRef]
- Higuita-Gutiérrez, L.F.; Velasco-Castaño, J.J.; Quiceno, J.N.J. Health-related quality of life in patients with chronic kidney disease in hemodialysis in Medellín (Colombia). Patient Prefer. Adherence 2019, 13, 2061. [Google Scholar] [CrossRef]
- Kraus, M.A.; Fluck, R.J.; Weinhandl, E.D.; Kansal, S.; Copland, M.; Komenda, P.; Finkelstein, F.O. Intensive Hemodialysis and Health-Related Quality of Life. Am. J. Kidney Dis. 2016, 68, S33–S42. [Google Scholar] [CrossRef]
- Purnell, T.S.; Auguste, P.; Crews, D.C.; Lamprea-Montealegre, J.; Olufade, T.; Greer, R.; Boulware, L.E. Comparison of life participation activities among adults treated by hemodialysis, peritoneal dialysis, and kidney transplantation: A systematic review. Am. J. Kidney Dis. 2013, 62, 953–973. [Google Scholar] [CrossRef]
- Boulware, L.E.; Mohottige, D. The seen and the unseen: Race and social inequities affecting kidney care. Clin. J. Am. Soc. Nephrol. 2021, 16, 815–817. [Google Scholar] [CrossRef]


| Classification | Subjects | Population Weight Subject | |||||||
|---|---|---|---|---|---|---|---|---|---|
| Total (%) | KD (1) (%) | NKD (2) (%) | Chi-Square or t/p-Value | Total (%) | KD (%) | NKD (%) | Chi-Square or t/p-Value | ||
| All | 308 (100.0) | 136 (100.0) | 172 (100.0) | 792,566 (100.0) | 335,180 (100.0) | 457,386 (100.0) | |||
| Age | Mean ± SD | 58.0 ± 14.8 | 59.9 ± 11.5 | 56.5 ± 16.9 | 2.10/<0.003 | 53.8 ± 15.0 | 57.7 ± 11.0 | 50.8 ± 16.4 | 4.05/<0.0001 |
| Gender | Male | 190 (61.7) | 65 (47.8) | 125 (72.7) | 19.9/<0.0001 | 468,562 (59.1) | 157,164 (46.9) | 311,398 (68.1) | 35,946.77/<0.0001 |
| Female | 118 (38.3) | 71 (52.2) | 47 (27.3) | 324,004 (40.9) | 178,017 (53.1) | 145,987 (31.9) | |||
| Age group | <65 | 180 (58.4) | 82 (60.3) | 98 (57.0) | 0.34/<0.557 | 560,237 (70.7) | 236,815 (70.7) | 323,422 (70.7) | 0.315/0.5746 |
| ≥65 | 128 (41.6) | 54 (39.7) | 74 (43.0) | 232,328 (29.3) | 98,365 (29.4) | 133,963 (29.3) | |||
| Marital status | Married | 191 (62.4) | 95 (69.9) | 96 (56.4) | 12.59/<0.002 | 445,173 (56.5) | 230,984 (68.9) | 214,188 (47.3) | 70,237.1/<0.0001 |
| Separated, divorced | 77 (25.1) | 34 (25.0) | 43 (25.2) | 185,473 (23.5) | 82,810 (24.7) | 102,663 (22.7) | |||
| Unmarried | 38 (12.4) | 7 (5.2) | 31 (18.2) | 157,412 (20.0) | 21,386 (6.4) | 136,026 (30.0) | |||
| Economic activity | Yes | 75 (24.4) | 17 (12.5) | 58 (33.9) | 18.82/<0.001 | 198,145 (25.1) | 153,450 (33.7) | 44,694 (13.3) | 42,618.45/<0.0001 |
| No | 232 (75.6) | 119 (87.5) | 113 (66.1) | 592,440 (74.9) | 301,954 (66.3) | 290,486 (86.7) | |||
| Medical social security | NHI (3) | 208 (67.5) | 97 (71.3) | 111 (64.5) | 1.60/0.2 | 511,799 (64.6) | 285,035 (62.3) | 226,764 (67.7) | 2407.584/<0.0001 |
| MA (4) | 100 (32.4) | 39 (28.7) | 61 (35.5) | 280,767 (35.4) | 172,351 (37.7) | 108,416 (32.4) | |||
| Type of disability | Dialysis | 115 (37.3) | 115 (84.6) | - | 308.0/0.0001 | 275,324 (34.7) | 275,324 (34.7) | - | 792,566/<0.0001 |
| KT (5) | 21 (6.8) | 21 (15.4) | - | 59,856 (7.6) | 59,856 (7.6) | - | |||
| Heart | 25 (8.1) | - | 25 (14.5) | 52,140 (6.6) | - | 52,140 (6.6) | |||
| Respiratory organ | 43 (13.9) | - | 43 (25.0) | 74,788 (9.4) | - | 74,788 (9.4) | |||
| Liver | 5 (1.6) | - | 5 (2.9) | 12,157 (1.5) | - | 12,157 (1.5) | |||
| Colo- or urostomy | 32 (10.4) | - | 32 (18.6) | 60,652 (7.7) | - | 60,652 (7.7) | |||
| Epilepsy | 67 (21.8) | - | 67 (39.0) | 257,649 (32.5) | - | 257,649 (32.5) | |||
| Classification | Total | KD (1) | NKD (2) | F/p-Value (3) | |
|---|---|---|---|---|---|
| Number ± SE | Number ± SE | Number ± SE | |||
| Subjects | All | 3.9 ± 0.1 | 4.7 ± 0.2 | 3.3 ± 0.2 | 24.08/<0.0001 |
| Male | 3.9 ± 0.1 | 4.9 ± 0.3 | 3.5 ± 0.2 | 14.84/0.0002 | |
| Female | 3.7 ± 0.2 | 4.1 ± 0.2 | 3.2 ± 0.3 | 6.53/0.012 | |
| Population weight subject | All | 3.7 ± 0.2 | 5.0 ± 0.2 | 3.4 ± 0.2 | 33.57/<0.0001 |
| Male | 3.9 ± 0.2 | 5.9 ± 0.3 | 3.5 ± 0.3 | 30.1/<0.0001 | |
| Female | 3.5 ± 0.2 | 4.0 ± 0.2 | 3.3 ± 0.2 | 3.9/<0.05 | |
| Classification | Total | KD (2) | NKD (3) | F/p-Value (4) | |
|---|---|---|---|---|---|
| Mean ($) ± SE | Mean ($) ± SE | Mean ($) ± SE | |||
| Subjects | All | 1045.2 ± 77.0 | 1292.1 ± 109.5 | 847.5 ± 97.3 | 8.57/0.004 |
| Male | 914.9 ± 79.9 | 1197.1 ± 119.7 | 763.3 ± 85.8 | 8.26/0.005 | |
| Female | 1254.0 ± 152.8 | 1443.0 ± 190.2 | 968.4 ± 237.5 | 2.27/0.135 | |
| Population weight subject | All | 946.7 ± 73.0 | 1252.4 ± 107.4 | 853.3 ± 98.2 | 7.125/0.007 |
| Male | 896.9 ± 83.8 | 1234.0 ± 135.6 | 861.9 ± 102.9 | 4.48/0.04 | |
| Female | 1018.4 ± 132.9 | 1262.0 ± 176.8 | 854.2 ± 206.0 | 2.14/0.15 | |
| Classification | Total | KD (2) | NKD (3) | F/p-Value (4) | |
|---|---|---|---|---|---|
| Mean ± SE | Mean ± SE | Mean ± SE | |||
| Subjects | All | 54.9 ± 1.2 | 49.2 ± 1.7 | 60.2 ± 1.6 | 20.3/<0.0001 |
| Male | 54.3 ± 1.6 | 46.7 ± 2.5 | 58.8 ± 1.9 | 13.7/0.0003 | |
| Female | 55.9 ± 1.9 | 53.0 ± 2.3 | 60.8 ± 3.1 | 3.95/0.05 | |
| Population weight subject | All | 54.2 ± 1.2 | 47.1 ± 1.8 | 59.9 ± 1.7 | 26.0/<0.0001 |
| Male | 53.0 ± 1.7 | 44.8 ± 2.6 | 58.6 ± 2.1 | 15.5/0.0001 | |
| Female | 55.5 ± 1.9 | 51.1 ± 2.4 | 60.6 ± 3.0 | 5.85/0.01 | |
Publisher’s Note: MDPI stays neutral with regard to jurisdictional claims in published maps and institutional affiliations. |
© 2021 by the authors. Licensee MDPI, Basel, Switzerland. This article is an open access article distributed under the terms and conditions of the Creative Commons Attribution (CC BY) license (https://creativecommons.org/licenses/by/4.0/).
Share and Cite
Shin, S.-M.; Lee, H.-W. Disease Burden of the Kidney Disabled in Korea, 2009–2013: The Gap with That of the Non-Kidney Disabled Continues. Int. J. Environ. Res. Public Health 2022, 19, 249. https://doi.org/10.3390/ijerph19010249
Shin S-M, Lee H-W. Disease Burden of the Kidney Disabled in Korea, 2009–2013: The Gap with That of the Non-Kidney Disabled Continues. International Journal of Environmental Research and Public Health. 2022; 19(1):249. https://doi.org/10.3390/ijerph19010249
Chicago/Turabian StyleShin, Sun-Mi, and Hee-Woo Lee. 2022. "Disease Burden of the Kidney Disabled in Korea, 2009–2013: The Gap with That of the Non-Kidney Disabled Continues" International Journal of Environmental Research and Public Health 19, no. 1: 249. https://doi.org/10.3390/ijerph19010249
APA StyleShin, S.-M., & Lee, H.-W. (2022). Disease Burden of the Kidney Disabled in Korea, 2009–2013: The Gap with That of the Non-Kidney Disabled Continues. International Journal of Environmental Research and Public Health, 19(1), 249. https://doi.org/10.3390/ijerph19010249
