Missed Opportunities: The Need to Promote Public Knowledge and Awareness of Sugar-Sweetened Beverage Taxes
Abstract
1. Introduction
2. Materials and Methods
2.1. California Bay Area SSB Taxes
2.2. Study Design and Participants
2.3. Measures
2.4. Statistical Analyses
3. Results
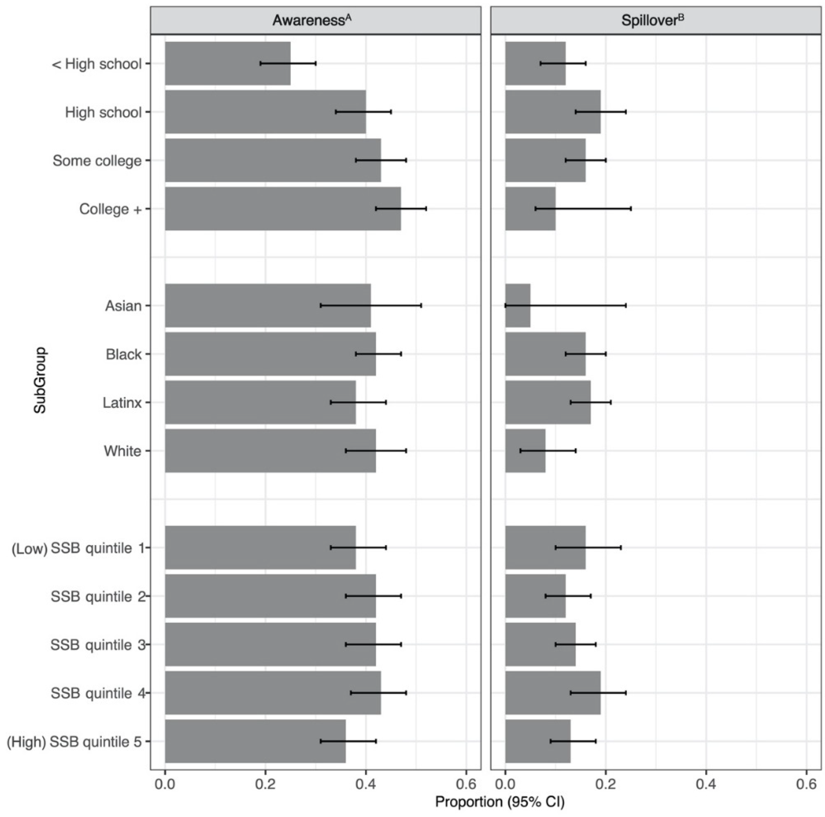
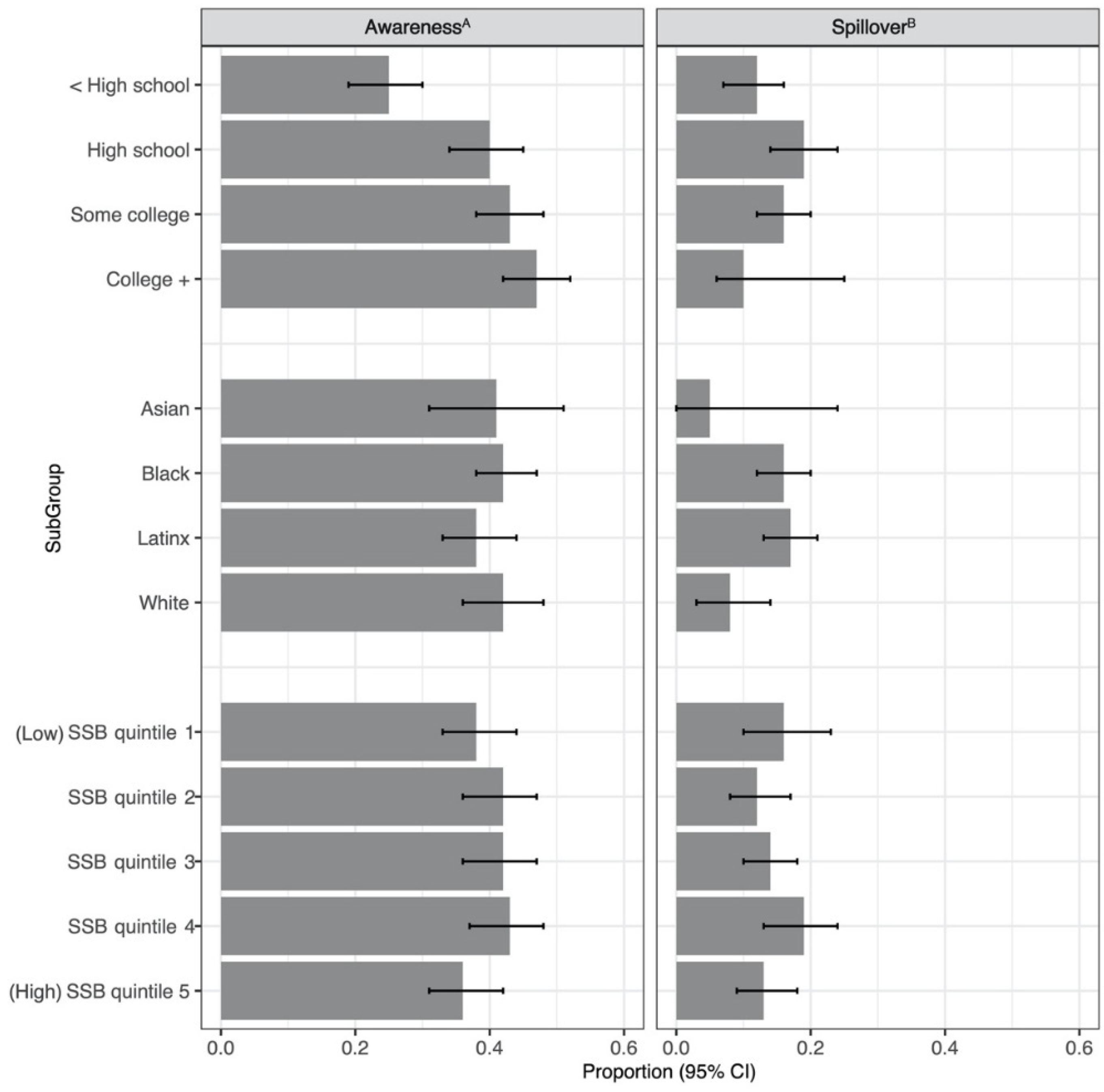
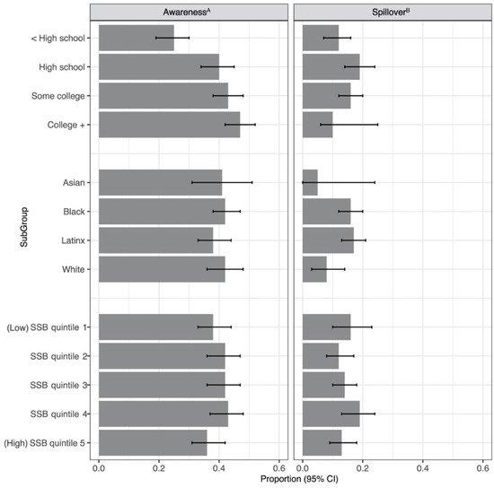
3.1. Tax Awareness and Spillover
3.2. Perceptions of SSB Tax Benefits and Price Changes
4. Discussion
5. Conclusions
Supplementary Materials
Author Contributions
Funding
Institutional Review Board Statement
Informed Consent Statement
Data Availability Statement
Conflicts of Interest
References
- Johnson, R.K.; Appel, L.J.; Brands, M.; Howard, B.V.; Lefevre, M.; Lustig, R.H.; Sacks, F.; Steffen, L.M.; Wylie-Rosett, J.; American Heart Association Nutrition Committee of the Council on Nutrition; et al. Dietary sugars intake and cardiovascular health: A scientific statement from the American Heart Association. Circulation 2009, 120, 1011–1020. [Google Scholar] [CrossRef] [PubMed]
- Malik, V.S.; Li, Y.; Pan, A.; Koning, L.D.; Schernhammer, E.; Willett, W.C.; Hu, F.B. Long-Term Consumption of Sugar-Sweetened and Artificially Sweetened Beverages and Risk of Mortality in US Adults. Circulation 2019, 139, 2113–2125. [Google Scholar] [CrossRef]
- Bleich, S.N.; Vercammen, K.A.; Koma, J.W.; Li, Z. Trends in Beverage Consumption Among Children and Adults, 2003–2014. Obesity 2018, 26, 432–441. [Google Scholar] [CrossRef] [PubMed]
- Global Food Research Program, University of North Carolina at Chapel Hill. Multi-Country Obesity Prevention Initiative: Resources. 2019. Available online: http://globalfoodresearchprogram.web.unc.edu/multi-country-initiative/resources (accessed on 10 August 2020).
- Healthy Food America. Map the Movement. 2020. Available online: http://www.healthyfoodamerica.org/map (accessed on 10 August 2020).
- Lee, M.M.; Falbe, J.; Schillinger, D.; Basu, S.; McCulloch, C.E.; Madsen, K.A. Sugar-Sweetened Beverage Consumption 3 Years After the Berkeley, California, Sugar-Sweetened Beverage Tax. Am. J. Public Health 2019, 109, 637–639. [Google Scholar] [CrossRef] [PubMed]
- Zhong, Y.; Auchincloss, A.H.; Lee, B.K.; McKenna, R.M.; Langellier, B.A. Sugar-Sweetened and Diet Beverage Consumption in Philadelphia One Year after the Beverage Tax. Int. J. Environ. Res. Public Health 2020, 17. [Google Scholar] [CrossRef] [PubMed]
- Roberto, C.A.; Lawman, H.G.; LeVasseur, M.T.; Mitra, N.; Peterhans, A.; Herring, B.; Bleich, S.N. Association of a Beverage Tax on Sugar-Sweetened and Artificially Sweetened Beverages with Changes in Beverage Prices and Sales at Chain Retailers in a Large Urban Setting. JAMA 2019, 321, 1799–1810. [Google Scholar] [CrossRef]
- Powell, L.M.; Chriqui, J.F.; Khan, T.; Wada, R.; Chaloupka, F.J. Assessing the potential effectiveness of food and beverage taxes and subsidies for improving public health: A systematic review of prices, demand and body weight outcomes. Obes. Rev. Off. J. Int. Assoc. Study Obes. 2013, 14, 110–128. [Google Scholar] [CrossRef]
- Silver, L.D.; Ng, S.W.; Ryan-Ibarra, S.; Taillie, L.S.; Induni, M.; Miles, D.R.; Poti, J.M.; Popkin, B.M. Changes in prices, sales, consumer spending, and beverage consumption one year after a tax on sugar-sweetened beverages in Berkeley, California, US: A before-and-after study. PLoS Med. 2017, 14, e1002283. [Google Scholar] [CrossRef] [PubMed]
- Allcott, H.; Lockwood, B.B.; Taubinsky, D. Should we tax sugar-sweetened beverages? An overview of theory and evidence. J. Econ. Perspect. 2019, 33, 202–227. [Google Scholar] [CrossRef]
- Wallack, L.; Dorfman, L.; Jernigan, D.; Themba-Nixon, M. Media Advocacy and Public Health: Power for Prevention; Sage: Newbury Park, CA, USA, 1993. [Google Scholar]
- Dorfman, L.; Wallack, L.; Woodruff, K. More than a message: Framing public health advocacy to change corporate practices. Health Educ. Behav. 2005, 32, 320–336. [Google Scholar] [CrossRef]
- Taubinsky, D. Regressive Sin Taxes, with an Application to The Optimal Soda Tax Hunt Allcott Benjamin B. Lockwood. Q. J. Econ. 2019, 1557, 1626. [Google Scholar]
- Zoellner, J.; Estabrooks, P.A.; Davy, B.M.; Chen, Y.-C.; You, W. Exploring the Theory of Planned Behavior to Explain Sugar-sweetened Beverage Consumption. J. Nutr. Educ. Behav. 2012, 44, 172–177. [Google Scholar] [CrossRef]
- Taylor, R.L.C.; Kaplan, S.; Villas-Boas, S.B.; Jung, K. Soda Wars: The Effect of a Soda Tax Election on University Beverage Sales. Econ. Inq. 2019, 57, 1480–1496. [Google Scholar] [CrossRef]
- Madsen, K.A. Sugar-Sweetened Beverage Taxes: A Political Battle. Am. J. Public Health 2020, 110, 929–930. [Google Scholar] [CrossRef]
- Jou, J.; Niederdeppe, J.; Barry, C.L.; Gollust, S.E. Strategic messaging to promote taxation of sugar-sweetened beverages: Lessons from recent political campaigns. Am. J. Public Health 2014, 104, 847–853. [Google Scholar] [CrossRef]
- Falbe, J.; Grummon, A.H.; Rojas, N.; Ryan-Ibarra, S.; Silver, L.D.; Madsen, K.A. Implementation of the First US Sugar-Sweetened Beverage Tax in Berkeley, CA, 2015–2019. Am. J. Public Health 2020, 110, 1429–1437. [Google Scholar] [CrossRef]
- Chriqui, J.F.; Sansone, C.N.; Powell, L.M. The Sweetened Beverage Tax in Cook County, Illinois: Lessons from a Failed Effort. Am. J. Public Health 2020, 110, 1009–1016. [Google Scholar] [CrossRef]
- Crosbie, E.; Schillinger, D.; Schmidt, L.A. State Preemption to Prevent Local Taxation of Sugar-Sweetened Beverages. JAMA Intern. Med. 2019, 179, 291–292. [Google Scholar] [CrossRef]
- Hedrick, V.E.; Savla, J.; Comber, D.L.; Flack, K.D.; Estabrooks, P.A.; Nsiah-Kumi, P.A.; Ortmeier, S.; Davy, B.M. Development of a brief questionnaire to assess habitual beverage intake (BEVQ-15): Sugar-Sweetened beverages and total beverage energy intake. J. Acad. Nutr. Diet. 2012, 112, 840–849. [Google Scholar] [CrossRef] [PubMed]
- Link, B.G.; Phelan, J. Social conditions as fundamental causes of disease. J. Health Soc. Behav. 1995, 80–94. [Google Scholar] [CrossRef]
- Link, B.G. Epidemiological Sociology and the Social Shaping of Population Health. J. Health Soc. Behav. 2008, 49, 367–384. [Google Scholar] [CrossRef] [PubMed]
- Ponce, J.; Yuan, H.; Schillinger, D.; Mahmood, H.; Lee, M.; Falbe, J.; Daniels, R.; Madsen, K.A. Retailer Perspectives on Sugar-Sweetened Beverage Taxes in the California Bay Area. Prev. Med. Rep. 2020, 19, 101129. [Google Scholar] [CrossRef] [PubMed]
- Dinkelspiel, F. A Record $3.6 Million Spent in Berkeley Campaigns. Berkeleyside. Available online: https://www.berkeleyside.com/2014/11/03/a-record-3-6-million-spent-in-berkeley-campaigns (accessed on 11 November 2020).
- Retrieved Dinkelspiel, F. Beverage Companies Spend $1.675 Million to Defeat Berkeley Soda Tax. Berkeleyside. Available online: https://www.berkeleyside.com/2014/10/09/beverage-companies-spend-1-675-million-to-defeat-berkeley-soda-tax (accessed on 11 November 2020).
- Dinkelspiel, F. Why Berkeley Passed a Soda Tax While Other Cities Failed. Berkeleyside. Available online: https://www.berkeleyside.com/2014/11/05/why-berkeley-passed-a-soda-tax-where-others-failed (accessed on 11 November 2020).
- Madsen, K.A.; Krieger, J.; Morales, X. Sugar-Sweetened Beverage Taxes: Emerging Evidence on a New Public Health Policy. JAMA 2019, 321, 1777–1779. [Google Scholar] [CrossRef] [PubMed]
- Krieger, J.; Magee, K.; Hennings, T.; Schoof, J.; Madsen, K.A. How sugar-sweetened beverage tax revenues are being used in the United States. Prev. Med. Rep. 2021, in press. [Google Scholar]
- Falbe, J.; Lee, M.M.; Kaplan, S.; Rojas, N.A.; Hinojosa, A.M.O.; Madsen, K.A. Higher Sugar-Sweetened Beverage Retail Prices After Excise Taxes in Oakland and San Francisco. Am. J. Public Health 2020, 110, 1017–1023. [Google Scholar] [CrossRef] [PubMed]
- Falbe, J.; Rojas, N.; Grummon, A.H.; Madsen, K.A. Higher Retail Prices of Sugar-Sweetened Beverages 3 Months After Implementation of an Excise Tax in Berkeley, California. Am. J. Public Health 2015, 105, 2194–2201. [Google Scholar] [CrossRef] [PubMed]
- Thow, A.M.; Downs, S.M.; Mayes, C.; Trevena, H.; Waqanivalu, T.; Cawley, J. Fiscal policy to improve diets and prevent noncommunicable diseases: From recommendations to action. Bull. World Health Organ. 2018, 96, 201. [Google Scholar] [CrossRef]




| n (%) | Total | Berkeley A | Oakland A | San Francisco A | Richmond A |
|---|---|---|---|---|---|
| N = 2715 | N = 524 | N = 1042 | N = 564 | N = 585 | |
| Year of interview | |||||
| 2015 | 943 (35%) | 524 (100%) | 419 (40%) | 0 (0%) | 0 (0%) |
| 2017 | 1772 (65%) | 0 (0%) | 623 (60%) | 564 (100%) | 585 (100%) |
| Race/ethnicity | |||||
| Asian | 151 (6%) | 30 (6%) | 37 (4%) | 42 (7%) | 42 (7%) |
| Black | 934 (34%) | 164 (31%) | 433 (42%) | 131 (23%) | 206 (35%) |
| Latinx | 957 (35%) | 110 (21%) | 411 (39%) | 235 (42%) | 201 (34%) |
| Other | 215 (8%) | 56 (11%) | 77 (7%) | 42 (7%) | 40 (7%) |
| White | 458 (17%) | 164 (31%) | 84 (8%) | 114 (20%) | 96 (16%) |
| Education | |||||
| <High school | 484 (18%) | 52 (10%) | 254 (24%) | 120 (21%) | 58 (10%) |
| High school | 665 (24%) | 99 (19%) | 287 (28%) | 120 (21%) | 159 (27%) |
| Some college | 782 (29%) | 138 (26%) | 314 (30%) | 133 (24%) | 197 (34%) |
| College grad + | 784 (29%) | 235 (45%) | 187 (18%) | 191 (34%) | 171 (29%) |
| Gender | |||||
| Female | 1564 (58%) | 278 (53%) | 668 (64%) | 302 (54%) | 316 (54%) |
| Male | 1151 (42%) | 246 (47%) | 374 (36%) | 262 (46%) | 269 (46%) |
| Age | |||||
| 18–29 | 906 (25%) | 215 (24%) | 280 (27%) | 224 (20%) | 187 (32%) |
| 30–39 | 720 (20%) | 147 (16%) | 186 (18%) | 270 (24%) | 117 (20%) |
| 40–49 | 566 (15%) | 133 (15%) | 182 (17%) | 181 (16%) | 70 (12%) |
| 50–59 | 704 (19%) | 174 (19%) | 197 (19%) | 238 (21%) | 95 (16%) |
| ≥60 | 788 (21%) | 236 (26%) | 202 (19%) | 234 (20%) | 116 (20%) |
| SSB consumption (quintile) | |||||
| 1 (low) | 515 (19%) | 153 (29%) | 144 (14%) | 117 (21%) | 101 (17%) |
| 2 | 525 (19%) | 104 (20%) | 189 (18%) | 120 (21%) | 112 (19%) |
| 3 | 585 (22%) | 90 (17%) | 216 (21%) | 139 (25%) | 140 (24%) |
| 4 | 585 (22%) | 97 (19%) | 249 (24%) | 118 (21%) | 121 (21%) |
| 5 (high) | 505 (19%) | 80 (15%) | 244 (23%) | 70 (12%) | 111 (19%) |
Publisher’s Note: MDPI stays neutral with regard to jurisdictional claims in published maps and institutional affiliations. |
© 2021 by the authors. Licensee MDPI, Basel, Switzerland. This article is an open access article distributed under the terms and conditions of the Creative Commons Attribution (CC BY) license (https://creativecommons.org/licenses/by/4.0/).
Share and Cite
Altman, E.A.; Madsen, K.A.; Schmidt, L.A. Missed Opportunities: The Need to Promote Public Knowledge and Awareness of Sugar-Sweetened Beverage Taxes. Int. J. Environ. Res. Public Health 2021, 18, 4607. https://doi.org/10.3390/ijerph18094607
Altman EA, Madsen KA, Schmidt LA. Missed Opportunities: The Need to Promote Public Knowledge and Awareness of Sugar-Sweetened Beverage Taxes. International Journal of Environmental Research and Public Health. 2021; 18(9):4607. https://doi.org/10.3390/ijerph18094607
Chicago/Turabian StyleAltman, Emily A., Kristine A. Madsen, and Laura A. Schmidt. 2021. "Missed Opportunities: The Need to Promote Public Knowledge and Awareness of Sugar-Sweetened Beverage Taxes" International Journal of Environmental Research and Public Health 18, no. 9: 4607. https://doi.org/10.3390/ijerph18094607
APA StyleAltman, E. A., Madsen, K. A., & Schmidt, L. A. (2021). Missed Opportunities: The Need to Promote Public Knowledge and Awareness of Sugar-Sweetened Beverage Taxes. International Journal of Environmental Research and Public Health, 18(9), 4607. https://doi.org/10.3390/ijerph18094607

