Ego-Resiliency and Perceived Social Support in Late Childhood: A Latent Growth Modeling Approach
Abstract
1. Introduction
1.1. Change Trajectory of Ego-Resiliency
1.2. Change Trajectory of Perceived Social Support
1.3. Reciprocal Relationships between Perceived Social Support and Ego-Resiliency
2. Materials and Methods
2.1. Participants
2.2. Procedure
2.3. Measures
2.4. Analytic Strategies
3. Results
3.1. Descriptive Statistics
3.2. Latent Growth Models for Ego-Resiliency and Perceived Social Support
3.3. Linear Growth Model for Ego-Resiliency with a Time-Varying Covariate
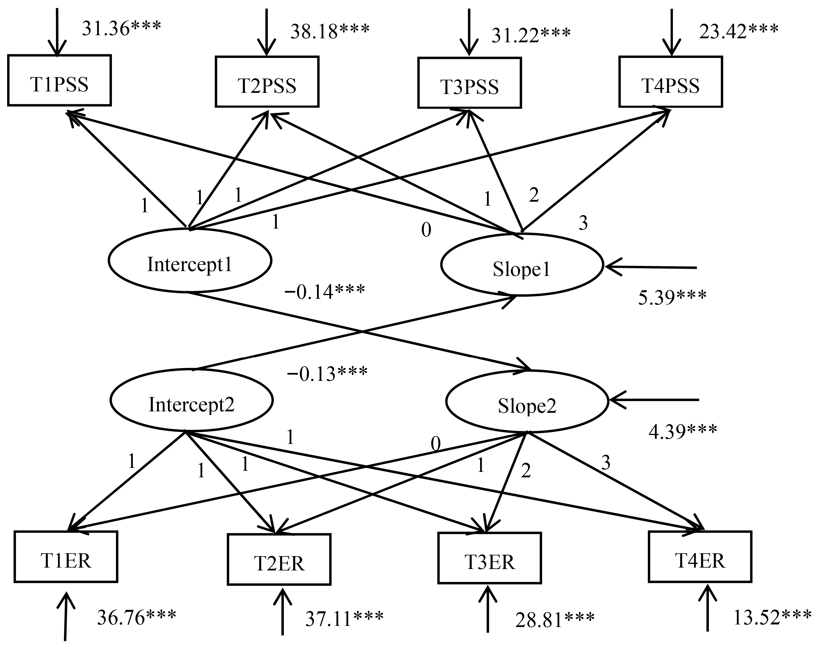
3.4. Parallel Process Latent Growth Model for Ego-Resiliency and Perceived Social Support
4. Discussion
5. Conclusions
Author Contributions
Funding
Institutional Review Board Statement
Informed Consent Statement
Data Availability Statement
Conflicts of Interest
References
- Letziring, T.; Block, J.; Funder, D. Ego-control and ego-resiliency: Generalization of self-report scales based on personality description from acquaintances, clinicians, and the self. J. Res. Personal. 2004, 39, 395–422. [Google Scholar] [CrossRef]
- Block, J.H.; Block, J. The role of ego-control and ego-resiliency in the organization of behavior. In Development of Cognition, Affect, and Social Relations, the Minnesota Symposia on Child Psychology; Collins, W.A., Ed.; Erlbaum: Hillsdale, NJ, USA, 1980; Volume 13, pp. 39–101. [Google Scholar]
- Causadias, J.M.; Salvatore, J.E.; Sroufe, L.A. Early patterns of self-regulation as risk and promotive factors in development: A longitudinal study from childhood to adulthood in a high-risk sample. Int. J. Behav. Dev. 2012, 36, 293–302. [Google Scholar] [CrossRef]
- Block, J.; Block, J.H. Venturing a 30-year longitudinal study. Am. Psychol. 2006, 61, 315–327. [Google Scholar] [CrossRef] [PubMed]
- Eisenberg, N.; Haugen, R.; Spinrad, T.L.; Hofer, C.; Chassin, L.; Zhou, Q.; Kupfer, A.; Smith, C.L.; Valiente, C.; Liew, J. Relations of Temperament to Maladjustment and Ego Resiliency in At-risk Children. Soc. Dev. 2009, 19, 577–600. [Google Scholar] [CrossRef]
- Taylor, Z.E.; Ruiz, Y.; Nair, N. A mixed-method examination of ego-resiliency, adjustment problems, and academic engagement in children of Latino migrant farmworkers. Soc. Dev. 2018, 28, 200–217. [Google Scholar] [CrossRef]
- Chuang, S.S.; Lamb, M.E.; Hwang, C.P. Personality development from childhood to adolescence: A longitudinal study of ego-control and ego-resiliency in Sweden. Int. J. Behav. Dev. 2006, 30, 338–343. [Google Scholar] [CrossRef]
- Taylor, Z.E.; Eisenberg, N.; Spinrad, T.L.; Eggum, N.D.; Sulik, M.J. The relations of ego-resiliency and emotion socialization to the development of empathy and prosocial behavior across early childhood. Emotion 2013, 13, 822–831. [Google Scholar] [CrossRef] [PubMed]
- Taylor, Z.E.; Eisenberg, N.; Vanschyndel, S.K.; Eggum-Wilkens, N.D.; Spinrad, T.L. Children’s negative emotions and ego-resiliency: Longitudinal relations with social competence. Emotion 2014, 14, 397–406. [Google Scholar] [CrossRef] [PubMed]
- Liew, J.; Cao, Q.; Hughes, J.N.; Deutz, M.H.F. Academic Resilience Despite Early Academic Adversity: A Three-Wave Longitudinal Study on Regulation-Related Resiliency, Interpersonal Relationships, and Achievement in First to Third Grade. Early Educ. Dev. 2018, 29, 762–779. [Google Scholar] [CrossRef]
- Liew, J.; McTigue, E.M.; Barrois, L.; Hughes, J.N. Adaptive and effortful control and academic self-efficacy beliefs on achievement: A longitudinal study of 1st through 3rd graders. Early Child. Res. Q. 2008, 23, 515–526. [Google Scholar] [CrossRef] [PubMed]
- Alessandri, G.; Eisenberg, N.; Vecchione, M.; Caprara, G.V.; Milioni, M. Ego-resiliency development from late adolescence to emerging adulthood: A ten-year longitudinal study. J. Adolesc. 2016, 50, 91–102. [Google Scholar] [CrossRef]
- Vecchione, M.; Alessandri, G.; Barbaranelli, C.; Gerbino, M. Stability and change of ego resiliency from late adolescence to young adulthood: A multiperspective study using the ER89-R Scale. J. Personal. Assess. 2010, 92, 212–221. [Google Scholar] [CrossRef]
- Eccles, J.S. The Development of Children Ages 6 to 14. Future Child. 1999, 9, 30–44. [Google Scholar] [CrossRef] [PubMed]
- Alessandri, G.; Zuffianò, A.; Eisenberg, N.; Pastorelli, C. The role of ego-resiliency as mediator of the longitudinal relationship between family socio-economic status and school grades. J. Youth Adolesc. 2017, 46, 2157–2168. [Google Scholar] [CrossRef] [PubMed]
- Spinrad, T.L.; Eisenberg, N.; Cumberland, A.; Fabes, R.A.; Valiente, C.; Shepard, S.A.; Reiser, M.; Losoya, S.H.; Guthrie, I.K. Relation of emotion-related regulation to children’s social competence: A longitudinal study. Emotion 2006, 6, 498–510. [Google Scholar] [CrossRef] [PubMed]
- Hofer, C.; Eisenberg, N.; Reiser, M. The Role of Socialization, Effortful Control, and Ego Resiliency in French Adolescents’ Social Functioning. J. Res. Adolesc. 2010, 20, 555–582. [Google Scholar] [CrossRef] [PubMed]
- Eschenbeck, H.; Schmid, S.; Schröder, I.; Wasserfall, N.; Kohlmann, C.-W. Development of coping strategies from childhood to adolescence. Eur. J. Health Psychol. 2018, 25, 18–30. [Google Scholar] [CrossRef]
- Zimmer-Gembeck, M.J.; Skinner, E.A. Review: The development of coping across childhood and adolescence: An integrative review and critique of research. Int. J. Behav. Dev. 2010, 35, 1–17. [Google Scholar] [CrossRef]
- Rothbart, M.K.; Bates, J.E. Temperament. In Handbook of Child Psychology, Volume 3—Social, Emotional, and Personality Development, 6th ed.; Eisenberg, N., Damon, V., Eds.; Wiley: New York, NY, USA, 2006; pp. 99–166. [Google Scholar]
- Eisenberg, N.; Valiente, C.; Fabes, R.A.; Smith, C.L.; Reiser, M.; Shepard, S.A.; Losoya, S.H.; Guthrie, I.K.; Murphy, B.C.; Cumberland, A.J. The relations of effortful control and ego control to children’s resiliency and social functioning. Dev. Psychol. 2003, 39, 761–776. [Google Scholar] [CrossRef] [PubMed]
- Taylor, Z.E.; Eisenberg, N.; Spinrad, T.L.; Widaman, K.F. Longitudinal Relations of Intrusive Parenting and Effortful Control to Ego-Resiliency During Early Childhood. Child Dev. 2013, 84, 1145–1151. [Google Scholar] [CrossRef]
- Rudolph, K.D.; Dennig, M.D.; Weisz, J.R. Determinants and consequences of children’s coping in the medical setting: Conceptualization, review, and critique. Psychol. Bull. 1995, 118, 328–357. [Google Scholar] [CrossRef]
- Vierhaus, M.; Lohaus, A. Children’s Perception of Relations between Anger or Anxiety and Coping: Continuity and Discontinuity of Relational Structures. Soc. Dev. 2009, 18, 747–763. [Google Scholar] [CrossRef]
- Johnson, J.H.; Gooding, P.; Tarrier, N. Suicide risk in schizophrenia: Explanatory models and clinical implications, The Schematic Appraisal Model of Suicide (SAMS). Psychol. Psychother. Theory Res. Pract. 2008, 81, 55–77. [Google Scholar] [CrossRef] [PubMed]
- Melrose, K.L.; Brown, G.D.; Wood, A.M. When is received social support related to perceived support and well-being? When it is needed. Pers. Individ. Differ. 2015, 77, 97–105. [Google Scholar] [CrossRef]
- Vaingankar, J.A.; Abdin, E.; Chong, S.A. Exploratory and confirmatory factor analyses of the Multidimensional Scale of Perceived Social Support in patients with schizophrenia. Compr. Psychiatry 2012, 53, 286–291. [Google Scholar] [CrossRef]
- Cohen, S.; Wills, T.A. Stress, social support, and the buffering hypothesis. Psychol. Bull. 1985, 98, 310–357. [Google Scholar] [CrossRef]
- Cantin, S.; Boivin, M. Change and stability in children’s social network and self-perceptions during transition from elementary to junior high school. Int. J. Behav. Dev. 2004, 28, 561–570. [Google Scholar] [CrossRef]
- Ross, A.C.; Simons, L.E.; Feinstein, A.B.; Yoon, M.I.A.; Bhandari, R.P. Social Risk and Resilience Factors in Adolescent Chronic Pain: Examining the Role of Parents and Peers. J. Pediatr. Psychol. 2017, 43, 303–313. [Google Scholar] [CrossRef]
- Shute, R.; De Blasio, T.; Williamson, P. Social support satisfaction of Australian children. Int. J. Behav. Dev. 2002, 26, 318–326. [Google Scholar] [CrossRef]
- Hill, P.L.; Weston, S.J.; Jackson, J.J. The co-development of perceived support and the Big Five in middle and older adulthood. Int. J. Behav. Dev. 2017, 42, 26–33. [Google Scholar] [CrossRef]
- Kerns, K.A. Attachment in middle childhood. In Handbook of Attachment: Theory, Research, and Clinical Applications, 2nd ed.; Cassidy, J., Shaver, P.R., Eds.; Guilford Press: New York, NY, USA, 2008; pp. 366–382. [Google Scholar]
- Lieberman, M.; Doyle, A.-B.; Markiewicz, D. Developmental Patterns in Security of Attachment to Mother and Father in Late Childhood and Early Adolescence: Associations with Peer Relations. Child Dev. 1999, 70, 202–213. [Google Scholar] [CrossRef] [PubMed]
- Noble, T.; McGrath, H. Wellbeing and Resilience in Young People and the Role of Positive Relationships. In Positive Relationships: Evidence Based Practice across the World; Roffey, S., Ed.; Springer: New York, NY, USA, 2011; pp. 17–33. [Google Scholar]
- Eccles, J.S.; Midgley, C.; Wigfield, A.; Buchanan, C.M.; Reuman, D.; Flanagan, C.; Mac Iver, D. Development during adolescence: The impact of stage-environment fit on young adolescents’ experiences in schools and in families. Am. Psychol. 1993, 48, 90–101. [Google Scholar] [CrossRef] [PubMed]
- Chen, B.-B.; Wiium, N.; Dimitrova, R.; Chen, N. The Relationships between Family, School and Community Support and Boundaries and Student Engagement among Chinese Adolescents. Curr. Psychol. 2017, 38, 705–714. [Google Scholar] [CrossRef]
- Hartup, W.W. Critical issues and theoretical viewpoints. In Handbook of Peer Interactions, Relationships, and Groups; Rubin, K.H., Bukowski, W.M., Laursen, B., Eds.; Guilford Press: New York, NY, USA, 2009; pp. 3–19. [Google Scholar]
- Bokhorst, C.L.; Sumter, S.R.; Westenberg, P.M. Social Support from Parents, Friends, Classmates, and Teachers in Children and Adolescents Aged 9 to 18 Years: Who Is Perceived as Most Supportive? Soc. Dev. 2010, 19, 417–426. [Google Scholar] [CrossRef]
- Philippe, F.L.; LaVenture, S.; Beaulieu-Pelletier, G.; Lecours, S.; Lekes, N. Ego-Resiliency as a Mediator between Childhood Trauma and Psychological Symptoms. J. Soc. Clin. Psychol. 2011, 30, 583–598. [Google Scholar] [CrossRef]
- Bronfenbrenner, U. The Ecology of Human Development; Harvard University Press: Cambridge, MA, USA, 2009. [Google Scholar]
- Ratelle, C.F.; Morin, A.J.S.; Guay, F.; Duchesne, S. Sources of evaluation of parental behaviors as predictors of achievement outcomes. Motiv. Emot. 2018, 42, 513–526. [Google Scholar] [CrossRef]
- Markstrom, C.A.; Marshall, S.K.; Tryon, R.J. Resiliency, social support, and coping in rural low-income Appalachian adolescents from two racial groups. J. Adolesc. 2000, 23, 693–703. [Google Scholar] [CrossRef] [PubMed]
- Önder, A.; Dagal, A.B.; Bayindir, D. The Predictive Effect of Preschool Children’s Temperament Characteristics and Parenting Styles of Mothers on Ego Resiliency Level of Children. Educ. Sci. 2018, 43, 79–90. [Google Scholar] [CrossRef]
- Swanson, J.; Valiente, C.; Lemery-Chalfant, K.; O’Brien, T.C. Predicting early adolescents’ academic achievement, social competence, and physical health from parenting, ego resilience, and engagement coping. J. Early Adolesc. 2011, 31, 548–576. [Google Scholar] [CrossRef]
- Allemand, M.; Schaffhuser, K.; Martin, M. Long-Term Correlated Change between Personality Traits and Perceived Social Support in Middle Adulthood. Pers. Soc. Psychol. Bull. 2015, 41, 420–432. [Google Scholar] [CrossRef]
- Block, J.; Kremen, A.M. IQ and ego-resiliency: Conceptual and empirical connections and separateness. J. Personal. Soc. Psychol. 1996, 70, 349–361. [Google Scholar] [CrossRef]
- Klohnen, E.C. Conceptual analysis and measurement of the construct of ego-resiliency. J. Personal. Soc. Psychol. 1996, 70, 1067–1079. [Google Scholar] [CrossRef]
- Mak, W.W.S.; Ng, I.S.W.; Wong, C.C.Y. Resilience: Enhancing well-being through the positive cognitive triad. J. Couns. Psychol. 2011, 58, 610–617. [Google Scholar] [CrossRef] [PubMed]
- Taylor, Z.E.; Doane, L.D.; Eisenberg, N. Transitioning from high school to college: Relations of social support, ego-resiliency, and maladjustment during emerging adulthood. Emerg. Adulthood 2014, 2, 105–115. [Google Scholar] [CrossRef]
- Little, R.J.; Rubin, D.B. Missing Data. In International Encyclopedia of the Social & Behavioral Sciences; Elsevier: Amsterdam, The Netherlands, 2015; Volume 15, pp. 602–607. [Google Scholar]
- Wang, X.; Wang, X.; Ma, H. Handbook of Mental Health Assessment Scale; Chin. Ment. Health Press: Beijing, China, 1999; pp. 131–133. [Google Scholar]
- Zimet, G.D.; Dahlem, N.W.; Zimet, S.G.; Farley, G.K. The Multidimensional Scale of Perceived Social Support. J. Pers. Assess. 1988, 52, 30–41. [Google Scholar] [CrossRef]
- Chan, D. The Conceptualization and Analysis of Change Over Time: An Integrative Approach Incorporating Longitudinal Mean and Covariance Structures Analysis (LMACS) and Multiple Indicator Latent Growth Modeling (MLGM). Organ. Res. Methods 1998, 1, 421–483. [Google Scholar] [CrossRef]
- Muthén, L.K.; Muthén, B.O. Mplus User’s Guide, 7th ed.; Muthén & Muthén: Los Angeles, CA, USA, 2015. [Google Scholar]
- McArdle, J.J. Latent variable modeling of differences and changes with longitudinal data. Annu. Rev. Psychol. 2009, 60, 577–605. [Google Scholar] [CrossRef] [PubMed]
- Birkeland, M.S.; Holt, T.; Ormhaug, S.M.; Jensen, T.K. Perceived social support and posttraumatic stress symptoms in children and youth in therapy: A parallel process latent growth curve model. Behav. Res. Ther. 2020, 132, 103655. [Google Scholar] [CrossRef]
- Bravo, A.J.; Kelley, M.L.; Swinkels, C.M.; Ulmer, C.S. Work stressors, depressive symptoms and sleep quality among US Navy members: A parallel process latent growth modelling approach across deployment. J. Sleep Res. 2017, 27, e12624. [Google Scholar] [CrossRef]
- Kieffer, M.J.; Lesaux, N.K. Development of morphological awareness and vocabulary knowledge in Spanish-speaking language minority learners: A parallel process latent growth curve model. Appl. Psycholinguist. 2012, 33, 23–54. [Google Scholar] [CrossRef]
- Selig, J.P.; Preacher, K.J. Mediation Models for Longitudinal Data in Developmental Research. Res. Hum. Dev. 2009, 6, 144–164. [Google Scholar] [CrossRef]
- Marsh, H.W.; Hau, K.-T.; Wen, Z. In Search of Golden Rules: Comment on Hypothesis-Testing Approaches to Setting Cutoff Values for Fit Indexes and Dangers in Overgeneralizing Hu and Bentler’s (1999) Findings. Struct. Equ. Model. 2004, 11, 320–341. [Google Scholar] [CrossRef]
- Vierhaus, M.; Lohaus, A.; Ball, J. Developmental changes in coping: Situational and methodological influences. Anxiety Stress. Coping 2007, 20, 267–282. [Google Scholar] [CrossRef]
- Cheng, S.-T.; Chan, A.C.M. The multidimensional scale of perceived social support: Dimensionality and age and gender differences in adolescents. Pers. Individ. Differ. 2004, 37, 1359–1369. [Google Scholar] [CrossRef]
- Grotberg, E.H. Resilience programs for children in disaster. Ambul. Child Health 2001, 7, 75–83. [Google Scholar] [CrossRef]
- Fehr, B. Intimacy Expectations in Same-Sex Friendships: A Prototype Interaction-Pattern Model. J. Pers. Soc. Psychol. 2004, 86, 265–284. [Google Scholar] [CrossRef] [PubMed]
- Camara, M.; Bacigalupe, G.; Padilla, P. The role of social support in adolescents: Are you helping me or stressing me out? Int. J. Adolesc. Youth 2017, 22, 123–136. [Google Scholar] [CrossRef]
- Oshio, A.; Taku, K.; Hirano, M.; Saeed, G. Resilience and Big Five personality traits: A meta-analysis. Pers. Individ. Differ. 2018, 127, 54–60. [Google Scholar] [CrossRef]

| Variables | M | SD | 1 | 2 | 3 | 4 | 5 | 6 | 7 | 8 | 9 |
|---|---|---|---|---|---|---|---|---|---|---|---|
| 1. Gender | 0.51 | - | 1 | ||||||||
| 2. Ego-resiliency(T1) | 48.01 | 8.48 | −0.04 | 1 | |||||||
| 3. Ego-resiliency(T2) | 48.78 | 8.76 | −0.02 | 0.53 ** | 1 | ||||||
| 4. Ego-resiliency(T3) | 48.49 | 8.26 | −0.03 | 0.33 ** | 0.49 ** | 1 | |||||
| 5. Ego-resiliency(T4) | 49.17 | 8.37 | −0.04 | 0.33 ** | 0.49 ** | 0.68 ** | 1 | ||||
| 6. Perceived Social Support(T1) | 45.85 | 8.24 | −0.12 * | 0.44 ** | 0.36 ** | 0.18 ** | 0.21 ** | 1 | |||
| 7. Perceived Social Support(T2) | 44.09 | 9.09 | −0.10 * | 0.26 ** | 0.50 ** | 0.36** | 0.34** | 0.51 ** | 1 | ||
| 8. Perceived Social Support(T3) | 44.04 | 8.70 | −0.11 * | 0.20 ** | 0.30 ** | 0.44 ** | 0.38 ** | 0.37 ** | 0.58 ** | 1 | |
| 9. Perceived Social Support(T4) | 43.42 | 9.49 | −0.08 | 0.21 ** | 0.31 ** | 0.42 ** | 0.53 ** | 0.29 ** | 0.51 ** | 0.63 ** | 1 |
| Models | χ2/df | CFI | TLI | RMSEA | SRMR |
|---|---|---|---|---|---|
| Ego-resiliency | |||||
| Linear growth model | 2.691 | 0.985 | 0.982 | 0.062 | 0.044 |
| Quadratic growth model | 3.009 | 0.996 | 0.978 | 0.068 | 0.016 |
| Perceived social support | |||||
| Linear growth model | 3.000 | 0.975 | 0.964 | 0.068 | 0.085 |
| Quadratic growth model | 1.950 | 0.997 | 0.983 | 0.047 | 0.011 |
| Models | Means of Growth Factors | Variances of Growth Factors | ||||
|---|---|---|---|---|---|---|
| Intercept Factor | Linear Factor | Quadratic Factor | Intercept Factor | Linear Factor | Quadratic Factor | |
| Ego-resiliency | ||||||
| Linear growth model | 48.09 *** | 0.35 * | 41.84 *** | 6.31 *** | ||
| Quadratic growth model | 48.02 *** | 0.35 | 0.007 | 70.56 *** | 45.32 *** | 2.17 * |
| Perceived social support | ||||||
| Linear growth model | 46.55 *** | −0.81 *** | 40.70 *** | 6.58 *** | ||
| Quadratic growth model | 46.84 *** | −1.49 * | 0.23 | 58.10 *** | 38.83 ** | 1.06 |
Publisher’s Note: MDPI stays neutral with regard to jurisdictional claims in published maps and institutional affiliations. |
© 2021 by the authors. Licensee MDPI, Basel, Switzerland. This article is an open access article distributed under the terms and conditions of the Creative Commons Attribution (CC BY) license (http://creativecommons.org/licenses/by/4.0/).
Share and Cite
Chen, Q.; Gao, W.; Chen, B.-B.; Kong, Y.; Lu, L.; Yang, S. Ego-Resiliency and Perceived Social Support in Late Childhood: A Latent Growth Modeling Approach. Int. J. Environ. Res. Public Health 2021, 18, 2978. https://doi.org/10.3390/ijerph18062978
Chen Q, Gao W, Chen B-B, Kong Y, Lu L, Yang S. Ego-Resiliency and Perceived Social Support in Late Childhood: A Latent Growth Modeling Approach. International Journal of Environmental Research and Public Health. 2021; 18(6):2978. https://doi.org/10.3390/ijerph18062978
Chicago/Turabian StyleChen, Qishan, Wenyang Gao, Bin-Bin Chen, Yurou Kong, Liuying Lu, and Shuting Yang. 2021. "Ego-Resiliency and Perceived Social Support in Late Childhood: A Latent Growth Modeling Approach" International Journal of Environmental Research and Public Health 18, no. 6: 2978. https://doi.org/10.3390/ijerph18062978
APA StyleChen, Q., Gao, W., Chen, B.-B., Kong, Y., Lu, L., & Yang, S. (2021). Ego-Resiliency and Perceived Social Support in Late Childhood: A Latent Growth Modeling Approach. International Journal of Environmental Research and Public Health, 18(6), 2978. https://doi.org/10.3390/ijerph18062978

