Monitoring the Landscape Pattern and Characteristics of Non-Point Source Pollution in a Mountainous River Basin
Abstract
:1. Introduction
2. Materials and Methods
2.1. Study Region
2.2. Spatial Data
2.3. Field Survey Data
2.4. Sub-Basin Partitioning
2.5. Landscape Pattern Analysis
2.6. “Source-Sink” and LWLCI
3. Results
3.1. Water Quality and Sub-Basin Partitioning
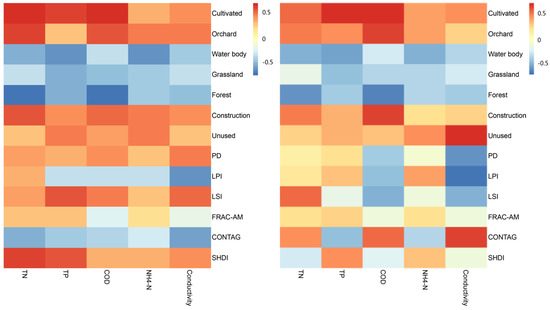
3.2. Correlation between Land Use and Water Quality Factors
3.3. LWLCI Division
4. Discussion
5. Conclusions
- (1)
- The water quality indicators of the six main rivers in Qixia County varied across different periods. The TN indicator was the highest, greatly exceeding the surface water V standard; the concentration of pollutants in different sections of the same river showed some temporal and spatial differences. Based on the comprehensive pollution index, the water quality of Qixia County was found to generally be good, and most of the water body belonged to the third category or higher. The water quality of the main stream and its tributaries was not significantly different between May and September. The average values of various water quality indicators of the main stream were higher than those of the tributaries during May but lower during September.
- (2)
- The proportion of each land-use type in the 21 sub-basins of Qixia County was moderately different. The proportion of woodland areas was 38.43%, and these areas covered the highest proportion of land in Qixia County. The proportions of different land-use areas had certain correlations with the water quality indicators. Cultivated land and orchards were positively correlated with NPS pollution indicators, while forest land was negatively correlated with water quality indicators. Cultivated land, orchards, construction land, and unused land were the “source” landscapes in the basin. The areas of woodlands, grasslands, and water were negatively correlated with the quality of nutrient salts and were the main “sink” landscapes in the basin.
- (3)
- The spatial load contrast index of the “source” and “sink” landscapes showed a significant spatial correlation in the region and had a significant positive correlation with all NPS pollution indicators in the basin. TN, COD, and electric conductivity were significantly correlated during both periods and can be used as indicators of non-point source pollution.
- (4)
- The heavily polluted area was located in the hilly comprehensive grain-fruit utilization area in the southwest, covering one-seventh of Qixia County. The potential pollution areas were located in the low mountain forest protection areas of Tingkou Town, Miaohou Town, and Taocun Town. The moderately polluted district area accounted for 80% of the total area of Qixia County, indicating that the NPS pollution situation of Qixia County is generally light. Future mitigation measures that comply with local topographic features should be considered in high-LWLCI regions.
- (5)
- Whether the high incidence of liver cancer in the Yantai City region, where Qixia is located, is related to the dietary habits or water quality conditions in the region requires further exploration. The large quantities of fertilizers and pesticides applied in Qixia have greatly affected water quality and the local environment. The high level of nitrogen-related contaminants in the water quality of Qixia also requires the attention of the local authorities. This study provides a scientific basis for further potential measures from the relevant sectors.
Author Contributions
Funding
Institutional Review Board Statement
Informed Consent Statement
Data Availability Statement
Conflicts of Interest
References
- Li, M.; Wang, X.; Liu, W. Relationship between landscape pattern and non-point source pollution loads in the Chaohe River Watershed. Huanjing Kexue Xuebao 2013, 33, 2296–2306. [Google Scholar]
- Jiang, M.; Chen, H.; Chen, Q. A method to analyze “source-sink” structure of non-point source pollution based on remote sensing technology. Environ. Pollut. 2013, 182, 135–140. [Google Scholar] [CrossRef] [PubMed]
- Wato, T. The agricultural water pollution and its minimization strategies–A review. J. Resour. Dev. Manag. 2020, 64, 10–22. [Google Scholar]
- Cheng, X.; Chen, L.; Sun, R. Modeling the non-point source pollution risks by combing pollutant sources, precipitation, and landscape structure. Environ. Sci. Pollut. Res. 2019, 26, 11856–11863. [Google Scholar] [CrossRef] [PubMed]
- Chen, X.; Liu, X.; Peng, W.; Dong, F.; Huang, Z.; Wang, R. Non-point source nitrogen and phosphorus assessment and management plan with an improved method in data-poor regions. Water 2017, 10, 17. [Google Scholar] [CrossRef] [Green Version]
- de Oliveira, L.M.; Maillard, P.; de Andrade Pinto, E.J. Application of a land cover pollution index to model non-point pollution sources in a Brazilian watershed. Catena 2017, 150, 124–132. [Google Scholar] [CrossRef]
- Wu, J.; Lu, J. Landscape patterns regulate non-point source nutrient pollution in an agricultural watershed. Sci. Total Environ. 2019, 669, 377–388. [Google Scholar] [CrossRef]
- Chen, A.; Zhao, X.; Yao, L.; Chen, L. Application of a new integrated landscape index to predict potential urban heat islands. Ecol. Indic. 2016, 69, 828–835. [Google Scholar] [CrossRef]
- Ma, B.; Wu, C.; Ding, F.; Zhou, Z. Predicting basin water quality using source-sink landscape distribution metrics in the Danjiangkou Reservoir of China. Ecol. Indic. 2021, 127, 107697. [Google Scholar] [CrossRef]
- Wang, S.; Rao, P.; Yang, D.; Tang, L. A combination model for quantifying non-point source pollution based on land use type in a typical urbanized area. Water 2020, 12, 729. [Google Scholar] [CrossRef] [Green Version]
- Wang, Q.; Fu, M.; Wei, L.; Han, Y.; Shi, N.; Li, J.; Quan, Z. Urban ecological security pattern based on source-sink landscape theory and MCR model: A case study of Ningguo City, Anhui Province. Huanjing Kexue Xuebao 2016, 36, 4546–4554. [Google Scholar]
- Sun, B.; Zhang, L.; Yang, L.; Zhang, F.; Norse, D.; Zhu, Z. Agricultural non-point source pollution in China: Causes and mitigation measures. Ambio 2012, 41, 370–379. [Google Scholar] [CrossRef] [Green Version]
- Ouyang, W.; Wang, X.; Cheng, H. Nonpoint Source Pollution Responses Simulation for Conversion Cropland to Forest in Mountains by SWAT in China. Environ. Manag. 2008, 41, 79–89. [Google Scholar] [CrossRef]
- Jain, S.K.; Kumar, N.; Ahmad, T.; Kite, G.W. Estimation de l’écoulement d’une partie du bassin de Satluj par le modèle SLURP et un GIS. Hydrol. Sci. J. 1998, 43, 875–884. [Google Scholar] [CrossRef]
- Chen, H.; Teng, Y.; Wang, J. Load estimation and source apportionment of nonpoint source nitrogen and phosphorus based on integrated application of SLURP model, ECM, and RUSLE: A case study in the Jinjiang River, China. Environ. Monit. Assess. 2013, 185, 2009–2021. [Google Scholar] [CrossRef] [PubMed]
- Brakebill, J.W.; Ator, S.W.; Schwarz, G.E. Sources of suspended-sediment flux in streams of the chesapeake bay watershed: A regional application of the sparrow model. J. Am. Water Resour. Assoc. 2010, 46, 757–776. [Google Scholar] [CrossRef]
- Zhang, L.; Nan, Z.; Xu, Y.; Li, S. Hydrological impacts of land use change and climate variability in the headwater region of the Heihe River Basin, northwest China. PLoS ONE 2016, 11, e0158394. [Google Scholar] [CrossRef] [PubMed] [Green Version]
- State Council. The Action Plan for the Prevention and Control of Water Pollution. China Pap. Newsl. 2015, 8, 85–86. [Google Scholar]
- Wang, Y.; Liu, X.; Wang, T.; Zhang, X.; Feng, Y.; Yang, G.; Zhen, W. Relating land-use/land-cover patterns to water quality in watersheds based on the structural equation modeling. Catena 2021, 206, 105566. [Google Scholar] [CrossRef]
- Chen, L.; Tian, H.; Fu, B.; Zhao, X. Development of a new index for integrating landscape patterns with ecological processes at watershed scale. Chin. Geogr. Sci. 2009, 19, 37–45. [Google Scholar] [CrossRef] [Green Version]
- Chen, L.; Fu, B.; Xu, J.; Gong, J. Location-weighted landscape contrast index: A scale independent approach for landscape pattern evaluation based on source-sink ecological processes. Acta Ecol. Sin. 2003, 23, 2406–2413. [Google Scholar]
- Wu, Z.; Lin, C.; Su, Z.; Zhou, S.; Zhou, H. Multiple landscape “source-sink” structures for the monitoring and management of non-point source organic carbon loss in a peri-urban watershed. Catena 2016, 145, 15–29. [Google Scholar] [CrossRef]
- Wang, J.L.; Xie, D.T.; Ni, J.P.; Shao, J.A. Identification of soil erosion risk patterns in a watershed based on source-sink landscape units. Shengtai Xuebao 2017, 37, 8216–8226. [Google Scholar]
- Sun, Q.; Qi, W.; Jiang, W. Land use assessment using indices of heavy metal contamination in soils from intensive agricultural areas. IOP Conf. Ser. Earth Environ. Sci. 2021, 687, 012027. [Google Scholar] [CrossRef]
- Statistical Yearbook of Qixia. Available online: http://www.sdqixia.gov.cn/art/2019/9/16/art_31425_2907854.html (accessed on 30 September 2021).
- Tang, W.; Fu, C.; Zou, J.; Dai, G.; Peng, L.; Zhu, X.; Ma, F. 1:50 000 geological and mineral survey database of Qixia–Muping area, Jiaodong metallogenic province. Geol. China 2020, 47, 70–84. [Google Scholar]
- Test Report of Qixia Center for Disease Control and Prevention. Available online: http://www.sdqixia.gov.cn/art/2021/6/29/art_40630_2923593.html (accessed on 30 September 2021).
- Yang, Y. Epidemiological analysis of malignant tumor morbidity and mortality in Qixia City. China Healthc. Nutr. 2020, 30, 353. (In Chinese) [Google Scholar]
- Wang, M.; Chen, Y.; Liu, H.; Yu, S.; Qu, S.; Jiang, F. Analysis on death causes among residents in Yantai city. Prev. Med. Trib. 2011, 17, 995–998. [Google Scholar]
- Schwarzenbach, R.; Egli, T.; Hofstetter, T.; von Gunten, U.; Wehrli, B. Global water pollution and human health. Annu. Rev. Environ. Resour. 2010, 35, 109–136. [Google Scholar] [CrossRef]
- Lin, N.; Tang, J.; Ismael, H.S. Study on environmental etiology of high incidence areas of liver cancer in China. World J. Gastroenterol. 2000, 6, 572–576. [Google Scholar]
- Forman, D.; Al-Dabbagh, S.; Doll, R. Nitrates, nitrites and gastric cancer in Great Britain. Nature 1985, 313, 620–625. [Google Scholar] [CrossRef] [PubMed]
- Bae, J.; Kwon, H.; Kim, S.; Ma, L.; Im, H.; Kim, E.; Kim, M.; Kwon, M. Inhalation of ammonium sulfate and ammonium nitrate adversely affect sperm function. Reprod. Toxicol. 2020, 96, 424–431. [Google Scholar] [CrossRef]
- National Data Enquiry Home Page. Available online: https://data.stats.gov.cn/easyquery.htm?cn=E0101 (accessed on 29 September 2021).
- Hou, M.; Li, Z.; Wang, Z.; Yang, D.; Wang, L. Estimation of fertilizer usage from main crops in China. J. Agric. Resour. Environ. 2017, 34, 360–367. (In Chinese) [Google Scholar]
- Tang, T.; Zhai, Y.; Huang, K. Water quality analysis and recommendations through comprehensive pollution index method. Manag. Sci. Eng. 2011, 5, 95–100. [Google Scholar]
- Li, R.; Zou, Z.; An, Y. Water quality assessment in Qu River based on fuzzy water pollution index method. J. Environ. Sci. 2016, 50, 87–92. [Google Scholar] [CrossRef] [PubMed]
- Wu, J.; Luck, M.; Jelinski, D.E.; Tueller, P.T. Multiscale analysis of landscape heterogeneity: Scale variance and pattern metrics. Geogr. Inf. Sci. 2000, 6, 6–19. [Google Scholar] [CrossRef] [Green Version]
- Zhang, X.; Liu, Y.; Chen, Y. Development of a location-weighted landscape contrast index based on the minimum hydrological response unit. J. Oceanol. Limnol. 2018, 36, 1236–1243. [Google Scholar] [CrossRef]
- State Environmental Protection Administration. Environmental Quality Standards for Surface Water; Environmental Publishing Group: Beijing, China, 2002; p. 182. [Google Scholar]
- Bin, L.; Xu, K.; Xu, X.; Lian, J.; Ma, C. Development of a landscape indicator to evaluate the effect of landscape pattern on surface runoff in the Haihe River Basin. J. Hydrol. 2018, 566, 546–557. [Google Scholar] [CrossRef]
- Li, C.; Zhang, H.; Hao, Y.; Zhang, M. Characterizing the heterogeneous correlations between the landscape patterns and seasonal variations of total nitrogen and total phosphorus in a peri-urban watershed. Environ. Sci. Pollut. Res. 2020, 27, 34067–34077. [Google Scholar] [CrossRef]
- Wang, J.L.; Ni, J.P.; Chen, C.L.; Xie, D.T.; Shao, J.A.; Chen, F.X.; Lei, P. Source-sink landscape spatial characteristics and effect on non-point source pollution in a small catchment of the Three Gorge Reservoir Region. J. Mt. Sci. 2018, 15, 327–339. [Google Scholar] [CrossRef]







| pH | Al | Fe | Mn | Cu | Zn | COD | NO3− | CL− | 
|---|---|---|---|---|---|---|---|---|
| 8.17 | 0.008 | <0.01 | <0.008 | <0.2 | <0.01 | 2.37 | 0.9 | 54.6 | 
| Qixia County | Shandong Province (2018) | China (2018) | |
|---|---|---|---|
| Total sown area (km2) | 1075 | 110,768 | 1,659,024 | 
| Total fertilizer application (t) | 126,501 | 4,203,500 | 56,530,000 | 
| Average fertilizer application (t/km2) | 117.67 | 37.94 | 34.07 | 
| Total pesticide application (t) | 4470 | 130,000 | 1,503,600 | 
| Average pesticide application (t/km2) | 4.10 | 1.17 | 0.91 | 
| Area (km2) | Percentage | ||
|---|---|---|---|
| Source landscapes | Construction | 147.61 | 12.52% | 
| Farmland | 395.34 | 33.53% | |
| Orchard | 636.15 | 53.95% | |
| Total area of source landscapes | 1179.1 | 100 | |
| Sink landscapes | Water body | 21.66 | 2.93% | 
| Forests | 706.24 | 95.42% | |
| Grassland | 12.25 | 1.66% | |
| Total area of sink landscapes | 740.15 | 100 | 
| “Source” | Weight | “Sink” | Weight | 
|---|---|---|---|
| Construction land | 0.8 | Forests | 0.8 | 
| Orchards | 0.6 | Grasslands | 0.5 | 
| Farmlands | 0.6 | Water bodies | 0.4 | 
| Unused land | 0.2 | - | - | 
| Pollution Index (P) | Percentage | Quality Level | Indication | 
|---|---|---|---|
| P < 2.0 | 22.80% | I–II | Very good | 
| 2.0 < P < 4.0 | 71.93% | III | Good | 
| 4.0 < P < 8.0 | 5.27% | IV | Average | 
| 8.0 < P < 12.0 | 0 | V | Poor | 
| P > 12.0 | 0 | VI | Worst | 
| Score | Classification | Percentage | 
|---|---|---|
| <0.3 | Low | 6.86 | 
| 0.3–0.4 | Moderately low | 31.33 | 
| 0.4–0.5 | Moderate | 19.51 | 
| 0.5–0.6 | Moderately high | 37.47 | 
| >0.6 | High | 4.83 | 
| TN | TP | NH4+-N | COD | Electric Conductivity | ||
|---|---|---|---|---|---|---|
| May | LWLCI | 0.628 ** | 0.751 ** | 0.521 * | 0.736 ** | 0.674 ** | 
| September | LWLCI | 0.729 ** | 0.527 * | 0.707 ** | 0.726 ** | 0.562 ** | 
| Publisher’s Note: MDPI stays neutral with regard to jurisdictional claims in published maps and institutional affiliations. | 
© 2021 by the authors. Licensee MDPI, Basel, Switzerland. This article is an open access article distributed under the terms and conditions of the Creative Commons Attribution (CC BY) license (https://creativecommons.org/licenses/by/4.0/).
Share and Cite
Liu, Y.; Yang, C.; Yu, X.; Wang, M.; Qi, W. Monitoring the Landscape Pattern and Characteristics of Non-Point Source Pollution in a Mountainous River Basin. Int. J. Environ. Res. Public Health 2021, 18, 11032. https://doi.org/10.3390/ijerph182111032
Liu Y, Yang C, Yu X, Wang M, Qi W. Monitoring the Landscape Pattern and Characteristics of Non-Point Source Pollution in a Mountainous River Basin. International Journal of Environmental Research and Public Health. 2021; 18(21):11032. https://doi.org/10.3390/ijerph182111032
Chicago/Turabian StyleLiu, Yuepeng, Chuanfeng Yang, Xinyang Yu, Mengwen Wang, and Wei Qi. 2021. "Monitoring the Landscape Pattern and Characteristics of Non-Point Source Pollution in a Mountainous River Basin" International Journal of Environmental Research and Public Health 18, no. 21: 11032. https://doi.org/10.3390/ijerph182111032
APA StyleLiu, Y., Yang, C., Yu, X., Wang, M., & Qi, W. (2021). Monitoring the Landscape Pattern and Characteristics of Non-Point Source Pollution in a Mountainous River Basin. International Journal of Environmental Research and Public Health, 18(21), 11032. https://doi.org/10.3390/ijerph182111032
 
         
                                                

 
       