Optimization Strategy of Traditional Block Form Based on Field Investigation—A Case Study of Xi’an Baxian’an, China
Abstract
:1. Introduction
2. Methodology
2.1. Research Object
2.2. Numerical Simulation
2.2.1. Residential Type Distribution
2.2.2. Simulation Software and Parameter Settings
2.3. Selection, Range Determination and Calculation of Parametric Research Factors
2.3.1. Range of Variation and Calculation of Building Density (BD)
2.3.2. Range of Variation and Calculation of Average Building Height (ABH)
2.3.3. Range of Variation and Calculation of Enclosure Degree (ED)
2.3.4. Range of Variation and Calculation of Height Fall (HF)
2.3.5. Range of Variation and Calculation of Aspect Ratio (AR)
2.3.6. Range of Variation and Calculation of Sky View Factor (SVF)
3. Results
3.1. Current Situation of Baxian’an
3.1.1. Different Building Functions
3.1.2. Different Periods of Construction
3.1.3. Different Heights of Construction
3.1.4. Potential Analysis of Block Renovation
3.2. Numerical Simulation
3.2.1. Correlationship between Low-Rise Building Forms and Wind Speeds and Air Temperature
- (1)
- Slab-type buildings
- (2)
- Low-rise semi-enclosed buildings
- (3)
- Low-rise enclosed buildings
3.2.2. Correlationship between Tall Building Form and Wind Speed and Air Temperature
- (1)
- High-rise enclosed buildings
- (2)
- High-rise and semi-enclosed buildings
3.2.3. Correlationship between the Mixed High and Low Story Building Form and Wind Speed and Air Temperature
3.3. Parameter Study
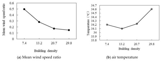
3.3.1. Effect of Different Building Densities
3.3.2. Effect of Different Average Building Heights
3.3.3. Effect of Different Enclosure Degrees
3.3.4. Effect of Different Height Falls
3.3.5. Effect of Different Aspect Ratios
3.3.6. Effect of Different Sky View Factors
3.3.7. Reanalysis of the Correlationship between Building Forms, Wind Speed Ratio, and Air Temperature in an Ideal State
3.4. Morphological Parameter Design Strategy
4. Discussion
5. Conclusions
Author Contributions
Funding
Institutional Review Board Statement
Informed Consent Statement
Data Availability Statement
Conflicts of Interest
References
- Yeoh, B.S.; Huang, S. The conservation-redevelopment dilemma in Singapore: The case of the Kampong Glam traditional district. Cities 1996, 13, 411–422. [Google Scholar] [CrossRef]
- Ryberg-Webster, S. Heritage amid an urban crisis: Traditional preservation in Cleveland, Ohio’s Slavic Village neighborhood. Cities 2016, 58, 10–25. [Google Scholar] [CrossRef]
- Oke, T.R. Boundary Layer Climates; Routledge: Methuen, UK, 1987. [Google Scholar]
- Givoni, B. Climate Considerations in Building and Urban Design; John Wiley & Sons: Hoboken, NJ, USA, 1998. [Google Scholar]
- Yuan, C.; Ng, E.; Norford, L.K. Improving air quality in high-density cities by understanding the correlationship between air pollutant dispersion and urban morphologies. Build. Environ. 2014, 71, 245–258. [Google Scholar] [CrossRef]
- Yang, J.; Fu, X. The Centre of City: Wind Environment and Spatial; Springer Nature: Berlin/Heidelberg, Germany, 2019. [Google Scholar]
- Kim, Y.H.; Baik, J.J. Maximum urban heat island intensity in Seoul. J. Appl. Meteorol. 2002, 41, 651–659. [Google Scholar] [CrossRef]
- Hsieh, C.M.; Huang, H.C. Mitigating urban heat islands: A method to identify potential wind corridor for cooling and ventilation. Comput. Environ. Urban Syst. 2016, 57, 130–143. [Google Scholar] [CrossRef]
- Tan, S.B.; Ti, E.S. What is the value of built heritage conservation? Assessing spillover effects of conserving traditional sites in Singapore. Land Use Policy 2020, 91, 104393. [Google Scholar] [CrossRef]
- Javanroodi, K.; Nik, V.M. Interactions between extreme climate and urban: Investigating the evolution of extreme wind speeds from mesoscale to microscale. Urban Clim. 2020, 31, 100544. [Google Scholar] [CrossRef]
- Wang, B.; Sun, S.; Duan, M. Wind potential evaluation with urban—A case study in Beijing. Energy Procedia 2018, 153, 62–67. [Google Scholar] [CrossRef]
- Ng, E.; Yuan, C.; Chen, L.; Ren, C.; Fung, J.C. Improving the wind environment in high-density cities by understanding urban and surface roughness: A study in Hong Kong. Landsc. Urban Plan. 2011, 101, 59–74. [Google Scholar] [CrossRef]
- Wang, B.; Cot, L.D.; Adolphe, L.; Geoffroy, S.; Sun, S. Cross indicator analysis between wind energy potential and urban. Renew. Energy 2017, 113, 989–1006. [Google Scholar] [CrossRef]
- Hang, J.; Sandberg, M.; Li, Y. Effect of urban on wind condition in idealized city models. Atmos. Environ. 2009, 43, 869–878. [Google Scholar] [CrossRef]
- Skote, M.; Sandberg, M.; Westerberg, U.; Claesson, L.; Johansson, A.V. Numerical and experimental studies of wind environment in an urban. Atmos. Environ. 2005, 39, 6147–6158. [Google Scholar] [CrossRef]
- Bouketta, S.; Bouchahm, Y. Numerical evaluation of urban geometry’s control of wind movements in outdoor spaces during winter period. Case Mediterr. Climate. Renew. Energy 2020, 146, 1062–1069. [Google Scholar]
- Tsichritzis, L.; Nikolopoulou, M. The effect of building height and façade area ratio on pedestrian wind comfort of London. J. Wind. Eng. Ind. Aerodyn. 2019, 191, 63–75. [Google Scholar] [CrossRef]
- Guo, F.; Zhu, P.; Wang, S.; Duan, D.; Jin, Y. Improving Natural Ventilation Performance in a High-Density Urban District: A Building Method. Procedia Eng. 2017, 205, 952–958. [Google Scholar] [CrossRef]
- Yuan, C.; Norford, L.; Ng, E. A semi-empirical model for the effect of trees on the urban wind environment. Landsc. Urban Plan. 2017, 168, 84–93. [Google Scholar] [CrossRef]
- Xie, X.; Sahin, O.; Luo, Z.; Yao, R. Impact of neighbourhood-scale climate characteristics on building heating demand and night ventilation cooling potential. Renew. Energy 2020, 150, 943–956. [Google Scholar] [CrossRef]
- Hart, M.A.; Sailor, D.J. Quantifying the influence of land-use and surface characteristics on spatial variability in the urban heat island. Theor. Appl. Climatol. 2009, 95, 397–406. [Google Scholar] [CrossRef]
- Chun, B.; Guldmann, J.M. Impact of greening on the urban heat island: Seasonal variations and mitigation strategies. Comput. Environ. Urban Syst. 2018, 71, 165–176. [Google Scholar] [CrossRef]
- Salvati, A.; Monti, P.; Roura, H.C.; Cecere, C. Climatic performance of urban textures: Analysis tools for a Mediterranean urban context. Energy Build. 2019, 185, 162–179. [Google Scholar] [CrossRef]
- Nassar, A.K.; Blackburn, G.A.; Whyatt, J.D. Dynamics and controls of urban heat sink and island phenomena in a desert city: Development of a local climate zone scheme using remotely-sensed inputs. Int. J. Appl. Earth Obs. Geoinf. 2016, 51, 76–90. [Google Scholar] [CrossRef] [Green Version]
- Arifwidodo, S.D.; Tanaka, T. The Characteristics of Urban Heat Island in Bangkok, Thailand. Procedia—Soc. Behav. Sci. 2015, 195, 423–428. [Google Scholar] [CrossRef]
- Deng, J.Y.; Wong, N.H.; Zheng, X. The Study of the Effects of Building Arrangement on Microclimate and Energy Demand of CBD in Nanjing, China. Procedia Eng. 2016, 169, 44–54. [Google Scholar] [CrossRef]
- Chun, B.; Guldmann, J.M. Spatial statistical analysis and simulation of the urban heat island in high-density central cities. Landsc. Urban Plan. 2014, 125, 76–88. [Google Scholar] [CrossRef]
- Wang, Y.; Li, Y.; Xue, Y.; Martilli, A.; Shen, J.; Chan, P.W. City-scale morphological influence on diurnal urban air temperature. Build. Environ. 2020, 169, 106527. [Google Scholar] [CrossRef]
- Tong, S.; Wong, N.H.; Jusuf, S.K.; Tan, C.L.; Wong, H.F.; Ignatius, M.; Tan, E. Study on correlation between air temperature and urban parameters in built environment in northern China. Build. Environ. 2018, 127, 239–249. [Google Scholar] [CrossRef]
- Huang, X.; Wang, Y. Investigating the effects of 3D urban on the surface urban heat island effect in urban functional zones by using high-resolution remote sensing data: A case study of Wuhan, Central China. ISPRS J. Photogramm. Remote. Sens. 2019, 152, 119–131. [Google Scholar] [CrossRef]
- Castaldo, V.L.; Pisello, A.L.; Pigliautile, I.; Piselli, C.; Cotana, F. Microclimate and air quality investigation in traditional hilly urban areas: Experimental and numerical investigation in central Italy. Sustain. Cities Soc. 2017, 33, 27–44. [Google Scholar] [CrossRef]
- Abaas, Z.R. Impact of development on Baghdad’s urban microclimate and human thermal comfort. Alex. Eng. J. 2020, 59, 275–290. [Google Scholar] [CrossRef]
- Ragheb, A.A.; El-Darwish, I.I.; Ahmed, S. Microclimate and human comfort considerations in planning a traditional urban quarter. Int. J. Sustain. Built Environ. 2016, 5, 156–167. [Google Scholar] [CrossRef] [Green Version]
- Ministry of Housing and Urban-Rural Development, PRC. Uniform Standards for Civil Building Design (GB 50352-2019); China Building Industry Press: Beijing, China, 2019. [Google Scholar]
- Niu, Z. On the dynasty of capital of Xi’an. Shaanxi Norm. Univ. 1994, 114–118. Available online: https://kns.cnki.net/kcms/detail/detail.aspx?dbcode=CJFD&dbname=CJFD9495&filename=SXSS401.020&uniplatform=NZKPT&v=g6TEMinGJE%25mmd2FbAaw31nzdbhwrXmp0veBmxu%25mmd2Bjr%25mmd2FHC18V%25mmd2BY3k7xOipgGyTb79GHdbT (accessed on 5 August 2021).
- Li, S. Historical and cultural heritage protection of regional planning based on GIS research. Planning for 60 years: Achievements and challenges. In Proceedings of 2016 Annual Meeting of China’s Urban Planning (04 Urban Planning Application of New Technology); The Urban Planning Society of China, Shenyang Municipal People’s Government, The Urban Planning Society of China: Shenyang, China, 2016; pp. 699–716. [Google Scholar]
- Li, S.; Xu, J.; Li, Q. The research on regional conservation planning of urban traditional and cultural areas based on GIS. In Proceedings of the IOP Conference Series: Earth and Environmental Science, Madrid, Spain, 12–14 June 2017. [Google Scholar]
- Gusson, C.S.; Duarte, D.H. Effects of Built Density and Urban morphology on Urban Microclimate—Calibration of the Model ENVI-met V4 for the Subtropical Sao Paulo, Brazil. Procedia Eng. 2016, 169, 2–10. [Google Scholar] [CrossRef]
- Pokhrel, R.; Ramírez-Beltran, N.D.; González, J.E. On the assessment of alternatives for building cooling load reductions for a tropical coastal city. Energy Build. 2019, 182, 131–143. [Google Scholar] [CrossRef]
- Vartholomaios, A. A parametric sensitivity analysis of the influence of urban form on domestic energy consumption for heating and cooling in a Mediterranean city. Sustain. Cities Soc. 2017, 28, 135–145. [Google Scholar] [CrossRef]
- Javanroodi, K.; Mahdavinejad, M.; Nik, V.M. Impacts of urban morphology on reducing cooling load and increasing ventilation potential in hot-arid climate. Appl. Energy 2018, 231, 714–746. [Google Scholar] [CrossRef]
- Yang, J.; Shi, B.; Xia, G.; Xue, Q.; Cao, S.J. Impacts of Urban form on Thermal Environment near the Surface Region at Pedestrian Height: A Case Study Based on High-density Built-up Areas of Nanjing City in China. Sustainability 2020, 12, 1737. [Google Scholar] [CrossRef] [Green Version]
- Zhang, W.X.; Wang, H.; Wang, Q.Q.; Zhang, D.L.; Ma, M.L.; Han, Y.X. Analysis on Present Condition of Land Use in Urban and Rural Area Based on Cadastral Survey of Yanggu County in Shandong Province. Shandong Land Resour. 2016, 32, 86–89. [Google Scholar]
- Ministry of Construction, P. General Principles of Civil Building Design (GB 50352-2005); China Building Industry Press: Beijing, China, 2005. [Google Scholar]
- Ri, X. Study on Residential Area Layout Based on Reasonable Silent Area, A Case Study of Residential District in Xi’an; Chongqing University: Chongqing, China, 2017. [Google Scholar]
- Feng, W.F.M.M.; Feng, S.G.; Zhen, M. Digital simulation of wind environment and urban optimization design strategy for typical blocks in Xi’an. Mod. Urban Stud. 2019, 8, 35–40. [Google Scholar]
- Ali-Toudert, F.; Mayer, H. Numerical study on the effects of aspect ratio and orientation of an urban street canyon on outdoor thermal comfort in hot and dry climate. Build. Environ. 2006, 41, 94–108. [Google Scholar] [CrossRef]
- Ministry of Housing and Urban-Rural Development, P. Design Code for Heating Ventilation and Air Conditioning of Civil Buildings GB 50352-2019; China Building Industry Press: Beijing, China, 2019. [Google Scholar]
- Shaeri, J.; Aflaki, A.; Yaghoubi, M.; Janalizadeh, H. Investigation of passive design strategies in a traditional urban neighborhood: A case study. Urban Clim. 2018, 26, 31–50. [Google Scholar] [CrossRef]
- Hu, K.; Cheng, S.; Qian, Y. CFD Simulation Analysis of building density on Residential Wind Environment. J. Eng. Sci. Technol. Rev. 2018, 11, 35–43. [Google Scholar] [CrossRef]
- Feng, W.; Ding, W.; Fei, M.; Yang, Y.; Zou, W.; Wang, L.; Zhen, M. Effects of traditional block on wind environment at the pedestrian level in cold regions of Xi’an, China. Environ. Dev. Sustain. 2020, 26, 3218–3235. [Google Scholar] [CrossRef]
- Yang, F.; Qian, F.; Lau, S.S. Urban form and density as indicators for summertime outdoor ventilation potential: A case study on high-rise housing in Shanghai. Build. Environ. 2013, 70, 122–137. [Google Scholar] [CrossRef]
- Shareef, S.; Abu-Hijleh, B. The effect of building height diversity on outdoor microclimate conditions in hot climate. A case study of Dubai-UAE. Urban Clim. 2020, 32, 100611. [Google Scholar] [CrossRef]
- Cheung, P.K.; Jim, C.Y. Effects of urban and landscape elements on air temperature in a high-density subtropical city. Build. Environ. 2019, 164, 106362. [Google Scholar] [CrossRef]




























| Summer | Winter | ||
|---|---|---|---|
| Simulation time | 0:00–24:00 | Simulation time | 0:00–24:00 |
| Wind speed | 2.2 m/s | Wind speed | 1.8 m/s |
| Wind direction | 315° | Wind direction | 20° |
| Air temperature | 23–39 °C | Air temperature | 0–7 °C |
| Relative humidity | 32–78% | Relative humidity | 43–81% |
| Factors | Wind Speed Ratio | Air Temperature |
|---|---|---|
| BD (building density) | The higher the BD, the smaller the wind speed ratio | The greater the density, the air temperature first decreases and then increases |
| ABH (average building height) | The higher the ABH, the wind speed ratio decreases first and then increases | The greater the height, the higher the air temperature |
| ED (enclosure degree) | The larger the ED, the smaller the wind speed ratio | The greater the ED, the higher the air temperature |
| HF (height fall) | The larger the HF, the greater the wind speed ratio | The higher the HF, the lower the air temperature |
| AR (aspect ratio) | The correlation is small | AR and the air temperature first decreases and then increases |
| SVF (sky view factor) | The larger the SVF, the greater the wind speed ratio | The larger the SVF, the lower the air temperature |
Publisher’s Note: MDPI stays neutral with regard to jurisdictional claims in published maps and institutional affiliations. |
© 2021 by the authors. Licensee MDPI, Basel, Switzerland. This article is an open access article distributed under the terms and conditions of the Creative Commons Attribution (CC BY) license (https://creativecommons.org/licenses/by/4.0/).
Share and Cite
Feng, W.; Ding, W.; Yin, Y.; Lin, Q.; Zheng, M.; Fei, M. Optimization Strategy of Traditional Block Form Based on Field Investigation—A Case Study of Xi’an Baxian’an, China. Int. J. Environ. Res. Public Health 2021, 18, 10895. https://doi.org/10.3390/ijerph182010895
Feng W, Ding W, Yin Y, Lin Q, Zheng M, Fei M. Optimization Strategy of Traditional Block Form Based on Field Investigation—A Case Study of Xi’an Baxian’an, China. International Journal of Environmental Research and Public Health. 2021; 18(20):10895. https://doi.org/10.3390/ijerph182010895
Chicago/Turabian StyleFeng, Wei, Wei Ding, Yingdi Yin, Qixian Lin, Meng Zheng, and Miaomiao Fei. 2021. "Optimization Strategy of Traditional Block Form Based on Field Investigation—A Case Study of Xi’an Baxian’an, China" International Journal of Environmental Research and Public Health 18, no. 20: 10895. https://doi.org/10.3390/ijerph182010895
APA StyleFeng, W., Ding, W., Yin, Y., Lin, Q., Zheng, M., & Fei, M. (2021). Optimization Strategy of Traditional Block Form Based on Field Investigation—A Case Study of Xi’an Baxian’an, China. International Journal of Environmental Research and Public Health, 18(20), 10895. https://doi.org/10.3390/ijerph182010895
