Construct Validity and Reliability of a New Basketball Multidirectional Reactive Repeated Sprint Test
Abstract
:1. Introduction
2. Materials and Methods
2.1. Participants
2.2. Procedures
2.3. Assessment
2.3.1. Pre-Testing: Familiarization and Anthropometrics
Familiarization Session
Anthropometrics
2.3.2. Yo-Yo Intermittent Recovery Test Level 1
2.3.3. Jump Tests
2.3.4. Linear Sprints
2.3.5. Planned Repeated Multidirectional Sprint Test
2.3.6. Reactive Repeated Multidirectional Sprint Test
2.3.7. Heart Rate Measures
2.3.8. Session Rating of Perceived Exertion
2.3.9. Blood Lactate Concentration
2.4. Statistical Analyses
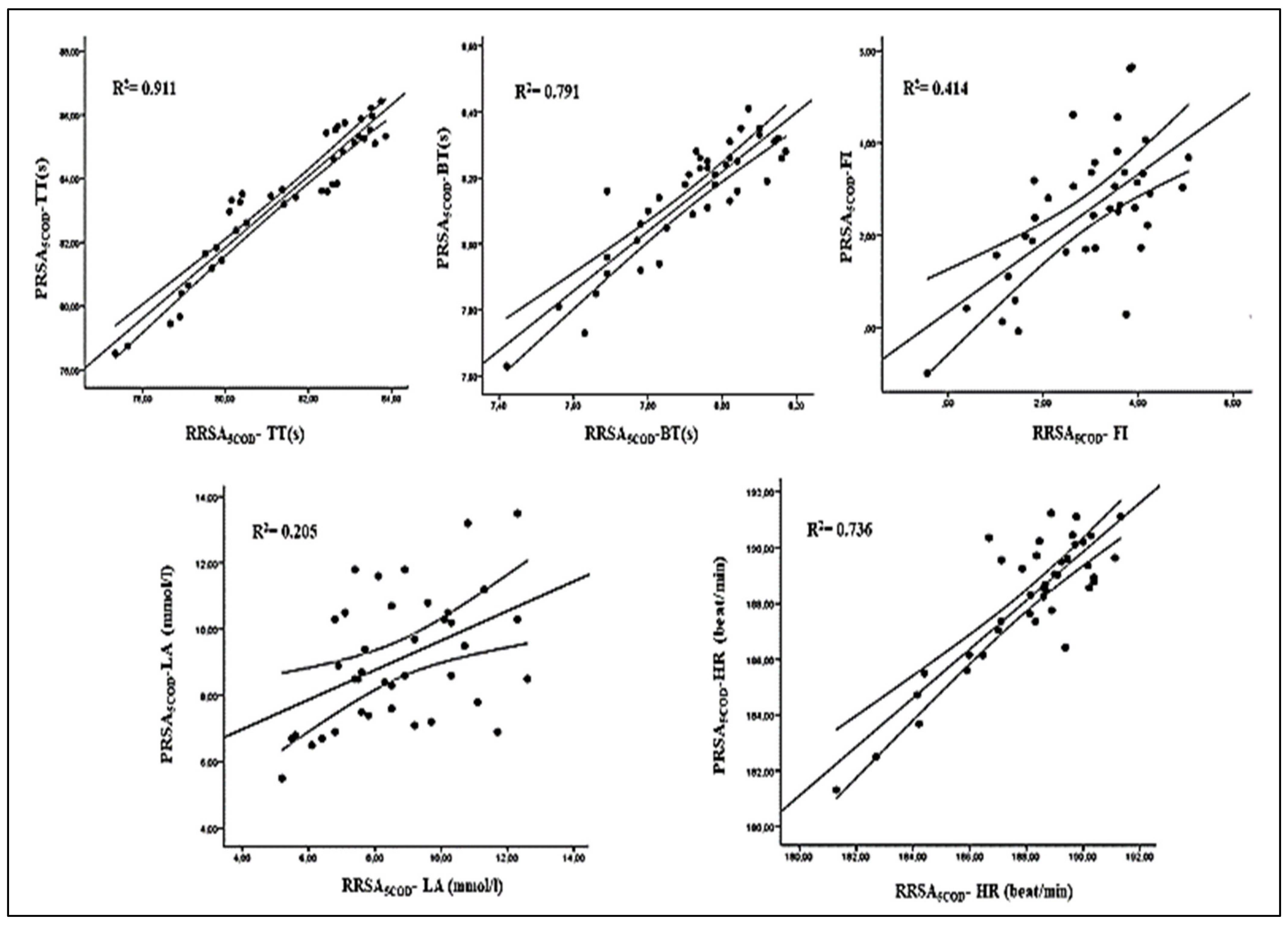
3. Results
4. Discussion
4.1. RRSA5COD Test Reliability
4.2. Construct Validity (Performance Level Differences, PRO vs. SEMI)
4.3. Effects of RRSA5COD versus PRSA5COD Tests on RSA Outcomes
5. Conclusions
Practical Applications
Author Contributions
Funding
Institutional Review Board Statement
Informed Consent Statement
Data Availability Statement
Acknowledgments
Conflicts of Interest
References
- Torres-Ronda, L.; Ric, A.; Llabres-Torres, I.; de Las Heras, B.; Schelling, I.D.A.X. Position-dependent cardiovascular response and time-motion analysis during training drills and friendly matches in elite male basketball players. J. Strength Cond. Res. 2016, 30, 60–70. [Google Scholar] [CrossRef]
- Delextrat, A.; Cohen, D.J. Physiological testing of basketball players: Toward a standard evaluation of anaerobic fitness. Strength Cond. Res. 2008, 22, 1066–1072. [Google Scholar] [CrossRef]
- Castagna, C.; Abt, G.; Manzi, V.; Annino, G.; Padua, E.; D’Ottavio, S. Effect of recovery mode on repeated sprint ability in young basketball players. Strength Cond. Res. 2008, 22, 923–929. [Google Scholar] [CrossRef]
- Scanlan, A.; Humphries, B.; Tucker, P.S.; Dalbo, V. The influence of physical and cognitive factors on reactive agility performance in men basketball players. J. Sports Sci. 2014, 32, 367–374. [Google Scholar] [CrossRef]
- Zagatto, A.M.; Ardigo, L.P.; Barbieri, F.A.; Milioni, F.; Iacono, A.D.; Camargo, B.H.; Padulo, J. Performance and metabolic demand of a new repeated-sprint ability test in basketball players: Does the number of changes of direction matter? J. Strength Cond. Res. 2017, 31, 2438–2446. [Google Scholar] [CrossRef]
- Brini, S.; Ben Abderrahman, A.; Boullosa, D.; Hackney, A.C.; Zagatto, A.M.; Castagna, C.; Bouassida, A.; Granacher, U.; Zouhal, H. Effects of a 12-Week Change-of-Direction Sprints Training Program on Selected Physical and Physiological Parameters in Professional Basketball Male Players. Int. J. Environ. Res. Public Health 2020, 17, 8214. [Google Scholar] [CrossRef]
- Brini, S.; Delextrat, A.; Bouassida, A. Variation in lower limb power and three point shot performance following repeated sprints: One vs. five changes of direction in male basketball players. J. Hum. Kinet. 2021, 77, 169–179. [Google Scholar] [CrossRef]
- Buchheit, M.; Haydar, B.; Ahmaidi, S. Repeated sprints with directional changes: Do angles matter? J. Sports Sci. 2012, 30, 555–562. [Google Scholar] [CrossRef]
- Spiteri, T.; Newton, R.U.; Nimphius, S. Neuromuscular strategies contributing to faster multidirectional agility performance. J. Electromyogr. Kinesiol. 2015, 25, 629–636. [Google Scholar] [CrossRef]
- Di Mascio, M.; Ade, J.; Bradley, P.S. The reliability, validity and sensitivity of a novel soccer-specific reactive repeated-sprint test (RRST). Eur. J. Appl. Physiol. 2015, 115, 2531–2542. [Google Scholar] [CrossRef]
- Lockie, R.G.; Jeffriess, M.D.; McGann, T.S.; Callaghan, S.J.; Schultz, A.B. Planned and reactive agility performance in semi-professional and amateur basketball players. Int. J. Sports Physiol. Perform. 2014, 9, 766–771. [Google Scholar] [CrossRef]
- Hellmann, F.; Verdi, M.; Schlemper, B.R., Jr.; Caponi, S. 50th anniversary of the Declaration of Helsinki: The double standard was introduced. Arch. Med. Res. 2014, 45, 600–601. [Google Scholar] [CrossRef]
- Sekulic, D.; Spasic, M.; Mirkov, D.; Cavar, M.; Sattler, T. Gender-specific influences of balance, speed, and power on agility performance. J. Strength Cond. Res. 2013, 27, 802–811. [Google Scholar] [CrossRef]
- Sisic, N.; Jelicic, M.; Pehar, M.; Spasic, M.; Sekulic, D. Agility performance in high-level junior basketball players: The predictive value of anthropometrics and power qualities. J. Sports Med. Phys. Fit. 2016, 56, 884–893. [Google Scholar]
- Castagna, C.; Impellizzeri, F.M.; Rampinini, E.; D’Ottavio, S.; Manzi, V. The Yo-Yo intermittent recovery test in basketball players. J. Sci. Med. Sport. 2008, 1, 202–208. [Google Scholar] [CrossRef]
- Prieske, O.; Muehlbauer, T.; Mueller, S.; Krueger, T.; Kibele, A.; Behm, D.; Granacher, U. Effects of surface instability on neuromuscular performance during drop jumps and landings. Eur. J. Appl. Physiol. 2013, 113, 2943–2951. [Google Scholar] [CrossRef]
- Bosco, C.; Luhtanen, P.; Komi, P. A simple method for measurement of mechanical power in jumping. Eur. J. Appl. Physiol. 1983, 50, 273–282. [Google Scholar] [CrossRef]
- Impellizzeri, F.M.; Rampinini, E.; Maffiuletti, N.; Marcora, S.M. A vertical jump force test for assessing bilateral strength asymmetry in athletes. Med. Sci. Sports Exerc. 2007, 39, 2044–2050. [Google Scholar] [CrossRef] [Green Version]
- Fitzsimons, M.; Dawson, B.; Ward, D.; Wilkinson, A. Cycling and running tests of repeated sprint ability. Aust. J. Sci. Med. Sport. 1993, 25, 82–87. [Google Scholar]
- Albert, P.; Carles, E.M.; Josep Maria, P.R.; Albert, B.; Xavier, P.C.; Daniel, M.R. Validity and Reliability of the Kinovea Program in Obtaining Angles and Distances Using Coordinates in 4 Perspectives. PLoS ONE 2019, 14, e0216448. [Google Scholar]
- Foster, C. Monitoring training in athletes with reference to overtraining syndrome. Med. Sci. Sports Exerc. 1998, 30, 1164–1168. [Google Scholar] [CrossRef]
- Hirvonen, J.; Rehunen, S.; Rusko, H.; Harkonen, M. Breakdown of high-energy phosphate compounds and lactate accumulation during short supramaximal exercise. Eur. J. Appl. Physiol. Occup. Physiol. 1987, 56, 253–259. [Google Scholar] [CrossRef] [PubMed]
- Iorizzo, L.; Klausen, T.W.; Wiberg-Itzel, E.; Ovin, F.; Wiberg, N. Use of Lactate Pro (TM)2 for measurement of fetal scalp blood lactate during labor—Proposing new cutoffs for normality, preacidemia and acidemia: A cross-sectional study. J. Matern.-Fetal Neonatal Med. 2019, 32, 1762–1768. [Google Scholar] [CrossRef] [PubMed]
- Hopkins, W.G. Measures of reliability in sports medicine and science. Sports Med. 2000, 30, 1–15. [Google Scholar] [CrossRef] [Green Version]
- Weir, J.P. Quantifying test-retest reliability using the intra-class correlation coefficient and the SEM. J. Strength Cond. Res. 2005, 19, 231–240. [Google Scholar] [PubMed]
- Cohen, J. Eta-squared and partial eta-squared in fixed factor ANOVA designs. Educ. Psychol. Meas. 1973, 33, 107–112. [Google Scholar] [CrossRef]
- Hopkins, W.G.; Marshall, S.W.; Batterham, A.M.; Hanin, J. Progressive statistics for studies in sports medicine and exercise science. Med. Sci. Sports Exerc. 2009, 41, 3–13. [Google Scholar] [CrossRef] [Green Version]
- Hachana, Y.; Chaabène, H.; Ben Rajeb, G.; Khlifa, R.; Aouadi, R.; Chamari, K.; Gabbett, T.J. Validity and Reliability of New Agility Test among Elite and Sub-elite under 14-Soccer Players. PLoS ONE 2014, 9, e95773. [Google Scholar] [CrossRef]
- Padulo, J.; Laffaye, G.; Haddad, M.; Chaouachi, A.; Attene, G.; Migliaccio, G.M.; Chamari, K.; Pizzolato, F. Repeated sprint ability in young basketball players: One vs. two changes of direction (Part 1). J. Sports Sci. 2015, 33, 1480–1492. [Google Scholar] [CrossRef]
- Pojskic, H.; Åslin, E.; Krolo, A.; Jukic, I.; Uljevic, O.; Spasic, M.; Sekulic, D. Importance of Reactive Agility and Change of Direction Speed in Differentiating Performance Levels in Junior Soccer Players: Reliability and Validity of Newly Developed Soccer-Specific Tests. Front. Physiol. 2018, 9, 506. [Google Scholar] [CrossRef] [Green Version]
- Impellizzeri, F.M.; Rampinini, E.; Castagna, C.; Bishop, D.; Ferrari Bravo, D.; Tibaudi, A.; Wisloff, U. Validity of a repeated-sprint test for football. Int. J. Sports Med. 2008, 29, 899–905. [Google Scholar] [CrossRef] [PubMed]
- Oliver, J.L. Is a fatigue index a worthwhile measure of repeated sprint ability? J. Sci. Med. Sport. 2009, 12, 20–23. [Google Scholar] [CrossRef] [PubMed]
- Zouhal, H.; Abderrahman, A.B.; Dupont, G.; Truptin, P.; Le Bris, R.; Le Postec, E.; Sghaeir, Z.; Brughelli, M.; Granacher, U.; Bideau, B. Effects of Neuromuscular Training on Agility Performance in Elite Soccer Players. Front. Physiol. 2019, 10, 947. [Google Scholar] [CrossRef] [PubMed] [Green Version]
- Attene, G.; Nikolaidis, P.T.; Bragazzi, N.L.; Dello Iacono, A.; Pizzolato, F.; Zagatto, A.M.; Dal Pupo, J.; Oggianu, M.; Migliaccio, G.M.; Mannucci Pacini, E.; et al. Repeated Sprint Ability in Young Basketball Players (Part 2): The Chronic Effects of Multidirection and of One Change of Direction Are Comparable in Terms of Physiological and Performance Responses. Front. Physiol. 2016, 7, 262. [Google Scholar] [CrossRef] [Green Version]



| Basketball Players | Age (Years) | Height (cm) | Body Mass (kg) | BMI (kg.m−2) | BF% |
|---|---|---|---|---|---|
| PRO (n = 20) | 25.75 ± 2.84 | 1.93 ± 0.08 | 86.80 ± 6.79 | 23.22 ± 1.24 | 10.75 ± 2.24 |
| SEMI (n = 20) | 27.35 ± 3.27 | 1.91± 0.09 | 88.35 ± 9.70 | 24.16 ± 1.05 | 14 ± 2.47 |
| Variables | RRSA5COD | |||||
|---|---|---|---|---|---|---|
| ICC | 95% CI | %CV | SEM | SWC | ||
| TT | 0.95 | 0.91–0.98 | 0.19 | 0.43 | 0.58 | |
| BT | 0.98 | 0.89–0.99 | 0.36 | 0.02 | 0.05 | |
| FI | 0.83 | 0.69–0.91 | 0.99 | 0.55 | 0.40 | |
| RT | BRT | 0.89 | 0.78–0.94 | 3.78 | 0.01 | 0.01 |
| TRT | 0.98 | 0.97–0.99 | 0.49 | 0.10 | 0.21 | |
| MT | BMT | 0.98 | 0.94–0.99 | 1.03 | 0.02 | 0.04 |
| TMT | 0.99 | 0.60–0.99 | 0.43 | 0.37 | 1.10 | |
| HR | 0.99 | 0.83–0.99 | 0.06 | 0.22 | 0.67 | |
| LA | 0.95 | 0.89–0.97 | 5.63 | 0.39 | 0.52 | |
| RPE | 0.80 | 0.62–0.89 | 2.34 | 0.23 | 0.16 | |
| p-Values (Effect Size) | |||||||||
|---|---|---|---|---|---|---|---|---|---|
| Variables | RRSA5COD | PRSA 5COD | Test | Group | Group × Test | ||||
| PRO | SEMI | Δ% | PRO | SEMI | Δ% | ||||
| TT (s) | 81.32 ± 1.86 £ | 81.57 ± 1.87 | −0.31 ± 0.04 | 83.35 ± 2.19 | 83.56 ± 2.17 | −0.26 ± 0.05 | 0.000 (0.90) | 0.000 (0.99) | 0.010 (0.30) |
| BT (s) | 7.83 ± 0.17 £ | 7.99 ± 0.15 | −1.99 ± 0.96 | 8.07 ± 0.17 | 8.21 ± 0.16 | −1.72 ± 1.08 | 0.000 (0.91) | 0.000 (0.84) | 0.399 (0.04) |
| FI (%) | 3.77 ± 0.58 £ | 2.05 ± 1.18 | 46.74 ± 28.92 | 3.25 ± 1.07 | 1.77 ± 1.44 | 48.74 ± 33.90 | 0.094 (0.14) | 0.000 (0.80) | 0.389 (0.03) |
| HR (beat/min) | 186.90 ± 2.46 † | 189.28 ± 1.25 | −1.29 ± 1.58 | 186.93 ± 2.45 | 189.45 ± 1.28 | −1.37 ± 1.58 | 0.640 (0.01) | 0.001 (0.45) | 0.692 (0.008) |
| LA (mmol/L) | 7.99 ± 1.97 * | 9.46 ± 1.68 | −24.33 ± 34.94 | 8.45 ± 1.82 | 9.73 ± 1.86 | −20.25 ± 34.13 | 0.297 (0.06) | 0.009 (0.31) | 0.763 (0.005) |
| RPE | 6.75 ± 0.64 | 6.90 ± 0.64 | −3.36 ± 15.49 | 7 ± 0.73 | 7.55 ± 0.51 | −9.02 ± 14.26 | 0.004 (0.37) | 0.049 (0.19) | 0.163 (0.10) |
| Variables | PRO | SEMI | |||||
|---|---|---|---|---|---|---|---|
| Mean | SD | 95% IC | Mean | SD | 95% IC | ||
| RT(s) | BRT(s) | 0.34 | 0.03 | 0.32 to 0.35 | 0.35 | 0.02 | 0.34 to 0.36 |
| TRT(s) | 10.40 | 0.48 | 10.01 to 10.80 | 10.69 | 0.51 | 10.45 to 10.92 | |
| MT(s) | BMT(s) | 1.48 *** | 0.10 | 1.43 to 1.53 | 1.67 | 0.07 | 1.63 to 1.70 |
| TMT(s) | 45.29 *** | 3.24 | 43.78 to 46.81 | 50.25 | 2.21 | 49.21 to 51.28 | |
| Variables | PRO | SEMI | |||||
|---|---|---|---|---|---|---|---|
| Mean | SD | 95%IC | Mean | SD | 95%IC | ||
| CMJ (cm) | 36.70 *** | 3.18 | 35.21 to 38.19 | 32.95 | 2.60 | 31.73 to 34.17 | |
| SJ (cm) | 34.95 *** | 3.03 | 33.53 to 36.37 | 31.60 | 2.91 | 30.24 to 32.96 | |
| DJ (cm) | RIGHT | 15.30 *** | 2.08 | 14.33 to 16.27 | 12.75 | 1.65 | 11.98 to 13.52 |
| LEFT | 14.90 * | 2.53 | 13.72 to 16.08 | 13.30 | 1.92 | 12.40 to 14.20 | |
| ASYMMETRY INDEX | 14.16 | 1.26 | 11.53 to 16.79 | 14.75 | 1.01 | 12.62 to 16.88 | |
| 20 m SPRINT (s) | 3.55 *** | 0.09 | 3.51 to 3.60 | 3.70 | 0.04 | 3.68 to 3.72 | |
| YO-YO IR1 (m) | 1987 *** | 133.03 | 1924.74 to 2029.47 | 1860 | 71.96 | 1826.31 to 1893.68 | |
| Variables | CMJ | SJ | DJR | DJL | YOYOIR1 | 20 m-Sprint | BM | BMI | BF% | |
|---|---|---|---|---|---|---|---|---|---|---|
| TT | −0.25 | −0.28 | −0.02 | -0.20 | −0.30 | 0.16 | 0.13 | −0.19 | 0.07 | |
| BT | −0.53 *** | −0.57 *** | −0.33 * | −0.41 ** | −0.56 *** | 0.34 ** | 0.27 | −0.007 | 0.36 * | |
| FI | 0.51 *** | 0.53 *** | 0.57 *** | 0.38 * | 0.48 ** | −0.50 *** | 0.25 | −0.34 * | −0.54 *** | |
| RT | BRT | −0.03 | −0.06 | −0.13 | 0.09 | −0.13 | 0.16 | -0.15 | 0.14 | −0.03 |
| TRT | 0.03 | −0.04 | −0.02 | 0.14 | −0.19 | 0.10 | −0.10 | 0.04 | −0.04 | |
| MT | BMT | −0.60 *** | −0.62 *** | −0.52 *** | −0.44 * | −0.53 *** | 0.67 *** | 0.19 | 0.28 | 0.49 *** |
| TMT | −0.58 *** | −0.61 *** | −0.49 *** | −0.44 * | −0.52 *** | 0.64 *** | 0.20 | 0.27 | 0.47 ** | |
| HR | −0.48 ** | −0.43 ** | −0.45 ** | −0.30 | −0.40 ** | 0.50 *** | 0.02 | 0.20 | 0.27 | |
| LA | −0.16 | 0.10 | −0.21 | −0.06 | 0.02 | 0.33 | −0.13 | −0.15 | −0.03 | |
| RPE | −0.07 | −0.08 | −0.16 | −0.06 | −0.03 | 0.21 | 0.01 | 0.24 | 0.12 | |
Publisher’s Note: MDPI stays neutral with regard to jurisdictional claims in published maps and institutional affiliations. |
© 2021 by the authors. Licensee MDPI, Basel, Switzerland. This article is an open access article distributed under the terms and conditions of the Creative Commons Attribution (CC BY) license (https://creativecommons.org/licenses/by/4.0/).
Share and Cite
Brini, S.; Boullosa, D.; Calleja-González, J.; Delextrat, A. Construct Validity and Reliability of a New Basketball Multidirectional Reactive Repeated Sprint Test. Int. J. Environ. Res. Public Health 2021, 18, 10695. https://doi.org/10.3390/ijerph182010695
Brini S, Boullosa D, Calleja-González J, Delextrat A. Construct Validity and Reliability of a New Basketball Multidirectional Reactive Repeated Sprint Test. International Journal of Environmental Research and Public Health. 2021; 18(20):10695. https://doi.org/10.3390/ijerph182010695
Chicago/Turabian StyleBrini, Seifeddine, Daniel Boullosa, Julio Calleja-González, and Anne Delextrat. 2021. "Construct Validity and Reliability of a New Basketball Multidirectional Reactive Repeated Sprint Test" International Journal of Environmental Research and Public Health 18, no. 20: 10695. https://doi.org/10.3390/ijerph182010695
APA StyleBrini, S., Boullosa, D., Calleja-González, J., & Delextrat, A. (2021). Construct Validity and Reliability of a New Basketball Multidirectional Reactive Repeated Sprint Test. International Journal of Environmental Research and Public Health, 18(20), 10695. https://doi.org/10.3390/ijerph182010695

