Particulate Matter Exposure and Allergic Rhinitis: The Role of Plasmatic Extracellular Vesicles and Bacterial Nasal Microbiome
Abstract
:1. Introduction
2. Materials and Methods
2.1. Study Population
2.2. Particulate Matter Exposure Level Attribution
2.3. 16S rRNA Gene Sequencing
2.3.1. Sample Collection and Processing
2.3.2. Upstream Analyses and Operational Taxonomic Unit (OTU) Clustering
2.3.3. Downstream Analysis
2.4. EVs Analysis
2.4.1. Isolation and Purification of EVs
2.4.2. Nanoparticle Tracking Analysis (NTA) of EVs
2.4.3. Flow Cytometry on EVs
2.5. Statistical Analysis
3. Results
3.1. Study Population and PM Exposure Data
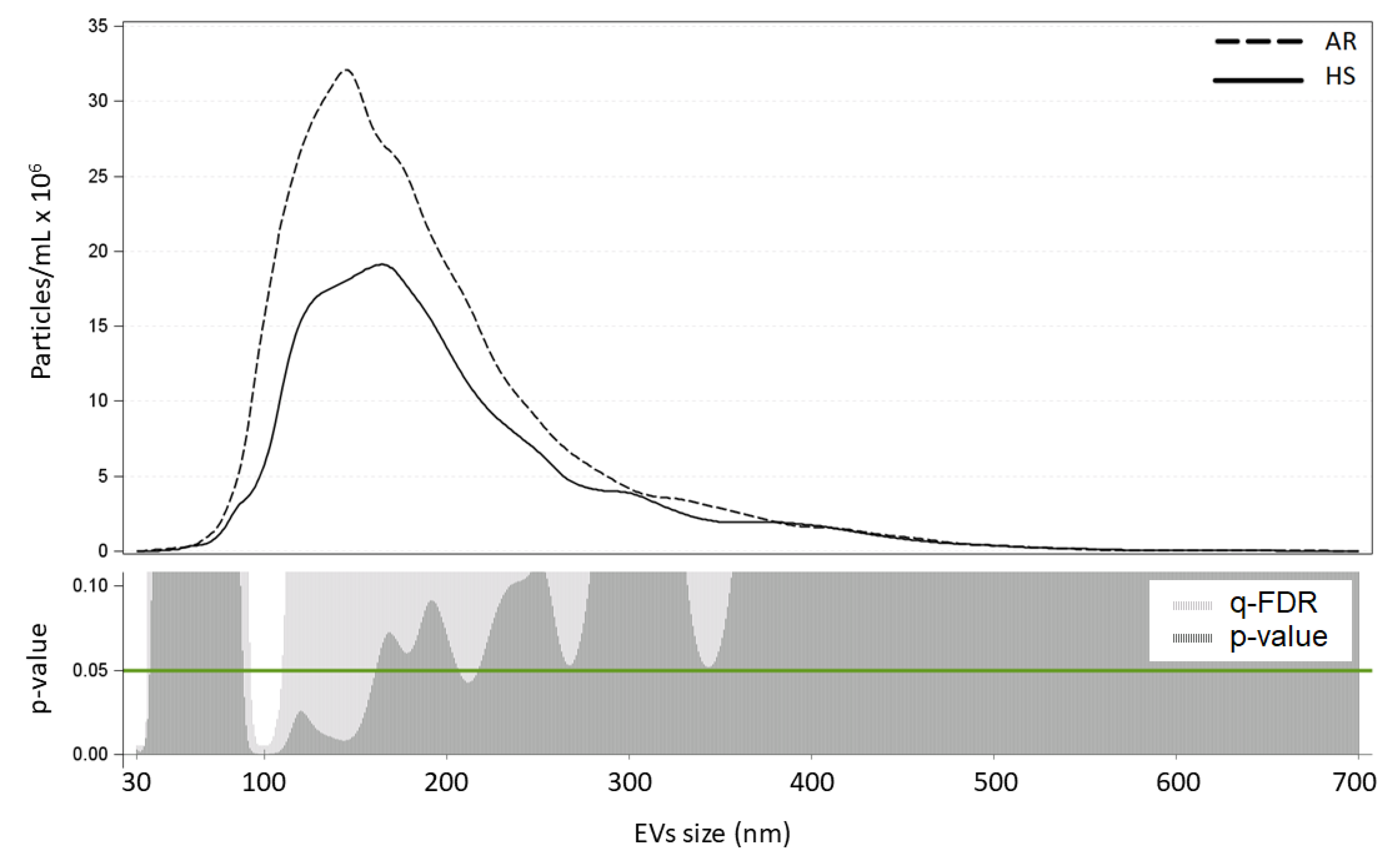
3.2. EV Characterization in the AR and HS Groups
3.3. Association between PM Exposure and Plasmatic EV Concentrations in AR and HS Group
3.4. Compositional Overview of the Nasal Microbiota between AR and HS Participants

3.5. Exploratory Factor Analysis
3.6. PM Effects on bNM Composition
3.7. Association between PM Exposure and Plasmatic EV Concentration in the Whole Population, Stratified According to Factors
4. Discussion
5. Conclusions
Supplementary Materials
Author Contributions
Funding
Institutional Review Board Statement
Informed Consent Statement
Data Availability Statement
Conflicts of Interest
References
- Al-Kindi, S.G.; Brook, R.D.; Biswal, S.; Rajagopalan, S. Environmental determinants of cardiovascular disease: Lessons learned from air pollution. Nat. Rev. Cardiol. 2020, 17, 656–672. [Google Scholar] [CrossRef] [PubMed]
- Manisalidis, I.; Stavropoulou, E.; Stavropoulos, A.; Bezirtzoglou, E. Environmental and health impacts of air pollution: A review. Front. Public Health 2020, 8, 14. [Google Scholar] [CrossRef] [PubMed] [Green Version]
- Traboulsi, H.; Guerrina, N.; Iu, M.; Maysinger, D.; Ariya, P.; Baglole, C.J. Inhaled pollutants: The molecular scene behind respiratory and systemic diseases associated with ultrafine particulate matter. Int. J. Mol. Sci. 2017, 18, 243. [Google Scholar] [CrossRef] [PubMed]
- Paulin, L.; Hansel, N. Particulate air pollution and impaired lung function. F1000Research 2016, 5. [Google Scholar] [CrossRef]
- Zhao, C.; Wang, Y.; Su, Z.; Pu, W.; Niu, M.; Song, S.; Wei, L.; Ding, Y.; Xu, L.; Tian, M.; et al. Respiratory exposure to PM2.5 soluble extract disrupts mucosal barrier function and promotes the development of experimental asthma. Sci. Total Environ. 2020, 730, 139145. [Google Scholar] [CrossRef]
- Pawankar, R.; Mori, S.; Ozu, C.; Kimura, S. Overview on the pathomechanisms of allergic rhinitis. Asia Pac. Allergy 2011, 1, 157. [Google Scholar] [CrossRef] [Green Version]
- Porebski, G.; Wozniak, M.; Czarnobilska, E. Residential proximity to major roadways is associated with increased prevalence of allergic respiratory symptoms in children. Ann. Agric. Environ. Med. 2014, 21. [Google Scholar] [CrossRef]
- Medek, D.E.; Kljakovic, M.; Fox, I.; Pretty, D.G.; Prebble, M. Hay fever in a changing climate: Linking an internet-based diary with environmental data. Ecohealth 2012, 9, 440–447. [Google Scholar] [CrossRef]
- Azalim, S.P.; Camargos, P.; Alves, A.L.; Senna, M.I.B.; Sakurai, E.; Schwabe Keller, W. Exposure to environmental factors and relationship to allergic rhinitis and/or asthma. Ann. Agric. Environ. Med. 2014, 21, 59–63. [Google Scholar]
- Shang, J.; Zhang, Y.; Schauer, J.J.; Tian, J.; Hua, J.; Han, T.; Fang, D.; An, J. Associations between source-resolved PM2.5 and airway inflammation at urban and rural locations in Beijing. Environ. Int. 2020, 139, 105635. [Google Scholar] [CrossRef]
- Cao, X.; Wang, M.; Li, J.; Luo, Y.; Li, R.; Yan, X.; Zhang, H. Fine particulate matter increases airway hyperresponsiveness through kallikrein-bradykinin pathway. Ecotoxicol. Environ. Saf. 2020, 195, 110491. [Google Scholar] [CrossRef] [PubMed]
- Hill, D.A.; Siracusa, M.C.; Abt, M.C.; Kim, B.S.; Kobuley, D.; Kubo, M.; Kambayashi, T.; Larosa, D.F.; Renner, E.D.; Orange, J.S.; et al. Commensal bacteria-derived signals regulate basophil hematopoiesis and allergic inflammation. Nat. Med. 2012, 18, 538–546. [Google Scholar] [CrossRef] [Green Version]
- Macia, L.; Nanan, R.; Hosseini-Beheshti, E.; Grau, G.E. Host- and microbiota-derived extracellular vesicles, immune function, and disease development. Int. J. Mol. Sci. 2019, 21, 107. [Google Scholar] [CrossRef] [PubMed] [Green Version]
- Dagnelie, M.A.; Corvec, S.; Khammari, A.; Dréno, B. Bacterial extracellular vesicles: A new way to decipher host-microbiota communications in inflammatory dermatoses. Exp. Dermatol. 2020, 29, 22–28. [Google Scholar] [CrossRef] [PubMed] [Green Version]
- Demkow, U.; Stelmaszczyk-Emmel, A. Extracellular vesicles in allergic rhinitis and asthma and laboratory possibilities for their assessment. Int. J. Mol. Sci. 2021, 22, 2273. [Google Scholar] [CrossRef] [PubMed]
- Alashkar Alhamwe, B.; Potaczek, D.P.; Miethe, S.; Alhamdan, F.; Hintz, L.; Magomedov, A.; Garn, H. Extracellular vesicles and asthma-more than just a co-existence. Int. J. Mol. Sci. 2021, 22, 4984. [Google Scholar] [CrossRef]
- Rota, F.; Ferrari, L.; Hoxha, M.; Favero, C.; Antonioli, R.; Pergoli, L.; Greco, M.F.; Mariani, J.; Lazzari, L.; Bollati, V. Blood-derived extracellular vesicles isolated from healthy donors exposed to air pollution modulate in vitro endothelial cells behavior. Sci. Rep. 2020, 10, 20138. [Google Scholar] [CrossRef]
- Neri, T.; Pergoli, L.; Petrini, S.; Gravendonk, L.; Balia, C.; Scalise, V.; Amoruso, A.; Pedrinelli, R.; Paggiaro, P.; Bollati, V.; et al. Particulate matter induces prothrombotic microparticle shedding by human mononuclear and endothelial cells. Toxicol. Vitr. 2016, 32, 333–338. [Google Scholar] [CrossRef]
- Pavanello, S.; Bonzini, M.; Angelici, L.; Motta, V.; Pergoli, L.; Hoxha, M.; Cantone, L.; Pesatori, A.C.; Apostoli, P.; Tripodi, A.; et al. Extracellular vesicle-driven information mediates the long-term effects of particulate matter exposure on coagulation and inflammation pathways. Toxicol. Lett. 2016, 259, 143–150. [Google Scholar] [CrossRef]
- Gill, S.; Catchpole, R.; Forterre, P. Extracellular membrane vesicles in the three domains of life and beyond. FEMS Microbiol. Rev. 2019, 43, 273–303. [Google Scholar] [CrossRef]
- Kumpitsch, C.; Koskinen, K.; Schöpf, V.; Moissl-Eichinger, C. The microbiome of the upper respiratory tract in health and disease. BMC Biol. 2019, 17, 87. [Google Scholar] [CrossRef] [Green Version]
- Rawls, M.; Ellis, A.K. The microbiome of the nose. Ann. Allergy Asthma Immunol. 2019, 122, 17–24. [Google Scholar] [CrossRef] [PubMed] [Green Version]
- Choi, E.-B.; Hong, S.-W.; Kim, D.-K.; Jeon, S.G.; Kim, K.-R.; Cho, S.-H.; Gho, Y.S.; Jee, Y.-K.; Kim, Y.-K. Decreased diversity of nasal microbiota and their secreted extracellular vesicles in patients with chronic rhinosinusitis based on a metagenomic analysis. Allergy 2014, 69, 517–526. [Google Scholar] [CrossRef] [PubMed]
- Kim, Y.Y.; Joh, J.S.; Lee, J.Y. Importance of microbial extracellular vesicle in the pathogenesis of asthma and chronic obstructive pulmonary disease and its diagnostic potential. Asia Pac. Allergy 2020, 10. [Google Scholar] [CrossRef] [PubMed]
- Salzano, F.A.; Marino, L.; Salzano, G.; Botta, R.M.; Cascone, G.; D′Agostino Fiorenza, U.; Selleri, C.; Casolaro, V. Microbiota composition and the integration of exogenous and endogenous signals in reactive nasal inflammation. J. Immunol. Res. 2018, 2018, 2724951. [Google Scholar] [CrossRef] [PubMed]
- Bender, M.E.; Read, T.D.; Edwards, T.S.; Hargita, M.; Cutler, A.J.; Wissel, E.F.; Wise, S.K. A comparison of the bacterial nasal microbiome in allergic rhinitis patients before and after immunotherapy. Laryngoscope 2020, 130, E882–E888. [Google Scholar] [CrossRef] [PubMed]
- Gan, W.; Yang, F.; Meng, J.; Liu, F.; Liu, S.; Xian, J. Comparing the nasal bacterial microbiome diversity of allergic rhinitis, chronic rhinosinusitis and control subjects. Eur. Arch. Otorhinolaryngol. 2021, 278, 711–718. [Google Scholar] [CrossRef]
- Brożek, J.L.; Bousquet, J.; Agache, I.; Agarwal, A.; Bachert, C.; Bosnic-Anticevich, S.; Brignardello-Petersen, R.; Canonica, G.W.; Casale, T.; Chavannes, N.H.; et al. Allergic rhinitis and its impact on asthma (ARIA) guidelines—2016 revision. J. Allergy Clin. Immunol. 2017, 140. [Google Scholar] [CrossRef] [Green Version]
- Caporaso, J.G.; Kuczynski, J.; Stombaugh, J.; Bittinger, K.; Bushman, F.D.; Costello, E.K.; Fierer, N.; Peña, A.G.; Goodrich, J.K.; Gordon, J.I.; et al. QIIME allows analysis of high-throughput community sequencing data. Nat. Methods 2010, 7, 335–336. [Google Scholar] [CrossRef] [Green Version]
- Edgar, R.C.; Haas, B.J.; Clemente, J.C.; Quince, C.; Knight, R. UCHIME improves sensitivity and speed of chimera detection. Bioinformatics 2011, 27, 2194–2200. [Google Scholar] [CrossRef] [Green Version]
- Wang, Q.; Garrity, G.M.; Tiedje, J.M.; Cole, J.R. Naïve bayesian classifier for rapid assignment of rRNA sequences into the new bacterial taxonomy. Appl. Environ. Microbiol. 2007, 73, 5261–5267. [Google Scholar] [CrossRef] [Green Version]
- DeSantis, T.Z.; Hugenholtz, P.; Larsen, N.; Rojas, M.; Brodie, E.L.; Keller, K.; Huber, T.; Dalevi, D.; Hu, P.; Andersen, G.L. Greengenes, a chimera-checked 16S rRNA gene database and workbench compatible with ARB. Appl. Environ. Microbiol. 2006, 72, 5069–5072. [Google Scholar] [CrossRef] [Green Version]
- Caporaso, J.G.; Bittinger, K.; Bushman, F.D.; DeSantis, T.Z.; Andersen, G.L.; Knight, R. PyNAST: A flexible tool for aligning sequences to a template alignment. Bioinformatics 2010, 26, 266–267. [Google Scholar] [CrossRef] [Green Version]
- Théry, C.; Witwer, K.W.; Aikawa, E.; Alcaraz, M.J.; Anderson, J.D.; Andriantsitohaina, R.; Antoniou, A.; Arab, T.; Archer, F.; Atkin-Smith, G.K.; et al. Minimal information for studies of extracellular vesicles 2018 (MISEV2018): A position statement of the International Society for Extracellular Vesicles and update of the MISEV2014 guidelines. J. Extracell. Vesicles 2018, 7, 1535750. [Google Scholar] [CrossRef] [PubMed] [Green Version]
- Ferrari, L.; Cafora, M.; Rota, F.; Hoxha, M.; Iodice, S.; Tarantini, L.; Dolci, M.; Delbue, S.; Pistocchi, A.; Bollati, V. Extracellular vesicles released by colorectal cancer cell lines modulate innate immune response in zebrafish model: The possible role of human endogenous retroviruses. Int. J. Mol. Sci. 2019, 20, 3669. [Google Scholar] [CrossRef] [PubMed] [Green Version]
- Härdle, W.K.; Simar, L. Applied Multivariate Statistical Analysis; Springer: Berlin/Heidelberg, Germany, 2012; ISBN 978-3-642-17228-1. [Google Scholar]
- Gudgeon, A.C.; Comrey, A.L.; Lee, H.B. A first course in factor analysis. J. R. Stat. Soc. Ser. D Stat. 1994, 43, 332. [Google Scholar] [CrossRef]
- Linton, S.; Burrows, A.G.; Hossenbaccus, L.; Ellis, A.K. Future of allergic rhinitis management. Ann. Allergy, Asthma Immunol. 2021, 127, 183–190. [Google Scholar] [CrossRef]
- Small, P.; Keith, P.K.; Kim, H. Allergic rhinitis. Allergy Asthma Clin. Immunol. 2018, 14, 51. [Google Scholar] [CrossRef] [Green Version]
- Bousquet, J.; Anto, J.M.; Bachert, C.; Baiardini, I.; Bosnic-Anticevich, S.; Canonica, G.W.; Melén, E.; Palomares, O.; Scadding, G.K.; Togias, A.; et al. Allergic rhinitis. Nat. Rev. Dis. Prim. 2020, 6, 95. [Google Scholar] [CrossRef]
- Guo, M.; Wei, L.; Yan, H.; Duan, Z.; Niu, Z.; Xiao, C. Exposure to ambient air pollution during trimesters of pregnancy and childhood allergic diseases in Wuhan, China. Int. J. Environ. Health Res. 2021, 1–11. [Google Scholar] [CrossRef] [PubMed]
- Wang, M.; Wang, S.; Wang, X.; Tian, Y.; Wu, Y.; Cao, Y.; Song, J.; Wu, T.; Hu, Y. The association between PM 2.5 exposure and daily outpatient visits for allergic rhinitis: Evidence from a seriously air-polluted environment. Int. J. Biometeorol. 2020, 64, 139–144. [Google Scholar] [CrossRef] [PubMed]
- Wang, J.; Lu, M.; An, Z.; Jiang, J.; Li, J.; Wang, Y.; Du, S.; Zhang, X.; Zhou, H.; Cui, J.; et al. Associations between air pollution and outpatient visits for allergic rhinitis in Xinxiang, China. Environ. Sci. Pollut. Res. 2020, 27, 23565–23574. [Google Scholar] [CrossRef] [PubMed]
- Teng, B.; Zhang, X.; Yi, C.; Zhang, Y.; Ye, S.; Wang, Y.; Tong, D.Q.; Lu, B. The association between ambient air pollution and allergic rhinitis: Further epidemiological evidence from Changchun, Northeastern China. Int. J. Environ. Res. Public Health 2017, 14, 226. [Google Scholar] [CrossRef] [Green Version]
- Lin, Y.T.; Shih, H.; Jung, C.R.; Wang, C.M.; Chang, Y.C.; Hsieh, C.Y.; Hwang, B.F. Effect of exposure to fine particulate matter during pregnancy and infancy on paediatric allergic rhinitis. Thorax 2021, 76, 568–574. [Google Scholar] [CrossRef]
- Savouré, M.; Lequy, É.; Bousquet, J.; Chen, J.; de Hoogh, K.; Goldberg, M.; Vienneau, D.; Zins, M.; Nadif, R.; Jacquemin, B. Long-term exposures to PM 2.5, black carbon and NO2 and prevalence of current rhinitis in French adults: The constances cohort. Environ. Int. 2021, 157, 106839. [Google Scholar] [CrossRef]
- Caverly, L.J.; Huang, Y.J.; Sze, M.A. Past, present, and future research on the lung microbiome in inflammatory airway disease. Chest 2019, 156, 376–382. [Google Scholar] [CrossRef]
- Cho, D.Y.; Hunter, R.C.; Ramakrishnan, V.R. The microbiome and chronic rhinosinusitis. Immunol. Allergy Clin. N. Am. 2020, 40, 251–263. [Google Scholar] [CrossRef]
- Słomka, A.; Urban, S.K.; Lukacs-Kornek, V.; Żekanowska, E.; Kornek, M. Large extracellular vesicles: Have we found the holy grail of inflammation? Front. Immunol. 2018, 9, 2723. [Google Scholar] [CrossRef]
- Qiu, Q.; Xiong, W.; Yang, C.; Dai, X.; Dan, X.; Yang, Z.; Jiao, Y.; Xiang, Y.; Liu, G.; Hardy, P. Lymphocyte-derived microparticles induce apoptosis of airway epithelial cells through activation of p38 MAPK and production of arachidonic acid. Apoptosis 2014, 19, 1113–1127. [Google Scholar] [CrossRef] [PubMed]
- Moon, H.-G.; Cao, Y.; Yang, J.; Lee, J.H.; Choi, H.S.; Jin, Y. Lung epithelial cell-derived extracellular vesicles activate macrophage-mediated inflammatory responses via ROCK1 pathway. Cell Death Dis. 2015, 6, e2016. [Google Scholar] [CrossRef] [PubMed] [Green Version]
- Nagano, T.; Katsurada, M.; Dokuni, R.; Hazama, D.; Kiriu, T.; Umezawa, K.; Kobayashi, K.; Nishimura, Y. Crucial role of extracellular vesicles in bronchial asthma. Int. J. Mol. Sci. 2019, 20, 2589. [Google Scholar] [CrossRef] [Green Version]
- Groot Kormelink, T.; Arkesteijn, G.J.A.; van de Lest, C.H.A.; Geerts, W.J.C.; Goerdayal, S.S.; Altelaar, M.A.F.; Redegeld, F.A.; Nolte-′t Hoen, E.N.M.; Wauben, M.H.M. Mast cell degranulation is accompanied by the release of a selective subset of extracellular vesicles that contain mast cell—Specific proteases. J. Immunol. 2016, 197, 3382–3392. [Google Scholar] [CrossRef] [Green Version]
- Pergoli, L.; Cantone, L.; Favero, C.; Angelici, L.; Iodice, S.; Pinatel, E.; Hoxha, M.; Dioni, L.; Letizia, M.; Albetti, B.; et al. Extracellular vesicle-packaged miRNA release after short-term exposure to particulate matter is associated with increased coagulation. Part. Fibre Toxicol. 2017, 14, 32. [Google Scholar] [CrossRef] [PubMed] [Green Version]
- Stojanovic, A.; Veselinovic, M.; Zong, Y.; Jakovljevic, V.; Pruner, I.; Antovic, A. Increased expression of extracellular vesicles is associated with the procoagulant state in patients with established rheumatoid arthritis. Front. Immunol. 2021, 12, 3116. [Google Scholar] [CrossRef]
- Mitsuhashi, S.; Feldbrügge, L.; Csizmadia, E.; Mitsuhashi, M.; Robson, S.C.; Moss, A.C. Luminal extracellular vesicles (EVs) in inflammatory bowel disease (IBD) exhibit proinflammatory effects on epithelial cells and macrophages. Inflamm. Bowel Dis. 2016, 22, 1587–1595. [Google Scholar] [CrossRef]
- Mariani, J.; Favero, C.; Spinazzè, A.; Cavallo, D.M.; Carugno, M.; Motta, V.; Bonzini, M.; Cattaneo, A.; Pesatori, A.C.; Bollati, V. Short-term particulate matter exposure influences nasal microbiota in a population of healthy subjects. Environ. Res. 2018, 162, 119–126. [Google Scholar] [CrossRef] [PubMed]
- Van der Pol, L.; Stork, M.; van der Ley, P. Outer membrane vesicles as platform vaccine technology. Biotechnol. J. 2015, 10, 1689–1706. [Google Scholar] [CrossRef]
- Li, J.; Lee, D.S.W.; Madrenas, J. Evolving bacterial envelopes and plasticity of TLR2-dependent responses: Basic research and translational opportunities. Front. Immunol. 2013, 4, 347. [Google Scholar] [CrossRef] [PubMed] [Green Version]
- Huang, Y.J.; Marsland, B.J.; Bunyavanich, S.; O′Mahony, L.; Leung, D.Y.M.; Muraro, A.; Fleisher, T.A. The microbiome in allergic disease: Current understanding and future opportunities—2017 PRACTALL document of the American Academy of Allergy, Asthma & Immunology and the European Academy of Allergy and Clinical Immunology. J. Allergy Clin. Immunol. 2017, 139, 1099–1110. [Google Scholar] [CrossRef] [Green Version]
- Eshetie, S.; van Soolingen, D. The respiratory microbiota: New insights into pulmonary tuberculosis. BMC Infect. Dis. 2019, 19, 92. [Google Scholar] [CrossRef] [PubMed]
- Dickson, R.P.; Erb-Downward, J.R.; Huffnagle, G.B. The role of the bacterial microbiome in lung disease. Expert Rev. Respir. Med. 2013, 7, 245–257. [Google Scholar] [CrossRef] [Green Version]
- Chen, C.-H.; Liou, M.-L.; Lee, C.-Y.; Chang, M.-C.; Kuo, H.-Y.; Chang, T.-H. Diversity of nasal microbiota and its interaction with surface microbiota among residents in healthcare institutes. Sci. Rep. 2019, 9, 6175. [Google Scholar] [CrossRef] [PubMed]
- Rom, D.; Bassiouni, A.; Eykman, E.; Liu, Z.; Paramasivan, S.; Alvarado, R.; Earls, P.; Psaltis, A.J.; Harvey, R.J. The association between disease severity and microbiome in chronic rhinosinusitis. Laryngoscope 2019, 129, 1265–1273. [Google Scholar] [CrossRef] [PubMed]
- Pang, Z.; Wang, G.; Gibson, P.; Guan, X.; Zhang, W.; Zheng, R.; Chen, F.; Wang, Z.; Wang, F. Airway microbiome in different inflammatory phenotypes of asthma: A cross-sectional study in northeast China. Int. J. Med. Sci. 2019, 16, 477. [Google Scholar] [CrossRef] [PubMed] [Green Version]
- Wagner, J.; Harrison, E.M.; Martinez Del Pero, M.; Blane, B.; Mayer, G.; Leierer, J.; Gopaluni, S.; Holmes, M.A.; Parkhill, J.; Peacock, S.J.; et al. The composition and functional protein subsystems of the human nasal microbiome in granulomatosis with polyangiitis: A pilot study. Microbiome 2019, 7, 137. [Google Scholar] [CrossRef] [PubMed]
- Hoggard, M.; Waldvogel-Thurlow, S.; Zoing, M.; Chang, K.; Radcliff, F.J.; Wagner Mackenzie, B.; Biswas, K.; Douglas, R.G.; Taylor, M.W. Inflammatory endotypes and microbial associations in chronic rhinosinusitis. Front. Immunol. 2018, 9, 2065. [Google Scholar] [CrossRef] [PubMed] [Green Version]
- Copeland, E.; Leonard, K.; Carney, R.; Kong, J.; Forer, M.; Naidoo, Y.; Oliver, B.G.G.; Seymour, J.R.; Woodcock, S.; Burke, C.M.; et al. Chronic rhinosinusitis: Potential role of microbial dysbiosis and recommendations for sampling sites. Front. Cell. Infect. Microbiol. 2018, 8, 57. [Google Scholar] [CrossRef]
- Petersen, C.; Round, J.L. Defining dysbiosis and its influence on host immunity and disease. Cell. Microbiol. 2014, 16, 1024–1033. [Google Scholar] [CrossRef]
- Dimitri-Pinheiro, S.; Soares, R.; Barata, P. The microbiome of the nose—Friend or foe? Allergy Rhinol. 2020, 11, 2152656720911605. [Google Scholar] [CrossRef] [Green Version]
- Degruttola, A.K.; Low, D.; Mizoguchi, A.; Mizoguchi, E. Current understanding of dysbiosis in disease in human and animal models. Inflamm. Bowel Dis. 2016, 22, 1137–1150. [Google Scholar] [CrossRef] [Green Version]
- Berg, G.; Rybakova, D.; Fischer, D.; Cernava, T.; Vergès, M.-C.C.; Charles, T.; Chen, X.; Cocolin, L.; Eversole, K.; Corral, G.H.; et al. Microbiome definition re-visited: Old concepts and new challenges. Microbiome 2020, 8, 103. [Google Scholar] [CrossRef] [PubMed]
- Mariani, J.; Favero, C.; Carugno, M.; Pergoli, L.; Ferrari, L.; Bonzini, M.; Cattaneo, A.; Pesatori, A.C.; Bollati, V. Nasal microbiota modifies the effects of particulate air pollution on plasma extracellular vesicles. Int. J. Environ. Res. Public Health 2020, 17, 611. [Google Scholar] [CrossRef] [PubMed] [Green Version]


| Characteristics | HS Controls (n = 24) | AR Cases (n = 26) | All Subjects (n = 50) | p-Value |
|---|---|---|---|---|
| Age, years, mean ± SD | 42.7 ± 16.4 | 39.4 ± 12.8 | 41.0 ± 14.6 | 0.439 |
| Gender, n (%) | ||||
| Males | 13 (54%) | 13 (50%) | 26 (52%) | 0.768 |
| Females | 11 (46%) | 13 (50%) | 24 (48%) | |
| Smoking, n (%) | ||||
| Yes | 9 (37%) | 10 (38%) | 19 (38%) | 0.944 |
| No | 15 (63%) | 16 (62%) | 31 (62%) | |
| BMI, kg/m2, mean ± SD | 23.8 ± 3.7 | 23.7 ± 3.1 | 23.8 ± 3.3 | 0.898 |
| Residential area, n (%) | ||||
| City | 12 (50%) | 15 (58%) | 27 (54%) | 0.145 |
| Small town | 8 (33%) | 3 (11%) | 11 (22%) | |
| Suburbs | 4 (17%) | 8 (31%) | 12 (24%) | |
| Education, n (%) | ||||
| Less than high school | 4 (17%) | 1 (4%) | 5 (10%) | 0.182 |
| High school or university | 20 (83%) | 25 (96%) | 45 (90%) | |
| Children, n (%) | ||||
| Yes | 12 (50%) | 14 (54%) | 26 (52%) | 0.908 |
| No | 11 (46%) | 12 (46%) | 23 (46%) | |
| Occupation, n (%) | ||||
| Employed | 21 (88%) | 24 (92%) | 45 (90%) | 0.571 |
| Unemployed/retired | 3 (12%) | 2 (8%) | 5 (5%) | |
| Usage of disinfectants, n (%) | 11 (46%) | 15 (58%) | 26 (52%) | 0.402 |
| Surface cleaning | 7 (29%) | 14 (54%) | 21 (42%) | 0.077 |
| Clothing cleaning | 4 (17%) | 8 (31%) | 12 (24%) | 0.243 |
| Fruit and vegetable cleaning | 3 (13%) | 0 (0%) | 3 (6%) | 0.103 |
| Frequency of use, n (%) | ||||
| Never | 13 (54%) | 10 (39%) | 23 (46%) | 0.408 |
| Rarely | 3 (13%) | 4 (15%) | 7 (14%) | |
| Often | 1 (4%) | 5 (19%) | 6 (12%) | |
| Habitually | 7 (29%) | 7 (27%) | 14 (28%) | |
| Pets, n (%) | 7 (29%) | 6 (23%) | 13 (26%) | 0.624 |
| Dog | 2 (8%) | 5 (19%) | 7 (14%) | 0.225 |
| Cat | 4 (17%) | 1 (4%) | 5 (10%) | |
| Rabbit | 1 (4%) | 0 (0%) | 1 (2%) | |
| Allergen | ||||
| Grass pollens | 0 (0%) | 17 (65%) | 17 (34%) | <0.001 |
| Compositae | 2 (8%) | 11 (42%) | 13 (26%) | 0.006 |
| Cat/dog | 0 (0%) | 3 (12%) | 3 (6%) | 0.236 |
| Moulds | 0 (0%) | 5 (19%) | 5 (10%) | 0.051 |
| Birch pollen | 0 (0%) | 14 (54%) | 14 (28%) | <0.001 |
| House dust mite | 1 (4%) | 13 (50%) | 14 (28%) | <0.001 |
| Leukocyte formula, 109/L, mean ± SD | ||||
| Neutrophils | 5.6 ± 6.9 | |||
| Lymphocytes | 1.7 ± 0.4 | |||
| Monocytes | 0.5 ± 0.1 | |||
| Eosinophils | 0.2 ± 0.1 | |||
| Basophils | 0.04 ± 0.02 | |||
| Neutrophils % | 55.7 ± 6 | |||
| Lymphocytes % | 31.3 ± 4.8 | |||
| Monocytes % | 8.6 ± 2.0 | |||
| Eosinophils % | 3.6 ± 2.0 | |||
| Basophils % | 0.8 ± 0.3 | |||
| IgE, KUA/l, mean ± SD | 267.2 ± 244.3 | |||
| IgE, median (Q1, Q3) | 173 (120–414) | |||
| EVs Subtype | HS Median (Q1; Q3) | AR Median (Q1; Q3) | p-Value |
|---|---|---|---|
| NTA Analysis | |||
| Total EVs × 106/mL | 968.1 (803.5; 1267.3) | 1267.3 (1031.1; 1585.6) | 0.048 |
| Flow cytometry | |||
| LTA+ | 7.7 (5.8; 9.3) | 14 (6.3; 17.7) | 0.144 |
| LPS+ | 90 (43.5; 144.8) | 167.8 (66.4; 327.5) | 0.153 |
| EpCAM + EVs | 10 (6.6; 12.6) | 11.7 (7.1; 13.8) | 0.668 |
| CD294 + EVs | 12 (8.8; 24.6) | 17.5 (13.7; 31.6) | 0.019 |
| CD203C + EVs | 7 (5.6; 10.3) | 12.4 (10.2; 21.1) | <0.001 |
| CD177 + EVs | 16.5 (11.3; 22.1) | 18.4 (12.9; 24.2) | 0.416 |
| CD62E + EVs | 19.6 (10.8; 33.9) | 19.9 (14.5; 38.7) | 0.272 |
| CD61 + EVs | 130.7 (73.5; 222.2) | 178.3 (118.2; 357.2) | 0.059 |
| CD14 + EVs | 23.3 (11.5; 39.4) | 28.4 (17.7; 48.7) | 0.109 |
| Exposure | EVs Cellular Origin | HS | AR | ||
|---|---|---|---|---|---|
| β (95% CI) | p-Value | β (95% CI) | p-Value | ||
| PM10 (day -0) | NTA analysis | ||||
| Total EVs | −0.10 (−0.25; 0.05) | 0.173 | −0.08 (−0.24; 0.09) | 0.353 | |
| Flow cytometry | |||||
| LTA+ | −0.38 (−0.68; −0.08) | 0.013 | 0.03 (−0.25; 0.32) | 0.829 | |
| LPS+ | −0.38 (−0.71; −0.05) | 0.023 | 0.06 (−0.25; 0.36) | 0.721 | |
| EpCAM + EVs | 0.09 (−0.06; 0.24) | 0.241 | −0.08 (−0.26; 0.09) | 0.358 | |
| CD294 + EVs | −0.03 (−0.20; 0.15) | 0.752 | −0.07 (−0.25; 0.11) | 0.450 | |
| CD203C + EVs | −0.16 (−0.36; 0.04) | 0.109 | 0.01 (−0.19; 0.18) | 0.983 | |
| CD177 + EVs | 0.08 (−0.12; 0.28) | 0.415 | −0.03 (−0.24; 0.19) | 0.815 | |
| CD62E + EVs | 0.05 (−0.16; 0.26) | 0.671 | 0.08 (−0.14; 0.30) | 0.453 | |
| CD61 + EVs | −0.12 (−0.51; 0.27) | 0.550 | −0.23 (−0.56; 0.11) | 0.182 | |
| CD14 + EVs | −0.44 (−0.80; −0.09) | 0.013 | −0.15 (−0.46; 0.16) | 0.341 | |
| PM2.5 (day -0) | NTA analysis | ||||
| Total EVs | −0.08 (−0.8; 0.64) | 0.834 | 0.09 (−0.32; 0.5) | 0.668 | |
| Flow cytometry | |||||
| LTA+ | −1.05 (−2.64; 0.54) | 0.197 | 0.30 (−0.40; 1.0) | 0.405 | |
| LPS+ | −0.44 (−2.06; 1.19) | 0.598 | 0.09 (−0.67; 0.85) | 0.825 | |
| EpCAM + EVs | 0.07 (−0.73; 0.86) | 0.872 | 0.01 (−0.41; 0.42) | 0.986 | |
| CD294 + EVs | 0.47 (−0.38; 1.32) | 0.281 | −0.11 (−0.51; 0.30) | 0.608 | |
| CD203C + EVs | 0.51 (−0.40; 1.42) | 0.275 | 0.22 (−0.18; 0.63) | 0.277 | |
| CD177 + EVs | 0.56 (−0.39; 1.51) | 0.244 | −0.25 (−0.76; 0.26) | 0.330 | |
| CD62E + EVs | 0.16 (−0.91; 1.23) | 0.768 | −0.29 (−0.84; 0.25) | 0.292 | |
| CD61 + EVs | 1.58 (−0.28; 3.45) | 0.096 | 0.13 (−0.60; 0.86) | 0.730 | |
| CD14 + EVs | −1.35 (−3.03; 0.32) | 0.113 | −0.08 (−0.79; 0.64) | 0.835 | |
| α-Diversity Index | HS | AR | p-Value |
|---|---|---|---|
| Mean ± SD | Mean ± SD | ||
| Observed species | 99.6 ± 19.5 | 81.4 ± 25.4 | 0.009 |
| Chao 1 | 118.8 ± 34.0 | 98.2 ± 24.7 | 0.023 |
| PD whole tree | 7.5 ± 1.2 | 6.4 ± 1.5 | 0.009 |
| Shannon | 3.2 ± 0.93 | 2.98 ± 0.98 | 0.370 |
| Simpson | 0.75 ± 0.17 | 0.73 ± 0.20 | 0.674 |
| Genera | Factor1 | Factor2 | Communalities |
|---|---|---|---|
| Abiotrophia | 0.45 | - | 0.20 |
| Acinetobacter | 0.32 | 0.71 | 0.60 |
| Actinomyces | 0.69 | - | 0.48 |
| Anaerococcus | −0.18 | 0.75 | 0.59 |
| Capnocytophaga | 0.57 | - | 0.33 |
| Citrobacter | - | 0.41 | 0.17 |
| Dialister | 0.14 | 0.51 | 0.28 |
| Fusobacterium | 0.65 | 0.11 | 0.43 |
| Granulicatella | 0.59 | - | 0.35 |
| Leptotrichia | 0.58 | 0.18 | 0.37 |
| Peptoniphilus | - | 0.71 | 0.50 |
| Porphyromonas | 0.54 | 0.14 | 0.31 |
| Prevotella | 0.39 | 0.29 | 0.23 |
| Propionibacterium | 0.25 | 0.60 | 0.42 |
| Pseudomonas | - | 0.57 | 0.33 |
| Rothia | 0.68 | - | 0.46 |
| Staphylococcus | 0.23 | 0.70 | 0.55 |
| Streptococcus | 0.72 | 0.36 | 0.64 |
| Veillonella | 0.52 | 0.28 | 0.35 |
| Proportion of explained variance (%) | 0.44 | 0.22 | |
| Cumulative explained variance (%) | 0.44 | 0.66 |
| PM Exposure | α-Diversity Index | HS | AR | ||
|---|---|---|---|---|---|
| β (95% CI) | p-Value | β (95% CI) | p-Value | ||
| PM10 (day -5) | Observed species | −7.6 (−17.3; 2.1) | 0.122 | 8.6 (−0.7; 18) | 0.070 |
| Chao1 | −7.2 (−21.3; 6.9) | 0.307 | 7.8 (−5.8; 21.3) | 0.254 | |
| PD whole tree | −0.3 (−1.0; 0.3) | 0.284 | 0.4 (−0.2; 1.0) | 0.197 | |
| Shannon | −0.2 (−0.7; 0.2) | 0.325 | 0.3 (−0.1; 0.8) | 0.114 | |
| Simpson | 0.0 (−0.1; 0.1) | 0.465 | 0.1 (0.0; 0.1) | 0.102 | |
| PM2.5(day -5) | Observed species | −22.5 (−43; −2) | 0.032 | 34.2 (8.9; 59.6) | 0.010 |
| Chao1 | −25.3 (−55.4; 4.8) | 0.097 | 36.7 (−0.6; 74.0) | 0.053 | |
| PD whole tree | −1.1 (−2.4; 0.2) | 0.104 | 1.8 (0.1; 3.4) | 0.036 | |
| Shannon | −0.97 (−1.89; 0.04) | 0.041 | 1.2 (0.1; 2.4) | 0.040 | |
| Simpson | −0.2 (−0.4; −0.1) | 0.012 | 0.2 (0.0; 0.4) | 0.089 | |
| Outcome: EVs Subtypes | Level of Factor1 | β PM10 (95% CI) | p-Value | * | β PM2.5 (95% CI) | p-Value | p-Value * |
|---|---|---|---|---|---|---|---|
| NTA analysis | |||||||
| Total EVs × 106/mL | p5 | −0.02 (−0.20, 0.15) | 0.792 | 0.351 | 0.01 (−0.51, 0.54) | 0.966 | 0.899 |
| Median | −0.10 (−0.22, 0.02) | 0.107 | 0.05 (−0.3, 0.41) | 0.762 | |||
| p95 | −0.18 (−0.4, 0.04) | 0.110 | 0.10 (−0.57, 0.77) | 0.770 | |||
| Flow cytometry | |||||||
| LTA+ | p5 | 0.21 (−0.10, 0.52) | 0.191 | 0.008 | 0.51 (−0.36, 1.39) | 0.251 | 0.277 |
| Median | −0.22 (−0.45, 0.02) | 0.068 | 0.03 (−0.64, 0.7) | 0.928 | |||
| p95 | −0.66 (−1.11, −0.2) | 0.004 | −0.47 (−1.76, 0.83) | 0.480 | |||
| LPS+ | p5 | 0.27 (−0.02, 0.55) | 0.067 | 0.001 | 0.89 (−0.12, 1.91) | 0.085 | 0.034 |
| Median | −0.21 (−0.43, 0.02) | 0.072 | −0.09 (−0.79, 0.61) | 0.807 | |||
| p95 | −0.69 (−1.1, −0.28) | 0.001 | −1.10 (−2.34, 0.15) | 0.085 | |||
| EpCAM + EVs | p5 | 0.14 (−0.03, 0.31) | 0.117 | 0.073 | −0.09 (−0.61, 0.44) | 0.745 | 0.561 |
| Median | 0.01 (−0.13, 0.12) | 0.995 | 0.05 (−0.31, 0.42) | 0.778 | |||
| p95 | −0.14 (−0.36, 0.08) | 0.207 | 0.2 (−0.47, 0.86) | 0.562 | |||
| CD294 + EVs | p5 | 0.03 (−0.16, 0.23) | 0.727 | 0.283 | −0.12 (−0.64, 0.39) | 0.640 | 0.460 |
| Median | −0.06 (−0.20, 0.08) | 0.391 | 0.06 (−0.33, 0.44) | 0.766 | |||
| p95 | −0.16 (−0.41, 0.09) | 0.217 | 0.24 (−0.47, 0.96) | 0.502 | |||
| CD203C + EVs | p5 | 0.02 (−0.18, 0.22) | 0.833 | 0.180 | 0.47 (−0.05, 0.99) | 0.075 | 0.345 |
| Median | −0.11 (−0.26, 0.05) | 0.180 | 0.24 (−0.15, 0.63) | 0.236 | |||
| p95 | −0.24 (−0.53, 0.05) | 0.102 | 0.01 (−0.72, 0.72) | 0.991 | |||
| CD177 + EVs | p5 | 0.12 (−0.11, 0.35) | 0.310 | 0.738 | −0.14 (−0.81, 0.54) | 0.689 | 0.901 |
| Median | 0.03 (−0.13, 0.20) | 0.682 | −0.03 (−0.51, 0.45) | 0.899 | |||
| p95 | −0.06 (−0.35, 0.24) | 0.711 | 0.08 (−0.82, 0.98) | 0.863 | |||
| CD62E + EVs | p5 | 0.29 (0.07, 0.50) | 0.008 | 0.004 | −0.07 (−0.79, 0.65) | 0.852 | 0.613 |
| Median | 0.01 (−0.16, 0.16) | 0.994 | −0.23 (−0.74, 0.29) | 0.383 | |||
| p95 | −0.3 (−0.58, −0.01) | 0.040 | −0.39 (−1.29, 0.50) | 0.390 | |||
| CD61 + EVs | p5 | −0.14 (−0.54, 0.26) | 0.494 | 0.510 | 0.51 (−0.52, 1.53) | 0.332 | 0.287 |
| Median | −0.22 (−0.51, 0.07) | 0.140 | 0.09 (−0.86, 1.04) | 0.853 | |||
| p95 | −0.30 (−0.84, 0.23) | 0.264 | −0.34 (−2.3, 1.62) | 0.734 | |||
| CD14 + EVs | p5 | 0.21 (−0.09, 0.51) | 0.163 | 0.001 | 0.69 (−0.16, 1.54) | 0.112 | 0.013 |
| Median | −0.32 (−0.55, −0.09) | 0.006 | −0.36 (−0.99, 0.27) | 0.264 | |||
| p95 | −0.87 (−1.32, −0.43) | 0.000 | −1.44 (−2.6, −0.27) | 0.016 | |||
| Outcome: EVs Subtypes | Level of Factor2 | β PM10 (95% CI) | p-Value | * | β PM2.5 (95% CI) | p-Value | p-Value * |
|---|---|---|---|---|---|---|---|
| NTA analysis | |||||||
| Total EVs total × 106/mL | p5 | −0.09 (−0.32, 0.15) | 0.481 | 0.842 | 0.01 (−0.52, 0.55) | 0.957 | 0.846 |
| Median | −0.10 (−0.22, 0.01) | 0.085 | −0.04 (−0.43, 0.36) | 0.853 | |||
| p95 | −0.11 (−0.29, 0.06) | 0.206 | −0.07 (−0.64, 0.51) | 0.824 | |||
| Flow cytometry | |||||||
| LTA+ | p5 | −0.22 (−0.69, 0.24) | 0.341 | 0.657 | 0.59 (−0.42, 1.6) | 0.253 | 0.369 |
| Median | −0.12 (−0.36, 0.11) | 0.301 | 0.05 (−0.70, 0.8) | 0.896 | |||
| p95 | −0.07 (−0.44, 0.3) | 0.708 | −0.24 (−1.45, 0.97) | 0.698 | |||
| LPS+ | p5 | −0.56 (−0.99, −0.12) | 0.012 | 0.029 | −0.43 (−1.49, 0.63) | 0.429 | 0.269 |
| Median | −0.09 (−0.33, 0.14) | 0.441 | 0.34 (−0.43, 1.11) | 0.390 | |||
| p95 | 0.16 (−0.19, 0.51) | 0.380 | 0.75 (−0.57, 2.07) | 0.265 | |||
| EpCAM + EVs | p5 | 0.08 (−0.19, 0.35) | 0.559 | 0.633 | −0.01 (−0.62, 0.61) | 0.985 | 0.861 |
| Median | 0.02 (−0.11, 0.15) | 0.759 | 0.05 (−0.36, 0.47) | 0.807 | |||
| p95 | −0.01 (−0.21, 0.18) | 0.894 | 0.08 (−0.56, 0.73) | 0.800 | |||
| CD294 + EVs | p5 | 0.02 (−0.25, 0.28) | 0.907 | 0.718 | 0.10 (−0.49, 0.69) | 0.736 | 0.778 |
| Median | −0.03 (−0.15, 0.1) | 0.651 | 0.20 (−0.19, 0.58) | 0.323 | |||
| p95 | −0.05 (−0.24, 0.14) | 0.579 | 0.25 (−0.38, 0.87) | 0.440 | |||
| CD203C + EVs | p5 | −0.06 (−0.36, 0.24) | 0.693 | 0.943 | 0.59 (−0.05, 1.23) | 0.072 | 0.389 |
| Median | −0.07 (−0.22, 0.08) | 0.359 | 0.28 (−0.15, 0.7) | 0.205 | |||
| p95 | −0.08 (−0.3, 0.15) | 0.505 | 0.10 (−0.59, 0.8) | 0.767 | |||
| CD177 + EVs | p5 | 0.01 (−0.35, 0.37) | 0.956 | 0.831 | −0.70 (−1.46, 0.07) | 0.076 | 0.042 |
| Median | 0.05 (−0.12, 0.21) | 0.582 | 0.19 (−0.31, 0.69) | 0.455 | |||
| p95 | 0.06 (−0.18, 0.31) | 0.602 | 0.67 (−0.13, 1.46) | 0.099 | |||
| CD62E + EVs | p5 | 0.2 (−0.14, 0.55) | 0.254 | 0.472 | −0.34 (−1.18, 0.51) | 0.437 | 0.459 |
| Median | 0.08 (−0.08, 0.24) | 0.307 | 0.02 (−0.53, 0.57) | 0.935 | |||
| p95 | 0.02 (−0.22, 0.26) | 0.874 | 0.22 (−0.69, 1.12) | 0.639 | |||
| CD61 + EVs | p5 | −0.17 (−0.66, 0.31) | 0.484 | 0.977 | 0.15 (−1.07, 1.36) | 0.815 | 0.706 |
| Median | −0.18 (−0.47, 0.11) | 0.228 | 0.45 (−0.49, 1.4) | 0.350 | |||
| p95 | −0.18 (−0.64, 0.27) | 0.430 | 0.62 (−1.01, 2.24) | 0.458 | |||
| CD14 + EVs | p5 | −0.25 (−0.73, 0.24) | 0.316 | 0.871 | 0.55 (−0.58, 1.67) | 0.342 | 0.207 |
| Median | −0.21 (−0.46, 0.04) | 0.102 | −0.33 (−1.12, 0.47) | 0.423 | |||
| p95 | −0.19 (−0.57, 0.19) | 0.329 | −0.8 (−2.17, 0.57) | 0.254 | |||
Publisher’s Note: MDPI stays neutral with regard to jurisdictional claims in published maps and institutional affiliations. |
© 2021 by the authors. Licensee MDPI, Basel, Switzerland. This article is an open access article distributed under the terms and conditions of the Creative Commons Attribution (CC BY) license (https://creativecommons.org/licenses/by/4.0/).
Share and Cite
Mariani, J.; Iodice, S.; Cantone, L.; Solazzo, G.; Marraccini, P.; Conforti, E.; Bulsara, P.A.; Lombardi, M.S.; Howlin, R.P.; Bollati, V.; et al. Particulate Matter Exposure and Allergic Rhinitis: The Role of Plasmatic Extracellular Vesicles and Bacterial Nasal Microbiome. Int. J. Environ. Res. Public Health 2021, 18, 10689. https://doi.org/10.3390/ijerph182010689
Mariani J, Iodice S, Cantone L, Solazzo G, Marraccini P, Conforti E, Bulsara PA, Lombardi MS, Howlin RP, Bollati V, et al. Particulate Matter Exposure and Allergic Rhinitis: The Role of Plasmatic Extracellular Vesicles and Bacterial Nasal Microbiome. International Journal of Environmental Research and Public Health. 2021; 18(20):10689. https://doi.org/10.3390/ijerph182010689
Chicago/Turabian StyleMariani, Jacopo, Simona Iodice, Laura Cantone, Giulia Solazzo, Paolo Marraccini, Emanuele Conforti, Pallav A. Bulsara, Maria Stella Lombardi, Robert P. Howlin, Valentina Bollati, and et al. 2021. "Particulate Matter Exposure and Allergic Rhinitis: The Role of Plasmatic Extracellular Vesicles and Bacterial Nasal Microbiome" International Journal of Environmental Research and Public Health 18, no. 20: 10689. https://doi.org/10.3390/ijerph182010689
APA StyleMariani, J., Iodice, S., Cantone, L., Solazzo, G., Marraccini, P., Conforti, E., Bulsara, P. A., Lombardi, M. S., Howlin, R. P., Bollati, V., & Ferrari, L. (2021). Particulate Matter Exposure and Allergic Rhinitis: The Role of Plasmatic Extracellular Vesicles and Bacterial Nasal Microbiome. International Journal of Environmental Research and Public Health, 18(20), 10689. https://doi.org/10.3390/ijerph182010689

