COVID-19 and the Change in Lifestyle: Bodyweight, Time Allocation, and Food Choices
Abstract
:1. Introduction and Literature Review
1.1. Introduction
1.2. Literature Review
2. Methods and Material
2.1. Data Collection
2.2. Variable Measurement
2.2.1. Dependent Variable
2.2.2. Subjective Independent Variables
2.2.3. Objective Independent Variables
2.2.4. Other Independent Variables
2.3. Model
3. Results
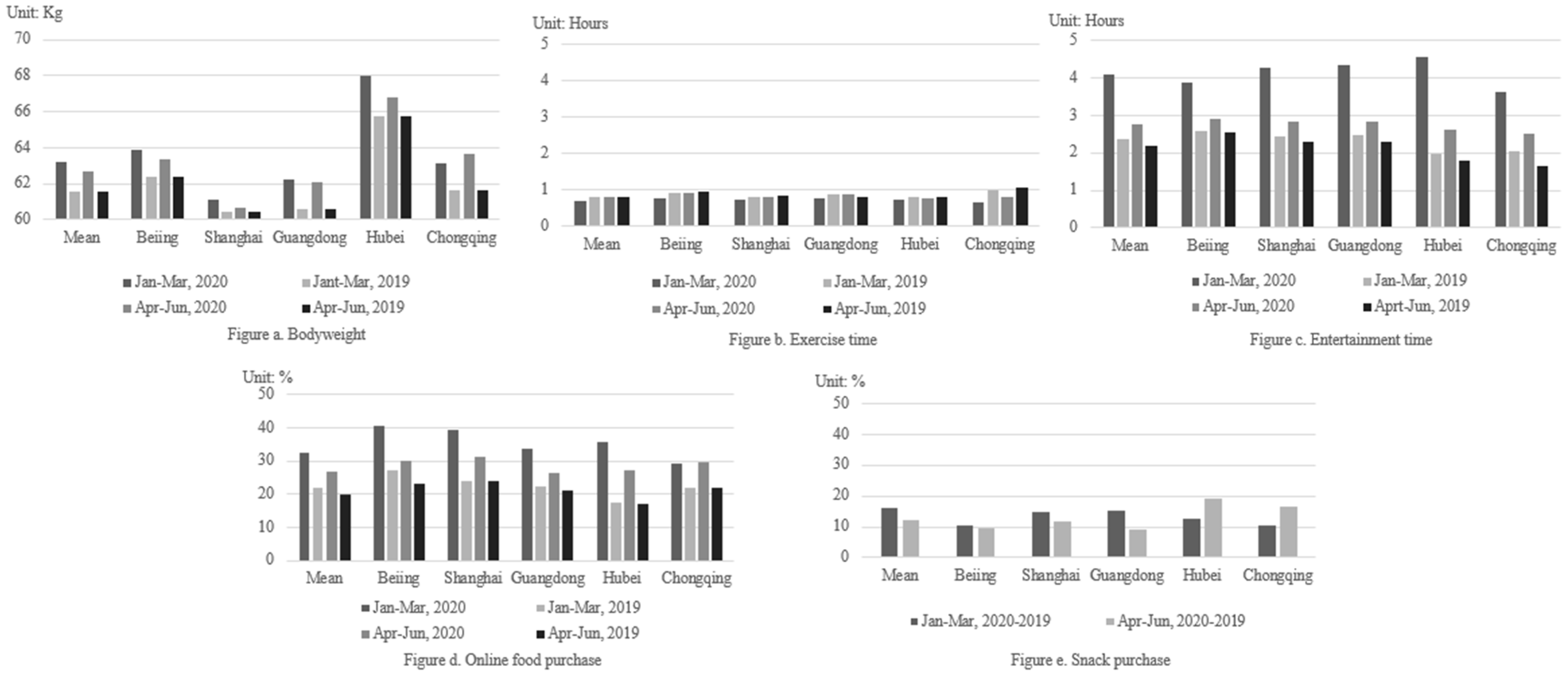
3.1. Summary Statistics
3.2. Empirical Results
4. Discussion
5. Conclusions
Supplementary Materials
Author Contributions
Funding
Institutional Review Board Statement
Informed Consent Statement
Data Availability Statement
Conflicts of Interest
References
- World Health Organization. Epidemic Statistics Report for the World. Available online: https://covid19.who.int/ (accessed on 23 June 2021).
- BBC News. Coronavirus: The World in Lockdown in Maps and Charts. Available online: https://www.bbc.com/news/world-52103747 (accessed on 7 April 2020).
- Fernandes, N. Economic Effects of Coronavirus Outbreak (COVID-19) on the World Economy; Working Paper; University of Navarra: Pamplona, Spain, 2020; Available online: https://papers.ssrn.com/sol3/papers.cfm?abstract_id=3557504 (accessed on 15 June 2021).
- Handoyo, R.D. Impact of COVID-19 on trade, fdi, real exchange rate and era of digitalization: Brief review global economy during pandemic. J. Dev. Econ. 2020, 5, 86. [Google Scholar] [CrossRef]
- Mahajan, K.; Tomar, S. COVID-19 and supply chain disruption: Evidence from food markets in India. Am. J. Agric. Econ. 2020, 103, 35–52. [Google Scholar] [CrossRef]
- Jia, P.; Liu, L.; Xie, X.; Yuan, C.; Chen, H.; Guo, B.; Zhou, J.; Yang, S. Changes in dietary patterns among youths in China during COVID-19 epidemic: The COVID-19 impact on lifestyle change survey (COINLICS). Appetite 2020, 158, 105015. [Google Scholar] [CrossRef] [PubMed]
- Dubey, S.; Biswas, P.; Ghosh, R.; Chatterjee, S.; Dubey, M.J.; Chatterjee, S.; Lahiri, D.; Lavie, C.J. Psychosocial impact of COVID-19. Diabetes Metab. Synd. 2020, 14, 779–788. [Google Scholar] [CrossRef] [PubMed]
- Atalan, A. Is the lockdown important to prevent the COVID-19 pandemic? Effects on psychology, environment, and economy-perspective. Ann. Med. Surg. 2020, 56, 38–42. [Google Scholar] [CrossRef] [PubMed]
- Himmelstein, M.S.; Puhl, R.M.; Watson, R. Watson, weight-based victimization, eating behaviors and weight-related health in sexual and gender minority adolescents. Appetite 2019, 141, 104321. [Google Scholar] [CrossRef]
- Saavedra, M. Birth weight and infant health for multiple births. J. Health Econ. 2020, 69, 102255. [Google Scholar] [CrossRef]
- Di Renzo, L.; Gualtieri, P.; Pivari, F.; Soldati, L.; Attinà, A.; Cinelli, G.; Leggeri, C.; Caparello, G.; Barrea, L.; Scerbo, F.; et al. Eating habits and lifestyle changes during COVID-19 lockdown: An Italian survey. J. Transl. Med. 2020, 18, 229. [Google Scholar] [CrossRef]
- Yang, G.-Y.; Lin, X.-L.; Fang, A.-P.; Zhu, H.-L. Eating habits and lifestyles during the initial stage of the COVID-19 lockdown in China: A cross-sectional study. Nutrients 2021, 13, 970. [Google Scholar] [CrossRef]
- Supermarket News. Supermarket Statistics for Online Grocery Sales in US. Available online: https://www.supermarketnews.com/online-retail/online-grocery-sales-grow-40-2020 (accessed on 21 May 2020).
- National Bureau of Statistics. Consumption Statistics Report for the China. Available online: http://www.stats.gov.cn/tjsj/sjjd/202012/t20201215_1809361.html (accessed on 15 December 2020).
- Chang, H.; Meyerhoefer, C.D. COVID-19 and the demand for online food shopping services: Empirical evidence from Taiwan. Am. J. Arg. Econ. 2020, 103, 448–465. [Google Scholar] [CrossRef]
- Khalid, S.; Williams, C.M.; Reynolds, S.A. Is there an association between diet and depression in children and adolescents? A systematic review. Br. J. Nutr. 2016, 116, 2097–2108. [Google Scholar] [CrossRef]
- Scully, M.; Dixon, H.; Wakefield, M. Association between commercial television exposure and fast-food consumption among adults. Public Health Nutr. 2009, 12, 105–110. [Google Scholar] [CrossRef] [Green Version]
- Abel, M.; Byker, T.; Carpenter, J. Socially optimal mistakes? Debiasing COVID-19 mortality risk perceptions and prosocial behavior. J. Econ. Behav. Organ. 2021, 183, 456–480. [Google Scholar] [CrossRef]
- Gupta, A.; Zhu, H.; Doan, M.K.; Michuda, A.; Majumder, B. Economic impacts of the COVID-19 lockdown in a remittance-dependent region. Am. J. Arg. Econ. 2020, 103, 466–485. [Google Scholar] [CrossRef]
- Ruan, J.; Cai, Q.; Jin, S. Impact of COVID-19 and nationwide lockdowns on vegetable prices: Evidence from wholesale markets in China. Am. J. Arg. Econ. 2021, 103, 1574–1594. [Google Scholar] [CrossRef]
- Quaresma, M.V.d.S.; Marques, C.G.; Magalhães, A.C.O.; dos Santos, R.V.T. Emotional eating, binge eating, physical inactivity, and vespertine chronotype are negative predictors of dietary practices during COVID-19 social isolation: A cross-sectional study. Nutrition 2021, 90, 111223. [Google Scholar] [CrossRef]
- Duerr, H.P.; Brockmann, S.O.; Piechotowski, I.; Schwehm, M.; Eichner, M. Influenza pandemic intervention planning using InfluSim: Pharmaceutical and non- pharmaceutical interventions. BMC Infect. Dis. 2007, 7, 76. [Google Scholar] [CrossRef] [PubMed] [Green Version]
- Marchitelli, S.; Mazza, C.; Lenzi, A.; Ricci, E.; Gnessi, L.; Roma, P. Weight gain in a sample of patients affected by overweight/obesity with and without a psychiatric diagnosis during the COVID-19 lockdown. Nutrients 2020, 12, 3525. [Google Scholar] [CrossRef] [PubMed]
- Pellegrini, M.; Ponzo, V.; Rosato, R.; Scumaci, E.; Goitre, I.; Benso, A.; Belcastro, S.; Crespi, C.; De Michieli, F.; Ghigo, E.; et al. Changes in weight and nutritional habits in adults with obesity during the “lockdown” period caused by the COVID-19 virus emergency. Nutrients 2020, 12, 2016. [Google Scholar] [CrossRef] [PubMed]
- Mulugeta, W.; Hoque, L. Impact of the COVID-19 lockdown on weight status and associated factors for obesity among Children in Massachusetts. Obesity 2021, 22, 100325. [Google Scholar] [CrossRef]
- Wang, S.D.; Devjani, S.; Chillakanti, M.; Dunton, G.F.; Mason, T.B. The COMET study: Examining the effects of COVID-19-related perceived stress on Los Angeles mothers’ dysregulated eating behaviors, child feeding practices, and body mass index. Appetite 2021, 63, 105209. [Google Scholar] [CrossRef] [PubMed]
- General Office of the State Council. PRC Issued the Notice on 7 April 2020. Available online: http://www.gov.cn/zhengce/content/2020-04/09/content_5500685.htm (accessed on 7 April 2020).
- Based on Data from the National Health Commission of the People’s Republic of China. Available online: http://www.nhc.gov.cn/xcs/yqtb/list_gzbd.shtml (accessed on 6 May 2020).
- López-Moreno, M.; López, M.; Miguel, M.; Garcés-Rimón, M. Physical and psychological effects related to food habits and lifestyle changes derived from Covid-19 home confinement in the Spanish population. Nutrients 2020, 12, 3445. [Google Scholar] [CrossRef] [PubMed]
- Constandt, B.; Thibaut, E.; De Bosscher, V.; Scheerder, J.; Ricour, M.; Willem, A. Exercising in times of lockdown: An analysis of the impact of COVID-19 on levels and patterns of exercise among adults in Belgium. Int. J. Environ. Res. Public Health 2020, 17, 4144. [Google Scholar] [CrossRef] [PubMed]
- Hobbs, J.E. Food supply chains during the COVID-19 pandemic. Can. J. Agric. Econ. 2020, 68, 171–176. [Google Scholar] [CrossRef] [Green Version]
- Hobbs, J.E. Food supply chain resilience and the COVID-19 pandemic: What have we learned? Can. J. Agric. Econ. 2021, 69, 189–196. [Google Scholar] [CrossRef]
- McFadden, B.R.; Malone, T.; Kecinski, M.; Messer, K.D. COVID-19 induced stigma in U.S. consumers: Evidence and implications. Am. J. Agric. Econ. 2020, 103, 486–497. [Google Scholar] [CrossRef]
- Robertson, M.; Duffy, F.; Newman, E.; Bravo, C.P.; Ates, H.H.; Sharpe, H. Exploring changes in body image, eating and exercise during the COVID-19 lockdown: A UK survey. Appetite 2020, 159, 105062. [Google Scholar] [CrossRef]
- Jaeger, S.R.; Vidal, L.; Ares, G.; Chheang, S.L.; Spinelli, S. Healthier eating: COVID-19 disruption as a catalyst for positive change. Food Qual. Prefer. 2021, 92, 104220. [Google Scholar] [CrossRef]
- Moynihan, A.B.; Van Tilburg, W.; Igou, E.R.; Ewisman, A.; Donnelly, A.; Mulcaire, J.B. Eaten up by boredom: Consuming food to escape awareness of the bored self. Front. Psychol. 2015, 6, 369. [Google Scholar] [CrossRef]
- Hootman, K.C.; Guertin, K.; Cassano, P.A. Stress and psychological constructs related to eating behavior are associated with anthropometry and body composition in young adults. Appetite 2018, 125, 287–294. [Google Scholar] [CrossRef]
- Brown, A.; Flint, S.W.; Kalea, A.Z.; O’Kane, M.; Williams, S.; Batterham, R.L. Negative impact of the first COVID-19 lockdown upon health-related behaviours and psychological wellbeing in people living with severe and complex obesity in the UK. EClinicalMedicine 2021, 34, 100796. [Google Scholar] [CrossRef] [PubMed]
- Holt, C.A.; Laury, S.K. Risk aversion and incentive effects. Am. Econ. Rev. 2002, 92, 1644–1655. [Google Scholar] [CrossRef] [Green Version]
- Barham, B.L.; Chavas, J.-P.; Fitz, D.; Salas, V.R.; Schechter, L. The roles of risk and ambiguity in technology adoption. J. Econ. Behav. Organ. 2014, 97, 204–218. [Google Scholar] [CrossRef]
- Leão, T.; Amorim, M.; Fraga, S.; Barros, H. What doubts, concerns and fears about COVID-19 emerged during the first wave of the pandemic? Patient Educ. Couns. 2020, 104, 235–241. [Google Scholar] [CrossRef] [PubMed]
- Dryhurst, S.; Schneider, C.R.; Kerr, J.; Freeman, A.L.J.; Recchia, G.; van der Bles, A.M.; Spiegelhalter, D.; van der Linden, S. Risk perceptions of COVID-19 around the world. J. Risk Res. 2020, 23, 994–1006. [Google Scholar] [CrossRef]
- Ishaku, U.G.; Terao, T.; Takai, J.; Karuri, S.G.; Matsumoto, M. Comparing loneliness and mental health status of college students in Nigeria and Japan. IFE PsychologIA 2018, 26, 279–297. Available online: https://hdl.handle.net/10520/EJC-db4bb84c9 (accessed on 14 June 2021).
- Milner, A.; Krnjacki, L.; LaMontagne, A.D. Age and gender differences in the influence of social support on mental health: A longitudinal fixed-effects analysis using 13 annual waves of the HILDA cohort. Public Health 2016, 140, 172–178. [Google Scholar] [CrossRef]
- Lim, M.H.; Rodebaugh, T.L.; Eres, R.; Long, K.; Penn, D.L.; Gleeson, J.F.M. A pilot digital intervention targeting loneliness in youth mental health. Front. Psychiatry 2019, 10, 604. [Google Scholar] [CrossRef]
- Zhang, W.; Shen, D.; Zhang, Y.; Xiong, X. Open source information, investor attention, and asset pricing. Econ. Model. 2013, 33, 613–619. [Google Scholar] [CrossRef]
- Baidu Trend Index. Pandemic’s Web Search Activities. Available online: https://index.baidu.com/v2/index.html#/ (accessed on 1 March 2021).

| Variable | Mean | Std. Dev |
|---|---|---|
| Dependent variable | ||
| Δ Weight t1 (kg) # | 1.759 | 3.168 |
| Δ Weight t2 (kg) # | 1.246 | 3.130 |
| Δ Exercise time t1 (h) | −0.121 | 0.547 |
| Δ Exercise time t2 (h) | −0.017 | 0.430 |
| Δ Entertainment time t1 (h) | 1.735 | 2.030 |
| Δ Entertainment time t2 (h) | 0.585 | 1.194 |
| Δ Online food purchase t1 (%) | 10.630 | 22.120 |
| Δ Online food purchase t2 (%) | 6.966 | 15.970 |
| Δ Snack purchase t1 (%) | 16.140 | 35.050 |
| Δ Snack purchase t2 (%) | 12.300 | 28.140 |
| Main independent variable | ||
| Risk aversion (index) | 1.499 | 1.273 |
| Fear of resurgence (dummy) | 0.160 | 0.367 |
| Size of social network (per 100) | 2.291 | 1.907 |
| Confirmed case t1 (per 10,000) | 1.814 | 9.346 |
| Confirmed case t2 (per 10,000) | 0.039 | 0.083 |
| Search frequency t1 (times per 100 individuals) | 5.706 | 2.724 |
| Search frequency t2 (times per 100 individuals) | 3.926 | 1.912 |
| Lockdown duration t1 (# of weeks) | 2.902 | 3.381 |
| Lockdown duration t2 (# of weeks) | 2.416 | 3.450 |
| Other independent variable | ||
| Package delivery restriction t1 (# of weeks) | 0.567 | 1.482 |
| Package delivery restriction t2 (# of weeks) | 0.369 | 1.274 |
| Duration of COVID-19 t1 (# of month) | 3.760 | 2.413 |
| Duration of COVID-19 t2 (# of month) | 3.757 | 2.749 |
| Experienced starvation (dummy) | 0.152 | 0.359 |
| Diagnosed (dummy) | 0.078 | 0.269 |
| Stores nearby (quantity) | 3.718 | 2.751 |
| Δ Price t1 (%) | 7.994 | 9.629 |
| Δ Price t2 (%) | 5.083 | 8.634 |
| Control variable | ||
| Women (dummy) | 0.480 | 0.500 |
| Age (years) | 33.890 | 7.409 |
| Married (dummy) | 0.221 | 0.415 |
| Education $ (categorical) | 5.832 | 0.634 |
| Health status ^ | 1.945 | 0.698 |
| Income (annual pre−tax; per 10,000) | 20.400 | 13.340 |
| Family size (# of individuals) | 3.299 | 1.034 |
| Either child or elderly at home (dummy) | 0.769 | 0.422 |
| Household member a medical staff (dummy) | 0.084 | 0.277 |
| Variable | Δ Weight t1 # | Δ Weight t2 # | Δ Exercise Time t1 | Δ Exercise Time t2 | Δ Entertainment Time t1 | Δ Entertainment Time t2 |
|---|---|---|---|---|---|---|
| Risk aversion | −0.001 | 0.030 | −0.034 ** | −0.008 | −0.023 | −0.029 |
| (0.074) | (0.078) | (0.014) | (0.011) | (0.049) | (0.027) | |
| Fear of resurgence | 0.801 *** | 0.989 *** | −0.025 | −0.020 | −0.098 | 0.323 *** |
| (0.297) | (0.304) | (0.051) | (0.041) | (0.172) | (0.114) | |
| Size of social network | 0.205 *** | 0.089 | −0.017 ** | 0.003 | 0.138 *** | 0.057 *** |
| (0.063) | (0.066) | (0.009) | (0.007) | (0.037) | (0.020) | |
| Confirmed case | −0.008 | 0.798 | 0.002 | −0.533 | 0.004 | −1.941 ** |
| (0.022) | (2.314) | (0.004) | (0.481) | (0.011) | (0.898) | |
| Search frequency | 0.016 | 0.041 | −0.002 | 0.004 | −0.014 | −0.007 |
| (0.056) | (0.072) | (0.010) | (0.013) | (0.034) | (0.031) | |
| Lockdown duration | 0.066 ** | 0.170 * | −0.001 | −0.008 | 0.074 *** | 0.077 ** |
| (0.032) | (0.094) | (0.006) | (0.012) | (0.022) | (0.035) | |
| Package delivery restriction | −0.013 ** | −0.001 | 0.107 *** | 0.036 | ||
| (0.006) | (0.012) | (0.023) | (0.040) | |||
| Duration of COVID-19 | −0.072 *** | 0.005 | ||||
| (0.026) | (0.014) | |||||
| Experience starvation | −0.452 *** | −0.239 ** | ||||
| (0.169) | (0.113) | |||||
| Stores nearby | 0.015 ** | 0.005 | 0.038 | −0.011 | ||
| (0.007) | (0.004) | (0.025) | (0.014) | |||
| Women | 0.297 | 0.268 | −0.012 | −0.007 | −0.033 | 0.013 |
| (0.199) | (0.202) | (0.034) | (0.027) | (0.125) | (0.075) | |
| Age | 0.003 | −0.014 | −0.005 ** | −0.003 | −0.012 | −0.006 |
| (0.017) | (0.017) | (0.003) | (0.002) | (0.009) | (0.005) | |
| Married | −0.304 | −0.186 | −0.033 | −0.032 | −0.162 | 0.017 |
| (0.261) | (0.300) | (0.049) | (0.037) | (0.182) | (0.105) | |
| Education | 0.029 | 0.209 | −0.019 | −0.005 | −0.149 | −0.086 |
| (0.161) | (0.172) | (0.032) | (0.024) | (0.113) | (0.075) | |
| Health status | 0.053 | 0.097 | 0.055 ** | −0.004 | 0.113 | 0.007 |
| (0.154) | (0.157) | (0.026) | (0.020) | (0.096) | (0.052) | |
| Income | −0.007 | −0.018 * | 0.002 * | −0.000 | 0.005 | 0.004 |
| (0.009) | (0.010) | (0.001) | (0.001) | (0.005) | (0.004) | |
| Family size | 0.050 | 0.090 | −0.034 | −0.036 ** | 0.045 | 0.085 * |
| (0.115) | (0.117) | (0.021) | (0.017) | (0.064) | (0.044) | |
| Either child or elderly at home | 0.290 | 0.176 | 0.058 | 0.089 ** | −0.119 | 0.057 |
| (0.260) | (0.284) | (0.051) | (0.040) | (0.186) | (0.106) | |
| Household member a medical staff | 0.281 | 0.230 | 0.015 | 0.082 | −0.459 ** | −0.133 |
| (0.415) | (0.390) | (0.069) | (0.063) | (0.212) | (0.146) | |
| Constant | −0.181 | −1.025 | 0.160 | 0.259 | 1.961 * | 1.144 * |
| (1.549) | (1.719) | (0.270) | (0.245) | (1.031) | (0.659) | |
| Province FE | YES | YES | YES | YES | YES | YES |
| Observations | 1061 | 1061 | 1061 | 1061 | 1061 | 1061 |
| R-squared | 0.064 | 0.055 | 0.057 | 0.043 | 0.139 | 0.085 |
| Variable | Δ Online Food Purchase t1 # | Δ Online Food Purchase t2 # | Δ Snack Purchase t1 | Δ Snack Purchase t2 |
|---|---|---|---|---|
| Risk aversion | −0.107 | 0.185 | 0.773 | 0.878 |
| (0.499) | (0.362) | (0.856) | (0.737) | |
| Fear of resurgence | 0.102 | −0.069 | 6.359 ** | 0.422 |
| (1.786) | (1.311) | (3.116) | (2.243) | |
| Size of social network | 0.166 | 0.526 * | 1.919 *** | 0.763 |
| (0.396) | (0.276) | (0.664) | (0.492) | |
| Confirmed case | −0.140 | −10.088 | −0.169 | −14.253 |
| (0.250) | (17.724) | (0.311) | (35.385) | |
| Search frequency | 0.654 * | 0.098 | 0.591 | 0.555 |
| (0.392) | (0.430) | (0.584) | (0.804) | |
| Lockdown duration | 0.189 | 0.099 | −0.063 | −0.360 |
| (0.241) | (0.492) | (0.361) | (0.701) | |
| Package delivery restriction | −0.249 | 0.023 | −0.729 ** | −0.793 |
| (0.259) | (0.565) | (0.351) | (0.937) | |
| Duration of COVID-19 | 0.075 | −0.621 ** | ||
| (0.460) | (0.308) | |||
| Diagnosed | −6.114 ** | −5.652 ** | ||
| (2.547) | (2.269) | |||
| Δ Price | 0.198 | 0.312 ** | ||
| (0.134) | (0.136) | |||
| Women | 2.187 | 0.890 | −1.611 | 0.618 |
| (1.379) | (0.978) | (2.116) | (1.779) | |
| Age | 0.174 * | 0.024 | −0.262 * | −0.263 ** |
| (0.104) | (0.074) | (0.143) | (0.120) | |
| Married | −2.164 | −2.658 ** | −7.025 ** | −3.335 |
| (1.955) | (1.306) | (3.043) | (2.396) | |
| Education | 4.379 *** | 1.685 * | −1.033 | −1.748 |
| (1.229) | (0.947) | (1.939) | (1.838) | |
| Health status | −0.194 | 0.053 | −0.019 | 0.266 |
| (1.024) | (0.753) | (1.569) | (1.310) | |
| Income | 0.059 | 0.019 | 0.055 | −0.008 |
| (0.052) | (0.040) | (0.099) | (0.065) | |
| Family size | −1.222 | 0.181 | −0.856 | 0.234 |
| (0.838) | (0.544) | (1.189) | (1.013) | |
| Either child or elderly at home | 5.746 *** | 3.624 *** | 4.727 | 3.737 |
| (1.871) | (1.295) | (3.186) | (2.505) | |
| Household member a medical staff | −1.606 | −0.708 | 6.763 | 4.757 |
| (2.577) | (1.805) | (4.394) | (3.882) | |
| Constant | −27.464 ** | −7.370 | 11.423 | 20.358 |
| (11.311) | (9.321) | (17.148) | (17.811) | |
| Province FE | YES | YES | YES | YES |
| Observations | 1061 | 1061 | 1061 | 1061 |
| R-squared | 0.100 | 0.066 | 0.079 | 0.060 |
Publisher’s Note: MDPI stays neutral with regard to jurisdictional claims in published maps and institutional affiliations. |
© 2021 by the authors. Licensee MDPI, Basel, Switzerland. This article is an open access article distributed under the terms and conditions of the Creative Commons Attribution (CC BY) license (https://creativecommons.org/licenses/by/4.0/).
Share and Cite
Li, X.; Li, J.; Qing, P.; Hu, W. COVID-19 and the Change in Lifestyle: Bodyweight, Time Allocation, and Food Choices. Int. J. Environ. Res. Public Health 2021, 18, 10552. https://doi.org/10.3390/ijerph181910552
Li X, Li J, Qing P, Hu W. COVID-19 and the Change in Lifestyle: Bodyweight, Time Allocation, and Food Choices. International Journal of Environmental Research and Public Health. 2021; 18(19):10552. https://doi.org/10.3390/ijerph181910552
Chicago/Turabian StyleLi, Xiaolei, Jian Li, Ping Qing, and Wuyang Hu. 2021. "COVID-19 and the Change in Lifestyle: Bodyweight, Time Allocation, and Food Choices" International Journal of Environmental Research and Public Health 18, no. 19: 10552. https://doi.org/10.3390/ijerph181910552
APA StyleLi, X., Li, J., Qing, P., & Hu, W. (2021). COVID-19 and the Change in Lifestyle: Bodyweight, Time Allocation, and Food Choices. International Journal of Environmental Research and Public Health, 18(19), 10552. https://doi.org/10.3390/ijerph181910552

