Modeling Energy Expenditure Estimation in Occupational Context by Actigraphy: A Multi Regression Mixed-Effects Model
Abstract
1. Introduction
2. Materials and Methods
2.1. Sampling
2.2. Participants
2.3. Instrumentation and Facilities
2.3.1. Indirect Calorimetry
2.3.2. Accelerometer-Derived Activity
2.3.3. Physiological Monitoring
2.4. Experimental Design
2.5. Data Analysis
2.5.1. Mixed-Effects Regression Modeling
2.5.2. Cross-Validation and Comparison with Reference Methodologies
3. Results
3.1. Mixed-Effects Regression Model—Estimation and Error
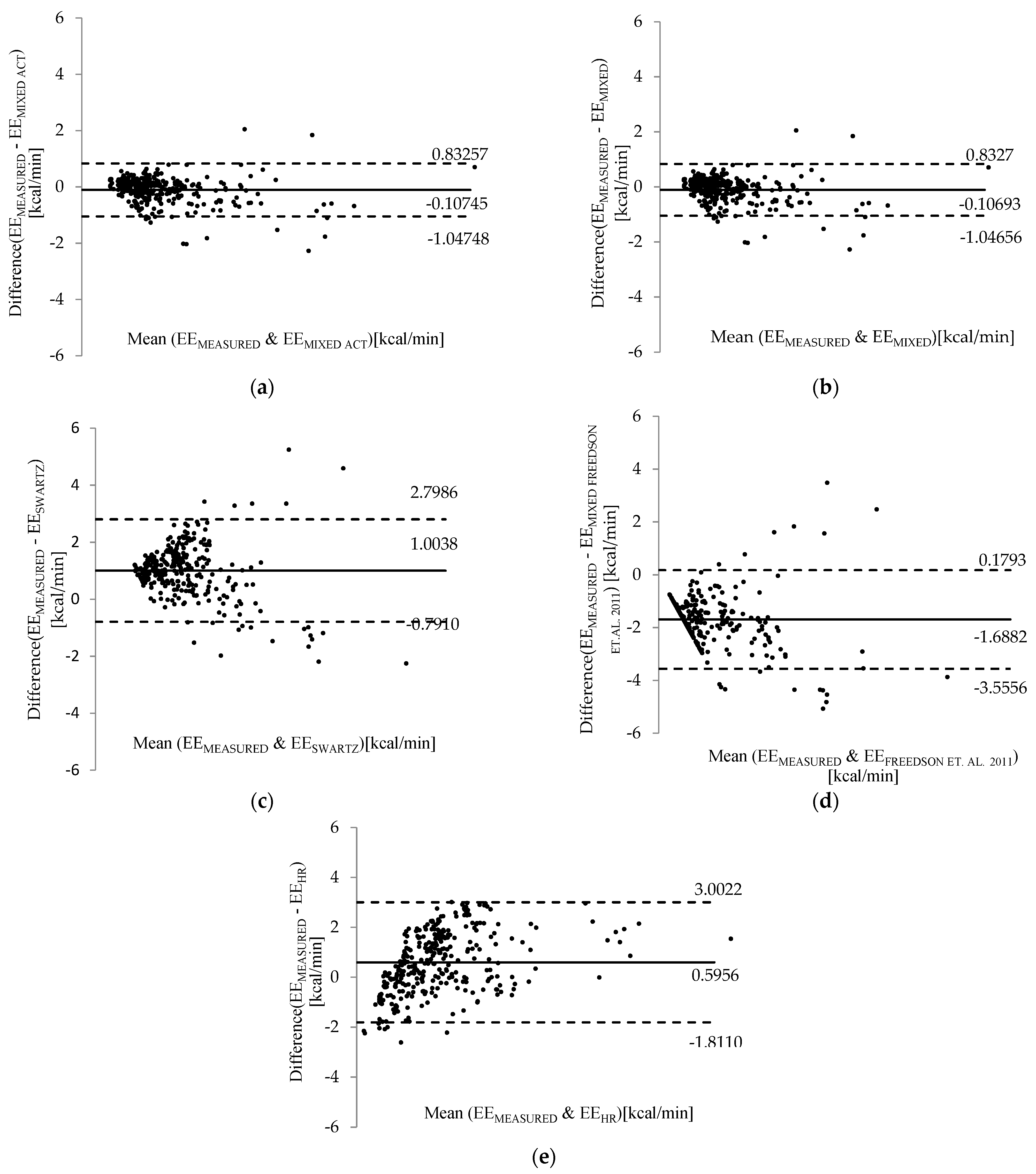
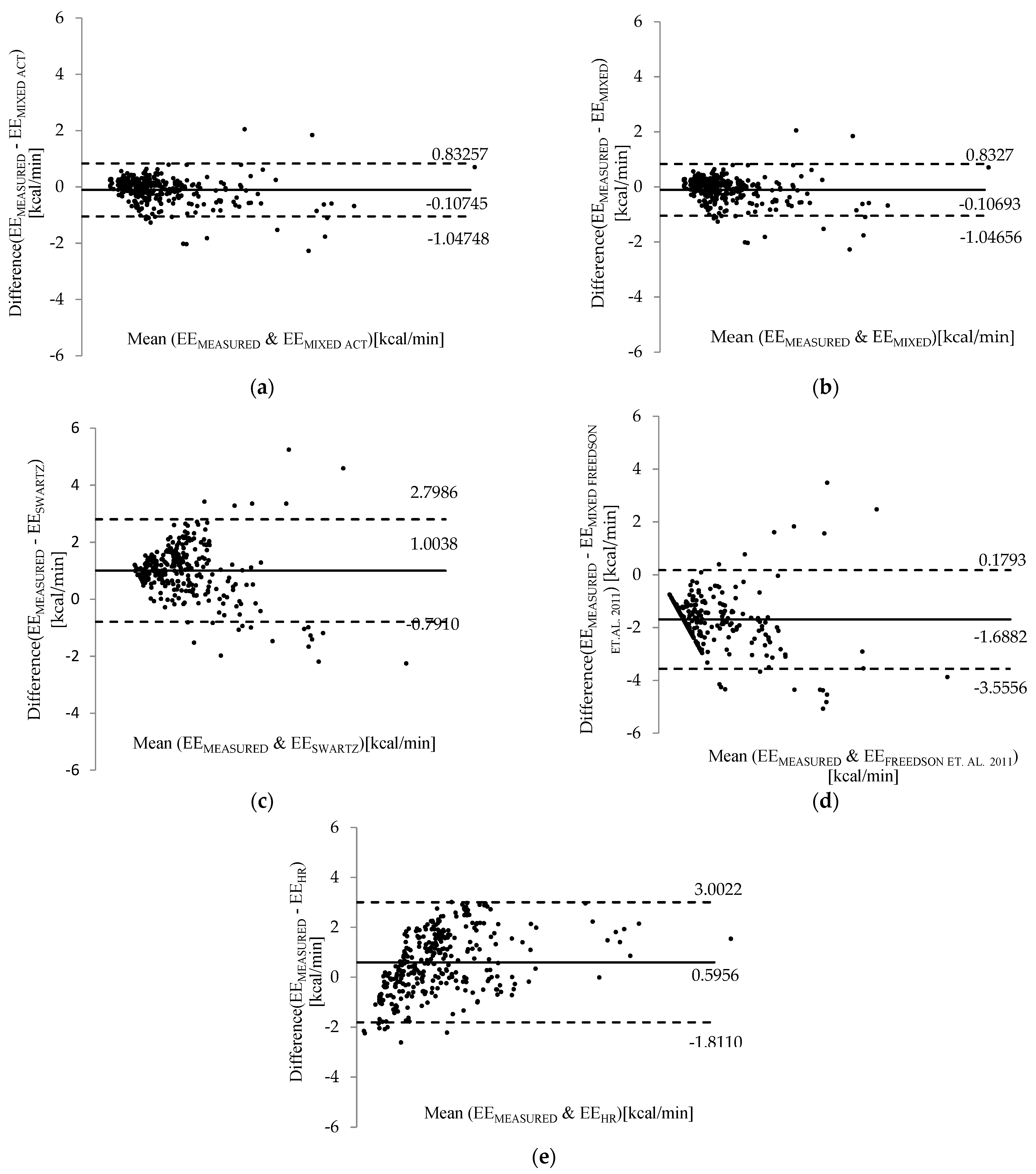
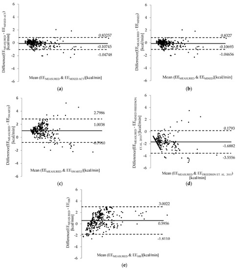
3.2. Comparison with Standard Techniques and Literature Models
4. Discussion
4.1. Energy Expenditure Estimation in the Occupational Context
4.2. Strengths and Limitations
5. Conclusions
Author Contributions
Funding
Institutional Review Board Statement
Informed Consent Statement
Data Availability Statement
Conflicts of Interest
Appendix A. Modeling Process Description
Appendix A.1. Model Structure
| Adopted Notation | Variable | Association Hierarchical Model Level |
|---|---|---|
| x1 | Heart rate | Participant—Level 3 |
| x2 | Wrist counts per minute | Records per minute—Level 1 |
| x3 | Ankle counts per minute | Records per minute—Level 1 |
| x4 | Weight | Participant—Level 3 |
| x5 | Physical activity level | Participant—Level 3 |
| F | Sex | Participant—Level 3 |
Appendix A.2. Level 1—Associated with the Records per Minute
Appendix A.3. Level 2—Associated with Activity
Appendix A.4. Level 3—Associated with the Participant
References
- Mifflin, M.D.; Jeor, S.T.S.; Hill, L.A.; Scott, B.J.; Daugherty, S.A.; Koh, Y.O. A new predictive equation for resting energy expenditure in healthy individuals. Am. J. Clin. Nutr. 1990, 51, 241–247. [Google Scholar] [CrossRef]
- Lucena, A.D.; Guedes, J.C.C.; Vaz, M.A.P.; Da Silva, L.B. Physiological variables in energy expenditure estimation by actigraphy: A systematic review protocol. Int. J. Occup. Environ. Saf. 2018, 2, 59–66. [Google Scholar] [CrossRef][Green Version]
- Chen, J.; Mitrouchev, P.; Coquillart, S.; Quaine, F. Disassembly task evaluation by muscle fatigue estimation in a virtual reality environment. Int. J. Adv. Manuf. Technol. 2016, 88, 1523–1533. [Google Scholar] [CrossRef]
- Cao, C.; Liu, Y.; Zhu, W.; Ma, J. Effect of active workstation on energy expenditure and job performance: A sys-tematic review and meta-analysis. J. Phys. Act. Health 2016, 13, 562–571. [Google Scholar] [CrossRef] [PubMed]
- Sprod, J.A.; Olds, T.S.; Burton, N.W.; Brown, W.J.; Van Uffelen, J.G.; Ferrar, K.E.; Maher, C.A. Patterns and correlates of time use and energy expenditure in older Australian workers: A descriptive study. Maturitas 2016, 90, 64–71. [Google Scholar] [CrossRef] [PubMed]
- Caljouw, S.R.; De Vries, R.; Withagen, R. RAAAF’s office landscape The End of Sitting: Energy expenditure and temporary comfort when working in non-sitting postures. PLoS ONE 2017, 12, e0187529. [Google Scholar] [CrossRef] [PubMed]
- Mantzari, E.; Galloway, C.; Wijndaele, K.; Brage, S.; Griffin, S.J.; Marteau, T.M. Impact of sit-stand desks at work on energy expenditure, sitting time and cardio-metabolic risk factors: Multiphase feasibility study with randomised controlled component. Prev. Med. Rep. 2018, 13, 64–72. [Google Scholar] [CrossRef] [PubMed]
- D’Silva, R.M.; Chandrasekaran, B. Will energy expenditure differences in work postures influence cognitive outcomes at workplaces? an explorative review. Obes. Med. 2020, 19, 100253. [Google Scholar] [CrossRef]
- Bernardi, B.; Abenavoli, L.M.; Franco, G.; Fazari, A.; Zimbalatti, G.; Benalia, S. Worker’s Metabolic Rate Assessment during Weeding. Qual.-Access Success 2020, 21, 139–141. [Google Scholar]
- ISO 8996: 2004. Ergonomics of the Thermal Environment—Determination of Metabolic Rate; ISO: Geneva, Switzerland, 2004. [Google Scholar]
- Yang, X.; Li, M.; Mao, D.; Zeng, G.; Zhuo, Q.; Hu, W.; Piao, J.; Yang, X.; Huang, C. Basal energy expenditure in southern Chinese healthy adults: Measurement and development of a new equation. Br. J. Nutr. 2010, 104, 1817–1823. [Google Scholar] [CrossRef]
- Liu, S.; Gao, R.X.; Freedson, P.S. Computational Methods for Estimating Energy Expenditure in Human Physical Activities. Med. Sci. Sports Exerc. 2012, 44, 2138–2146. [Google Scholar] [CrossRef] [PubMed]
- Crouter, S.E.; Kuffel, E.; Haas, J.D.; Frongillo, E.A.; Bassett, D.R. Refined Two-Regression Model for the ActiGraph Accelerometer. Med. Sci. Sports Exerc. 2010, 42, 1029–1037. [Google Scholar] [CrossRef]
- Bröde, P.; Kampmann, B. Accuracy of metabolic rate estimates from heart rate under heat stress—An empirical validation study concerning ISO 8996. Ind. Health 2019, 57, 615–620. [Google Scholar] [CrossRef]
- Lyden, K.; Kozey, S.L.; Staudenmeyer, J.W.; Freedson, P.S. A comprehensive evaluation of commonly used accelerometer energy expenditure and MET prediction equations. Graefe’s Arch. Clin. Exp. Ophthalmol. 2010, 111, 187–201. [Google Scholar] [CrossRef] [PubMed]
- Tryon, W.W. Methods of measuring human activity. J. Behav. Anal. Health Sports Fit. Med. 2008, 1, 58–71. [Google Scholar] [CrossRef]
- Robillard, R.; Lambert, T.; Rogers, N. Measuring sleep–wake patterns with physical activity and energy expenditure monitors. Biol. Rhythm Res. 2012, 43, 555–562. [Google Scholar] [CrossRef]
- Mac, V.V.T.; Tovar-Aguilar, J.A.; Flocks, J.; Economos, E.; Hertzberg, V.S.; McCauley, L.A. Heat Exposure in Central Florida Fernery Workers: Results of a Feasibility Study. J. Agromedicine 2017, 22, 89–99. [Google Scholar] [CrossRef]
- Vincent, G.E.; Ridgers, N.; Ferguson, S.; Aisbett, B. Associations between firefighters’ physical activity across multiple shifts of wildfire suppression. Ergonomics 2016, 59, 1–8. [Google Scholar] [CrossRef]
- Slinde, F.; Grönberg, A.M.; Svantesson, U.; Hulthén, L.; Larsson, S. Energy expenditure in chronic obstructive pulmonary disease—evaluation of simple measures. Eur. J. Clin. Nutr. 2011, 65, 1309–1313. [Google Scholar] [CrossRef]
- Rousset, S.; Fardet, A.; Lacomme, P.; Normand, S.; Montaurier, C.; Boirie, Y.; Morio, B. Comparison of total energy expenditure assessed by two devices in controlled and free-living conditions. Eur. J. Sport Sci. 2014, 15, 391–399. [Google Scholar] [CrossRef] [PubMed]
- Staudenmayer, J.; Pober, D.; Crouter, S.; Bassett, D.; Freedson, P. An artificial neural network to estimate physical activity energy expenditure and identify physical activity type from an accelerometer. J. Appl. Physiol. 2009, 107, 1300–1307. [Google Scholar] [CrossRef]
- Ellingson, L.D.; Schwabacher, I.J.; Kim, Y.; Welk, G.J.; Cook, D.B. Validity of an Integrative Method for Pro-cessing Physical Activity Data. Med. Sci. Sports Exerc. 2016, 48, 1629–1638. [Google Scholar] [CrossRef]
- Montoye, A.H.K.; Begum, M.; Henning, Z.; A Pfeiffer, K. Comparison of linear and non-linear models for predicting energy expenditure from raw accelerometer data. Physiol. Meas. 2017, 38, 343–357. [Google Scholar] [CrossRef] [PubMed]
- Rothney, M.P.; Neumann, M.; Béziat, A.; Chen, K. An artificial neural network model of energy expenditure using nonintegrated acceleration signals. J. Appl. Physiol. 2007, 103, 1419–1427. [Google Scholar] [CrossRef] [PubMed]
- Alfano, F.R.D.; Malchaire, J.; Palella, B.I.; Riccio, G. WBGT Index Revisited After 60 Years of Use. Ann. Occup. Hyg. 2014, 58, 955–970. [Google Scholar] [CrossRef]
- Ndahimana, D.; Kim, E.-K. Measurement Methods for Physical Activity and Energy Expenditure: A Review. Clin. Nutr. Res. 2017, 6, 68–80. [Google Scholar] [CrossRef] [PubMed]
- Brighenti-Zogg, S.; Mundwiler, J.; Schüpbach, U.; Dieterle, T.; Wolfer, D.P.; Leuppi, J.D.; Miedinger, D. Physical Workload and Work Capacity across Occupational Groups. PLoS ONE 2016, 11, e0154073. [Google Scholar] [CrossRef] [PubMed]
- Liu, S.; Gao, R.X.; John, D.; Staudenmayer, J.W.; Freedson, P.S. Multisensor Data Fusion for Physical Activity Assessment. IEEE Trans. Biomed. Eng. 2011, 59, 687–696. [Google Scholar] [CrossRef] [PubMed]
- Strath, S.J.; Kate, R.J.; Keenan, K.G.; A Welch, W.; Swartz, A.M. Ngram time series model to predict activity type and energy cost from wrist, hip and ankle accelerometers: Implications of age. Physiol. Meas. 2015, 36, 2335–2351. [Google Scholar] [CrossRef]
- Shephard, R.J.; Aoyagi, Y. Measurement of human energy expenditure, with particular reference to field studies: An historical perspective. Graefe’s Arch. Clin. Exp. Ophthalmol. 2011, 112, 2785–2815. [Google Scholar] [CrossRef]
- Desneves, K.J.; Panisset, M.; Rafferty, J.; Rodi, H.; Ward, L.C.; Nunn, A.; Galea, M.P. Comparison of estimated energy requirements using predictive equations with total energy expenditure measured by the doubly labelled water method in acute spinal cord injury. Spinal Cord 2019, 57, 562–570. [Google Scholar] [CrossRef]
- Schmid, M.; Riganti-Fulginei, F.; Bernabucci, I.; Laudani, A.; Bibbo, D.; Muscillo, R.; Salvini, A.; Conforto, S. SVM versus MAP on Accelerometer Data to Distinguish among Locomotor Activities Executed at Different Speeds. Comput. Math. Methods Med. 2013, 2013, 1–7. [Google Scholar] [CrossRef]
- Gyllensten, I.C.; Bonomi, A.G. Identifying Types of Physical Activity with a Single Accelerometer: Evaluating Laboratory-trained Algorithms in Daily Life. IEEE Trans. Biomed. Eng. 2011, 58, 2656–2663. [Google Scholar] [CrossRef] [PubMed]
- Ermes, M.; Pärkkä, J.; Mäntyjärvi, J.; Korhonen, I. Detection of Daily Activities and Sports with Wearable Sensors in Controlled and Uncontrolled Conditions. IEEE Trans. Inf. Technol. Biomed. 2008, 12, 20–26. [Google Scholar] [CrossRef] [PubMed]
- Lin, C.-W.; Yang, Y.-T.C.; Wang, J.-S.; Yang, Y.-C. A Wearable Sensor Module with a Neural-Network-Based Activity Classification Algorithm for Daily Energy Expenditure Estimation. IEEE Trans. Inf. Technol. Biomed. 2012, 16, 991–998. [Google Scholar] [CrossRef]
- Gjoreski, H.; Kaluža, B.; Gams, M.; Milić, R.; Luštrek, M. Context-based ensemble method for human energy expenditure estimation. Appl. Soft Comput. 2015, 37, 960–970. [Google Scholar] [CrossRef]
- Austin, P.C.; Goel, V.; Van Walraven, C. An Introduction to Multilevel Regression Models. Can. J. Public Health 2001, 92, 150–154. [Google Scholar] [CrossRef] [PubMed]
- Weinmayr, G.; Dreyhaupt, J.; Jaensch, A.; Forastiere, F.; Strachan, D.P. Multilevel regression modelling to investigate variation in disease prevalence across locations. Int. J. Epidemiol. 2016, 46, 336–347. [Google Scholar] [CrossRef]
- Campaniço, H.M.P.G. Validade simultânea do questionário Internacional de actividade física através dA medição objectiva dA actividade física POR actigrafia proporcional. Ph.D. Thesis, Universidade de Lisboa, Lisbon, Portugal, 2016. [Google Scholar]
- Buysse, D.J.; Reynolds III, C.F.; Monk, T.H.; Berman, S.R.; Kupfer, D.J. The Pittsburgh Sleep Quality Index: A new instrument for psychiatric practice and research. Psychiatry Res. 1989, 28, 193–213. [Google Scholar] [CrossRef]
- Lovibond, P.F.; Lovibond, S.H. The structure of negative emotional states: Comparison of the Depression Anxi-ety Stress Scales (DASS) with the Beck Depression and Anxiety Inventories. Behav. Res. Ther. 1995, 33, 335–343. [Google Scholar] [CrossRef]
- Sasaki, J.E.; John, D.; Freedson, P.S. Validation and comparison of ActiGraph activity monitors. J. Sci. Med. Sport 2011, 14, 411–416. [Google Scholar] [CrossRef]
- Freedson, P.S.; Melanson, E.; Sirard, J. Calibration of the Computer Science and Applications, Inc. accelerometer. Med. Sci. Sports Exerc. 1998, 30, 777–781. [Google Scholar] [CrossRef]
- Swartz, A.M.; Strath, S.J.; Bassett, D.R.; O’Brien, W.L.; King, G.A.; Ainsworth, B.E. Estimation of energy ex-penditure using CSA accelerometers at hip and wrist sites. Med. Sci. Sports Exerc. 2000, 32, S450–S456. [Google Scholar] [CrossRef]
- Crouter, S.E.; Clowers, K.G.; Bassett, D.R. A novel method for using accelerometer data to predict energy expenditure. J. Appl. Physiol. 2006, 100, 1324–1331. [Google Scholar] [CrossRef] [PubMed]
- A Ganpule, A.; Tanaka, S.; Ishikawa-Takata, K.; Tabata, I. Interindividual variability in sleeping metabolic rate in Japanese subjects. Eur. J. Clin. Nutr. 2007, 61, 1256–1261. [Google Scholar] [CrossRef] [PubMed]
- Liu, H.-Y.; Lu, Y.-F.; Chen, W.-J. Predictive Equations for Basal Metabolic Rate in Chinese Adults: A Cross-Validation Study. J. Am. Diet. Assoc. 1995, 95, 1403–1408. [Google Scholar] [CrossRef]
- Henry, C.J.; Rees, D.G. New predictive equations for the estimation of basal metabolic rate in tropical peoples. Eur. J. Clin. Nutr. 1991, 45, 177–185. [Google Scholar]
- Cunningham, J.J. A reanalysis of the factors influencing basal metabolic rate in normal adults. Am. J. Clin. Nutr. 1980, 33, 2372–2374. [Google Scholar] [CrossRef] [PubMed]
- Livingston, E.H.; Kohlstadt, I. Simplified Resting Metabolic Rate-Predicting Formulas for Normal-Sized and Obese Individuals. Obes. Res. 2005, 13, 1255–1262. [Google Scholar] [CrossRef]
- Wickham, J.B.; Mullen, N.J.; Whyte, D.G.; Cannon, J. Comparison of energy expenditure and heart rate responses between three commercial group fitness classes. J. Sci. Med. Sport 2017, 20, 667–671. [Google Scholar] [CrossRef]
- Warolin, J.; Carrico, A.R.; Whitaker, L.E.; Wang, L.; Chen, K.Y.; Acra, S.; Buchowski, M.S. Effect of BMI on Prediction of Accelerometry-Based Energy Expenditure in Youth. Med. Sci. Sports Exerc. 2012, 44, 2428–2435. [Google Scholar] [CrossRef] [PubMed]
- Müller, M.J.; Bosy-Westphal, A.; Klaus, S.; Kreymann, G.; Lührmann, P.M.; Neuhäuser-Berthold, M.; Noack, R.; Pirke, K.M.; Platte, P.; Selberg, O.; et al. World Health Organization equations have shortcomings for predicting resting energy expenditure in persons from a modern, affluent population: Generation of a new reference standard from a retrospective analysis of a German database of resting energy expenditure. Am. J. Clin. Nutr. 2004, 80, 1379–1390. [Google Scholar] [CrossRef]
- Henry, J. Basal metabolic rate studies in humans: Measurement and development of new equations. Public Health Nutr. 2005, 8, 1133–1152. [Google Scholar] [CrossRef] [PubMed]
- Kumahara, H.; Yoskioka, M.; Yoshitake, Y.; Shindo, M.; Schutz, Y.; Tanaka, H. The Difference between the Basal Metabolic Rate and the Sleeping Metabolic Rate in Japanese. J. Nutr. Sci. Vitaminol. 2004, 50, 441–445. [Google Scholar] [CrossRef]
- Brazeau, A.S.; Suppere, C.; Strychar, I.; Belisle, V.; Demers, S.P.; Rabasa-Lhoret, R. Accuracy of Energy Expendi-ture Estimation by Activity Monitors Differs with Ethnicity. Int. J. Sports Med. 2014, 35, 847–850. [Google Scholar]
- Roveda, E.; Vitale, J.A.; Bruno, E.; Montaruli, A.; Pasanisi, P.; Villarini, A.; Gargano, G.; Galasso, L.; Berrino, F.; Caumo, A.; et al. Protective Effect of Aerobic Physical Activity on Sleep Behavior in Breast Cancer Survivors. Integr. Cancer Ther. 2016, 16, 21–31. [Google Scholar] [CrossRef] [PubMed]
- Dobrosielski, D.A.; Phan, P.; Miller, P.; Bohlen, J.; Douglas-Burton, T.; Knuth, N.D. Associations between vasodilatory capacity, physical activity and sleep among younger and older adults. Graefe’s Arch. Clin. Exp. Ophthalmol. 2015, 116, 495–502. [Google Scholar] [CrossRef]
- Melanson, E.L.; Ritchie, H.K.; Dear, T.B.; Catenacci, V.; Shea, K.; Connick, E.; Moehlman, T.M.; Stothard, E.R.; Higgins, J.; McHill, A.W.; et al. Daytime bright light exposure, metabolism, and individual differences in wake and sleep energy expenditure during circadian entrainment and misalignment. Neurobiol. Sleep Circadian Rhythm 2017, 4, 49–56. [Google Scholar] [CrossRef] [PubMed]
- Wielopolski, J.; Reich, K.; Clepce, M.; Fischer, M.; Sperling, W.; Kornhuber, J.; Thuerauf, N. Physical activity and energy expenditure during depressive episodes of major depression. J. Affect. Disord. 2015, 174, 310–316. [Google Scholar] [CrossRef]
- Watanabe, E.; Okada, A.; Takeshima, N.; Inomata, K. Effects of Increasing Expenditure of Energy during Exercise on Psychological Well-Being in Older Adults. Percept. Mot. Ski. 2001, 92, 288–298. [Google Scholar] [CrossRef]
- Chang, C.-H.; Hsu, Y.-J.; Li, F.; Tu, Y.-T.; Jhang, W.-L.; Hsu, C.-W.; Huang, C.-C.; Ho, C.-S. Reliability and validity of the physical activity monitor for assessing energy expenditures in sedentary, regularly exercising, non-endurance athlete, and endurance athlete adults. PeerJ 2020, 8, e9717. [Google Scholar] [CrossRef] [PubMed]
- Spierer, D.K.; Hagins, M.; Rundle, A.; Pappas, E. A comparison of energy expenditure estimates from the Actiheart and Actical physical activity monitors during low intensity activities, walking, and jogging. Graefe’s Arch. Clin. Exp. Ophthalmol. 2010, 111, 659–667. [Google Scholar] [CrossRef]
- Duncan, G.E.; Lester, J.; Migotsky, S.; Goh, J.; Higgins, L.; Borriello, G. Accuracy of a novel multi-sensor board for measuring physical activity and energy expenditure. Graefe’s Arch. Clin. Exp. Ophthalmol. 2011, 111, 2025–2032. [Google Scholar] [CrossRef] [PubMed]
- Kendall, B.; Bellovary, B.; Gothe, N.P. Validity of wearable activity monitors for tracking steps and estimating energy expenditure during a graded maximal treadmill test. J. Sports Sci. 2018, 37, 42–49. [Google Scholar] [CrossRef] [PubMed]
- Cheung, M. Implementing Restricted Maximum Likelihood Estimation in Structural Equation Models. Struct. Equ. Model. A Multidiscip. J. 2013, 20, 157–167. [Google Scholar] [CrossRef]
- Fávero, L.P.; Belfiore, P.; Silva, F.d.; Chan, B.L. Análise de Dados: Modelagem Multivariada para Tomada de Decisões; Elsevier: Rio De Janeiro, Brazil, 2009. [Google Scholar]
- Freedson, P.S.; Lyden, K.; Keadle, S.; Staudenmayer, J. Evaluation of artificial neural network algorithms for predicting METs and activity type from accelerometer data: Validation on an independent sample. J. Appl. Physiol. 2011, 111, 1804–1812. [Google Scholar] [CrossRef] [PubMed]
- Kang, J.I.E.; Robertson, R.J.; Goss, F.L.; Dasilva, S.G.; Suminski, R.R.; Utter, A.C.; Zoeller, R.F.; Metz, K.F. Metabolic efficiency during arm and leg exercise at the same relative intensities. Med. Sci. Sports Exerc. 1997, 29, 377–382. [Google Scholar] [CrossRef]
- Weber, C.L.; Chia, M.; Inbar, O. Gender Differences in Anaerobic Power of the Arms and Legs—A Scaling Issue. Med. Sci. Sports Exerc. 2006, 38, 129–137. [Google Scholar] [CrossRef] [PubMed]
- Bland, J.M.; Altman, D.G. Measuring agreement in method comparison studies. Stat. Methods Med Res. 1999, 8, 135–160. [Google Scholar] [CrossRef]
- Fasching, P.; Rinnerhofer, S.; Wultsch, G.; Birnbaumer, P.; Hofmann, P. The First Lactate Threshold Is a Limit for Heavy Occupational Work. J. Funct. Morphol. Kinesiol. 2020, 5, 66. [Google Scholar] [CrossRef]
- Villars, C.; Bergouignan, A.; Dugas, J.; Antoun, E.; Schoeller, D.A.; Roth, H.; Maingon, A.C.; Lefai, E.; Blanc, S.; Simon, C. Validity of combining heart rate and uniaxial acceleration to measure free-living physical activity energy expenditure in young men. J. Appl. Physiol. 2012, 113, 1763–1771. [Google Scholar] [CrossRef]
- Hay, D.C.; Wakayama, A.; Sakamura, K.; Fukashiro, S. Improved estimation of energy expenditure by artificial neural network modeling. Appl. Physiol. Nutr. Metab. 2008, 33, 1213–1222. [Google Scholar] [CrossRef] [PubMed]
- Molina-Luque, R.; Carrasco-Marín, F.; Márquez-Urrizola, C.; Ulloa, N.; Romero-Saldaña, M.; Molina-Recio, G. Accuracy of the Resting Energy Expenditure Estimation Equations for Healthy Women. Nutrients 2021, 13, 345. [Google Scholar] [CrossRef]
- Hall, K.D.; Guo, J.; Chen, K.Y.; Leibel, R.L.; Reitman, M.L.; Rosenbaum, M.; Smith, S.R.; Ravussin, E. Methodologic considerations for measuring energy expenditure differences between diets varying in carbohydrate using the doubly labeled water method. Am. J. Clin. Nutr. 2019, 109, 1328–1334. [Google Scholar] [CrossRef]
- Westerterp, K.R. Exercise, energy balance and body composition. Eur. J. Clin. Nutr. 2018, 72, 1246–1250. [Google Scholar] [CrossRef] [PubMed]
- Moonen, H.P.F.X.; Beckers, K.J.H.; van Zanten, A.R.H. Energy expenditure and indirect calorimetry in critical illness and convalescence: Current evidence and practical considerations. J. Intensiv. Care 2021, 9, 1–13. [Google Scholar] [CrossRef] [PubMed]
- Roskoden, F.C.; Krüger, J.; Vogt, L.J.; Gärtner, S.; Hannich, H.J.; Steveling, A.; Lerch, M.M.; Aghdassi, A.A. Physical Activity, Energy Expenditure, Nutritional Habits, Quality of Sleep and Stress Levels in Shift-Working Health Care Personnel. PLoS ONE 2017, 12, e0169983. [Google Scholar] [CrossRef]


| Variables | Total (n = 50) | Males (n = 25) | Females (n = 25) | |||
|---|---|---|---|---|---|---|
| Mean | SD | Mean | SD | Mean | SD | |
| Age (years) | 29.84 | 5.12 | 30.40 | 5.74 | 29.28 | 4.46 |
| Height (cm) | 170.20 | 9.54 | 176.16 | 8.32 | 164.24 | 6.55 |
| Weight (kg) | 69.29 | 14.06 | 77.98 | 13.15 | 60.60 | 8.58 |
| FFM (kg) | 52.34 | 12.65 | 61.68 | 10.71 | 43.00 | 5.51 |
| FM (kg) | 16.54 | 5.59 | 15.96 | 6.31 | 17.12 | 4.84 |
| Activity Sequence | Description | Duration (min) | Type of Activity |
|---|---|---|---|
| 1 | Lying | 10 | Basal |
| 2 | Sitting, doing computer work | 5 | Basal |
| 3 | Standing, playing with cards | 5 | Multitask |
| 4 | Standing, moving up and down a 2 kg load, metronome: 40 bits/min | 5 | Multitask |
| 5 | Sitting, watching a video | 5 | Basal |
| 6 | Sweeping | 5 | Multitask |
| 7 | Sitting–standing 10 times | Free | Multitask |
| 8 | Sitting, watching a video | 5 | Basal |
| 9 | Moving plastic boxes with a 5 kg load | 5 | Multitask |
| 10 | Moving plastic boxes with a 10 kg load | 5 | Multitask |
| 11 | Sitting, watching a video | 5 | Basal |
| 12 | Slow walking (from the lab to the stairs) | Free | Displacement |
| 13 | Stairs (go down and up four floors) | Free | Displacement |
| 14 | Slow walking (from the stairs to the lab) | Free | Displacement |
| 15 | Sitting | 5 | Basal |
| Level | Parameters | Including Physical Activity Level | Excluding Physical Activity Level | ||
|---|---|---|---|---|---|
| Explained Variance | Relative Values | Explained Variance | Relative Values | ||
| Participants | Intercept | 0.2439 | 29.86% | 0.2660 | 31.70% |
| Activities | Intercept | 0.2706 | 33.12% | 0.2707 | 32.26% |
| Residual | - | 0.3024 | 37.01% | 0.3024 | 36.04% |
| Total | 0.8169 | 100.00% | 0.8391 | 100.00% | |
| Variable | Including Physical Activity Level | Excluding Physical Activity Level | ||
|---|---|---|---|---|
| Estimated Effect | p-Value | Estimated Effect | p-Value | |
| Intercept | −3.17 | <0.001 | −2.999 | <0.001 |
| Heart rate (x1) | 0.04944 | <0.001 | 0.04942 | <0.001 |
| Wrist counts per minute (x2) | 0.0000473 | <0.001 | 0.00004736 | <0.001 |
| Ankle counts per minute (x3) | 0.000213 | <0.001 | 0.0002129 | <0.001 |
| Weight’s quadratic term (x4²) | 0.000193 | <0.001 | 0.0001927 | <0.001 |
| Physical activity level (x5) | 0.0000351 | 0.0267 | − | − |
| Female sex: Wrist counts per minute (x2F1) | −0.000046 | <0.001 | −0.0000458 | <0.001 |
| Female sex: Ankle counts per minute (x3F1) | −0.000119 | <0.001 | −0.0001191 | <0.001 |
| Measure | Excluding Physical Activity Level Variable | Including Physical Activity Level Variable |
|---|---|---|
| R2 | 0.8325592 | 0.8324836 |
| Bias | −0.0329973 | −0.03372094 |
| MAE | 0.4397435 | 0.4397387 |
| RMSE | 0.613014 | 0.6131523 |
| Standard Deviation | 0.6130721 | 0.6131713 |
| Energy Expenditure Assessment Method | Bias Standard Error [kcal] | Pearson Correlation Coefficient (r) | Standard Deviation [kcal] |
|---|---|---|---|
| (a) Hierarchical mixed-regression model excluding “physical activity level” | −0.0330 | 0.9129 | 0.6131 |
| (b) Hierarchical mixed-regression model including “physical activity level” | −0.03372 | 0.9128 | 0.6132 |
| (c) Swartz equation | 1.0038 | 0.7948 | 0.9157 |
| (d) Freedson VM3 combination equation | −1.6882 | 0.7779 | 0.9528 |
| (e) Heart rate estimation | 0.5956 | 0.7812 | 1.2278 |
Publisher’s Note: MDPI stays neutral with regard to jurisdictional claims in published maps and institutional affiliations. |
© 2021 by the authors. Licensee MDPI, Basel, Switzerland. This article is an open access article distributed under the terms and conditions of the Creative Commons Attribution (CC BY) license (https://creativecommons.org/licenses/by/4.0/).
Share and Cite
Lucena, A.; Guedes, J.; Vaz, M.; Silva, L.; Bustos, D.; Souza, E. Modeling Energy Expenditure Estimation in Occupational Context by Actigraphy: A Multi Regression Mixed-Effects Model. Int. J. Environ. Res. Public Health 2021, 18, 10419. https://doi.org/10.3390/ijerph181910419
Lucena A, Guedes J, Vaz M, Silva L, Bustos D, Souza E. Modeling Energy Expenditure Estimation in Occupational Context by Actigraphy: A Multi Regression Mixed-Effects Model. International Journal of Environmental Research and Public Health. 2021; 18(19):10419. https://doi.org/10.3390/ijerph181910419
Chicago/Turabian StyleLucena, André, Joana Guedes, Mário Vaz, Luiz Silva, Denisse Bustos, and Erivaldo Souza. 2021. "Modeling Energy Expenditure Estimation in Occupational Context by Actigraphy: A Multi Regression Mixed-Effects Model" International Journal of Environmental Research and Public Health 18, no. 19: 10419. https://doi.org/10.3390/ijerph181910419
APA StyleLucena, A., Guedes, J., Vaz, M., Silva, L., Bustos, D., & Souza, E. (2021). Modeling Energy Expenditure Estimation in Occupational Context by Actigraphy: A Multi Regression Mixed-Effects Model. International Journal of Environmental Research and Public Health, 18(19), 10419. https://doi.org/10.3390/ijerph181910419

