Influence of Wind Speed on CO2 and CH4 Concentrations at a Rural Site
Abstract
1. Introduction
2. Materials and Methods
2.1. CO2 and CH4 Observations
2.2. Wind Speed
2.3. Theoretical Distributions and Distribution Fitting
2.4. Daily and Annual Cycles
3. Results
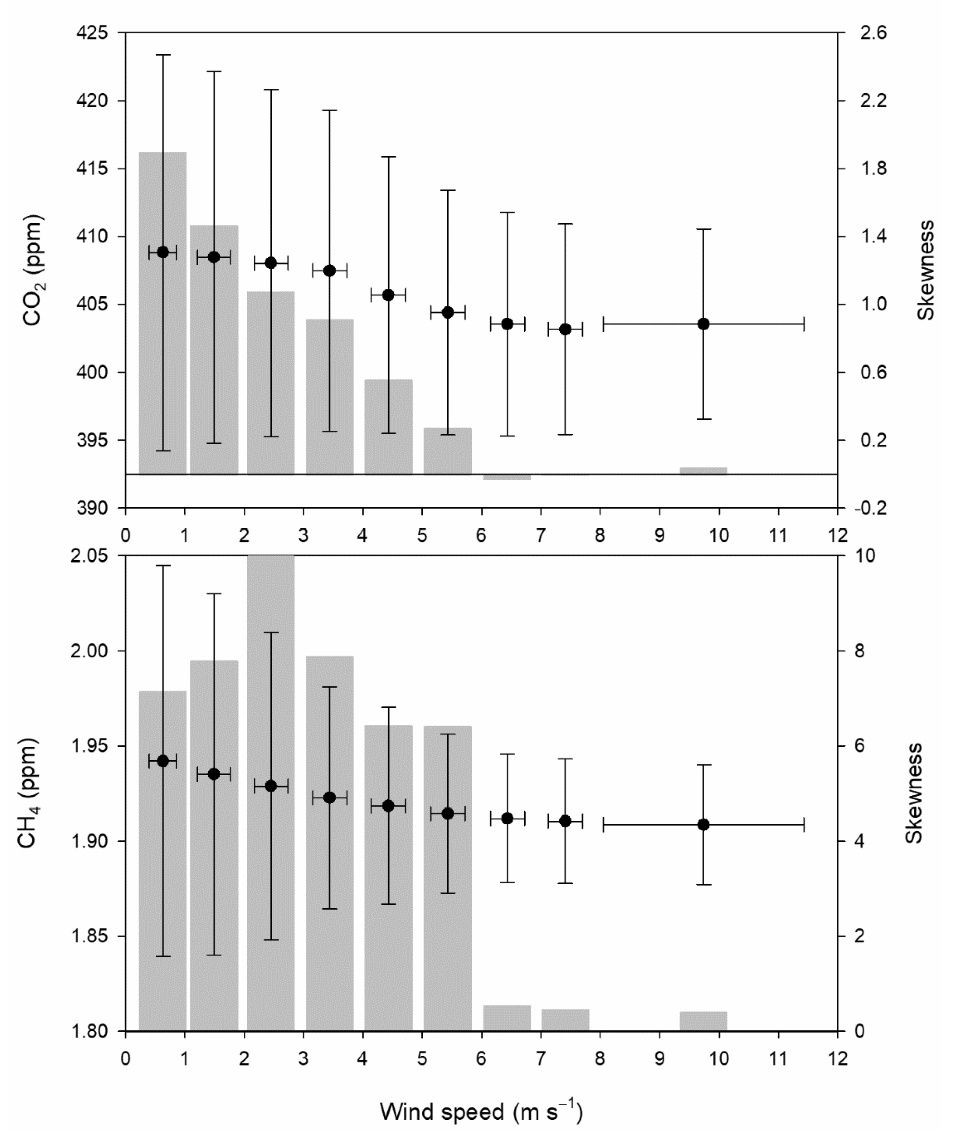
3.1. Wind Speed and Concentration Distributions
3.2. Daily and Annual Cycles
4. Discussion
4.1. Wind Speed
4.2. Distribution Fitting
4.3. Fitting of Daily and Annual Cycles
5. Conclusions
Author Contributions
Funding
Institutional Review Board Statement
Informed Consent Statement
Data Availability Statement
Conflicts of Interest
References
- European Environment Agency. Household Energy Consumption. Available online: https://www.eea.europa.eu/airs/2018/resource-efficiency-and-low-carbon-economy/household-energy-consumption (accessed on 28 July 2021).
- Dong, Z.; Wang, S.; Xing, J.; Chang, X.; Ding, D.; Zheng, H. Regional transport in Beijing-Tianjin-Hebei region and its changes during 2014–2017: The impacts of meteorology and emission reduction. Sci. Total Environ. 2020, 737, 139792. [Google Scholar] [CrossRef]
- Mousavinezhad, S.; Choi, Y.; Pouyaei, A.; Ghahremanloo, M.; Nelson, D.L. A comprehensive investigation of surface ozone pollution in China, 2015–2019: Separating the contributions from meteorology and precursor emissions. Atmos. Res. 2021, 257, 105599. [Google Scholar] [CrossRef]
- Li, Y.; Miao, Y.; Che, H.; Liu, S. On the heavy aerosol pollution and its meteorological dependence in Shandong province, China. Atmos. Res. 2021, 256, 105572. [Google Scholar] [CrossRef]
- Liu, Y.; Zhou, Y.; Lu, J. Exploring the relationship between air pollution and meteorological conditions in China under environmental governance. Sci. Rep. 2020, 10, 14518. [Google Scholar] [CrossRef]
- Miao, Y.; Che, H.; Zhang, X.; Liu, S. Relationship between summertime concurring PM2.5 and O3 pollution and boundary layer height differs between Beijing and Shanghai, China. Environ. Pollut. 2021, 268, 115775. [Google Scholar] [CrossRef]
- Yoshino, A.; Takami, A.; Hara, K.; Nishita-Hara, C.; Hayashi, M.; Kaneyasu, N. Contribution of local and transboundary air pollution to the urban air quality of Fukuoka, Japan. Atmosphere 2021, 12, 431. [Google Scholar] [CrossRef]
- Liu, Z.; Shen, L.; Yan, C.; Du, J.; Li, Y.; Zhao, H. Analysis of the influence of precipitation and wind on PM2.5 and PM10 in the atmosphere. Adv. Meteorol. 2020, 2020, 5039613. [Google Scholar] [CrossRef]
- Massen, F.; Beck, E.G. Accurate estimation of CO2 background level from near ground measurements at non-mixed environments. In The Economic, Social and Political Elements of Climate Change. Climate Change Management; Leal Filho, W., Ed.; Springer: Berlin/Heidelberg, Germany, 2011; pp. 509–522. [Google Scholar] [CrossRef]
- García, M.A.; Sánchez, M.L.; Pérez, I.A. Differences between carbon dioxide levels over suburban and rural sites in Northern Spain. Environ. Sci. Pollut. Res. 2012, 19, 432–439. [Google Scholar] [CrossRef]
- Wilks, S. Statistical Methods in the Atmospheric Sciences, 4th ed.; Elsevier: Amsterdam, The Netherlands, 2019; p. 840. [Google Scholar]
- Solovyova, T.V.; Nasimi, M.H.; Tertischnikov, I.V. On the pollution of the atmosphere of the city of Kabul with fine dust. IOP Conf. Ser. Earth Environ. Sci. 2019, 272, 022148. [Google Scholar] [CrossRef]
- Zhang, K.; Zhao, C.; Fan, H.; Yang, Y.; Sun, Y. Toward understanding the differences of PM2.5 characteristics among five China urban cities. Asia-Pac. J. Atmos. Sci. 2020, 56, 493–502. [Google Scholar] [CrossRef]
- El Genidy, M.M.; Ali, A.K. Modeling the amount of pollutants ozone using moments method and generalized extreme value distribution. Asian J. Sci. Res. 2016, 9, 143–151. [Google Scholar] [CrossRef][Green Version]
- Mokhtar, M.I.Z.; Ghazali, N.A.; Nasir, M.Y.; Suhaimi, N. Modelling distribution function of surface ozone concentration for selected suburban areas in Malaysia. Malays. J. Anal. Sci. 2016, 20, 863–869. [Google Scholar] [CrossRef]
- Nasir, M.Y.; Ghazali, N.A.; Mokhtar, M.I.Z.; Suhaimi, N. Fitting statistical distributions functions on ozone concentration data at coastal areas. Malays. J. Anal. Sci. 2016, 20, 551–559. [Google Scholar] [CrossRef]
- Pérez, I.A.; Sánchez, M.L.; García, M.A.; Pardo, N. Carbon dioxide at an unpolluted site analysed with the smoothing kernel method and skewed distributions. Sci. Total Environ. 2013, 456, 239–245. [Google Scholar] [CrossRef]
- Pérez, I.A.; Sánchez, M.L.; García, M.A.; Pardo, N. Daily patterns of CO2 in the lower atmosphere of a rural site. Theor. Appl. Climatol. 2015, 122, 195–205. [Google Scholar] [CrossRef]
- Pérez, I.A.; Sánchez, M.L.; García, M.A.; Pardo, N.; Fernández-Duque, B. Statistical analysis of the CO2 and CH4 annual cycle on the northern plateau of the Iberian Peninsula. Atmosphere 2020, 11, 769. [Google Scholar] [CrossRef]
- Zeng, J.; Matsunaga, T.; Mukai, H. METEX-A flexible tool for air trajectory calculation. Environ. Modell. Softw. 2010, 25, 607–608. [Google Scholar] [CrossRef]
- Ghitany, M.E.; Atieh, B.; Nadarajah, S. Lindley distribution and its application. Math. Comput. Simul. 2008, 78, 493–506. [Google Scholar] [CrossRef]
- Bury, K. Statistical Distributions in Engineering; Cambridge University Press: Cambridge, UK, 1999; pp. 294–310. [Google Scholar]
- Akdaǧ, S.A.; Dinler, A. A new method to estimate Weibull parameters for wind energy applications. Energy Conv. Manag. 2009, 50, 1761–1766. [Google Scholar] [CrossRef]
- Krause, P.; Boyle, D.P.; Bäse, F. Comparison of different efficiency criteria for hydrological model assessment. Adv. Geosci. 2005, 5, 89–97. [Google Scholar] [CrossRef]
- Eurostat. Regions in Europe. Available online: https://ec.europa.eu/eurostat/cache/digpub/regions/ (accessed on 28 July 2021).
- Duarte, R.; Mainar, A.; Sánchez-Chóliz, J. Social groups and CO2 emissions in Spanish households. Energy Policy 2012, 44, 441–450. [Google Scholar] [CrossRef]
- Zhang, W.; Jiang, L.; Cui, Y.; Xu, Y.; Wang, C.; Yu, J.; Streets, D.G.; Lin, B. Effects of urbanization on airport CO2 emissions: A geographically weighted approach using nighttime light data in China. Resour. Conserv. Recycl. 2019, 150, 104454. [Google Scholar] [CrossRef]
- Eurostat. Population Grids. Available online: https://ec.europa.eu/eurostat/statistics-explained/index.php?title=Population_grids#Grid_statistics (accessed on 28 July 2021).
- Zhang, W.; Wang, C.; Zhang, L.; Xu, Y.; Cui, Y.; Lu, Z.; Streets, D.G. Evaluation of the performance of distributed and centralized biomass technologies in rural China. Renew. Energy 2018, 125, 445–455. [Google Scholar] [CrossRef]
- Pérez, I.A.; García, M.A.; Sánchez, M.L.; de Torre, B. Analysis of height variations of sodar-derived wind speeds in Northern Spain. J. Wind Eng. Ind. Aerodyn. 2004, 92, 875–894. [Google Scholar] [CrossRef]
- Al-Bayati, R.M.; Adeeb, H.Q.; Al-Salihi, A.M.; Al-Timimi, Y.K. The relationship between the concentration of carbon dioxide and wind using GIS. AIP Conf. Proc. 2020, 2290, 0027402. [Google Scholar] [CrossRef]
- Dimitriou, K.; Bougiatioti, A.; Ramonet, M.; Pierros, F.; Michalopoulos, P.; Liakakou, E.; Solomos, S.; Quehe, P.Y.; Delmotte, M.; Gerasopoulos, E.; et al. Greenhouse gases (CO2 and CH4) at an urban background site in Athens, Greece: Levels, sources and impact of atmospheric circulation. Atmos. Environ. 2021, 253, 118372. [Google Scholar] [CrossRef]
- Duan, Z.; Yang, Y.; Wang, L.; Liu, C.; Fan, S.; Chen, C.; Tong, Y.; Lin, X.; Gao, Z. Temporal characteristics of carbon dioxide and ozone over a rural-cropland area in the Yangtze River Delta of eastern China. Sci. Total Environ. 2021, 757, 143750. [Google Scholar] [CrossRef]
- Pathakoti, M.; Gaddamidi, S.; Gharai, B.; Sudhakaran Syamala, P.; Rao, P.V.N.; Choudhury, S.B.; Raghavendra, K.V.; Dadhwal, V.K. Influence of meteorological parameters on atmospheric CO2 at Bharati, the Indian Antarctic research station. Polar Res. 2018, 37, 1442072. [Google Scholar] [CrossRef]
- Mai, B.; Deng, X.; Liu, X.; Li, T.; Guo, J.; Ma, Q. The climatology of ambient CO2 concentrations from long-term observation in the Pearl River Delta region of China: Roles of anthropogenic and biogenic processes. Atmos. Environ. 2021, 251, 118266. [Google Scholar] [CrossRef]
- Wei, C.; Wang, M.; Fu, Q.; Dai, C.; Huang, R.; Bao, Q. Temporal characteristics of greenhouse gases (CO2 and CH4) in the megacity Shanghai, China: Association with air pollutants and meteorological conditions. Atmos. Res. 2020, 235, 104759. [Google Scholar] [CrossRef]
- Pérez, I.A.; Sánchez, M.L.; García, M.A.; Ozores, M.; Pardo, N. Analysis of carbon dioxide concentration skewness at a rural site. Sci. Total Environ. 2014, 476, 158–164. [Google Scholar] [CrossRef]
- Pérez, I.A.; Sánchez, M.L.; García, M.A.; Pardo, N. Analysis and fit of surface CO2 concentrations at a rural site. Environ. Sci. Pollut. Res. 2012, 19, 3015–3027. [Google Scholar] [CrossRef] [PubMed]
- Pérez, I.A.; Sánchez, M.L.; García, M.A.; Pardo, N. Analysis of CO2 daily cycle in the low atmosphere at a rural site. Sci. Total Environ. 2012, 431, 286–292. [Google Scholar] [CrossRef]
- Zhou, J.; Erdem, E.; Li, G.; Shi, J. Comprehensive evaluation of wind speed distribution models: A case study for North Dakota sites. Energy Conv. Manag. 2010, 51, 1449–1458. [Google Scholar] [CrossRef]
- Liu, M.; Wu, J.; Zhu, X.; He, H.; Jia, W.; Xiang, W. Evolution and variation of atmospheric carbon dioxide concentration over terrestrial ecosystems as derived from eddy covariance measurements. Atmos. Environ. 2015, 114, 75–82. [Google Scholar] [CrossRef]
- Fang, S.X.; Tans, P.P.; Dong, F.; Zhou, H.; Luan, T. Characteristics of atmospheric CO2 and CH4 at the Shangdianzi regional background station in China. Atmos. Environ. 2016, 131, 1–8. [Google Scholar] [CrossRef]
- Vermeulen, A.T.; Hensen, A.; Popa, M.E.; Van Den Bulk, W.C.M.; Jongejan, P.A.C. Greenhouse gas observations from Cabauw Tall Tower (1992–2010). Atmos. Meas. Tech. 2011, 4, 617–644. [Google Scholar] [CrossRef]
- Curcoll, R.; Camarero, L.; Bacardit, M.; Àgueda, A.; Grossi, C.; Gacia, E.; Font, A.; Morguí, J.A. Atmospheric Carbon Dioxide variability at Aigüestortes, Central Pyrenees, Spain. Reg. Environ. Chang. 2019, 19, 313–324. [Google Scholar] [CrossRef]
- Ferrarese, S.; Apadula, F.; Bertiglia, F.; Cassardo, C.; Ferrero, A.; Fialdini, L.; Francone, C.; Heltai, D.; Lanza, A.; Longhetto, A.; et al. Inspection of high–concentration CO2 events at the Plateau Rosa Alpine station. Atmos. Pollut. Res. 2015, 6, 415–427. [Google Scholar] [CrossRef]
- Ghasemifard, H.; Vogel, F.R.; Yuan, Y.; Luepke, M.; Chen, J.; Ries, L.; Leuchner, M.; Schunk, C.; Vardag, S.N.; Menzel, A. Pollution events at the high-altitude mountain site Zugspitze-Schneefernerhaus (2670 m a.s.l.), Germany. Atmosphere 2019, 10, 330. [Google Scholar] [CrossRef]
- Zhang, F.; Zhou, L.X.; Xu, L. Temporal variation of atmospheric CH4 and the potential source regions at Waliguan, China. Sci. China-Earth Sci. 2013, 56, 727–736. [Google Scholar] [CrossRef]
- Pu, J.J.; Xu, H.H.; He, J.; Fang, S.X.; Zhou, L.X. Estimation of regional background concentration of CO2 at Lin’an Station in Yangtze River Delta, China. Atmos. Environ. 2014, 94, 402–408. [Google Scholar] [CrossRef]
- Uglietti, C.; Leuenberger, M.; Brunner, D. European source and sink areas of CO2 retrieved from Lagrangian transport model interpretation of combined O2 and CO2 measurements at the high alpine research station Jungfraujoch. Atmos. Chem. Phys. 2011, 11, 8017–8036. [Google Scholar] [CrossRef]
- Pérez, I.A.; Sánchez, M.L.; García, M.A.; Pardo, N. Features of the annual evolution of CO2 and CH4 in the atmosphere of a Mediterranean climate site studied using a nonparametric and a harmonic function. Atmos. Pollut. Res. 2016, 7, 1013–1021. [Google Scholar] [CrossRef][Green Version]
- Fernández-Duque, B.; Pérez, I.A.; García, M.A.; Pardo, N.; Sánchez, M.L. Annual and seasonal cycles of CO2 and CH4 in a Mediterranean Spanish environment using different kernel functions. Stoch. Environ. Res. Risk Assess. 2019, 33, 915–930. [Google Scholar] [CrossRef]
- Pérez, I.A.; Sánchez, M.L.; García, M.A.; Pardo, N. Sensitivity of CO2 and CH4 annual cycles to different meteorological variables at a rural site in northern Spain. Adv. Meteorol. 2019, 2019, 9240568. [Google Scholar] [CrossRef]







| Distribution | Probability Density Function | Parameter Calculation |
|---|---|---|
| Beta [11] | ||
| Exponential [21] | ||
| Frechet [22] | ||
| Gamma [11] | ||
| Gumbel [11] | ||
| Lindley [21] | ||
| Weibull [23] |
| Name | Equation |
|---|---|
| Pearson correlation coefficient | |
| Willmott index of agreement | |
| Modified index of agreement | |
| Nash–Sutcliffe efficiency | |
| Modified Nash–Sutcliffe efficiency |
| CO2 | CH4 | |||
|---|---|---|---|---|
| Cylindrical | Kernel | Cylindrical | Kernel | |
| r | 0.984 | 0.996 | 0.974 | 0.988 |
| d | 0.992 | 0.997 | 0.987 | 0.993 |
| dmod | 0.923 | 0.957 | 0.901 | 0.930 |
| E | 0.969 | 0.989 | 0.950 | 0.974 |
| Emod | 0.847 | 0.916 | 0.803 | 0.864 |
| CO2 | CH4 | |||
|---|---|---|---|---|
| Cylindrical | Kernel | Cylindrical | Kernel | |
| r | 0.923 | 0.990 | 0.890 | 0.984 |
| d | 0.944 | 0.982 | 0.919 | 0.980 |
| dmod | 0.814 | 0.915 | 0.802 | 0.919 |
| E | 0.828 | 0.940 | 0.774 | 0.937 |
| Emod | 0.646 | 0.840 | 0.630 | 0.848 |
Publisher’s Note: MDPI stays neutral with regard to jurisdictional claims in published maps and institutional affiliations. |
© 2021 by the authors. Licensee MDPI, Basel, Switzerland. This article is an open access article distributed under the terms and conditions of the Creative Commons Attribution (CC BY) license (https://creativecommons.org/licenses/by/4.0/).
Share and Cite
Pérez, I.A.; García, M.d.l.Á.; Sánchez, M.L.; Pardo, N. Influence of Wind Speed on CO2 and CH4 Concentrations at a Rural Site. Int. J. Environ. Res. Public Health 2021, 18, 8397. https://doi.org/10.3390/ijerph18168397
Pérez IA, García MdlÁ, Sánchez ML, Pardo N. Influence of Wind Speed on CO2 and CH4 Concentrations at a Rural Site. International Journal of Environmental Research and Public Health. 2021; 18(16):8397. https://doi.org/10.3390/ijerph18168397
Chicago/Turabian StylePérez, Isidro A., María de los Ángeles García, María Luisa Sánchez, and Nuria Pardo. 2021. "Influence of Wind Speed on CO2 and CH4 Concentrations at a Rural Site" International Journal of Environmental Research and Public Health 18, no. 16: 8397. https://doi.org/10.3390/ijerph18168397
APA StylePérez, I. A., García, M. d. l. Á., Sánchez, M. L., & Pardo, N. (2021). Influence of Wind Speed on CO2 and CH4 Concentrations at a Rural Site. International Journal of Environmental Research and Public Health, 18(16), 8397. https://doi.org/10.3390/ijerph18168397

