How Loneliness Worked on Suicidal Ideation among Chinese Nursing Home Residents: Roles of Depressive Symptoms and Resilience
Abstract
1. Introduction
2. Materials and Methods
2.1. Study Design
2.2. Setting and Participants
2.3. Covariates
2.4. Measures
2.4.1. Comorbidities
2.4.2. Cognitive Function
2.4.3. Loneliness
2.4.4. Depressive Symptoms
2.4.5. Resilience
2.4.6. Suicidal Ideation (SI)
2.5. Data Collection and Control
2.6. Statistical Analysis
3. Results
3.1. Basic Characteristics of Participants with or without Suicidal Ideation
3.2. Bivariate Correlations between Main Variables
3.3. Mediation Effect of Depressive Symptoms
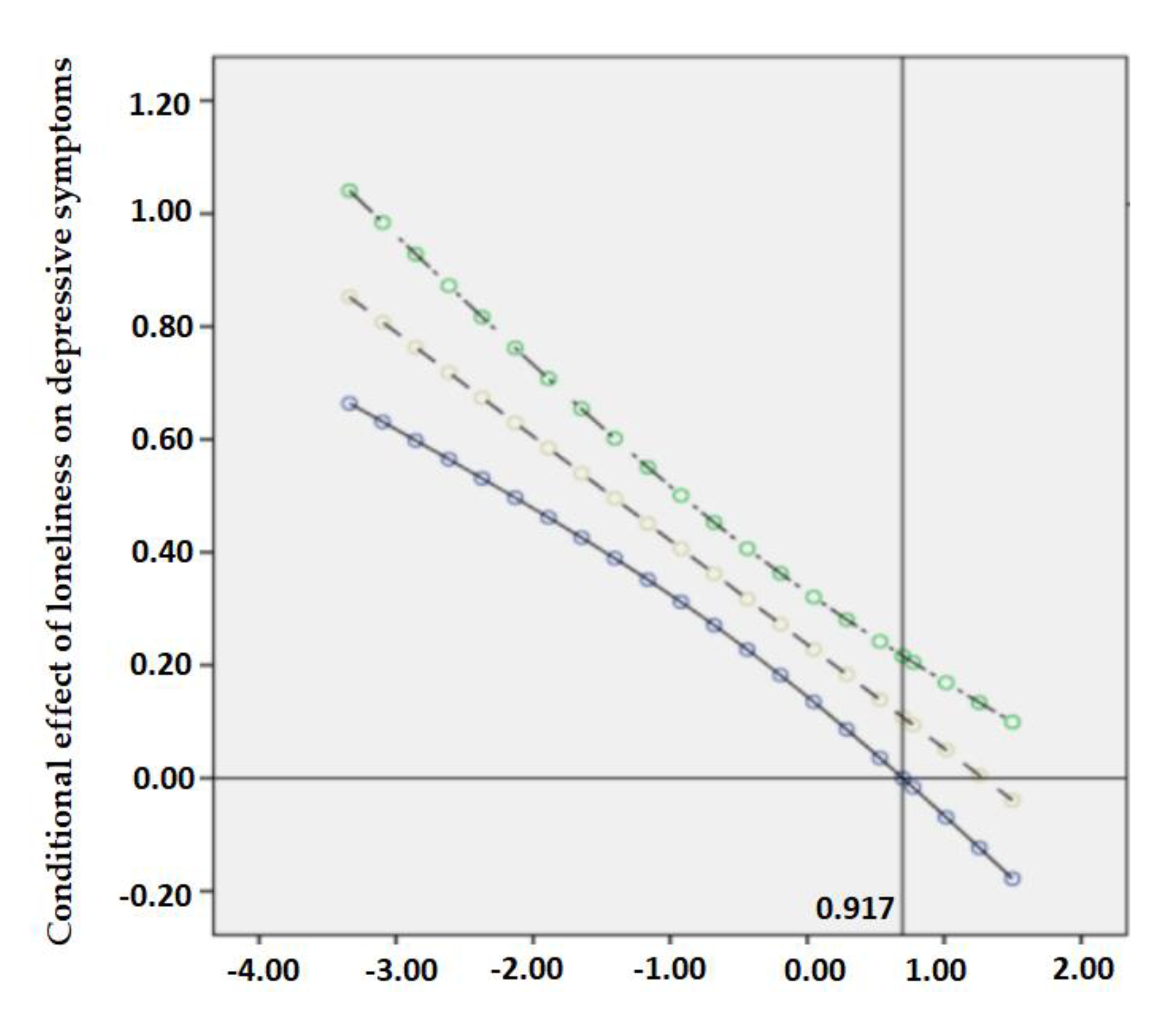
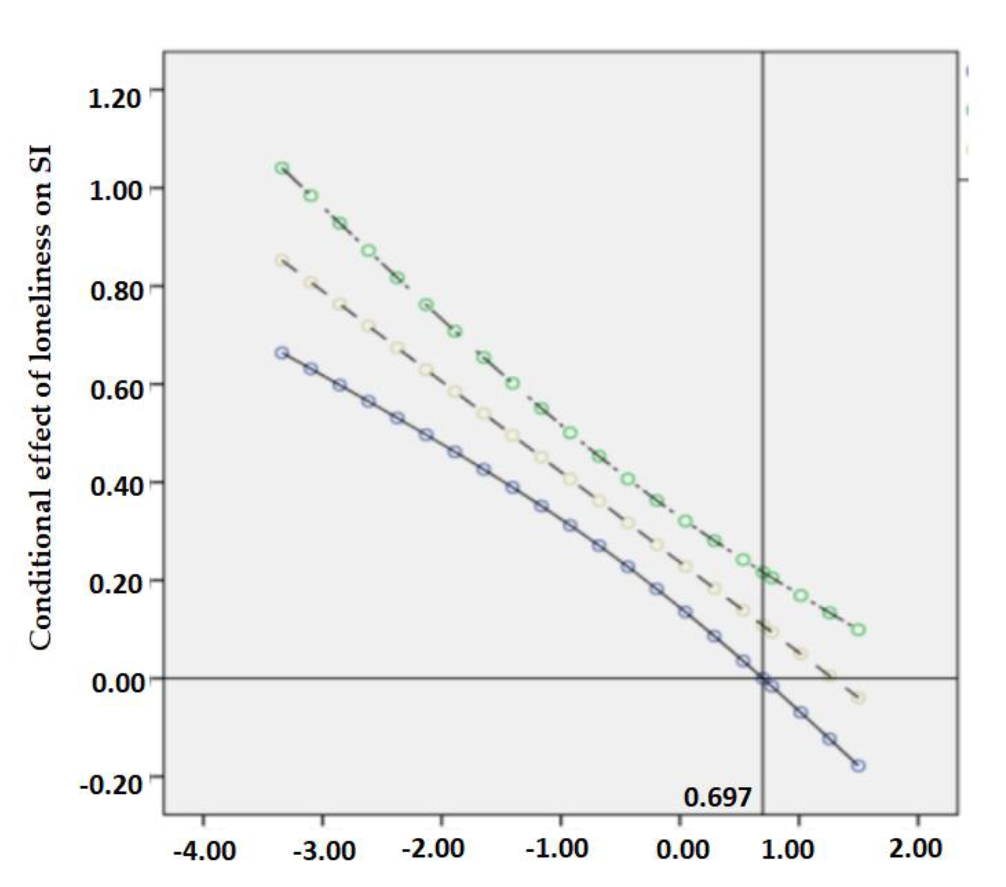
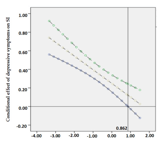
3.4. Moderated Mediation Effect of Resilience
4. Discussion
5. Conclusions
Limitation
Author Contributions
Funding
Institutional Review Board Statement
Informed Consent Statement
Data Availability Statement
Acknowledgments
Conflicts of Interest
References
- Holm, A.L.; Salemonsen, E.; Severinsson, E. Suicide prevention strategies for older persons—An integrative review of empirical and theoretical papers. Nurs. Open 2021. [Google Scholar] [CrossRef]
- World Health Organization. Preventing Suicide: A Global Imperative; World Health Organization: Geneva, Switzerland, 2014. [Google Scholar]
- Chiu, H.F.K.; Dai, J.; Xiang, Y.T.; Chan, S.S.M.; Leung, T.; Yu, X.; Hou, Z.J.; Ungvari, G.S.; Caine, E.D. Suicidal thoughts and behaviors in older adults in rural China: A preliminary study. Int. J. Geriatr. Psychiatry 2012, 27, 1124–1130. [Google Scholar] [CrossRef]
- China Development Research Foundation. Chinese Development Report 2020. Available online: https://www.cdrf.org.cn (accessed on 11 June 2020).
- Zhao, J.; Yin, H.; Wang, X.; Zhang, G.; Jia, Y.; Shang, B.; Zhao, J.; Wang, C.; Chen, L. Effect of humour intervention programme on depression, anxiety, subjective well-being, cognitive function and sleep quality in Chinese nursing home residents. J. Adv. Nurs. 2020, 76, 2709–2718. [Google Scholar] [CrossRef]
- Lan, X.; Xiao, H.; Chen, Y. Psychosocial reactions to relocation to a nursing home among Chinese older adults. Arch. Gerontol. Geriatr. 2020, 91, 104230. [Google Scholar] [CrossRef]
- Tinker, A.; Liu, L.F. Factors associated with nursing home entry for older people in Taiwan, Republic of China. J. Interprofessional Care 2001, 15, 245–255. [Google Scholar] [CrossRef] [PubMed]
- Jain, B.; Kennedy, B.; Bugeja, L.C.; Ibrahim, J.E. Suicide among nursing home residents: Development of recommendations for prevention using a nominal group technique. J. Aging Soc. Policy. 2019, 32, 157–171. [Google Scholar] [CrossRef]
- Murphy, B.J.; Bugeja, L.; Pilgrim, J.; Ibrahim, J.E. Completed suicide among nursing home residents: A systematic review. Int. J. Geriatr. Psychiatry 2015, 30, 802–814. [Google Scholar] [CrossRef]
- Beck, A.; Steer, R. Manual for the Beck Scale for Suicide Ideation; Psychological Corporation: San Antonio, TX, USA, 1991. [Google Scholar]
- Chan, L.F.; Shamsul, A.S.; Maniam, T. Are predictors of future suicide attempts and the transition from suicidal ideation to suicide attempts shared or distinct: A 12-month prospective study among patients with depressive disorders. Psychiatry Res. 2014, 220, 867–873. [Google Scholar] [CrossRef]
- Joiner, T.E.; Van Orden, K.A.; Witte, T.K.; Selby, E.A.; Ribeiro, J.D.; Lewis, R. Main predictions of the interpersonal-psychological theory of suicidal behavior: Empirical tests in two samples of young adults. J. Abnorm. Psychol. 2009, 118, 634–646. [Google Scholar] [CrossRef]
- Barzilay, R.; Moore, T.M.; Calkins, M.E.; Maliackel, L.; Jones, J.D.; Boyd, R.C.; Warrier, V.; Benton, T.D.; Oquendo, M.A.; Gur, R.C.; et al. Deconstructing the role of the exposome in youth suicidal ideation: Trauma, neighborhood environment, developmental and gender effects. Neurobiol. Stress 2021, 14, 100314. [Google Scholar] [CrossRef]
- Basta, M.; Micheli, K.; Karakonstantis, S.; Koutra, K.; Papadakis, N. Suicidal ideation in adolescents and young adults in Greece: Prevalence and association with sociodemographic variables, mental health and substance use. Eur. Child Adolesc. Psychiatry 2021. [Google Scholar] [CrossRef]
- Rico-Uribe, L.A.; Caballero, F.F.; Martín-María, N.; Cabello, M.; Ayuso-Mateos, J.L.; Miret, M. Association of loneliness with all-cause mortality: A meta-analysis. PLoS ONE 2018, 13, e0190033. [Google Scholar] [CrossRef]
- Lim, L.L.; Kua, E.-H. Living alone, loneliness, and psychological well-being of older persons in Singapore. Curr. Gerontol. Geriatr. Res. 2011, 2011, 1–9. [Google Scholar] [CrossRef]
- Mead, R. What Britain’s ‘Ministaer of Loneliness’ Says about Brexit and the Legacy of Jo Cox. The New Yorker, 2018. Available online: https://www.newyorker.com/culture/cultural-comment/britain-minister-of-loneliness-brexitjo-cox (accessed on 17 September 2018).
- Stanley, I.H.; Hom, M.A.; Rogers, M.L.; Hagan, C.R.; Joiner, T.E. Understanding suicide among older adults: A review of psychological and sociological theories of suicide. Aging Ment. Health 2016, 20, 113–122. [Google Scholar] [CrossRef]
- Gvion, Y.; Horesh, N.; Levi-Belz, Y.; Apter, A. A proposed model of the development of suicidal ideations. Compr. Psychiatry 2015, 56, 93–102. [Google Scholar] [CrossRef]
- Christensen, H.; Batterham, P.J.; Mackinnon, A.J.; Donker, T.; Soubelet, A. Predictors of the risk factors for suicide identified by the interpersonal-psychological theory of suicidal behaviour. Psychiatry Res. 2014, 219, 290–297. [Google Scholar] [CrossRef]
- Christensen, H.; Batterham, P.J.; Soubelet, A.; Mackinnon, A.J. A test of the Interpersonal Theory of Suicide in a large community-based cohort. J. Affect. Disord. 2013, 144, 225–234. [Google Scholar] [CrossRef]
- Quach, L.T.; Burr, J.A. Perceived social isolation, social disconnectedness and falls: The mediating role of depression. Aging Ment. Health 2020, 5, 1–6. [Google Scholar] [CrossRef]
- Cho, S.; Hwang, H.; Lee, J. Pain Intensity and Suicidal Ideation of People in Chronic Pain: Mediating Effects of Depression. Soc. Behav. Personal. Int. J. 2013, 41, 509–516. [Google Scholar] [CrossRef]
- Cicchetti, D.; Garmezy, N. Prospects and promises in the study of resilience. Dev. Psychopathol. 1993, 5, 497–502. [Google Scholar] [CrossRef]
- Johnson, J.; Gooding, P.; Wood, A.; Tarrier, N. Resilience as positive coping appraisals: Testing the schematic appraisals model of suicide (SAMS). Behav. Res. Ther. 2010, 48, 179–186. [Google Scholar] [CrossRef] [PubMed]
- Cha, K.S.; Lee, H.S. The effects of ego-resilience, social support, and depression on suicidal ideation among the elderly in South Korea. J. Women Aging 2018, 30, 444–459. [Google Scholar] [CrossRef] [PubMed]
- Vivian, W.Q.; Jimmy, W. Chinese older adults’ resilience to the loneliness of living alone: A qualitative study. Aging Ment. Health 2012, 16, 1039–1046. [Google Scholar] [CrossRef]
- Jeste, D.V.; Savla, G.N.; Thompson, W.K.; Vahia, I.V.; Glorioso, D.K.; Martin, A.S.; Palmer, B.W.; Rock, D.; Golshan, S.; Kraemer, H.C.; et al. Association between older age and more successful aging: Critical role of resilience and depression. Am. J. Psychiatry 2013, 170, 188–196. [Google Scholar] [CrossRef]
- O’Leary, V.E. Strength in the face of adversity: Individual and social thriving. J. Soc. Issues 1998, 54, 425–446. [Google Scholar] [CrossRef]
- Johnson, J.; Wood, A.M.; Gooding, P.; Taylor, P.J.; Tarrier, N. Resilience to suicidality: The buffering hypothesis. Clin. Psychol. Rev. 2011, 31, 563–591. [Google Scholar] [CrossRef]
- Ding, H.; Han, J.; Zhang, M.; Wang, K.; Gong, J.; Yang, S. Moderating and mediating effects of resilience between childhood trauma and depressive symptoms in Chinese children. J. Affect. Disord. 2017, 211, 130–135. [Google Scholar] [CrossRef]
- Rutter, P.A.; Freedenthal, S.; Osman, A. Assessing protection from suicidal risk: Psychometric properties of the suicide resilience inventory. Death Stud. 2008, 32, 142–153. [Google Scholar] [CrossRef]
- Clement, D.N.; Wingate, L.; Cole, A.B.; O’Keefe, V.M.; Hirsch, J.K. The common factors of grit, hope, and optimism differentially influence suicide resilience. Int. J. Environ. Res. Public Health 2020, 17, 9588. [Google Scholar] [CrossRef]
- Danhauer, S.C.; Files, K.; Freischlag, J.A. Physician suicide—Reflections on relevance and resilience. JAMA Surg. 2020, 155, 721–722. [Google Scholar] [CrossRef]
- Shandong Provincial Health Commission. Promotion of Undertakings and Health for the Aged in Shandong Province, 2020. Available online: http:// sd.people.com.cn/n2/2020/1024/c166192-34370741.html (accessed on 23 October 2020).
- Jinan Municipal Bureau of Statistics. Jinan Overview, 2020. Available online: http://jntj.jinan.gov.cn/col/col18249/index.html (accessed on 15 October 2020).
- Liu, X.Q. The 13th Five-Year Plan for the Development of Ageing Undertakings and the Pension System Construction. 2017. Available online: http://www.jinan.gov.cn/art/2017/10/24/ art1861234158.html (accessed on 24 October 2017).
- National People’s Congress of the People’s Republic of China. Rights Protection Law of the People’s Republic of Elderly People, 2018. Available online: www.gov.cn/flfg/2012-12/28/content_2305570.htm (accessed on 29 December 2018).
- Lee, D.T.F.; Woo, J.; MacKenzie, A.E. The cultural context of adjusting to nursing home life: Chinese elders’ perspectives. Gerontology 2002, 42, 667–675. [Google Scholar] [CrossRef]
- Folstein, M.F.; Folstein, S.E.; Mchugh, P. “Mini-mental state”: A practical method for grading the cognitive state of patients for the clinician. J. Psychiatr. Res. 1975, 12, 189–198. [Google Scholar] [CrossRef]
- Zhao, X.; Zhang, D.; Wu, M.; Yang, Y.; Xie, H.; Li, Y.; Jia, J.; Su, Y. Loneliness and depression symptoms among the elderly in nursing homes: A moderated mediation model of resilience and social support. Psychiatry Res. 2018, 268, 143–151. [Google Scholar] [CrossRef]
- Zhang, D.; Yang, Y.; Sun, Y.; Wu, M.; Xie, H.; Wang, K.; Zhang, J.; Jia, J.; Su, Y. Characteristics of the Chinese rural elderly living in nursing homes who have suicidal ideation: A multiple regression model. Geriatr. Nurs. 2017, 38, 423–430. [Google Scholar] [CrossRef]
- Chen, Y.J.; Tsai, Y.; Ku, Y.; Lee, S.H.; Lee, H.L. Perceived reasons for, opinions about, and suggestions for elders considering suicide: Elderly outpatients’ perspectives. Aging Ment. Health 2014, 18, 593–599. [Google Scholar] [CrossRef]
- Katzman, R.; Zhang, M.; Quang-Ya-Qu; Wang, Z.; Liu, W.T.; Yu, E.; Wong, S.-C.; Salmon, D.P.; Grant, I. A Chinese version of the Mini-Mental State Examination: Impact of illiteracy in a Shanghai dementia survey. J. Clin. Epidemiology 1988, 41, 971–978. [Google Scholar] [CrossRef]
- Ng, T.P.; Feng, L.; Niti, M.; Kua, E.H.; Yap, K.B. Tea consumption and cognitive impairment and decline in older Chinese adults. Am. J. Clin. Nutr. 2008, 4, T673. [Google Scholar] [CrossRef]
- Woodford, H.J.; George, J. Cognitive assessment in the elderly: A review of clinical methods. QJM Int. J. Med. 2007, 100, 469–484. [Google Scholar] [CrossRef]
- Russell, D.W. UCLA loneliness scale (version 3): Reliability, validity, and factor structure. J. Pers. Assess. 1996, 66, 20–40. [Google Scholar] [CrossRef]
- Wang, G.; Zhang, X.; Wang, K.; Li, Y.; Shen, Q.; Ge, X.; Hang, W. Loneliness among the rural older people in Anhui, China: Prevalence and associated factors. Int. J. Geriatr. Psychiatry 2011, 26, 1162–1168. [Google Scholar] [CrossRef]
- Crawford, J.R.; Henry, J.D.; Crombie, C.; Taylor, E.P. Normative data for the HADS from a large non-clinical sample. British. J. Clin. Psychol. 2011, 40, 429–434. [Google Scholar] [CrossRef] [PubMed]
- Hung, C.-I.; Liu, C.-Y.; Wang, S.-J.; Yao, Y.-C.; Yang, C.-H. Tche cut-off points of the Depression and Somatic Symptoms Scale and the Hospital Anxiety and Depression Scale in detecting non-full remission and a current major depressive episode. Int. J. Psychiatry Clin. Pr. 2011, 16, 33–40. [Google Scholar] [CrossRef]
- Connor, K.M.; Davidson, J.R. Development of a new resilience scale: The Connor-Davidson Resilience Scale (CD-RISC). Depress. Anxiety 2003, 18, 76–82. [Google Scholar] [CrossRef]
- Campbell-Sills, L.; Stein, M. Psychometric analysis and refinement of the connor–davidson resilience scale (CD-RISC): Validation of a 10-item measure of resilience. J. Trauma. Stress. 2007, 20, 1019–1028. [Google Scholar] [CrossRef]
- Ye, Z.J.; Liu, M.L.; Luo, D.M.; Zeng, Z.; Hu, G.Y.; Zhu, Y.F.; Qiu, H.Z. Reliability and validity test of 10-item Connor-Davidson Resilience Scale in parents group of children with cancer. Nurs. Res. 2016, 30, 4118–4122. [Google Scholar]
- Wu, M.; Yang, Y.; Zhang, D.; Zhao, X.; Sun, Y.; Xie, H.; Jia, J.; Su, Y.; Li, Y. Association between social support and health-related quality of life among Chinese rural elders in nursing homes: The mediating role of resilience. Qual. Life Res. 2017, 27, 783–792. [Google Scholar] [CrossRef]
- Li, X.; Phillips, M.R.; Tong, Y.; Li, K.; Zhang, Y.; Zhang, Y.; Xu, D.; Yajua, N. Reliability and validity of the Chinese version of Beck Suicide Ideation Scale (BSI-CV) in adult community residents. Chin. Ment. Health J. 2017, 24, 250–255. [Google Scholar] [CrossRef]
- Wang, Y.-Y.; Jiang, N.-Z.; Cheung, E.F.; Sun, H.-W.; Chan, R.C. Role of depression severity and impulsivity in the relationship between hopelessness and suicidal ideation in patients with major depressive disorder. J. Affect. Disord. 2015, 183, 83–89. [Google Scholar] [CrossRef]
- Hayes, A.F. Introduction to Mediation, Moderation, and Conditional Process Analysis: A Regression-Based Approach; Guilford Publications: New York, NY, USA, 2017; ISBN 9781609182304. [Google Scholar]
- Preacher, K.J.; Rucker, D.D.; Hayes, A.F. Addressing moderated mediation hypotheses: Theory, methods, and prescriptions. Multivar. Behav. Res. 2007, 42, 185–227. [Google Scholar] [CrossRef]
- Hayes, A.F.; Rockwood, N.J. Regression-based statistical mediation and moderation analysis in clinical research: Observations, recommendations, and implementation. Behav. Res. Ther. 2017, 98, 39–57. [Google Scholar] [CrossRef]
- Bauer, D.J.; Curran, P.J. The integration of continuous and discrete latent variable models: Potential problems and promising opportunities. Psychol. Methods 2004, 9, 3–29. [Google Scholar] [CrossRef] [PubMed]
- Tse, M.M. Nursing home placement: Perspectives of community-dwelling older persons. J. Clin. Nurs. 2007, 16, 911–917. [Google Scholar] [CrossRef]
- Liu, Z.-W.; Yu, Y.; Fang, L.; Hu, M.; Zhou, L.; Xiao, S.-Y. Willingness to receive institutional and community-based eldercare among the rural elderly in China. PLoS ONE 2019, 14, e0225314. [Google Scholar] [CrossRef]
- De Bruin, W.B.; Dombrovski, A.Y.; Parker, A.M.; Szanto, K. Late-life Depression, Suicidal Ideation, and Attempted Suicide: The Role of Individual Differences in Maximizing, Regret, and Negative Decision Outcomes. J. Behav. Decis. Mak. 2016, 29, 363–371. [Google Scholar] [CrossRef]
- Middleton, N.; Sterne, J.; Gunnell, D. The geography of despair among 15–44-year-old men in England and Wales: Putting suicide on the map. J. Epidemiol. Community Health 2006, 60, 1040–1047. [Google Scholar] [CrossRef]
- National Health Commission. The Work Plan of Exploring Characteristic Services for Prevention and Treatment of Depression, 2020. Available online: www.gov.cn/zhengce/zhengceku/2020-09/11/content_5542555.htm (accessed on 9 November 2020).
- Qian, Y.; Chu, J.; Ge, D.; Zhang, L.; Sun, L.; Zhou, C. Gender difference in utilization willingness of institutional care among the single seniors: Evidence from rural Shandong, China. Int. J. Equity Health 2017, 16, 77. [Google Scholar] [CrossRef] [PubMed]
- Eisman, A.B.; Stoddard, S.A.; Heinze, J.; Caldwell, C.H.; Zimmerman, M.A. Depressive symptoms, social support, and violence exposure among urban youth: A longitudinal study of resilience. Dev. Psychol. 2015, 51, 1307–1316. [Google Scholar] [CrossRef]
- Kumpfer, K.L. Factors and Processes Contributing to Resilience. Resil. Dev. 1999. [Google Scholar] [CrossRef]
- Center for Mental Health in Schools at UCLA. 2016. Protective Factors/Resiliency. Available online: http://smhp.psych.ucla.edu (accessed on 24 October 2019).
- Henderson, N.; Milstein, M. Resiliency in Schools: Making it Happen for Students and Educators; SAGE Publications: Shazende Oaks, CA, USA, 1996; ISBN 0-8039-6352-1. [Google Scholar]




| Variables | NSI (n = 458) | SI (n = 80) |
|---|---|---|
| Gender | ||
| Female | 260 (56.8) | 61 (76.3) |
| Male | 198 (43.2) | 19 (23.8) |
| Age | ||
| 60–74 | 137 (29.9) | 19 (23.8) |
| 75–89 | 276 (60.3) | 52 (65.0) |
| 90–99 | 45 (9.8) | 9 (11.2) |
| Marital status | ||
| Unmarried | 35 (7.6) | 2 (2.5) |
| Married | 103 (22.5) | 9 (11.3) |
| Divorced | 9 (2.0) | 3 (3.7) |
| Widowed | 311 (67.9) | 66 (82.5) |
| Education | ||
| Illiterate | 191 (41.7) | 49 (61.3) |
| Primary school | 124 (27.1) | 11 (13.7) |
| Junior high school | 68 (14.8) | 5 (6.3) |
| Senior high/above | 75 (16.3) | 15 (18.7) |
| Self-rated financial status | ||
| Good | 178 (38.9) | 19 (23.8) |
| Medium | 224 (48.9) | 37 (46.2) |
| Poor | 56 (12.2) | 24 (30) |
| Children visit frequency | ||
| Once per 1–2 weeks | 282 (61.6) | 40 (50.0) |
| Once per over 2 weeks | 176 (38.4) | 40 (50.0) |
| Number of physical diseases | ||
| 0 | 54 (11.8) | 10 (12.5) |
| 1–3 | 364 (79.5) | 49 (61.3) |
| 4–7 | 40 (8.7) | 21 (26.2) |
| MMSE scores | 22.74 ± 5.85 | 19.78 ± 6.00 |
| Active suicidal ideation | 65 (81.3) | |
| Passive suicidal ideation | 15 (18.7) |
| 1 | 2 | 3 | M ± SD | |
|---|---|---|---|---|
| Loneliness | - | - | - | 41.00 ± 11.44 |
| Depressive symptoms | 0.532 *** | - | - | 5.21 ± 4.31 |
| Resilience | −0.615 *** | −0.551 *** | - | 27.61 ± 8.27 |
| Suicidal ideation | 0.484 *** | 0.500 *** | −0.471 *** | 2.54 ± 6.50 |
| R2 | F | B | SE | t | LLCI | ULCI | |
|---|---|---|---|---|---|---|---|
| Outcome: Depression symptoms | 0.343 | 46.230 | |||||
| Loneliness | 0.477 | 0.037 | 13.008 *** | 0.386 | 0.564 | ||
| Outcome: Suicidal ideation | 0.326 | 36.579 | |||||
| Loneliness | 0.308 | 0.043 | 7.222 *** | 0.200 | 0.416 | ||
| Depression symptoms | 0.325 | 0.044 | 7.403 *** | 0.207 | 0.443 |
| Outcome: Depression Symptoms | |||||
|---|---|---|---|---|---|
| Variable | B | SE | t | LLCI | ULCI |
| Loneliness | 0.243 | 0.045 | 5.438 *** | 0.155 | 0.331 |
| Resilience | −0.328 | 0.045 | −7.277 *** | −0.417 | −0.240 |
| Loneliness × Resilience | −0.133 | 0.027 | −4.869 *** | −0.187 | −0.079 |
| Outcome: Suicidal Ideation | |||||
| Variable | B | SE | t | LLCI | ULCI |
| Loneliness | 0.189 | 0.047 | 4.026 *** | 0.097 | 0.282 |
| Depressive symptoms | 0.198 | 0.047 | 4.220 *** | 0.106 | 0.290 |
| Resilience | −0.124 | 0.049 | −2.545 *** | −0.221 | −0.028 |
| Loneliness × Resilience | −0.109 | 0.035 | −3.145 *** | −0.177 | −0.041 |
| Depressive symptoms × Resilience | −0.077 | 0.036 | −2.170 *** | −0.147 | −0.007 |
Publisher’s Note: MDPI stays neutral with regard to jurisdictional claims in published maps and institutional affiliations. |
© 2021 by the authors. Licensee MDPI, Basel, Switzerland. This article is an open access article distributed under the terms and conditions of the Creative Commons Attribution (CC BY) license (https://creativecommons.org/licenses/by/4.0/).
Share and Cite
Yang, Y.; Wang, R.; Zhang, D.; Zhao, X.; Su, Y. How Loneliness Worked on Suicidal Ideation among Chinese Nursing Home Residents: Roles of Depressive Symptoms and Resilience. Int. J. Environ. Res. Public Health 2021, 18, 5472. https://doi.org/10.3390/ijerph18105472
Yang Y, Wang R, Zhang D, Zhao X, Su Y. How Loneliness Worked on Suicidal Ideation among Chinese Nursing Home Residents: Roles of Depressive Symptoms and Resilience. International Journal of Environmental Research and Public Health. 2021; 18(10):5472. https://doi.org/10.3390/ijerph18105472
Chicago/Turabian StyleYang, Yang, Rui Wang, Dan Zhang, Xia Zhao, and Yonggang Su. 2021. "How Loneliness Worked on Suicidal Ideation among Chinese Nursing Home Residents: Roles of Depressive Symptoms and Resilience" International Journal of Environmental Research and Public Health 18, no. 10: 5472. https://doi.org/10.3390/ijerph18105472
APA StyleYang, Y., Wang, R., Zhang, D., Zhao, X., & Su, Y. (2021). How Loneliness Worked on Suicidal Ideation among Chinese Nursing Home Residents: Roles of Depressive Symptoms and Resilience. International Journal of Environmental Research and Public Health, 18(10), 5472. https://doi.org/10.3390/ijerph18105472
