Influence of Personal Protective Equipment on Wildland Firefighters’ Physiological Response and Performance during the Pack Test
Abstract
1. Introduction
2. Material and Methods
2.1. Participants
2.2. Experimental Design
2.2.1. Graded Exercise Test
2.2.2. Pack Test
2.3. Data Analysis
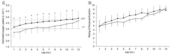
3. Results
4. Discussion
5. Conclusions
Author Contributions
Funding
Institutional Review Board Statement
Informed Consent Statement
Data Availability Statement
Conflicts of Interest
References
- Cuddy, J.S.; Sol, J.A.; Hailes, W.S.; Ruby, B.C. Work patterns dictate energy demands and thermal strain during wildland firefighting. Wilderness Environ. Med. 2015, 26, 221–226. [Google Scholar] [CrossRef]
 - Ruby, B.C.; Shriver, T.C.; Zderic, T.W.; Sharkey, B.J.; Burks, C.; Tysk, S. Total energy expenditure during arduous wildfire suppression. Med. Sci. Sports Exerc. 2002, 34, 1048–1054. [Google Scholar] [CrossRef]
 - Sharkey, B.; Rothwell, T.; DeLorenzo-Green, T. Development of a job-related work capacity test for wildland firefighters. Med. Sci. Sports Exerc. 1994, 26, S88. [Google Scholar] [CrossRef]
 - Sharkey, B. Fitness and Work Capacity; USDA Forest Service, Missoula Technology and Development Centre: Missoula, MT, USA, 1997.
 - Petersen, A.; Payne, W.; Phillips, M.; Netto, K.; Nichols, D.; Aisbett, B. Validity and relevance of the pack hike wildland firefighter work capacity test: A review. Ergonomics 2010, 53, 1276–1285. [Google Scholar] [CrossRef] [PubMed]
 - Sharkey, B.J. Wildland Firefighter Health and Safety: Recommendations of the April 1999 Conference; USDA Forest Service, Missoula Technology and Development Centre: Missoula, MT, USA, 1999. Available online: https://www.fs.fed.us/t-d/pubs/pdfpubs/pdf99512841/pdf99512841pt03.pdf (accessed on 25 February 2021).
 - Sharkey, B.; Rothwell, T. Validation and field evaluation of a work capacity test for wildland firefighters. Med. Sci. Sports Exerc. 1996, 28, S79. [Google Scholar] [CrossRef]
 - Phillips, D.B.; Ehnes, C.M.; Welch, B.G.; Lee, L.N.; Simin, I.; Petersen, S.R. Influence of work clothing on physiological responses and performance during treadmill exercise and the Wildland Firefighter Pack Test. Appl. Ergon. 2018, 68, 313–318. [Google Scholar] [CrossRef]
 - Rodríguez-Marroyo, J.A.; López-Satue, J.; Pernía, R.; Carballo, B.; García-López, J.; Foster, C.; Villa, J.G. Physiological work demands of Spanish wildland firefighters during wildfire suppression. Int. Arch. Occup. Environ. Health 2012, 85, 221–228. [Google Scholar] [CrossRef] [PubMed]
 - Carballo-Leyenda, B.; Villa, J.G.; López-Satué, J.; Collado, P.S.; Rodríguez-Marroyo, J.A. Fractional contribution of wildland firefighters’ personal protective equipment on physiological strain. Front. Physiol. 2018, 9, 1139. [Google Scholar] [CrossRef] [PubMed]
 - McLellan, T.M.; Daanen, H.A.M.; Cheung, S.S. Encapsulated environment. Compr. Physiol. 2013, 3, 1363–1391. [Google Scholar] [CrossRef] [PubMed]
 - Mclellan, T.M.; Havenith, G. Protective clothing ensembles and physical employment standards. Appl. Physiol. Nutr. Metab. 2016, 41, 121–130. [Google Scholar] [CrossRef] [PubMed]
 - Smith, D.L.; Petruzzello, S.J.; Kramer, J.M.; Warner, S.E.; Bone, B.G.; Misner, J.E. Selected physiological and psychobiological responses to physical activity in different configurations of firefighting gear. Ergonomics 1995, 38, 2065–2077. [Google Scholar] [CrossRef]
 - Selkirk, G.A.; McLellan, T.M. Physical Work Limits for Toronto Firefighters in Warm Environments. J. Occup. Environ. Hyg. 2004, 1, 199–212. [Google Scholar] [CrossRef] [PubMed]
 - Dreger, R.W.; Jones, R.L.; Petersen, S.R. Effects of the self-contained breathing apparatus and fire protective clothing on maximal oxygen uptake. Ergonomics 2006, 49, 911–920. [Google Scholar] [CrossRef] [PubMed]
 - Taylor, N.A.S.; Lewis, M.C.; Notley, S.R.; Peoples, G.E. A fractionation of the physiological burden of the personal protective equipment worn by firefighters. Eur. J. Appl. Physiol. 2012, 112, 2913–2921. [Google Scholar] [CrossRef] [PubMed]
 - Sawka, M.N.; Burke, L.M.; Eichner, E.R.; Maughan, R.J.; Montain, S.J.; Stachenfeld, N.S. American College of Sports Medicine position stand. Exercise and fluid replacement. Med. Sci. Sports Exerc. 2007, 39, 377–390. [Google Scholar] [CrossRef]
 - Midgley, A.W.; Carroll, S.; Marchant, D.; McNaughton, L.R.; Siegler, J. Evaluation of true maximal oxygen uptake based on a novel set of standardized criteria. Appl. Physiol. Nutr. Metab. 2009, 34, 115–123. [Google Scholar] [CrossRef] [PubMed]
 - Kuipers, H.; Verstappen, F.T.J.; Keizer, H.A.; Geurten, P.; van Kranenburg, G. Variability of aerobic performance in the laboratory and its physiologic correlates. Int. J. Sports Med. 1985, 6, 197–201. [Google Scholar] [CrossRef]
 - Davis, J.A. Anaerobic threshold: Review of the concept and directions for future research. Med. Sci. Sports Exerc. 1985, 17, 6–21. [Google Scholar] [CrossRef]
 - DeLorenzo-Green, T.; Sharkey, B.J. Development and validation of a work capacity test for wildland firefighters. Med. Sci. Sports Exerc. 1995, 27, S166. [Google Scholar] [CrossRef]
 - Astrand, P.O.; Rodahl, K.; Dahl, H.; Stromme, S. Textbook of Work Physiology; Human Kinetics: Champaign, IL, USA, 2003. [Google Scholar]
 - Borg, G.A. Psychophysical bases of perceived exertion. Med. Sci. Sports Exerc. 1982, 14, 377–381. [Google Scholar] [CrossRef] [PubMed]
 - Tudor-Locke, C.; Aguiar, E.J.; Han, H.; Ducharme, S.W.; Schuna, J.M.; Barreira, T.V.; Moore, C.C.; Busa, M.A.; Lim, J.; Sirard, J.R.; et al. Walking cadence (steps/min) and intensity in 21–40 year olds: CADENCE-adults. Int. J. Behav. Nutr. Phys. Act. 2019, 16, 8. [Google Scholar] [CrossRef]
 - Cohen, J. Statistical Power Analysis for the Behavioral Sciences, 2nd ed.; Lawrence Erlbaum Associates Publishers: New York, NY, USA, 1988; Available online: http://www.utstat.toronto.edu/~brunner/oldclass/378f16/readings/CohenPower.pdf (accessed on 12 February 2021).
 - Lakens, D. Calculating and reporting effect sizes to facilitate cumulative science: A practical primer for t-tests and ANOVAs. Front. Psychol. 2013, 4, 863. [Google Scholar] [CrossRef] [PubMed]
 - Hopkins, W.G. A New View of Statistics. 2006. Available online: https://www.sportsci.org/resource/stats/effectmag.html (accessed on 15 January 2021).
 - Dorman, L.E.; Havenith, G. The effects of protective clothing on energy consumption during different activities. Eur. J. Appl. Physiol. 2009, 105, 463–470. [Google Scholar] [CrossRef]
 - Lee, J.-Y.; Bakri, I.; Kim, J.-H.; Son, S.-Y.; Tochihara, Y. The impact of firefighter personal protective equipment and treadmill protocol on maximal oxygen uptake. J. Occup. Environ. Hyg. 2013, 10, 397–407. [Google Scholar] [CrossRef]
 - Teitlebaum, A.G.R. Increased energy cost with multiple clothing layers. J. Appl. Physiol. 1979, 32, 742–744. [Google Scholar] [CrossRef] [PubMed]
 - Duggan, A. Energy cost of stepping in protective clothing ensembles. Ergonomics 1988, 31, 3–11. [Google Scholar] [CrossRef] [PubMed]
 - Coca, A.; Williams, W.J.; Roberge, R.J.; Powell, J.B. Effects of fire fighter protective ensembles on mobility and performance. Appl. Ergon. 2010, 41, 636–641. [Google Scholar] [CrossRef]
 - Bruce-Low, S.S.; Cotterrell, D.; Jones, G.E. Effect of wearing personal protective clothing and self-contained breathing apparatus on heart rate, temperature and oxygen consumption during stepping exercise and live fire training exercises. Ergonomics 2007, 50, 80–98. [Google Scholar] [CrossRef] [PubMed]
 - Cuddy, J.S.; Hailes, W.S.; Ruby, B.C. A reduced core to skin temperature gradient, not a critical core temperature, affects aerobic capacity in the heat. J. Therm. Biol. 2014, 43, 7–12. [Google Scholar] [CrossRef]
 - Lee, J.-Y.; Kim, S.; Jang, Y.-J.; Baek, Y.-J.; Park, J. Component contribution of personal protective equipment to the alleviation of physiological strain in firefighters during work and recovery. Ergonomics 2014, 57, 1068–1077. [Google Scholar] [CrossRef]
 - Montain, S.J.; Sawka, M.N.; Cadarette, B.S.; Quigley, M.D.; McKay, J.M. Physiological tolerance to uncompensable heat stress: Effects of exercise intensity, protective clothing, and climate. J. Appl. Physiol. 1994, 77, 216–222. [Google Scholar] [CrossRef]
 - Paavolainen, L.; Nummela, A.; Rusko, H. Muscle power factors and VO2max as determinants of horizontal and uphill running performance. Scand. J. Med. Sci. Sports 2000, 10, 286–291. [Google Scholar] [CrossRef] [PubMed]
 - Rodríguez-Marroyo, J.A.; Villa, J.G.; López-Satue, J.; Pernía, R.; Carballo, B.; García-López, J.; Foster, C. Physical and thermal strain of firefighters according to the firefighting tactics used to suppress wildfires. Ergonomics 2011, 54, 1101–1108. [Google Scholar] [CrossRef] [PubMed]
 - Achten, J.; Jeukendrup, A.E. Heart Rate Monitoring. Sports Med. 2003, 33, 517–538. [Google Scholar] [CrossRef] [PubMed]
 - Wicks, J.R.; Oldridge, N.B.; Nielsen, L.K.; Vickers, C.E. HR Index-A Simple Method for the Prediction of Oxygen Uptake. Med. Sci. Sports Exerc. 2011, 43, 2005–2012. [Google Scholar] [CrossRef]
 



| Variables | Mean ± SD | 
|---|---|
| Age (years) | 31.1 ± 3.2 | 
| Body mass (kg) | 82.3 ± 12.2 | 
| Height (cm) | 177.3 ± 7.2 | 
| Body surface area (m2) | 2.0 ± 0.2 | 
| VO2max (mL·kg−1·min−1) | 55.8 ± 3.6 | 
| Maximal HR (beats·min−1) | 185 ± 7 | 
| Maximal velocity (km·h−1) | 16.9 ± 2.6 | 
| VO2 RCT (mL·kg−1·min−1) | 45.4 ± 5.9 | 
| % VO2max RCT | 80.8 ± 4.3 | 
| HR RCT (beats·min−1) | 172 ± 9 | 
| Velocity RCT (km·h−1) | 14.3 ± 1.8 | 
| VO2 VT (mL·kg−1 min−1) | 36.6 ± 5.8 | 
| % VO2max VT | 64.5 ± 4.9 | 
| HR VT (beats·min−1) | 140 ± 7 | 
| Velocity VT (km·h−1) | 10.3 ± 1.1 | 
| SG | PPE | Cohen’s d (rating) | |
|---|---|---|---|
| Pack Test completion time (min) | 33.3 ± 3.9 | 37.2 ± 4.4 * | 0.94 (large) | 
| Heart rate (beats·min−1) | 157 ± 9 | 169 ± 8 * | 1.46 (large) | 
| Percentage of maximal HR (%) | 84.4 ± 4.4 | 89.7 ± 5.1 * | 1.06 (large) | 
| Estimated oxygen uptake (L·min−1) | 3.2 ± 0.4 | 3.6 ± 0.5 * | 1.06 (large) | 
| Estimated oxygen uptake (mL·kgtotal mass−1·min−1) | 33.1 ± 5.6 | 35.8 ± 4.9 * | 0.51 (moderate) | 
| Percentage of VO2max (%) | 61.0 ± 4.4 | 66.6 ± 4.2 * | 1.34 (large) | 
| Rating of perceived exertion | 6.8 ± 0.6 | 7.4 ± 1.1 | 0.68 (moderate) | 
| Walking cadence (steps·min−1) | 155 ± 17 | 155 ± 17 | 0.00 (trivial) | 
Publisher’s Note: MDPI stays neutral with regard to jurisdictional claims in published maps and institutional affiliations.  | 
© 2021 by the authors. Licensee MDPI, Basel, Switzerland. This article is an open access article distributed under the terms and conditions of the Creative Commons Attribution (CC BY) license (https://creativecommons.org/licenses/by/4.0/).
Share and Cite
Carballo-Leyenda, B.; Gutiérrez-Arroyo, J.; García-Heras, F.; Sánchez-Collado, P.; Villa-Vicente, J.G.; Rodríguez-Marroyo, J.A. Influence of Personal Protective Equipment on Wildland Firefighters’ Physiological Response and Performance during the Pack Test. Int. J. Environ. Res. Public Health 2021, 18, 5050. https://doi.org/10.3390/ijerph18105050
Carballo-Leyenda B, Gutiérrez-Arroyo J, García-Heras F, Sánchez-Collado P, Villa-Vicente JG, Rodríguez-Marroyo JA. Influence of Personal Protective Equipment on Wildland Firefighters’ Physiological Response and Performance during the Pack Test. International Journal of Environmental Research and Public Health. 2021; 18(10):5050. https://doi.org/10.3390/ijerph18105050
Chicago/Turabian StyleCarballo-Leyenda, Belén, Jorge Gutiérrez-Arroyo, Fabio García-Heras, Pilar Sánchez-Collado, José G. Villa-Vicente, and Jose A. Rodríguez-Marroyo. 2021. "Influence of Personal Protective Equipment on Wildland Firefighters’ Physiological Response and Performance during the Pack Test" International Journal of Environmental Research and Public Health 18, no. 10: 5050. https://doi.org/10.3390/ijerph18105050
APA StyleCarballo-Leyenda, B., Gutiérrez-Arroyo, J., García-Heras, F., Sánchez-Collado, P., Villa-Vicente, J. G., & Rodríguez-Marroyo, J. A. (2021). Influence of Personal Protective Equipment on Wildland Firefighters’ Physiological Response and Performance during the Pack Test. International Journal of Environmental Research and Public Health, 18(10), 5050. https://doi.org/10.3390/ijerph18105050
        
                                                
