The Risk of Depression in Patients with Pemphigus: A Nationwide Cohort Study in Taiwan
Abstract
1. Introduction
2. Methods
2.1. Data Source
2.2. Subject Selection
2.3. Statistical Analysis
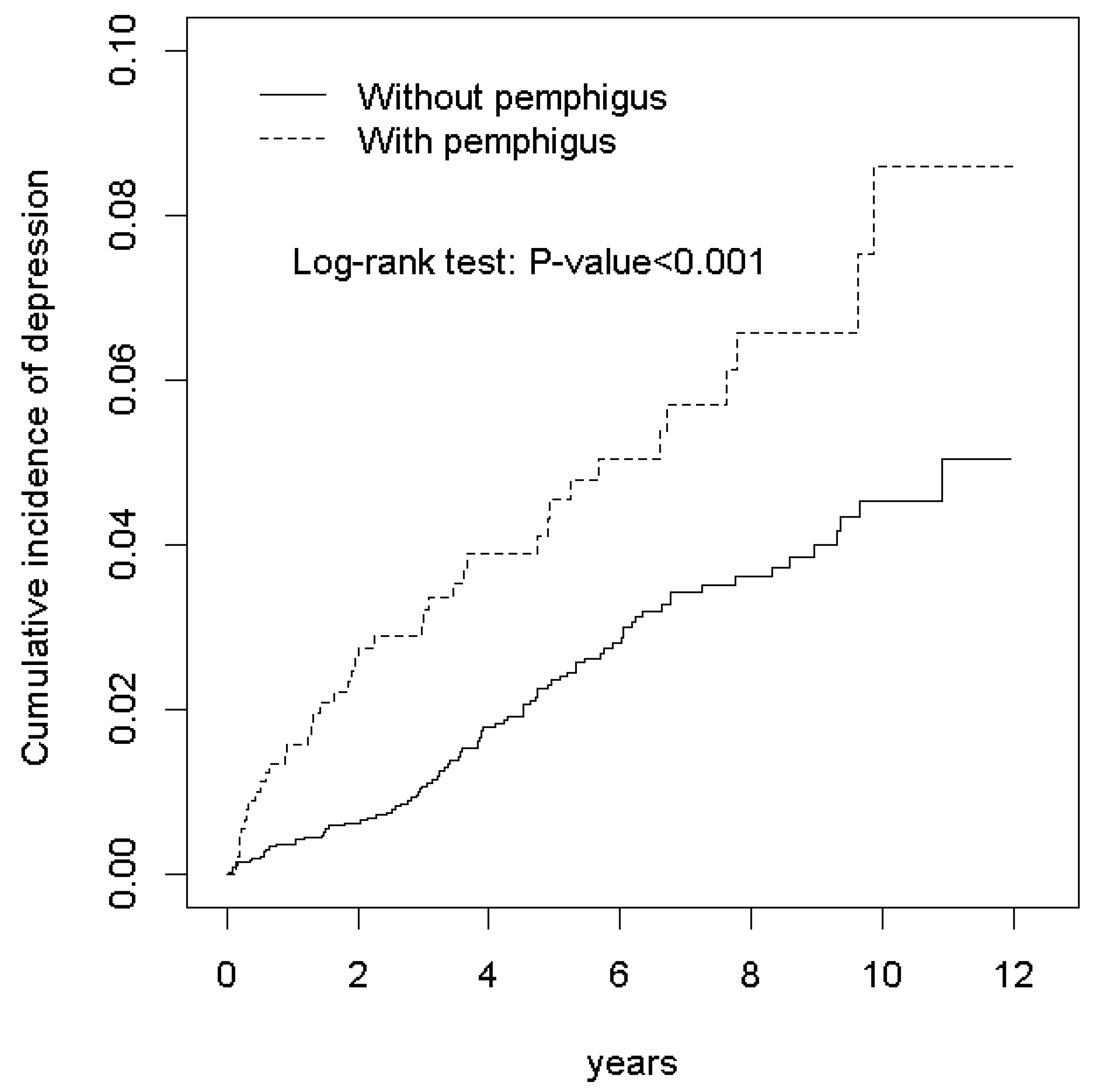
3. Results
4. Discussion
Author Contributions
Funding
Acknowledgments
Conflicts of Interest
References
- Hietanen, J.; Salo, O.P. Pemphigus: An epidemiological study of patients treated in Finnish hospitals between 1969 and 1978. Acta Derm. Venereol 1982, 62, 491–496. [Google Scholar]
- Pisanti, S.; Sharav, Y.; Kaufman, E.; Posner, L. Pemphigus vulgaris: Incidence in Jews of different ethnic groups, according to age, sex, and initial lesion. Oral Surgery Oral Med. Oral Pathol. 1974, 38, 382–387. [Google Scholar] [CrossRef]
- Langan, S.; Smeeth, L.; Hubbard, R.; Fleming, K.; Smith, C.J.P.; West, J. Bullous pemphigoid and pemphigus vulgaris—Incidence and mortality in the UK: Population based cohort study. BMJ 2008, 337, 160–163. [Google Scholar] [CrossRef] [PubMed]
- Chee, S.-N.; Murrell, D.F. Pemphigus and Quality of Life. Dermatol. Clin. 2011, 29, 521–525. [Google Scholar] [CrossRef] [PubMed]
- Wohl, Y.; Mashiah, J.; Kutz, A.; Hadj-Rabia, S.; Cohen, A.D. Pemphigus and depression comorbidity: A case control study. Eur. J. Dermatol. EJD 2015, 25, 602–605. [Google Scholar] [CrossRef] [PubMed]
- Fu, T.S.-T.; Lee, C.-S.; Gunnell, D.; Lee, W.-C.; Cheng, A.T.-A. Changing trends in the prevalence of common mental disorders in Taiwan: A 20-year repeated cross-sectional survey. Lancet 2013, 381, 235–241. [Google Scholar] [CrossRef]
- Aamir, S. Co-morbid anxiety and depression among pulmonary tuberculosis patients. J. Coll. Physicians Surg. Pak. 2010, 20, 703–704. [Google Scholar]
- Iessa, N.; Murray, M.; Curran, S.; Wong, I.C.K. Asthma and suicide-related adverse events: A review of observational studies. Eur. Respir. Rev. 2011, 20, 287–292. [Google Scholar] [CrossRef]
- Moser, D.K.; Dracup, K.; Evangelista, L.; Zambroski, C.H.; Lennie, T.A.; Chung, M.L.; Doering, L.V.; Westlake, C.; Heo, S. Comparison of prevalence of symptoms of depression, anxiety, and hostility in elderly patients with heart failure, myocardial infarction, and a coronary artery bypass graft. Heart Lung 2010, 39, 378–385. [Google Scholar] [CrossRef]
- Linden, W.; Vodermaier, A.; MacKenzie, R.; Greig, D. Anxiety and depression after cancer diagnosis: Prevalence rates by cancer type, gender, and age. J. Affect. Disord. 2012, 141, 343–351. [Google Scholar] [CrossRef]
- Dixon, L.J.; Lee, A.A.; Viana, A.G.; McCowan, N.K.; Brodell, R.T.; Tull, M.T. Anxiety Sensitivity in Dermatological Patients. Psychosomatics 2016, 57, 498–504. [Google Scholar] [CrossRef] [PubMed]
- A Gupta, M.; Gupta, A.; Schork, N.J.; Ellis, C.N. Depression modulates pruritus perception: A study of pruritus in psoriasis, atopic dermatitis, and chronic idiopathic urticaria. Psychosom. Med. 1994, 56, 36–40. [Google Scholar] [CrossRef] [PubMed]
- Dalgard, F.J.; Svensson, Å.; Gieler, U.; Tomas-Aragones, L.; Lien, L.; Poot, F.; Jemec, G.B.E.; Misery, L.; Szabo, C.; Linder, D.; et al. Dermatologists across Europe underestimate depression and anxiety: Results from 3635 dermatological consultations. Br. J. Dermatol. 2018, 179, 464–470. [Google Scholar] [CrossRef] [PubMed]
- Mahdanian, A.; Shalileh, K.; Ashrafinia, N.; Arbabi, M.; Ghodsi, Z.; Noormohammadi, N.; Darvish, F.; Chams, C. Mental health in patients with pemphigus: An issue to worth consideration. Indian J. Dermatol. 2011, 56, 541–545. [Google Scholar] [CrossRef]
- Kayani, M.; Aslam, A. Bullous pemphigoid and pemphigus vulgaris. BMJ 2017, 357, j2169. [Google Scholar] [CrossRef] [PubMed]
- Yang, S.J.; Lee, H.E.; Chang, C.H.; Chen, C.B. IgG/IgA Pemphigus Presenting with Mixed Clinical Features of Pemphigus Erythematosus and IgA Pemphigus. Dermatol. Sin. 2019, 37, 226–228. [Google Scholar]
- Ivars, M.; Espana, A.; Alzuguren, P.; Pelacho, B.; Lasarte, J.J.; Lopez-Zabalza, M.J. The involvement of ADAM10 in mucocutaneous pemphigus vulgaris acantholysis depends on the autoantibody profile in each patient. Br. J. Dermatol. 2019. [Google Scholar] [CrossRef]
- Paolino, G.; Didona, D.; Magliulo, G.; Iannella, G.; Didona, B.; Mercuri, S.R.; Moliterni, E.; Donati, M.; Ciofalo, A.; Granata, M.; et al. Paraneoplastic Pemphigus: Insight into the Autoimmune Pathogenesis, Clinical Features and Therapy. Int. J. Mol. Sci. 2017, 18, 2532. [Google Scholar] [CrossRef]
- Kasperkiewicz, M.; Ellebrecht, C.T.; Takahashi, H.; Yamagami, J.; Zillikens, D.; Payne, A.S.; Amagai, M. Pemphigus. Nat. Rev. Dis. Primers 2017, 3, 17026. [Google Scholar] [CrossRef]
- Tavakolpour, S. Current and future treatment options for pemphigus: Is it time to move towards more effective treatments? Int. Immunopharmacol. 2017, 53, 133–142. [Google Scholar] [CrossRef]
- Hughes, J.E.; Barraclough, B.M.; Hamblin, L.G.; White, J.E. Psychiatric Symptoms in Dermatology Patients. Br. J. Psychiatry 1983, 143, 51–54. [Google Scholar] [CrossRef]
- Johnson, F.Y.A.; Mostaghimi, H. Co-morbidity between dermatologic diseases and psychiatric disorders in Papua New Guinea. Int. J. Dermatol. 1995, 34, 244–248. [Google Scholar] [CrossRef] [PubMed]
- Cohen, B.E.; Martires, K.J.; Ho, R.S.; Cohen, B.B.E. Psoriasis and the Risk of Depression in the US Population. JAMA Dermatol. 2016, 152, 73. [Google Scholar] [CrossRef] [PubMed]
- Vallerand, I.A.; Lewinson, R.T.; Parsons, L.; Hardin, J.; Haber, R.M.; Lowerison, M.W.; Barnabe, C.; Patten, S.B. Assessment of a Bidirectional Association Between Major Depressive Disorder and Alopecia Areata. JAMA Dermatol. 2019, 155, 475. [Google Scholar] [CrossRef]
- Silverberg, J. Comorbidities and the impact of atopic dermatitis. Ann. Allergy Asthma Immunol. 2019, 123, 144–151. [Google Scholar] [CrossRef]
- Jain, S.V.; Murrell, D.F. Psychosocial impact of inherited and autoimmune blistering diseases. Int. J. Women’s Dermatol. 2018, 4, 49–53. [Google Scholar] [CrossRef]
- Gudi, V.; White, M.; Cruickshank, N.; Herriot, R.; Edwards, S.; Nimmo, F.; Ormerod, A. Annual incidence and mortality of bullous pemphigoid in the Grampian Region of North-east Scotland. Br. J. Dermatol. 2005, 153, 424–427. [Google Scholar] [CrossRef] [PubMed]
- Ghodsi, S.Z.; Chams-Davatchi, C.; Daneshpazhooh, M.; Valikhani, M.; Esmaili, N. Quality of life and psychological status of patients with pemphigus vulgaris using Dermatology Life Quality Index and General Health Questionnaires. J. Dermatol. 2011, 39, 141–144. [Google Scholar] [CrossRef] [PubMed]
- Paradisi, A.; Sampogna, F.; Di Pietro, C.; Cianchini, G.; Didona, B.; Ferri, R.; Abeni, D.; Tabolli, S. Quality-of-life assessment in patients with pemphigus using a minimum set of evaluation tools. J. Am. Acad. Dermatol. 2009, 60, 261–269. [Google Scholar] [CrossRef]
- Stetler, C.A.; Miller, G.E. Depression and Hypothalamic-Pituitary-Adrenal Activation: A Quantitative Summary of Four Decades of Research. Psychosom. Med. 2011, 73, 114–126. [Google Scholar] [CrossRef]
- Shao, C.-C.; Chang, C.-P.; Chou, L.-F.; Chen, T.-J.; Hwang, S.-J. The ecology of medical care in Taiwan. J. Chin. Med. Assoc. 2011, 74, 408–412. [Google Scholar] [CrossRef] [PubMed]

| Characteristics | Pemphigus | p-Value | |
|---|---|---|---|
| No | Yes | ||
| N = 3674 | N = 926 | ||
| n (%) | n (%) | ||
| Age group (year) | 0.92 | ||
| 20−49 | 1768 (48.1) | 442 (47.7) | |
| 50−64 | 1012 (27.6) | 253 (27.3) | |
| ≥65 | 894 (24.3) | 231 (25.0) | |
| Age, mean ± SD a (year) | 52.6 ± 16.5 | 52.9 ± 16.6 | 0.58 |
| Sex | 0.97 | ||
| Women | 1956 (53.2) | 493 (53.2) | |
| Men | 1718 (46.8) | 433 (46.8) | |
| Monthly income b | 0.99 | ||
| <15,000 | 819 (22.3) | 206 (22.3) | |
| 15,000−19,999 | 1663 (45.3) | 418 (45.1) | |
| ≥20,000 | 1192 (32.4) | 302 (32.6) | |
| Urbanization level c | 0.99 | ||
| 1 (highest) | 1197 (32.6) | 302 (32.6) | |
| 2 | 1141 (31.1) | 288 (31.1) | |
| 3 | 592 (16.1) | 149 (16.1) | |
| 4 (lowest) | 744 (20.3) | 187 (20.2) | |
| Occupation d | 0.99 | ||
| Office worker | 2058 (56.0) | 519 (56.1) | |
| Laborer | 1291 (35.1) | 325 (35.1) | |
| Other | 325 (8.85) | 82 (8.86) | |
| Comorbidity | |||
| HTN | 204 (5.55) | 282 (30.5) | <0.001 |
| DM | 75 (2.04) | 93 (10.0) | <0.001 |
| HL | 100 (2.72) | 180 (19.4) | <0.001 |
| Asthma/COPD | 143 (3.89) | 82 (8.86) | <0.001 |
| CLD | 642 (17.5) | 163 (17.6) | 0.93 |
| CKD | 58 (1.58) | 14 (1.51) | 0.88 |
| Cancer | 91 (2.48) | 24 (2.59) | 0.84 |
| Medicines | |||
| Steroids | 3404 (92.7) | 926 (100.0) | <0.001 |
| Azathioprin | 3 (0.08) | 423 (45.7) | <0.001 |
| Event | PY | Rate # | Crude HR (95% CI) | Adjusted HR & (95% CI) | |
|---|---|---|---|---|---|
| Pemphigus | |||||
| No | 91 | 20,282 | 4.49 | 1.00 | 1.00 |
| Yes | 41 | 4606 | 8.90 | 1.98 (1.37, 2.86) *** | 1.99 (1.32, 3.00) ** |
| Age, year | |||||
| 20−49 | 63 | 12,921 | 4.88 | 1.00 | 1.00 |
| 50−64 | 25 | 6656 | 3.76 | 0.77 (0.48, 1.22) | 0.71 (0.45, 1.14) |
| ≥65 | 44 | 5311 | 8.28 | 1.69 (1.15, 2.49) ** | 1.42 (0.92, 2.21) |
| Gender | |||||
| Women | 78 | 13,893 | 5.61 | 1.00 | |
| Men | 54 | 10,995 | 4.91 | 0.87 (0.62, 1.23) | |
| Monthly income a | |||||
| <15,000 | 42 | 5408 | 7.77 | 2.05 (1.29, 3.24) ** | 1.81 (1.07, 3.06) * |
| 15,000−19,999 | 58 | 11,028 | 5.26 | 1.39 (0.90, 2.14) | 1.17 (0.71, 1.93) |
| ≥20,000 | 32 | 8452 | 3.79 | 1.00 | 1.00 |
| Urbanization level b | |||||
| 1 (highest) | 47 | 8435 | 5.57 | 1.00 | |
| 2 | 38 | 7570 | 5.02 | 0.90 (0.59, 1.38) | |
| 3 | 18 | 3871 | 4.65 | 0.83 (0.48, 1.44) | |
| 4 (lowest) | 29 | 5013 | 5.79 | 1.04 (0.65, 1.65) | |
| Occupation c | |||||
| Office worker | 66 | 14,034 | 4.70 | 1.00 | 1.00 |
| Laborer | 48 | 8594 | 5.59 | 1.19 (0.82, 1.72) | 1.21 (0.76, 1.93) |
| Other | 18 | 2260 | 7.97 | 1.69 (1.01, 2.85) * | 1.10 (0.61, 1.98) |
| Comorbidity | |||||
| HTN | |||||
| No | 114 | 22,817 | 5.00 | 1.00 | 1.00 |
| Yes | 18 | 2071 | 8.69 | 1.73 (1.05, 2.85) * | 0.75 (0.41, 1.42) |
| DM | |||||
| No | 126 | 24,163 | 5.21 | 1.00 | 1.00 |
| Yes | 6 | 725 | 8.27 | 1.59 (0.70, 3.58) | |
| HL | |||||
| No | 117 | 23,580 | 4.96 | 1.00 | 1.00 |
| Yes | 15 | 1308 | 11.5 | 2.30 (1.34, 3.94) ** | 1.48 (0.78, 2.82) |
| Asthma/COPD | |||||
| No | 121 | 23,912 | 5.06 | 1.00 | 1.00 |
| Yes | 11 | 976 | 11.3 | 2.20 (1.19, 4.09) * | 1.40 (0.72, 2.69) |
| CLD | |||||
| No | 99 | 20,806 | 4.76 | 1.00 | 1.00 |
| Yes | 33 | 4082 | 8.08 | 1.69 (1.14, 2.51) ** | 1.61 (1.07, 2.43) * |
| CKD | |||||
| No | 130 | 24,611 | 5.28 | 1.00 | 1.00 |
| Yes | 2 | 277 | 7.21 | 1.36 (0.34, 5.51) | |
| Cancer | |||||
| No | 129 | 24,456 | 5.27 | 1.00 | 1.00 |
| Yes | 3 | 432 | 6.95 | 1.30 (0.41, 4.08) | |
| Medicines Steroids | |||||
| No | 3 | 1313 | 2.28 | 1.00 | 1.00 |
| Yes | 129 | 23,575 | 5.47 | 2.39 (0.76, 7.50) | |
| Azathioprin | |||||
| No | 115 | 22,784 | 5.05 | 1.00 | 1.00 |
| Yes | 17 | 2104 | 8.08 | 1.60 (0.96, 2.67) |
| Pemphigus | ||||||||
|---|---|---|---|---|---|---|---|---|
| No | Yes | |||||||
| Event | PY | Rate a | Event | PY | Rate a | Crude HR (95% CI) | Adjusted HR b (95% CI) | |
| Age group | ||||||||
| 20−49 | 42 | 10,411 | 4.03 | 21 | 2510 | 8.37 | 2.07 (1.23, 3.49) ** | 1.86 (1.06, 3.26) * |
| 50−64 | 16 | 5405 | 2.96 | 9 | 1251 | 7.20 | 2.41 (1.06, 5.45) * | 1.98 (0.75, 5.26) |
| ≥65 | 33 | 4466 | 7.39 | 11 | 845 | 13.0 | 1.75 (0.88, 3.47) | 1.709 (0.75, 3.87) |
| Sex | ||||||||
| Female | 53 | 11,264 | 4.71 | 25 | 2629 | 9.51 | 2.02 (1.26, 3.25) ** | 2.09 (1.24, 3.54) ** |
| Male | 38 | 9018 | 4.21 | 16 | 1977 | 8.09 | 1.91 (1.07, 3.43) * | 1.87 (0.97, 3.60) |
| Monthly income c | ||||||||
| <15,000 | 28 | 4484 | 6.24 | 14 | 925 | 15.1 | 2.42 (1.27, 4.60) ** | 2.28 (1.14, 4.58) * |
| 15,000−19,999 | 42 | 8987 | 4.67 | 16 | 2041 | 7.84 | 1.68 (0.94, 2.99) | 1.57 (0.81, 3.04) |
| ≥20,000 | 21 | 6811 | 3.08 | 11 | 1640 | 6.71 | 2.16 (1.04, 4.49) * | 2.29 (1.03, 5.10) * |
| Urbanization level d | ||||||||
| 1 (highest) | 33 | 6846 | 4.82 | 14 | 1589 | 8.81 | 1.81 (0.97, 3.38) | 2.04 (1.05, 3.94) * |
| 2 | 24 | 6167 | 3.89 | 14 | 1403 | 9.98 | 2.59 (1.34, 5.01) ** | 1.73 (0.79, 3.76) |
| 3 | 13 | 3160 | 4.11 | 5 | 711 | 7.04 | 1.69 (0.60, 4.73) | 1.85 (0.62, 5.52) |
| 4 (lowest) | 21 | 4109 | 5.11 | 8 | 903 | 8.86 | 1.70 (0.75, 3.83) | 2.29 (0.90, 5.81) |
| Occupation category e | ||||||||
| Office worker | 42 | 11,441 | 3.67 | 24 | 2593 | 9.25 | 2.53 (1.53, 4.17) *** | 2.49 (1.41, 4.39) ** |
| Laborer | 36 | 6998 | 5.14 | 12 | 1596 | 7.52 | 1.46 (0.76, 2.81) | 1.38 (0.66, 2.88) |
| Other | 13 | 1843 | 7.05 | 5 | 417 | 12.0 | 1.71 (0.61, 4.80) | 1.68 (0.55, 5.09) |
| Comorbidity f | ||||||||
| No | 61 | 15,770 | 3.87 | 20 | 2765 | 7.23 | 1.87 (1.13, 3.11) * | 2.13 (1.28, 3.57) ** |
| Yes | 30 | 4512 | 6.65 | 21 | 1841 | 11.4 | 1.709 (0.97, 2.97) | 1.73 (0.99, 3.03) |
| Follow-up | ||||||||
| <6 months | 7 | 1825 | 3.83 | 9 | 447 | 20.1 | 5.23 (1.95, 14.0) ** | 4.33 (1.42, 13.2) * |
| ≥6 months | 84 | 18,457 | 4.55 | 32 | 4159 | 7.69 | 1.69 (1.13, 2.54) * | 1.76 (1.121, 2.75) * |
© 2020 by the authors. Licensee MDPI, Basel, Switzerland. This article is an open access article distributed under the terms and conditions of the Creative Commons Attribution (CC BY) license (http://creativecommons.org/licenses/by/4.0/).
Share and Cite
Hsu, Y.-M.; Fang, H.-Y.; Lin, C.-L.; Shieh, S.-H. The Risk of Depression in Patients with Pemphigus: A Nationwide Cohort Study in Taiwan. Int. J. Environ. Res. Public Health 2020, 17, 1983. https://doi.org/10.3390/ijerph17061983
Hsu Y-M, Fang H-Y, Lin C-L, Shieh S-H. The Risk of Depression in Patients with Pemphigus: A Nationwide Cohort Study in Taiwan. International Journal of Environmental Research and Public Health. 2020; 17(6):1983. https://doi.org/10.3390/ijerph17061983
Chicago/Turabian StyleHsu, Yi-Min, Hsin-Yu Fang, Cheng-Li Lin, and Shwn-Huey Shieh. 2020. "The Risk of Depression in Patients with Pemphigus: A Nationwide Cohort Study in Taiwan" International Journal of Environmental Research and Public Health 17, no. 6: 1983. https://doi.org/10.3390/ijerph17061983
APA StyleHsu, Y.-M., Fang, H.-Y., Lin, C.-L., & Shieh, S.-H. (2020). The Risk of Depression in Patients with Pemphigus: A Nationwide Cohort Study in Taiwan. International Journal of Environmental Research and Public Health, 17(6), 1983. https://doi.org/10.3390/ijerph17061983

