Ultra-Short-Term and Short-Term Heart Rate Variability Recording during Training Camps and an International Tournament in U-20 National Futsal Players
Abstract
1. Introduction
2. Materials and Methods
2.1. Subjects
2.2. Experimental Procedure
2.3. Heart Rate Variability
2.4. Training Load
2.5. Recovery Status
2.6. Statistical Analyses
3. Results
3.1. Heart Rate Variability
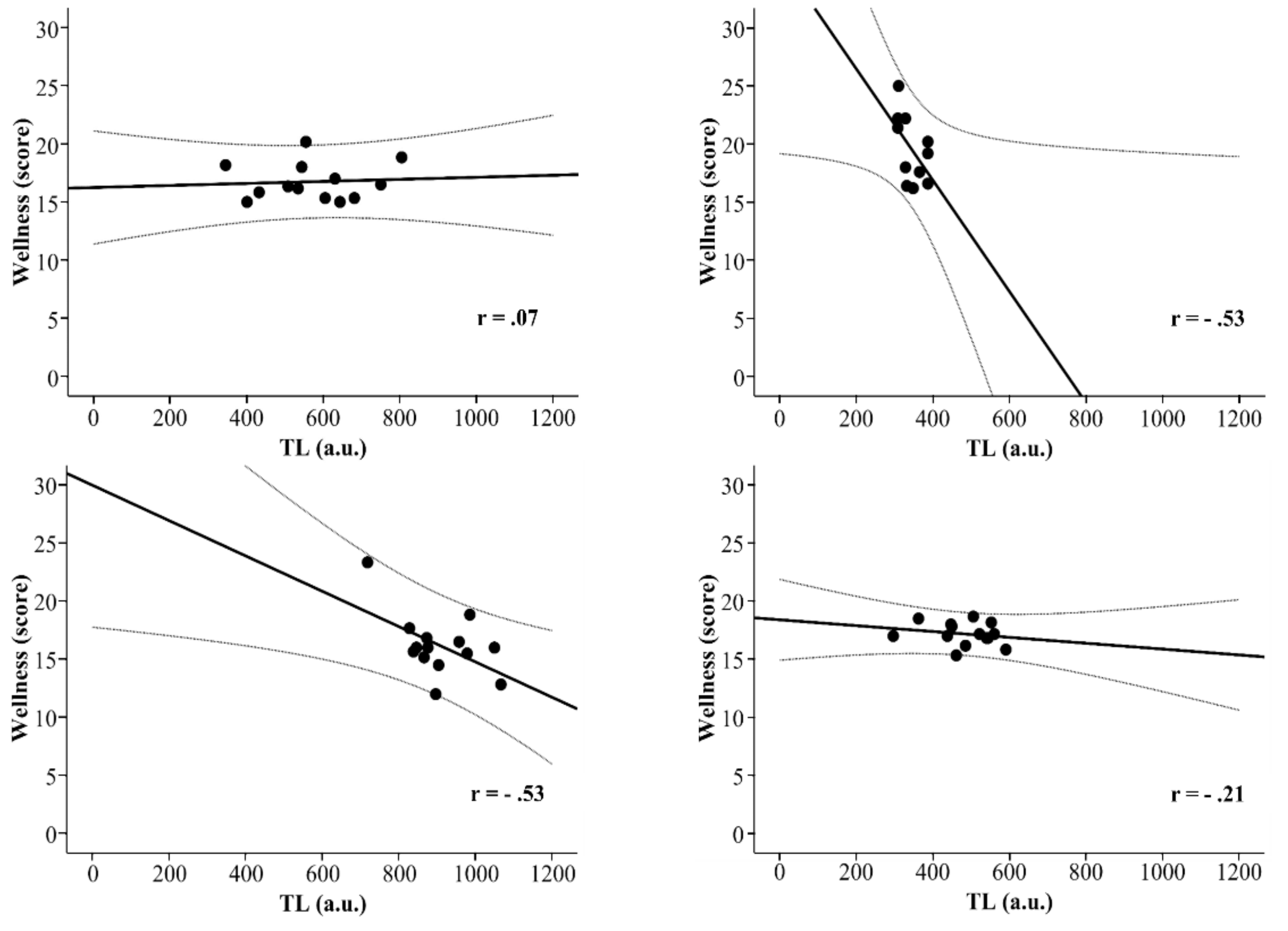
3.2. Session Rating of Perceived Exertion and General Wellness Score
4. Discussion
5. Conclusions
Author Contributions
Funding
Acknowledgments
Conflicts of Interest
References
- Barbero-Alvarez, J.C.; Soto, V.M.; Barbero-Alvarez, V.; Granda-Vera, J. Match analysis and heart rate of futsal players during competition. J. Sport. Sci. 2008, 26, 63–73. [Google Scholar] [CrossRef] [PubMed]
- Naser, N.; Ali, A.; Macadam, P. Physical and physiological demands of futsal. J. Exer. Sci. Fitn. 2017, 15, 76–80. [Google Scholar] [CrossRef] [PubMed]
- Dal Pupo, J.; Detanico, D.; Ache-Dias, J.; Santos, S.G.D. The fatigue effect of a simulated futsal match protocol on sprint performance and kinematics of the lower limbs. J. Sport. Sci. 2017, 35, 81–88. [Google Scholar] [CrossRef] [PubMed]
- Dogramaci, S.N.; Watsford, M.L.; Murphy, A.J. Time-motion analysis of International and national level futsal. J. Streng. Condition. Res. 2011, 25, 646–651. [Google Scholar] [CrossRef] [PubMed]
- da Silva, V.P.; de Oliveira, N.A.; Silveira, H.; Mello, R.G.T.; Deslandes, A.C. Heart rate variability indexes as a marker of chronic adaptation in athletes: A systematic review. Ann. Noninv. Electrocard. 2015, 20, 108–118. [Google Scholar] [CrossRef]
- Sandercock, G.R.H.; Bromley, P.D.; Brodie, D.A. Effects of exercise on heart rate variability: inferences from meta-analysis. Med. Sci. Sport. Exer. 2005, 37, 433–439. [Google Scholar] [CrossRef]
- Chen, Y.-S.; Liao, C.-J.; Lu, W.-A.; Kuo, C.-D. Sympathetic enhancement in futsal players but not in football players after repeated sprint ability test. BMJ Open Sport Exer. Med. 2015, 1, e000049. [Google Scholar] [CrossRef]
- Makivić, B.; Nikić, M.D.; Willis, M.S. Heart rate variability (HRV) as a tool for diagnostic and monitoring performance in sport and physical activities. J. Exer. Physiol. Onl. 2013, 16, 103–131. [Google Scholar]
- Michael, S.; Jay, O.; Halaki, M.; Graham, K.; Davis, G.M. Submaximal exercise intensity modulates acute post-exercise heart rate variability. Europ. J. Appl. Physiol. 2016, 116, 697–706. [Google Scholar] [CrossRef]
- Plews, D.J.; Laursen, P.B.; Stanley, J.; Kilding, A.E.; Buchheit, M. Training adaptation and heart rate variability in elite endurance athletes: Opening the door to effective monitoring. Sport. Med. 2013, 43, 773–781. [Google Scholar] [CrossRef]
- Nakamura, F.Y.; Pereira, L.A.; Rabelo, F.N.; Flatt, A.A.; Esco, M.R.; Bertollo, M.; Loturco, I. Monitoring weekly heart rate variability in futsal players during the preseason: the importance of maintaining high vagal activity. J. Sport. Sci. 2016, 34, 2262–2268. [Google Scholar] [CrossRef] [PubMed]
- Nakamura, F.Y.; Pereira, L.A.; Cal Abad, C.C.; Cruz, I.F.; Flatt, A.A.; Esco, M.R.; Loturco, I. Adequacy of the ultra-short-term HRV to assess adaptive processes in youth female basketball players. J. Hum. Kinet. 2017, 56, 73–80. [Google Scholar] [CrossRef] [PubMed]
- Pereira, L.; Flatt, A.; Ramirez-Campillo, R.; Loturco, I.; Nakamura, F. Assessing shortened field-based heart rate variability data acquisition in team-sport athletes. Int. J. Sport. Physiol. Perform. 2016, 11, 154–158. [Google Scholar] [CrossRef] [PubMed]
- Castaldo, R.; Montesinos, L.; Melillo, P.; James, C.; Pecchia, L. Ultra-short term HRV features as surrogates of short term HRV: a case study on mental stress detection in real life. BMC Med. Inform. Decis. Mak. 2019, 19, 12. [Google Scholar] [CrossRef] [PubMed]
- Melo, H.M.; Martins, T.C.; Nascimento, L.M.; Hoeller, A.A.; Walz, R.; Takase, E. Ultra-short heart rate variability recording reliability: The effect of controlled paced breathing. Ann. Noninv. Electrocar. 2018, 23, e12565. [Google Scholar] [CrossRef] [PubMed]
- Nussinovitch, U.; Cohen, O.; Kaminer, K.; Ilani, J.; Nussinovitch, N. Evaluating reliability of ultra-short ECG indices of heart rate variability in diabetes mellitus patients. J. Diab. Compl. 2012, 26, 450–453. [Google Scholar] [CrossRef]
- Esco, M.R.; Flatt, A.A. Ultra-short-term heart rate variability indexes at rest and post-exercise in athletes: evaluating the agreement with accepted recommendations. J. Sport. Sci. Med. 2014, 13, 535–541. [Google Scholar]
- Esco, M.R.; Flatt, A.A.; Nakamura, F.Y. Agreement between a smartphone pulse sensor application and electrocardiography for determining lnRMSSD. The J. Str. Cond. Res. 2017, 31, 380–385. [Google Scholar] [CrossRef]
- Flatt, A.A.; Esco, M.R. Validity of the ithlete™ smart phone application for determining ultra-short-term heart rate variability. J. Hum. Kin. 2013, 39, 85–92. [Google Scholar] [CrossRef]
- Nakamura, F.Y.; Flatt, A.A.; Pereira, L.A.; Ramirez-Campillo, R.; Loturco, I.; Esco, M.R. Ultra-short-term heart rate variability is sensitive to training effects in team sports players. J. Sport. Sci. Med. 2015, 14, 602–605. [Google Scholar]
- Flatt, A.A.; Esco, M.R. Heart rate variability stabilization in athletes: towards more convenient data acquisition. Clin. Physiol. Funct. Imag. 2016, 36, 331–336. [Google Scholar] [CrossRef] [PubMed]
- Bourdon, P.C.; Cardinale, M.; Murray, A.; Gastin, P.; Kellmann, M.; Varley, M.C.; Gabbett, T.J.; Coutts, A.J.; Burgess, D.J.; Gregson, W.; et al. Monitoring athlete training loads: consensus statement. Int. J. Sport. Phys. Perform. 2017, 12, S2161–S2170. [Google Scholar] [CrossRef] [PubMed]
- Clemente, F.M.; Rabbani, A.; Araújo, J.P. Ratings of perceived recovery and exertion in elite youth soccer players: Interchangeability of 10-point and 100-point scales. Phys. Beh. 2019, 210, 112641. [Google Scholar] [CrossRef] [PubMed]
- Kellmann, M.; Bertollo, M.; Bosquet, L.; Brink, M.; Coutts, A.J.; Duffield, R.; Erlacher, D.; Halson, S.L.; Hecksteden, A.; Heidari, J.; et al. Recovery and performance in sport: consensus statement. International J. Sport. Phys. Perform. 2018, 13, 240–245. [Google Scholar] [CrossRef]
- Haddad, M.; Stylianides, G.; Djaoui, L.; Dellal, A.; Chamari, K. Session-RPE method for training load monitoring: validity, ecological usefulness, and influencing factors. Front. Neurosci. 2017, 11, 612. [Google Scholar] [CrossRef]
- Buchheit, M. Monitoring training status with HR measures: do all roads lead to Rome? Front. Phys. 2014, 5, 73. [Google Scholar] [CrossRef]
- Rabbani, A.; Baseri, M.K.; Reisi, J.; Clemente, F.M.; Kargarfard, M. Monitoring collegiate soccer players during a congested match schedule: Heart rate variability versus subjective wellness measures. Phys. Beh. 2018, 194, 527–531. [Google Scholar] [CrossRef]
- Clemente, F.M.; Mendes, B.; Nikolaidis, P.T.; Calvete, F.; Carriço, S.; Owen, A.L. Internal training load and its longitudinal relationship with seasonal player wellness in elite professional soccer. Phys. Beh. 2017, 179, 262–267. [Google Scholar] [CrossRef]
- Clemente, F.M.; Martinho, R.; Calvete, F.; Mendes, B. Training load and well-being status variations of elite futsal players across a full season: Comparisons between normal and congested weeks. Phys. Beh. 2019, 201, 123–129. [Google Scholar] [CrossRef]
- Task Force of the European Society of Cardiology; The North American Society of Pacing and Electrophysiology. Heart rate variability: Standards of measurement, physiological interpretation, and clinical use. Circulation 1996, 93, 1043–1065. [Google Scholar] [CrossRef]
- Faulkner, J.A. Physiology of swimming and diving. In Exercise Physiology; Falls, H.B., Ed.; Academic Press: New York, NY, USA, 1968; pp. 415–446. [Google Scholar]
- Lu, Y.-X.; Clemente, F.M.; Bezerra, J.P.; Chen, Y.-S. Training load and recovery status during a short-term overseas training camp in Taiwan futsal players. Hum. Move. 2019, 18, 98–105. [Google Scholar] [CrossRef]
- Tarvainen, M.P.; Niskanen, J.-P.; Lipponen, J.A.; Ranta-aho, P.O.; Karjalainen, P.A. Kubios HRV – Heart rate variability analysis software. Comput. Meth. Prog. Biomed. 2014, 113, 210–220. [Google Scholar] [CrossRef] [PubMed]
- Borg, G. Borg’s Perceived Exertion and Pain Scales; Human Kinetics: Champaign, IL, USA, 1998. [Google Scholar]
- Foster, C.A.; Florhaug, J.; Franklin, J.; Gottschall, L.; Hrovatin, L.A.; Parker, S.; Doleshal, P.; Dodge, C. A new approach to monitoring exercise training. The J. Str. Cond. Res. 2001, 15, 109–115. [Google Scholar] [CrossRef]
- McLean, B.; Coutts, A.; Kelly, V.; McGuigan, M.; Cormack, S. Neuromuscular, endocrine, and perceptual fatigue responses during different length between-match microcycles in professional rugby league players. Int. J. Sport. Phys. Perform. 2010, 5, 367–383. [Google Scholar] [CrossRef] [PubMed]
- Nakamura, F.Y.; Antunes, P.; Nunes, C.; Costa, J.A.; Esco, M.R.; Travassos, B. Heart rate variability changes from traditional vs. ultra–short-term recordings in relation to preseason training load and performance in futsal players. The J. Str. Cond. Res. 2018. [Google Scholar] [CrossRef]
- Hopkins, W.G.; Marshall, S.W.; Batterham, A.M.; Hanin, J. Progressive statistics for studies in sports medicine and exercise science. Med. Sci. Sport. Exer. 2009, 41, 3–12. [Google Scholar] [CrossRef]
- Bland, J.M.; Altman, D.G. Statistical methods for assessing agreement between two methods of clinical measurement. The Lancet 1986, 327, 307–310. [Google Scholar] [CrossRef]
- Oliveira, R.S.; Leicht, A.S.; Bishop, D.; Barbero-Álvarez, J.C.; Nakamura, F.Y. Seasonal changes in physical performance and heart rate variability in high level futsal players. Int. J. Sport. Med. 2013, 34, 424–430. [Google Scholar] [CrossRef]
- Nakamura, F.Y.; Pereira, L.A.; Esco, M.R.; Flatt, A.A.; Moraes, J.E.; Cal Abad, C.C.; Loturco, I. Intraday and interday reliability of ultra-short-term heart rate variability in rugby union players. The J. Str. Cond. Res. 2017, 31, 548–551. [Google Scholar] [CrossRef]
- Krejčí, J.; Botek, M.; McKune, A.J. Stabilization period before capturing an ultra-short vagal index can be shortened to 60 s in endurance athletes and to 90 s in university students. PloS ONE 2018, 13, e0205115. [Google Scholar] [CrossRef]
- Plews, D.J.; Laursen, P.B.; Kilding, A.E.; Buchheit, M. Evaluating training adaptation with heart-rate measures: a methodological comparison. Int. J. Sport. Phys. Perform. 2013, 8, 688. [Google Scholar] [CrossRef] [PubMed]
- Plews, D.J.; Laursen, P.B.; Meur, Y.L.; Hausswirth, C.; Kilding, A.E.; Buchheit, M. Monitoring training with heart-rate variability: how much compliance is needed for valid assessment? Int. J. Sport. Phys. Perform. 2014, 9, 783. [Google Scholar] [CrossRef] [PubMed]
- Flatt, A.A.; Howells, D. Effects of varying training load on heart rate variability and running performance among an Olympic rugby sevens team. J. Sci. Med. Sport. 2019, 22, 222–226. [Google Scholar] [CrossRef] [PubMed]
- Flatt, A.A.; Howells, D.; Williams, S. Effects of consecutive domestic and international tournaments on heart rate variability in an elite rugby sevens team. J. Sci. Med. Sport. 2019, 22, 616–621. [Google Scholar] [CrossRef]


| Periods | Day 1 | Day 2 | Day 3 | Day 4 | Day 5 | Day 6 | Day 7 | Day 8 |
|---|---|---|---|---|---|---|---|---|
| TC1st | Registration and TD (116 min) | TD (116 min) | TD (115 min) | TD (109 and 121 min) | TD (116 min) | TD (132 min) | TD (113 min) | |
| IT | Travelling to Shenzhen and TD (115 min) | FM vs. Hong Kong; 5:2; Win (89 min) | FM vs. Macau; 10:0; Win (100 min) | FM vs. Shenzhen; 5:0; Win (101 min) | FM vs. Hong Kong; 5:3; Win (91 min) | Travelling to Taiwan | ||
| TC2nd | TD (136 min) | TD (115 min and 103 min) | TD (121 min and 121 min) | TD (99 min) | TD (121 min and 118 min) | TD (116 min and 100 min) | TD (121 min) | |
| OT | Travelling to Mongolia | TD (123 min) | TM vs. Japan; 10:1; Lost (101 min) | TD (94 min) | TD (48 min) | OM vs. Mongolia; 3:1; Win (86 min) | OM vs. China; 7:3; Win (97 min) | Travelling to Taiwan |
| Study Periods | Time Segments | ES (90% CI) | ICC (90% CI) | Bias ( ± 1.96*SD) |
|---|---|---|---|---|
| TC1st (n = 13) | Standard 5 min | - | - | - |
| 0–30 s | 0.11 (−0.53; 0.76) | 0.98 (0.95; 0.99) | 0.07 (−0.19; 0.32) | |
| 0–1 min | 0.07 (−0.57; 0.72) | 0.99 (0.97; 1.00) | 0.05 (−0.14; 0.24) | |
| 0–2 min | 0.08 (−0.57; 0.72) | 0.99 (0.98; 1.00) | 0.04 (−0.09; 0.18) | |
| 0–3 min | 0.06 (−0.59; 0.70) | 1.00 (0.99; 1.00) | 0.03 (−0.08; 0.14) | |
| 0–4 min | 0.02 (−0.63; −0.67) | 1.00 (1.00; 1.00) | 0.01 (−0.03; 0.06) | |
| IT (n = 11) | Standard 5 min | − | − | − |
| 0–30 s | 0.08 (−0.62; 0.78) | 0.98 (0.96; 0.99) | 0.05 (−0.23; 0.33) | |
| 0–1 min | 0.11 (−0.59; −0.82) | 0.98 (0.95; 0.99) | 0.06 (−0.24; 0.37) | |
| 0–2 min | 0.05 (−0.65;−0.75) | 0.99 (0.96; 1.00) | 0.03 (−0.25; 0.30) | |
| 0–3 min | 0.00 (−0.70; −0.70) | 1.00 (0.99; 1.00) | 0.01 (−0.11; 0.10) | |
| 0–4 min | 0.00 (−0.70; −0.70) | 1.00 (1.00; 1.00) | 0.00 (−0.05; 0.04) | |
| TC2nd (n = 14) | Standard 5 min | − | − | − |
| 0–30 s | 0.12 (−0.50; 0.75) | 0.98 (0.95; 0.99) | 0.04 (−0.13; 0.20) | |
| 0–1 min | 0.09 (−0.53; −0.72) | 0.99 (0.96; 0.99) | 0.02 (−0.12; 0.17) | |
| 0–2 min | 0.06 (−0.56; −0.69) | 1.00 (1.00; 1.00) | 0.02 (−0.06; 0.09) | |
| 0–3 min | 0.00 (−0.62; −0.62) | 1.00 (1.00; 1.00) | 0.00 (−0.05; 0.05) | |
| 0–4 min | 0.00 (−0.62; −0.62) | 1.00 (1.00; 1.00) | 0.00 (−0.03; 0.03) | |
| OT (n = 14) | Standard 5 min | − | − | − |
| 0–30 s | 0.18 (−0.44; −0.81) | 0.96 (0.88; 0.98) | 0.09 (−0.28; 0.45) | |
| 0–1 min | 0.13 (−0.49; −0.76) | 0.98 (0.95; 0.99) | 0.05 (−0.14; 0.25) | |
| 0–2 min | 0.05 (−0.57; −0.67) | 1.00 (0.99; 1.00) | 0.02 (−0.07; 0.12) | |
| 0–3 min | 0.02 (−0.60; −0.65) | 1.00 (1.00; 1.00) | 0.01 (−0.06; 0.08) | |
| 0–4 min | 0.00 (−0.62; −0.62) | 1.00 (1.00; 1.00) | 0.00 (−0.05; 0.04) |
| Study Periods | Time Segments | ES (90% CI) | ICC (90% CI) | Bias ( ± 1.96*SD) |
|---|---|---|---|---|
| TC1st (n = 13) | Standard 5 min | - | - | - |
| 0–30 s | −0.20 (−0.85; 0.44) | 0.83 (0.55; 0.94) | −1.13 (−9.24; 6.98) | |
| 0–1 min | −0.10 (−0.76; 0.54) | 0.97 (0.93; 0.99) | −0.60 (−3.97; 2.78) | |
| 0–2 min | −0.02 (−0.67; 0.62) | 0.99 (0.98; 1.00) | −0.16 (−2.05; 1.73) | |
| 0–3 min | −0.03 (−0.68; 0.61) | 0.99 (0.98; 1.00) | −0.19 (−2.29; 1.92) | |
| 0–4 min | 0.00 (−0.64; 0.65) | 1.00 (0.99; 1.00) | 0.02 (−1.39; 1.44) | |
| IT (n = 11) | Standard 5 min | − | − | − |
| 0–30 s | −0.70 (−1.45; 0.00) | 0.65 (0.06; 0.87) | −2.92 (−9.98; 4.15) | |
| 0–1 min | −0.64 (−1.38; 0.07) | 0.69 (0.15; 0.89) | −2.52 (−8.88; 3.84) | |
| 0–2 min | −0.29 (−1.00; 0.41) | 0.94 (0.77; 0.98) | −0.78 (−2.85; 1.29) | |
| 0–3 min | −0.15 (−0.86; 0.55) | 0.94 (0.84; 0.98) | −0.47 (−3.14; 2.21) | |
| 0–4 min | −0.04 (−0.75; 0.66) | 0.99 (0.97; 1.00) | −0.11 (−1.21; 0.98) | |
| TC2nd (n = 14) | Standard 5 min | − | − | − |
| 0–30 s | −0.91 (−1.58;−0.27) | 0.55 (−0.07; 0.82) | −3.04 (−9.22; 3.13) | |
| 0–1 min | −0.64 (−1.30;−0.01) | 0.67 (0.15; 0.87) | −2.11 (−7.84; 3.62) | |
| 0–2 min | −0.32 (−0.95;−0.30) | 0.93 (0.74; 0.98) | −0.81 (−2.89; 1.28) | |
| 0–3 min | −0.18 (−0.81;−0.44) | 0.95 (0.87; 0.98) | −0.45 (−2.34; 1.44) | |
| 0–4 min | −0.07 (−0.69;−0.56) | 0.99 (0.98; 1.00) | −0.15 (−1.02; 0.72) | |
| OT (n = 14) | Standard 5 min | − | − | − |
| 0–30 s | −0.29 (−0.93; 0.33) | 0.95 (0.76; 0.98) | −1.46 (−4.61; 1.69) | |
| 0–1 min | −0.08 (−0.70; 0.54) | 0.98 (0.95; 0.99) | −0.33 (−2.78; 2.12) | |
| 0–2 min | −0.06 (−0.68; 0.56) | 0.99 (0.98; 1.00) | −0.20 (−1.57; 1.16) | |
| 0–3 min | −0.07 (−0.69; 0.55) | 0.99 (0.97; 1.00) | −0.31 (−2.08; 1.46) | |
| 0–4 min | −0.02 (−0.64; 0.60) | 0.99 (0.98; 1.00) | −0.08 (−1.60; 1.44) |
| Parameters | TC1st | IT | TC2nd | OT | Qualitative Inferences for Effect Magnitude (Mean Difference; ± 90% CL) | |
|---|---|---|---|---|---|---|
| sRPE (a.u.) | 553.15 ± 114.84 | 334.90 ± 44.21 | 906.32 ± 93.60 | 482.75 ± 81.22 | Most likely large: | TC1st vs. IT (209.81; 23.05); 100/0/0 |
| TC2nd vs. OT (421.17; 1.9); 100/0/0 | ||||||
| Most likely small: | TC1st vs. TC2nd (-363.56; 8.30); 0/0/100 | |||||
| IT vs. TC2nd (-573.38; 1.20); 0/0/100 | ||||||
| IT vs. OT (-152.20; 12.50); 0/0/100 | ||||||
| Unclear: | TC1st vs. OT (57.61; -); 50/0/50 | |||||
| Wellness (score) | 16.74 ± 1.61 | 20.00 ± 3.18 | 16.63 ± 2.44 | 17.18 ± 0.98 | Most likely large: | IT vs. TC2nd (3.69; 1.6); 99.2/0.3/0.5 |
| IT vs. OT (2.81; 1.8); 97.6/1.0/1.3 | ||||||
| Most likely small | TC1st vs. IT (-3.24; 0.5); 0/0/100 | |||||
| Unclear: | TC1st vs. TC2nd (0.46; -); 50/0/50 | |||||
| TC1st vs. OT (-0.43; -); 50/0/50 | ||||||
| TC2nd vs. OT (-0.89; -); 50/0/50 | ||||||
© 2020 by the authors. Licensee MDPI, Basel, Switzerland. This article is an open access article distributed under the terms and conditions of the Creative Commons Attribution (CC BY) license (http://creativecommons.org/licenses/by/4.0/).
Share and Cite
Chen, Y.-S.; Clemente, F.M.; Bezerra, P.; Lu, Y.-X. Ultra-Short-Term and Short-Term Heart Rate Variability Recording during Training Camps and an International Tournament in U-20 National Futsal Players. Int. J. Environ. Res. Public Health 2020, 17, 775. https://doi.org/10.3390/ijerph17030775
Chen Y-S, Clemente FM, Bezerra P, Lu Y-X. Ultra-Short-Term and Short-Term Heart Rate Variability Recording during Training Camps and an International Tournament in U-20 National Futsal Players. International Journal of Environmental Research and Public Health. 2020; 17(3):775. https://doi.org/10.3390/ijerph17030775
Chicago/Turabian StyleChen, Yung-Sheng, Filipe Manuel Clemente, Pedro Bezerra, and Yu-Xian Lu. 2020. "Ultra-Short-Term and Short-Term Heart Rate Variability Recording during Training Camps and an International Tournament in U-20 National Futsal Players" International Journal of Environmental Research and Public Health 17, no. 3: 775. https://doi.org/10.3390/ijerph17030775
APA StyleChen, Y.-S., Clemente, F. M., Bezerra, P., & Lu, Y.-X. (2020). Ultra-Short-Term and Short-Term Heart Rate Variability Recording during Training Camps and an International Tournament in U-20 National Futsal Players. International Journal of Environmental Research and Public Health, 17(3), 775. https://doi.org/10.3390/ijerph17030775

