Change in Oxidative Stress Biomarkers During 30 Days in Saturation Dive: A Pilot Study
Abstract
1. Introduction
2. Material and Methods
2.1. Subjects, Worksite, and Experimental Design
2.2. Saliva and Urine Samples
2.2.1. ROS and Antioxidant Capacity by Electron Paramagnetic Resonance
2.2.2. Nitrite and Nitrate Levels (NOx)
2.2.3. Nitrotyrosine (3-NT)
2.2.4. 8-Isoprostane
2.2.5. Interleukin-IL-6
2.2.6. Creatinine and Neopterin Concentration
2.3. Statistical Analysis
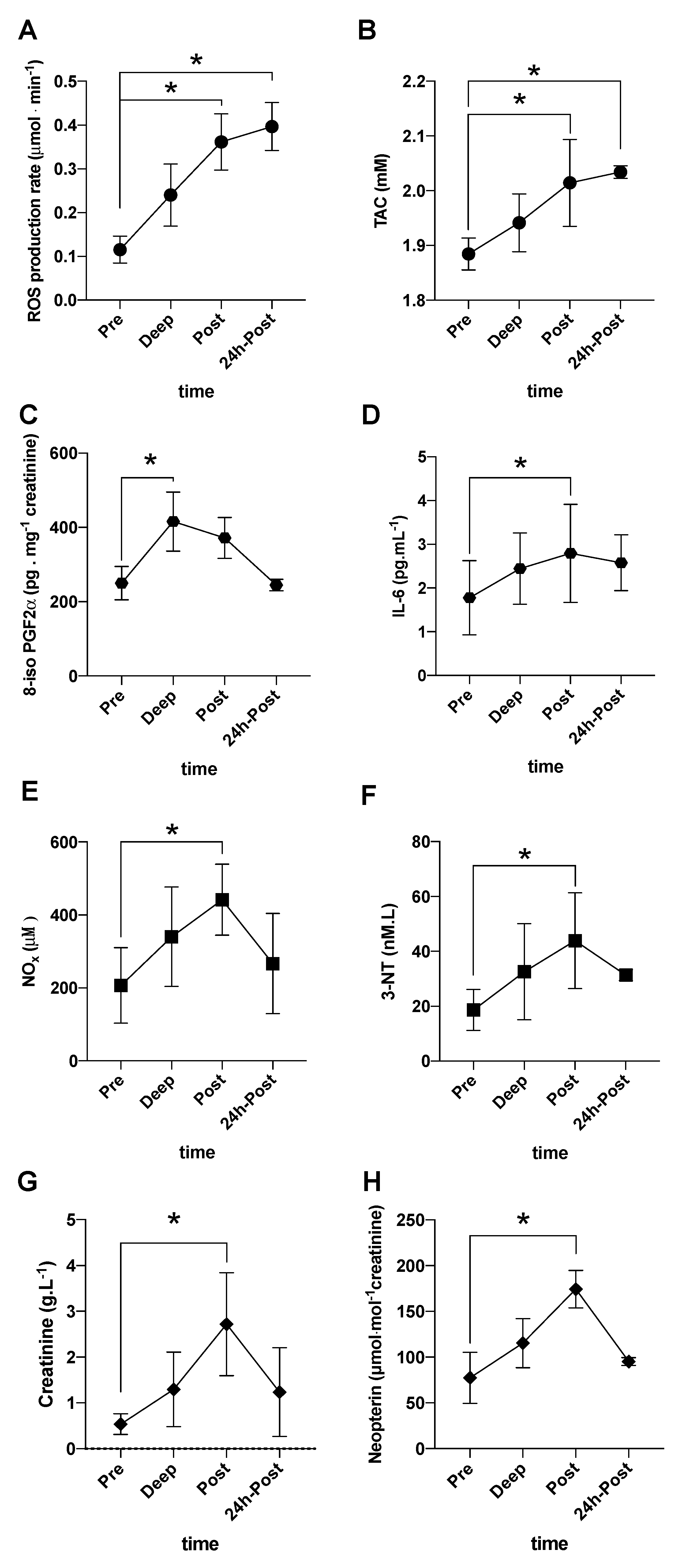
3. Results
4. Discussion
5. Limitations
6. Conclusions
Author Contributions
Funding
Acknowledgments
Conflicts of Interest
Abbreviations
| EPR | electron paramagnetic resonance |
| 3-NT | nitrotyrosine |
| NO | nitric oxide |
| NOx (NO2 + NO3) | nitric oxide metabolites |
| ROS | reactive oxygen species |
| TAC | total antioxidant capacity |
| PO2 | partial pressure of oxygen |
| O2 | oxygen |
References
- Kindwall, E.P. A short history of diving and diving medicine. In Diving Medicine, 2nd ed.; Bove, A., Davis, C.J., Eds.; WB Saunders Company: Philadelphia, PA, USA, 1990; pp. 6–7. [Google Scholar]
- Beyerstein, G.; Lang, M.A.; Smith, N.E. (Eds.) Commercial Diving: Surface-Mixed Gas, Sur-D-O2, Bell Bounce, Saturation. In Proceedings of the Advanced Scientific Diving Workshop, Smithsonian Institution, Washington, DC, USA, 23–24 February 2006. [Google Scholar]
- British Sub-Aqua Club. National Diving Committee Diving Incidents Report 2013. Available online: https://www.bsac.com/document/bsac-diving-incident-report-2013/ (accessed on 20 September 2020).
- Rahe, C.R.H.; Rubin, R.T.; Gunderson, E.K.E. Measures of Subjects’ Motivation and Affect Correlated with Their Serum Uric Acid, Cholesterol, and Cortisol. Arch. Gen. Psychiatry 1972, 26, 357–359. [Google Scholar] [CrossRef]
- Baum, A.; Grunberg, N.E.; Singer, J.E. The use of Psychological and Neuroendocrinological Measurements in the Study of Stress. Health Psychol. 1982, 1, 217–236. [Google Scholar] [CrossRef]
- Brubakk, A.O.; Neuman, T.S. (Eds.) Bennett and Elliott’s Physiology and Medicine of Diving, 5th ed.; W.B. Saunders Ltd.: Philadelphia, PA, USA, 2003; p. 800. [Google Scholar]
- Brubakk, A.O.; Ross, J.A.; Thom, S.R. Saturation diving; physiology and pathophysiology. Compr. Physiol. 2014, 4, 1229–1272. [Google Scholar] [CrossRef]
- Bosco, G.; Di Tano, G.; Zanón, V.; Fanò, G. Breath-hold diving: A point of view. Sport Sci. Health 2007, 2, 47–54. [Google Scholar] [CrossRef]
- Bosco, G.; Rizzato, A.; Moon, R.E.; Camporesi, E.M. Environmental Physiology and Diving Medicine. Front. Psychol. 2018, 9. [Google Scholar] [CrossRef]
- Morabito, C.; Bosco, G.; Pilla, R.; Corona, C.; Mancinelli, R.; Yang, Z.; Camporesi, E.M.; Fanò, G.; Mariggiò, M.A. Effect of pre-breathing oxygen at different depth on oxidative status and calcium concentration in lymphocytes of scuba divers. Acta Physiol. 2011, 202, 69–78. [Google Scholar] [CrossRef]
- Bosco, G.; Yang, Z.-J.; Di Tano, G.; Camporesi, E.M.; Faralli, F.; Savini, F.; Landolfi, A.; Doria, C.; Fano, G. Effect of in-water oxygen prebreathing at different depths on decompression-induced bubble formation and platelet activation. J. Appl. Physiol. 2010, 108, 1077–1083. [Google Scholar] [CrossRef]
- Bosco, G.; Rizzato, A.; Quartesan, S.; Camporesi, E.; Mrakic-Sposta, S.; Moretti, S.; Balestra, C.; Rubini, A. Spirometry and oxidative stress after rebreather diving in warm water. Undersea Hyperb. Med. 2018, 45, 191–198. [Google Scholar] [CrossRef]
- Mrakic-Sposta, S.; Gussoni, M.; Porcelli, S.; Pugliese, L.; Pavei, G.; Bellistri, G.; Montorsi, M.; Tacchini, P.; Vezzoli, A. Training Effects on ROS Production Determined by Electron Paramagnetic Resonance in Master Swimmers. Oxidative Med. Cell. Longev. 2015, 2015, 1–8. [Google Scholar] [CrossRef]
- Mrakic-Sposta, S.; Vezzoli, A.; Rizzato, A.; Della Noce, C.; Malacrida, S.; Montorsi, M.; Paganini, M.; Cancellara, P.; Bosco, G. Oxidative stress assessment in breath-hold diving. Graefe’s Arch. Clin. Exp. Ophthalmol. 2019, 119, 2449–2456. [Google Scholar] [CrossRef]
- Harabin, A.L.; Braisted, J.C.; Flynn, E.T. Response of antioxidant enzymes to intermittent and continuous hyperbaric oxygen. J. Appl. Physiol. 1990, 69, 328–335. [Google Scholar] [CrossRef]
- Obad, A.; Palada, I.; Valic, Z.; Ivancev, V.; Baković, D.; Wisløff, U.; Brubakk, A.O.; Dujić, Ž. The effects of acute oral antioxidants on diving-induced alterations in human cardiovascular function. J. Physiol. 2006, 578, 859–870. [Google Scholar] [CrossRef]
- Kiboub, F.Z.; Møllerløkken, A.; Hjelde, A.; Flatberg, A.; Loennechen, Ø.; Eftedal, I. Blood Gene Expression and Vascular Function Biomarkers in Professional Saturation Diving. Front. Physiol. 2018, 9. [Google Scholar] [CrossRef]
- Thom, S.R.; Bhopale, V.; Fisher, N.; Manevich, Y.; Huang, P.L.; Buerk, N.G. Stimulation of nitric oxide synthase in cerebral cortex due to elevated partial pressures of oxygen: An oxidative stress response. J. Neurobiol. 2002, 51, 85–100. [Google Scholar] [CrossRef]
- Thom, S.R.; Fisher, N.; Zhang, J.; Bhopale, V.M.; Ohnishi, S.T.; Kotake, Y.; Ohnishi, T.; Buerk, N.G. Stimulation of perivascular nitric oxide synthesis by oxygen. Am. J. Physiol. Circ. Physiol. 2003, 284, H1230–H1239. [Google Scholar] [CrossRef][Green Version]
- Mrakic-Sposta, S.; Vezzoli, A.; Malacrida, S.; Falla, M.; Strapazzon, G. “Direct” and “Indirect” Methods to Detect Oxidative Stress During Acute or Chronic High-Altitude Exposure. High Alt. Med. Biol. 2017, 18, 303–304. [Google Scholar] [CrossRef]
- Mrakic-Sposta, S.; Bosco, G.; Vezzoli, A. Commentary on: “Targeted and untargeted metabolomics applied to occupational exposure to hyperbaric atmosphere”. Toxicol. Lett. 2020, 330, 71–72. [Google Scholar] [CrossRef]
- Dikalov, S.I.; Polienko, Y.F.; Kirilyuk, I. Electron Paramagnetic Resonance Measurements of Reactive Oxygen Species by Cyclic Hydroxylamine Spin Probes. Antioxid. Redox Signal. 2018, 28, 1433–1443. [Google Scholar] [CrossRef]
- Mrakic-Sposta, S.; Gussoni, M.; Montorsi, M.; Porcelli, S.; Vezzoli, A. Assessment of a Standardized ROS Production Profile in Humans by Electron Paramagnetic Resonance. Oxidative Med. Cell. Longev. 2012, 2012, 1–10. [Google Scholar] [CrossRef]
- Yoshino, F.; Yoshida, A.; Wada-Takahashi, S.; Sugiyama, S.; Tokutomi, F.; Maehata, Y.; Miyamoto, C.; Komatsu, T.; Takahashi, S.-S.; Kobayashi, K.; et al. Assessments of salivary antioxidant activity using electron spin resonance spectroscopy. Arch. Oral Biol. 2012, 57, 654–662. [Google Scholar] [CrossRef]
- Kozik, V.; Jarzembek, K.; Jędrzejowska, A.; Bąk, A.; Polak, J.; Bartoszek, M.; Pytlakowska, K. Investigation of Antioxidant Activity of Pomegranate Juices by Means of Electron Paramagnetic Resonance and UV-Vis Spectroscopy. J. AOAC Int. 2015, 98, 866–870. [Google Scholar] [CrossRef] [PubMed]
- Zang, S.; Tian, S.; Jiang, J.; Han, D.; Yu, X.; Wang, K.; Li, D.; Lu, D.; Yu, A.; Zhang, Z. Determination of antioxidant capacity of diverse fruits by electron spin resonance (ESR) and UV–vis spectrometries. Food Chem. 2017, 221, 1221–1225. [Google Scholar] [CrossRef]
- Green, L.E.; Wagner, D.A.; Glogowski, J.; Skipper, P.L.; Wishnok, J.S.; Tannenbaum, S.R. Analysis of nitrate, nitrite, and [15N]nitrate in biological fluids. Anal. Biochem. 1982, 126, 131–138. [Google Scholar] [CrossRef]
- Bevan, J. Diving bells through the centuries. South Pac. Underw. Med. Soc. J. 1999, 29, 42–50. [Google Scholar]
- Alfadda, A.; Sallam, R. Reactive Oxygen Species in Health and Disease. J. Biomed. Biotechnol. 2012, 2012, 1–14. [Google Scholar] [CrossRef]
- Deb, S.; Swinton, P.A.; Dolan, E. Nutritional considerations during prolonged exposure to a confined, hyperbaric, hyperoxic environment: Recommendations for saturation divers. Extreme Physiol. Med. 2016, 5, 1–12. [Google Scholar] [CrossRef]
- Cobley, J.N.; McHardy, H.; Morton, J.P.; Nikolaidis, M.G.; Close, G.L. Influence of vitamin C and vitamin E on redox signaling: Implications for exercise adaptations. Free. Radic. Biol. Med. 2015, 84, 65–76. [Google Scholar] [CrossRef]
- Vezzoli, A.; Gussoni, M.; Montorsi, M.; Moretti, S.; Mrakic-Sposta, S. Acute Hyperbaria and Hyperoxia Effects on Oxidative Stress Kinetic Response: A Simulated Study. React. Oxyg. Species 2017, 4, 290–297. [Google Scholar] [CrossRef]
- Suzuki, S. Probable lung injury by long-term exposure to oxygen close to 50 kilopascals. Undersea Hyperb. Med. 1994, 21, 235–243. [Google Scholar]
- Mrakic-Sposta, S.; Gussoni, M.; Montorsi, M.; Porcelli, S.; Vezzoli, A. A Quantitative Method to Monitor Reactive Oxygen Species Production by Electron Paramagnetic Resonance in Physiological and Pathological Conditions. Oxidative Med. Cell. Longev. 2014, 2014, 1–10. [Google Scholar] [CrossRef] [PubMed]
- McLeay, Y.; Stannard, S.R.; Houltham, S.; Starck, C. Dietary thiols in exercise: Oxidative stress defence, exercise performance, and adaptation. J. Int. Soc. Sports Nutr. 2017, 14, 12. [Google Scholar] [CrossRef]
- Tillmans, F.; Sharghi, R.; Noy, T.; Kähler, W.; Klapa, S.; Sartisohn, S.; Sebens, S.; Koch, A. Effect of hyperoxia on the immune status of oxygen divers and endurance athletes. Free Radic. Res. 2019, 53, 522–534. [Google Scholar] [CrossRef]
- Theunissen, S.; Guerrero, F.; Sponsiello, N.; Cialoni, D.; Pieri, M.; Germonpré, P.; Obeid, G.; Tillmans, F.; Papadopoulou, V.; Hemelryck, W.; et al. Nitric oxide-related endothelial changes in breath-hold and scuba divers. Undersea Hyperb. Med. 2013, 40, 135–144. [Google Scholar]
- Dias-Junior, C.A.; Cau, S.B.A.; Tanus-Santos, J.E. Papel do óxido nítrico na regulação da circulação pulmonar: Implicações fisiológicas, fisiopatológicas e terapêuticas. J. Bras. Pneumol. 2008, 34, 412–419. [Google Scholar] [CrossRef]
- Theunissen, S.; Sponsiello, N.; Rozloznik, M.; Germonpré, P.; Guerrero, F.; Cialoni, D.; Balestra, C. Oxidative stress in breath-hold divers after repetitive dives. Diving Hyperb. Med. J. 2013, 43, 63–66. [Google Scholar]
- Murr, C.; Widner, B.; Wirleitner, B.; Fuchs, D. Neopterin as a marker for immune system activation. Curr. Drug Metab. 2002, 3, 175–187. [Google Scholar] [CrossRef]
- Shao, Z.; Zhang, R.; Shrestha, K.; Borowski, A.G.; Schuster, A.; Thakur, A.; Hazen, S.L.; Tang, W.W. Usefulness of elevated urine neopterin levels in assessing cardiac dysfunction and exercise ventilation inefficiency in patients with chronic systolic heart failure. Am. J. Cardiol. 2014, 113, 1839–1843. [Google Scholar] [CrossRef]
- Sureda, A.; Batle, J.M.; Capó, X.; Martorell, M.; Córdova, A.; Tur, J.A.; Pons, A. Scuba diving induces nitric oxide synthesis and the expression of inflammatory and regulatory genes of the immune response in neutrophils. Physiol. Genom. 2014, 46, 647–654. [Google Scholar] [CrossRef]
- Stenvinkel, P.; Heimbürger, O.; Paultre, F.; Diczfalusy, U.; Wang, T.; Berglund, L.; Jogestrand, T. Strong association between malnutrition, inflammation, and atherosclerosis in chronic renal failure. Kidney Int. 1999, 55, 1899–1911. [Google Scholar] [CrossRef]


| Subject | Anthropometric and Physiological Parameters | |||||||||
|---|---|---|---|---|---|---|---|---|---|---|
| Pre | Post Saturation Diving | |||||||||
| 1 | 2 | 3 | 4 | Mean ± SD | 1 | 2 | 3 | 4 | Mean ± SD | |
| Age | 32 | 48 | 44 | 39 | 40.7 ± 6.9 | - | - | - | - | - |
| Weight (Kg) | 71.5 | 71.7 | 82.5 | 87.8 | 78.4 ± 8.1 | 69 | 68.7 | 79.8 | 84.7 | 75.5 ± 7.9 |
| Waist (cm) | 76 | 84 | 89 | 93 | 85.5 ± 7.3 | 72 | 83 | 88 | 93 | 84.0 ± 8.9 |
| Hip (cm) | 92 | 92 | 96 | 105 | 96.2 ± 6.1 | 92 | 88 | 94.5 | 105 | 94.9 ± 7.3 |
| BMI (kg·m−2) | 23.9 | 26.3 | 26.6 | 28 | 26.2 ± 1.7 | 23 | 25.3 | 25.7 | 27 | 25.2 ± 1.6 |
| HR (BPM) | 80 | 82 | 89 | 104 | 88.7 ± 10.8 | 54 | 60 | 76 | 68 | 64.5 ± 9.6 |
| SBP (mmHg) | 130 | 115 | 110 | 135 | 122.5 ± 11.9 | 140 | 110 | 105 | 150 | 126.3 ± 22.1 |
| DBP (mmHg) | 76 | 75 | 65 | 75 | 72.7 ± 5.2 | 95 | 75 | 80 | 80 | 82.5 ± 8.6 |
| T (°C) | 35.9 | 35.5 | 36.3 | 36.3 | 36.0 ± 0.3 | 35.9 | 34.6 | 35.9 | 35.8 | 36.5 ± 0.6 |
| Subject | Supplementations Before Bells | Supplementations/Die During Saturation Diving |
|---|---|---|
| 1 | Magnesium 1 tablet/die | Vitamin C 1000 mg |
| Creatinine 2 g | Branched-chain aminoacids 8.1 4 tablets | |
| 2 | Branched-chain aminoacids 8.1 4 tablets | Vitamin C 1000 mg |
| Vitamin D 3 drops | ||
| Complex Vitamin B 1 tablet | ||
| 3 | Vitamin C 1000 mg | |
| Multicentrum 1 tablet | ||
| Engystol 1 × 3 tablets | ||
| Immunosempre 1 tablet | ||
| 4 | Vitamin C 1000 mg | |
| Branched-chain aminoacids 8.1 6 tablets |
© 2020 by the authors. Licensee MDPI, Basel, Switzerland. This article is an open access article distributed under the terms and conditions of the Creative Commons Attribution (CC BY) license (http://creativecommons.org/licenses/by/4.0/).
Share and Cite
Mrakic-Sposta, S.; Vezzoli, A.; D’Alessandro, F.; Paganini, M.; Dellanoce, C.; Cialoni, D.; Bosco, G. Change in Oxidative Stress Biomarkers During 30 Days in Saturation Dive: A Pilot Study. Int. J. Environ. Res. Public Health 2020, 17, 7118. https://doi.org/10.3390/ijerph17197118
Mrakic-Sposta S, Vezzoli A, D’Alessandro F, Paganini M, Dellanoce C, Cialoni D, Bosco G. Change in Oxidative Stress Biomarkers During 30 Days in Saturation Dive: A Pilot Study. International Journal of Environmental Research and Public Health. 2020; 17(19):7118. https://doi.org/10.3390/ijerph17197118
Chicago/Turabian StyleMrakic-Sposta, Simona, Alessandra Vezzoli, Federica D’Alessandro, Matteo Paganini, Cinzia Dellanoce, Danilo Cialoni, and Gerardo Bosco. 2020. "Change in Oxidative Stress Biomarkers During 30 Days in Saturation Dive: A Pilot Study" International Journal of Environmental Research and Public Health 17, no. 19: 7118. https://doi.org/10.3390/ijerph17197118
APA StyleMrakic-Sposta, S., Vezzoli, A., D’Alessandro, F., Paganini, M., Dellanoce, C., Cialoni, D., & Bosco, G. (2020). Change in Oxidative Stress Biomarkers During 30 Days in Saturation Dive: A Pilot Study. International Journal of Environmental Research and Public Health, 17(19), 7118. https://doi.org/10.3390/ijerph17197118

