Attitudes to Noise Inside Dwellings in Three Megacities: Seoul, London, and São Paulo
Abstract
1. Introduction
2. Methods
2.1. Sample
2.2. Questionnaire Design
2.3. Data Analysis
3. Results and Discussion
3.1. Outdoor Noise Annoyance
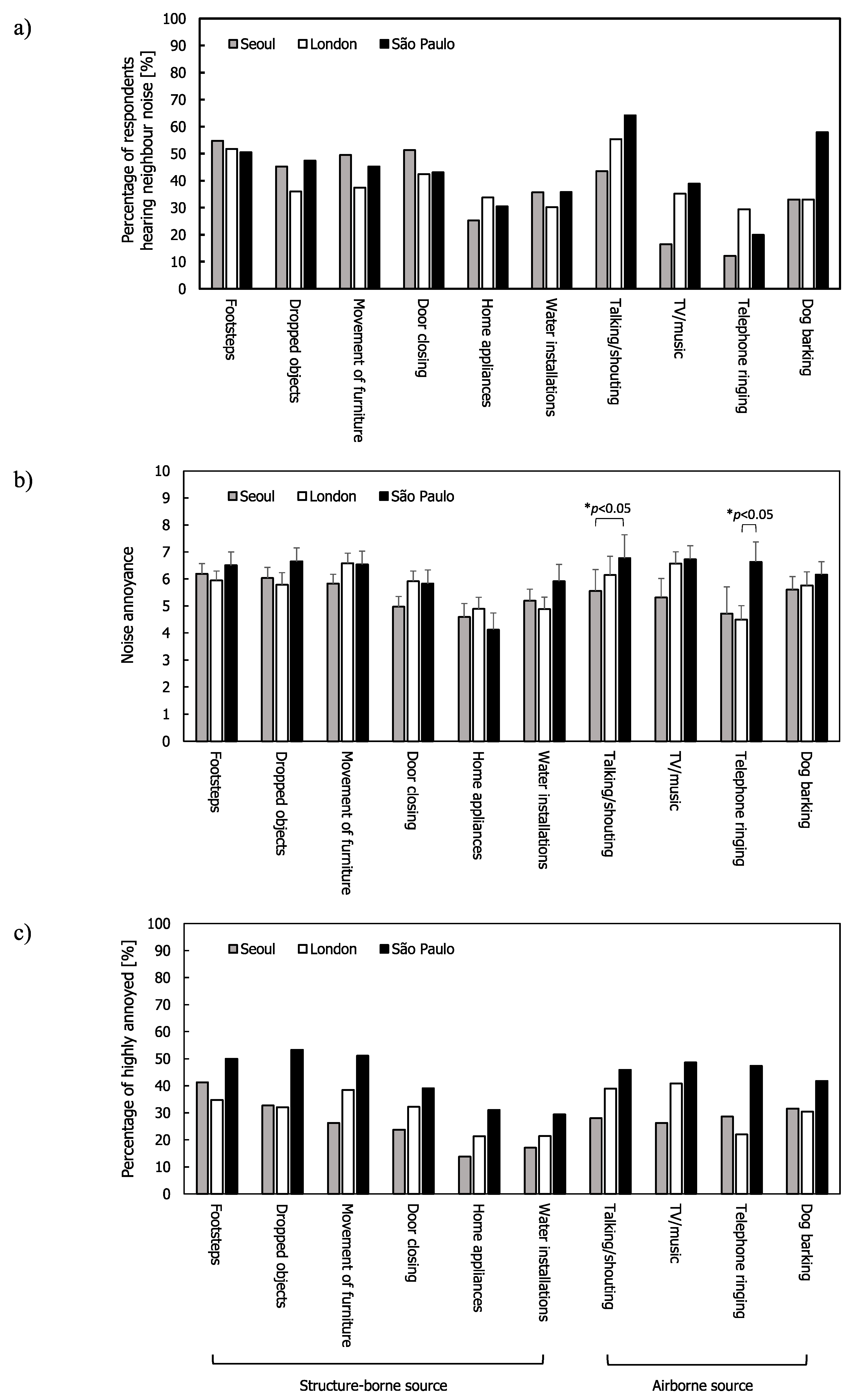
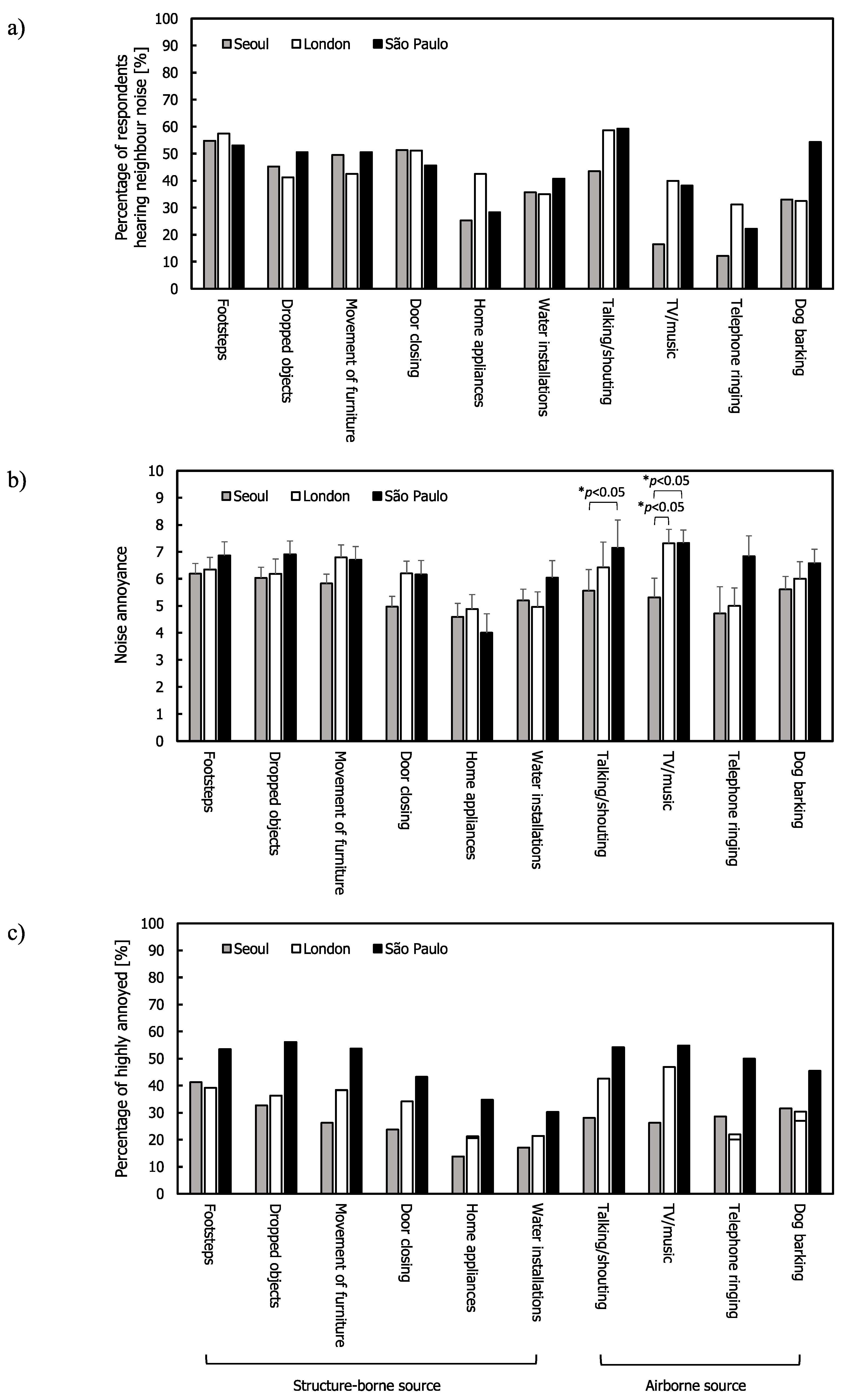
3.2. Neighbour Noise Annoyance
3.3. Communal Noise Annoyance
3.4. Cause of Noise, Relationship with Neighbours and Noise Complaints
3.5. Effects of Non-Acoustic Factors on Noise Annoyance and Coping Strategies
3.6. Relationships between Noise Annoyance and Coping Strategy
3.7. Moderation Effects of Noise Sensitivity
3.8. Relationship between Closeness with Neighbours and Coping Strategy
3.9. Comparison of Noise Annoyance for Occupants of Flats and Houses
3.10. Limitations
4. Conclusions
Supplementary Materials
Author Contributions
Funding
Conflicts of Interest
References
- Division, U.N.P. World Urbanization Prospects: The 2018 Revision; United Nations: New York, NY, USA, 2018. [Google Scholar]
- World Health Organization. Burden of Disease from Environmental Noise: Quantification of Healthy Life Years Lost in Europe; Regional Office for Europe: Copenhagen, Denmark, 2011. [Google Scholar]
- Miedema, H.M.E. Annoyance caused by environmental noise: Elements for evidence-based noise policies. J. Soc. Issues 2007, 63, 41–57. [Google Scholar] [CrossRef]
- Miedema, H.M.E.; Vos, H.; de Jong, R.G. Community reaction to aircraft noise: Time-of-day penalty and tradeoff between levels of overflights. J. Acoust. Soc. Am. 2000, 107, 3245–3253. [Google Scholar] [CrossRef] [PubMed]
- Miedema, H.M.E.; Vos, H. Exposure-response relationships for transportation noise. J. Acoust. Soc. Am. 1998, 104, 3432–3445. [Google Scholar] [CrossRef] [PubMed]
- Fields, J.M. Effect of personal and situational variables on noise annoyance in residential areas. J. Acoust. Soc. Am. 1993, 93, 2753–2763. [Google Scholar] [CrossRef]
- Guski, R. Personal and social variables as co-determinants of noise annoyance. Noise Health 1999, 1, 45–56. [Google Scholar]
- Lercher, P. Environmental noise and health: An integrated research perspective. Environ. Int. 1996, 22, 117–129. [Google Scholar] [CrossRef]
- Langdon, F.J.; Buller, I. Party wall insulation and noise from neighbours. J. Sound Vib. 1977, 55, 495–507. [Google Scholar] [CrossRef]
- World Health Organization. Large Analysis and Review of European Housing and Health Status (LARES). Preliminary Overview; Europe of the World Health Organization: Gevena, Switzerland, 2007. [Google Scholar]
- Skinner, C.; Grimwood, C. The UK noise climate 1990–2001: Population exposure and attitudes to environmental noise. Appl. Acoust. 2005, 66, 231–243. [Google Scholar] [CrossRef]
- Notley, H.; Grimwood, C.; Raw, G.; Clark, C.; Zepidou, G.; Van de Kerchhove, R. National Noise Attitude Survey 2012 (NNAS2012): Summary Report; Department for Environment and Rural Affairs: London, UK, 2014.
- Maschke, C.; Niemann, H. Health effects of annoyance induced by neighbour noise. Noise Control. Eng. J. 2007, 55, 348–356. [Google Scholar] [CrossRef]
- Lee, P.J.; Park, S.H.; Jeong, J.H.; Choung, T.; Kim, K.Y. Association between transportation noise and blood pressure in adults living in multi-storey residential buildings. Environ. Int 2019, 132, 105101. [Google Scholar] [CrossRef]
- Torresin, S.; Albatici, R.; Aletta, F.; Babich, F.; Oberman, T.; Kang, J. Acoustic design criteria in naturally ventilated residential buildings: New research perspectives by applying the indoor soundscape approach. Appl. Sci. 2019, 9, 5401. [Google Scholar] [CrossRef]
- Torresin, S.; Albatici, R.; Aletta, F.; Babich, F.; Kang, J. Assessment methods and factors determining positive indoor soundscapes in residential buildings: A systematic review. Sustainability 2019, 11, 5290. [Google Scholar] [CrossRef]
- Ma, K.W.; Wong, H.M.; Mak, C.M. A systematic review of human perceptual dimensions of sound: Meta-analysis of semantic differential method applications to indoor and outdoor sounds. Build. Environ. 2018, 133, 123–150. [Google Scholar] [CrossRef]
- Hopkins, C. Sound Insulation; Routledge: Abingdon-on-Thames, UK, 2012. [Google Scholar]
- Şentop, A.; Bayazıt, N.T. A tool to support the integration of noise control criteria in building design. Build. Acoust. 2016, 23, 92–109. [Google Scholar] [CrossRef]
- Ryu, J.; Sato, H.; Hiramitsu, A.; Tanaka, M.; Hirota, T.; Kurakata, K. Subjective ratings of floor impact sounds in wood-frame construction. In Proceedings of the INTER-NOISE and NOISE-CON Congress and Conference Proceedings, Ottawa, ON, Canada, 22–25 August 2004; pp. 3245–3253. [Google Scholar]
- Kylliäinen, M.; Lietzén, J.; Kovalainen, V.; Hongisto, V. Correlation between single-number-quantities of impact sound insulation and various noise ratings of walking on concrete floors. Acta Acust. United Acust. 2015, 101, 975–985. [Google Scholar] [CrossRef]
- Späh, M.; Hagberg, K.; Bartlomé, O.; Weber, L.; Leistner, P.; Liebl, A. Subjective and objective evaluation of impact noise sources in wooden buildings. Build. Acoust. 2013, 20, 193–213. [Google Scholar] [CrossRef]
- Kylliäinen, M.; Hongisto, V.; Oliva, D.; Rekola, L. Subjective and objective rating of impact sound insulation of a concrete floor with various coverings. Acta Acust. United Acust. 2017, 103, 236–251. [Google Scholar] [CrossRef]
- Park, S.H.; Lee, P.J.; Yang, K.S.; Kim, K.W. Relationships between non-acoustic factors and subjective reactions to floor impact noise in apartment buildings. J. Acoust. Soc. Am. 2016, 139, 1158–1167. [Google Scholar] [CrossRef]
- Park, S.H.; Lee, P.J.; Jeong, J.H. Emotions evoked by exposure to footstep noise in residential buildings. PLoS ONE 2018, 13, e0202058. [Google Scholar] [CrossRef]
- Park, S.H.; Lee, P.J.; Jeong, J.H. Effects of noise sensitivity on psychophysiological responses to building noise. Build. Environ. 2018, 136, 302–311. [Google Scholar] [CrossRef]
- Vardaxis, N.-G.; Bard, D.; Persson Waye, K. Review of acoustic comfort evaluation in dwellings—Part I: Associations of acoustic field data to subjective responses from building surveys. Build. Acoust. 2018, 25, 151–170. [Google Scholar] [CrossRef]
- Vardaxis, N.-G.; Bard, D. Review of acoustic comfort evaluation in dwellings: Part III—Airborne sound data associated with subjective responses in laboratory tests. Build. Acoust. 2018, 25, 289–305. [Google Scholar] [CrossRef]
- Vardaxis, N.-G.; Bard, D. Review of acoustic comfort evaluation in dwellings: Part II—Impact sound data associated with subjective responses in laboratory tests. Build. Acoust. 2018, 25, 171–192. [Google Scholar] [CrossRef]
- Simmons, C. Developing a uniform questionnaire for socio-acoustic surveys in residential buildings. In COST Action TU0901: Integrating and Harmonizing Sound Insulation Aspects in Sustainable Urban Housing Constructions Building Acoustics throughout Europe; DiScript Preimpresion, S.L.: Madrid, Spain, 2013; Volume 1. [Google Scholar]
- ISO. Assessment of Noise Annoyance by Means of Social and Socio-Acoustic Surveys; International Organization for Standardization (ISO): Geneva, Switzerland, 2003; Volume ISO/TS 15666. [Google Scholar]
- Available online: https://data.seoul.go.kr (accessed on 15 August 2020).
- DFC. English Housing Survey 2017: Stock Condition; Ministry of Housing, Communities & Local Government: London, UK, 2017.
- Available online: https://www.capital.sp.gov.br (accessed on 15 August 2020).
- Floor Noise Management Centre. Monthly Report: May 2018; Floor Noise Management Centre/Environment Corporation: Incheon, Korea, 2018. [Google Scholar]
- Available online: https://www.cirrusresearch.co.uk/blog/2017/03/london-hotspots-noise-nuisance-complaints-infographic/ (accessed on 15 August 2020).
- Smith, R.B.; Fecht, D.; Gulliver, J.; Beevers, S.D.; Dajnak, D.; Blangiardo, M.; Ghosh, R.E.; Hansell, A.L.; Kelly, F.J.; Anderson, H.R. Impact of London’s road traffic air and noise pollution on birth weight: Retrospective population based cohort study. BMJ 2017, 359, j5299. [Google Scholar] [CrossRef] [PubMed]
- Moura-de-Sousa, C.; Cardoso, M.R.A. Urban noise in the city of Sao Paulo, Brazil: An important problem of public health. Noise Health 2002, 4, 57. [Google Scholar]
- Available online: https://www.google.com/forms (accessed on 15 August 2020).
- Available online: http://smartsurvey.co.uk (accessed on 15 August 2020).
- Torresin, S.; Albatici, R.; Aletta, F.; Babich, F.; Oberman, T.; Siboni, S.; Kang, J. Indoor soundscape assessment: A principal components model of acoustic perception in residential buildings. Build. Environ. 2020, 182, 107152. [Google Scholar] [CrossRef]
- Fields, J.M.; de Jong, R.G.; Gjestland, T.; Flindell, I.H.; Job, R.F.S.; Kurra, S.; Lercher, P.; Vallet, M.; Yano, T.; Guski, R.; et al. Standardized general-purpose noise reaction questions for community noise surveys: Research and a recommendation. J. Sound Vib. 2001, 242, 641–679. [Google Scholar] [CrossRef]
- Grimwood, C. Complaints about poor sound insulation between dwellings in England and Wales. Appl. Acoust. 1997, 52, 211–223. [Google Scholar] [CrossRef]
- Park, S.H.; Lee, P.J.; Lee, B.K. Levels and sources of neighbour noise in heavyweight residential buildings in Korea. Appl. Acoust. 2017, 120, 148–157. [Google Scholar] [CrossRef]
- Langdon, F.; Buller, I.; Scholes, W. Noise from neighbours and the sound insulation of party walls in houses. J. Sound Vib. 1981, 79, 205–228. [Google Scholar] [CrossRef]
- Langdon, F.; Buller, I.; Scholes, W. Noise from neighbours and the sound insulation of party floors and walls in flats. J. Sound Vib. 1983, 88, 243–270. [Google Scholar] [CrossRef]
- Laszlo, H.E.; McRobie, E.S.; Stansfeld, S.A.; Hansell, A.L. Annoyance and other reaction measures to changes in noise exposure: A review. Sci. Total. Environ. 2012, 435–436, 551–562. [Google Scholar] [CrossRef] [PubMed]
- Weinstein, N.D. Individual differences in reactions to noise: A longitudinal study in a college dormitory. J. Appl. Psychol. 1978, 63, 458–466. [Google Scholar] [CrossRef] [PubMed]
- Dawson, J.F. Moderation in management research: What, why, when, and how. J. Bus. Psychol. 2014, 29, 1–19. [Google Scholar] [CrossRef]
- Jeong, Y.-S.; Jung, H.-K.; Jang, H.-K.; Yu, K.-H. A Study on the reference building based on the building design trends for non-residential buildings. J. Korean Sol. Energy Soc. 2014, 34, 1–11. [Google Scholar] [CrossRef]
- English Housing Survey—Energy Efficiency; Ministry of Housing, Communities & Local Government: London, UK, 2019.
- Öhrström, E.; Skånberg, A.; Svensson, H.; Gidlöf-Gunnarsson, A. Effects of road traffic noise and the benefit of access to quietness. J. Sound Vib. 2006, 295, 40–59. [Google Scholar] [CrossRef]
- Jeon, J.Y.; Ryu, J.K.; Jeong, J.H.; Tachibana, H. Review of the impact ball in evaluating floor impact sound. Acta Acust. United Acust. 2006, 92, 777–786. [Google Scholar]
- Robinson, M.; Hopkins, C. Prediction of maximum fast time-weighted sound pressure levels due to transient excitation from the rubber ball and human footsteps. Build. Environ. 2015, 94, 810–820. [Google Scholar] [CrossRef]
- Ofcom. Media Nations: UK 2019; Ofcom: London, UK, 2019. [Google Scholar]
- Guilloux, A.G.; Panachão, L.I.; Alves, A.J.; Zetun, C.B.; Cassenote, A.J.; Dias, R.A. Stray dogs in urban fragments: Relation between population’s perception of their presence and socio-demographic factors. Pesqui. Veterinária Bras. 2018, 38, 89–93. [Google Scholar] [CrossRef]
- Animal and Plant Health Agency (Ed.) Dog Population Per Postcode District; Animal and Plant Health Agency: London, UK, 2016.
- Ryu, J.K.; Jeon, J.Y. Influence of noise sensitivity on annoyance of indoor and outdoor noises in residential buildings. Appl. Acoust. 2011, 72, 336–340. [Google Scholar] [CrossRef]
- Park, S.H.; Lee, P.J. Reaction to floor impact noise in multi-storey residential buildings: The effects of acoustic and non-acoustic factors. Appl. Acoust. 2019, 150, 268–278. [Google Scholar] [CrossRef]
- Park, S.H.; Lee, P.J.; Yang, K.S. Perception and reaction to floor impact noise in apartment buildings: A qualitative approach. Acta Acust. United Acust. 2016, 102, 902–911. [Google Scholar] [CrossRef]
- Stallen, P.J. A theoretical framework for environmental noise annoyance. Noise Health 1999, 1, 69–79. [Google Scholar] [PubMed]
- Park, S.H.; Lee, P.J. How residents in multifamily housing cope with neighbour noise: The role of attitude towards the neighbours. J. Community Psychol 2019, 47, 1909–1925. [Google Scholar] [CrossRef]
- Kroesen, M.; Molin, E.J.; van Wee, B. Testing a theory of aircraft noise annoyance: A structural equation analysis. J. Acoust. Soc. Am. 2008, 123, 4250–4260. [Google Scholar] [CrossRef] [PubMed]
- Botteldooren, D.; Lercher, P. Soft-computing base analyses of the relationship between annoyance and coping with noise and odor. J. Acoust. Soc. Am. 2004, 115, 2974–2985. [Google Scholar] [CrossRef]
- Meichenbaum, D. Stress inoculation training: A preventative and treatment approach. In The Evolution of Cognitive Behavior Therapy; Routledge: Abingdon-on-Thames, UK, 2017; pp. 497–518. [Google Scholar]
- Stetz, M.C.; Thomas, M.L.; Russo, M.B.; Stetz, T.A.; Wildzunas, R.M.; McDonald, J.J.; Wiederhold, B.K.; Romano, J.A. Stress, mental health, and cognition: A brief review of relationships and countermeasures. Aviat. Space Environ. Med. 2007, 78, B252–B260. [Google Scholar]
- Job, R. Community response to noise: A review of factors influencing the relationship between noise exposure and reaction. J. Acoust. Soc. Am. 1988, 83, 991–1001. [Google Scholar] [CrossRef]
- Stansfeld, S.A. Noise, noise sensitivity and psychiatric disorder: Epidemiological and psychophysiological studies. Psychol. Med. Monogr. Suppl. 1992, 22, 1–44. [Google Scholar] [CrossRef]
- Lee, P.J.; Lee, B.K.; Jeon, J.Y.; Zhang, M.; Kang, J. Impact of noise on self-rated job satisfaction and health in open-plan offices: A structural equation modelling approach. Ergonomics 2016, 59, 222–234. [Google Scholar] [CrossRef]
- Park, S.H.; Lee, P.J. A qualitative study of annoyance caused by floor impact sounds in apartment buildings. In Proceedings of the European Congress and Exposition on Noise Control Engineering, Euronoise, Maastricht, The Netherlands, 31 May–3 June 2015. [Google Scholar]
- Nast, D.R.; Speer, W.S.; Le Prell, C.G. Sound level measurements using smart phone ”apps”: Useful or inaccurate? Noise Health 2014, 16, 251. [Google Scholar] [PubMed]
- Kardous, C.A.; Shaw, P.B. Evaluation of smartphone sound measurement applications. J. Acoust. Soc. Am. 2014, 135, EL186–EL192. [Google Scholar] [CrossRef] [PubMed]
- Kardous, C.A.; Shaw, P.B. Evaluation of smartphone sound measurement applications (apps) using external microphones—A follow-up study. J. Acoust. Soc. Am. 2016, 140, EL327–EL333. [Google Scholar] [CrossRef] [PubMed]
- Murphy, E.; King, E.A. Smartphone-based noise mapping: Integrating sound level meter app data into the strategic noise mapping process. Sci. Total. Environ. 2016, 562, 852–859. [Google Scholar] [CrossRef] [PubMed]












| Personal Characteristics | Seoul | London | São Paulo | Total | χ2 Test |
|---|---|---|---|---|---|
| Gender | p > 0.05 | ||||
| Male | 58 (49.6%) | 72 (50.0%) | 45 (44.1%) | 175 (48.2%) | |
| Female | 59 (50.4%) | 72 (50.0%) | 57 (55.9%) | 188 (51.8%) | |
| Total | 117 | 144 | 102 | 363 | |
| Age (years) | p > 0.05 | ||||
| 18 to 35 | 57 (48.7%) | 49 (34.0%) | 50 (49.0%) | 156 (43.0%) | |
| 36 to 50 | 43 (36.8%) | 50 (34.7%) | 25 (24.5%) | 118 (32.5%) | |
| 51 to 64 | 16 (13.7%) | 41 (28.5%) | 23 (22.5%) | 80 (22.0%) | |
| 65 or over | 1 (0.9%) | 4 (2.8%) | 4 (3.9%) | 9 (2.5%) | |
| Type of dwelling | ** | ||||
| Flats | 115 (98.3%) | 85 (59.0%) | 76 (74.54%) | 276 (76.0%) | |
| Semi-detached house | 1 (0.9%) | 28 (19.4%) | 17 (16.7%) | 46 (12.7%) | |
| Terraced house | 0 (0.0%) | 26 (18.1%) | 2 (2.0%) | 28 (7.7%) | |
| Detached house | 1 (0.9%) | 5 (3.5%) | 7 (6.9%) | 13 (3.6%) | |
| Room where most time is spent during the day | p > 0.05 | ||||
| Living room | 77 (65.8%) | 100 (69.4%) | 70 (68.6%) | 247 (68.0%) | |
| Home office | 13 (11.1%) | 8 (5.6%) | 12 (11.8%) | 33 (9.1%) | |
| Bedroom | 27 (23.1%) | 36 (25.0%) | 20 (19.6%) | 83 (22.9%) | |
| Education | ** | ||||
| School level | 14 (12.0%) | 54 (37.5%) | 4 (3.9%) | 72 (19.8%) | |
| University level | 103 (88.0%) | 90 (62.5%) | 98 (96.1%) | 291 (80.2%) | |
| Employment | ** | ||||
| Full time | 55 (47.0%) | 64 (44.4%) | 65 (63.7%) | 184 (50.7%) | |
| Part time | 15 (12.8%) | 20 (13.9%) | 7 (6.9%) | 42 (11.6%) | |
| Self-employed | 5 (4.3%) | 16 (11.1%) | 20 (19.6%) | 41 (11.3%) | |
| Unemployed | 4 (3.4%) | 14 (9.7%) | 2 (2.0%) | 20 (5.5%) | |
| Student | 12 (10.3%) | 12 (8.3%) | 7 (6.9%) | 31 (8.5%) | |
| Homemaker | 26 (22.2%) | 10 (6.9%) | 0 (0.0%) | 36 (9.9%) | |
| Retired | 0 (0.0%) | 8 (5.6%) | 1 (1.0%) | 9 (2.5%) | |
| Annual household income | ** | ||||
| <£10,700 (₩ 30,000,000, R$10,500) | 15 (12.8%) | 12 (8.3%) | 16 (15.7%) | 43 (11.8%) | |
| £10,700–£53,500 (₩ 80,000,000, R$52,500) | 68 (58.1%) | 77 (53.5%) | 33 (32.4%) | 178 (49.0%) | |
| £53,500–£107,700 (₩ 100,000,000, R$105,000) | 26 (22.2%) | 33 (22.9%) | 21 (20.6%) | 80 (22.0%) | |
| > | 3 (2.6%) | 5 (3.5%) | 27 (26.5%) | 35 (9.6%) | |
| Not known | 5 (4.3%) | 17 (11.8%) | 5 (4.9%) | 27 (7.4%) | |
| People you live with | ** | ||||
| No one | 16 (13.7%) | 36 (25.0%) | 16 (15.7%) | 68 (18.7%) | |
| With people who are not your family | 2 (1.7%) | 25 (17.4%) | 9 (8.8%) | 36 (9.9%) | |
| With family including children under 12 years old | 31 (26.5%) | 29 (20.1%) | 12 (11.8%) | 72 (19.8%) | |
| With family including children 12 years old | 17 (14.5%) | 24 (16.7%) | 12 (11.8%) | 53 (14.6%) | |
| With family but without children | 51 (43.6%) | 30 (20.8%) | 53 (52.0%) | 134 (36.9%) |
| None | Some of Them | All of Them | I don’t Have Noisy Neighbours | |
|---|---|---|---|---|
| Seoul | 0.9 | 82.1 | 2.6 | 14.5 |
| London | 4.5 | 56.3 | 20.5 | 18.8 |
| São Paulo | 16.7 | 47.8 | 25.6 | 10.0 |
| Coping Strategy | Seoul | London | São Paulo | |||
|---|---|---|---|---|---|---|
| Outdoor | Indoor | Outdoor | Indoor | Outdoor | Indoor | |
| Cognitive | 0.179 | 0.408 ** | 0.528 ** | 0.496 ** | 0.170 | 0.389 ** |
| Behavioural | 0.385 ** | 0.456 ** | 0.359 ** | 0.540 ** | 0.206 | 0.361 ** |
| Seoul | London | São Paulo | |
|---|---|---|---|
| Cognitive coping | −0.164 | −0.046 | −0.236 * |
| Behavioural coping | 0.085 | 0.003 | −0.087 |
© 2020 by the authors. Licensee MDPI, Basel, Switzerland. This article is an open access article distributed under the terms and conditions of the Creative Commons Attribution (CC BY) license (http://creativecommons.org/licenses/by/4.0/).
Share and Cite
Lee, P.J.; Hopkins, C.; Penedo, R. Attitudes to Noise Inside Dwellings in Three Megacities: Seoul, London, and São Paulo. Int. J. Environ. Res. Public Health 2020, 17, 6005. https://doi.org/10.3390/ijerph17166005
Lee PJ, Hopkins C, Penedo R. Attitudes to Noise Inside Dwellings in Three Megacities: Seoul, London, and São Paulo. International Journal of Environmental Research and Public Health. 2020; 17(16):6005. https://doi.org/10.3390/ijerph17166005
Chicago/Turabian StyleLee, Pyoung Jik, Carl Hopkins, and Rafaella Penedo. 2020. "Attitudes to Noise Inside Dwellings in Three Megacities: Seoul, London, and São Paulo" International Journal of Environmental Research and Public Health 17, no. 16: 6005. https://doi.org/10.3390/ijerph17166005
APA StyleLee, P. J., Hopkins, C., & Penedo, R. (2020). Attitudes to Noise Inside Dwellings in Three Megacities: Seoul, London, and São Paulo. International Journal of Environmental Research and Public Health, 17(16), 6005. https://doi.org/10.3390/ijerph17166005
