The Tolerance Characteristics of Resident Fish in the Upper Yangtze River under Varying Gas Supersaturation
Abstract
:1. Introduction
2. Materials and Methods
2.1. Field Experiments
2.2. Laboratory Experiment
2.3. Data Analysis
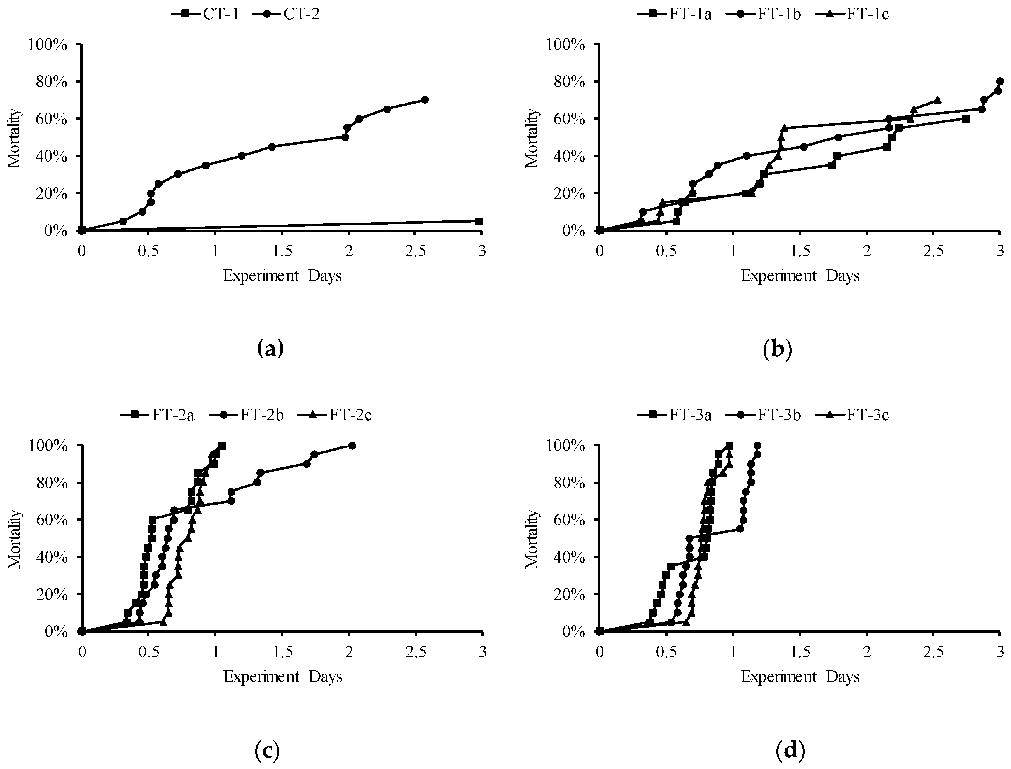
3. Results
3.1. Field Experiments
3.2. Laboratory Experiment
4. Discussion
5. Conclusions
- The TDG supersaturation in the natural river changed greatly during the flood period due to reservoir regulation. The TDG peak and the inability to compensate by fleeing to greater depths affect the survival of fish. A high TDG peak and shallow compensatory water depth caused the fish mortality in the field experiments to be higher in September than in July.
- In the laboratory experiment, the tolerance of the fish under fluctuating TDG supersaturation was lower than that under constant TDG. The fish tolerance of TDG supersaturation varied depending on the TDG peak and duration. Under the fluctuation range of 115–125%, fish survival in the 6 h–6 h cycle was significantly different from that in the 8 h–8 h cycle. The fluctuation cycle did not affect fish survival at the fluctuation range of 110–130%.
- Intermittent lower TDG supersaturation does not significantly enhance the tolerance of fish.
Author Contributions
Funding
Acknowledgments
Conflicts of Interest
Ethical Statement
References
- Colt, J. Computation of dissolved gas concentrations in water as functions of temperature, salinity, and pressure. Am. Fish. Soc. Spec. Publ. 1984, 14, 277–285. [Google Scholar]
- Orlins, J.J.; Gulliver, J.S. Dissolved gas supersaturation downstream of a spillway II: Computational model. J. Hydraul. Res. 2000, 38, 151–159. [Google Scholar] [CrossRef]
- Arntzen, E.V.; Hand, K.D.; Geist, D.R.; Murray, K.J.; Panther, J.L.; Cullinan, V.I.; Dawley, E.M.; Elston, R.A. Effects of Total Dissolved Gas on Chum Salmon Fry Incubating in the Lower Columbia River; Pacific Northwest National Laboratory: Washington, DC, USA, 2008.
- Geist, D.R.; Linley, T.J.; Cullinan, V.; Deng, Z.Q. The effects of total dissolved gas on chum salmon fry survival, growth, gas bubble disease, and seawater tolerance. N. Am. J. Fish. Manag. 2013, 33, 200–215. [Google Scholar] [CrossRef]
- Witt, A.; Asce, A.M.; Magee, T.; Stewart, K.; Hadjerioua, B.; Asce, M. Development and implementation of an optimization model for hydropower and Total dissolved gas in the mid-Columbia River System. J. Water Resour. Plan. Manag. 2017, 143, 04017063. [Google Scholar] [CrossRef]
- Boyd, C.E.; Watten, B.J.; Goubier, V.; Wu, R.Q. Gas supersaturation in surface waters of aquaculture ponds. Aquac. Eng. 1994, 13, 31–39. [Google Scholar] [CrossRef]
- Stickney, A.P. Supersaturation of atmospheric gases in the coastal waters of the Gulf of Maine. Fish Bull. 1968, 67, 117–123. [Google Scholar]
- Bouck, G.R. Annual variation of gas supersaturation in four spring-fed Oregon streams. Progress. Fish Cult. 1984, 46, 139–140. [Google Scholar] [CrossRef]
- Wang, H.R.; Zhou, Z.L.; Xing, Y.N.; Huang, X.; Lin, G.; Wu, J.Y. On supersaturation of total dissolved gas for hydraulic projects. Adv. Sci. Technol. Water Resour. 1985, 30, 12–15. (In Chinese) [Google Scholar]
- Krise, W.F.; Smith, R.A. Communications: Eye abnormalities of lake trout exposed to gas supersaturation. Progress. Fish Cult. 1993, 55, 177–179. [Google Scholar] [CrossRef]
- Rowland, D.E.; Jensen, J.O.T. The Effect of Gas Supersaturated Water on Juvenile Chinook (Oncorhynchus tshawytscha) Held in Cages in the Nechako River, British Columbia; Department of Fisheries and Oceans, Biological Sciences Branch, Pacific Biological Station: Nanaimo, BC, Canada, 1988. [Google Scholar]
- Liu, X.Q.; Li, K.F.; Li, R.; Jiang, W. Effect of chronic and acute exposure to total dissolved gas supersaturation on growth and survival in juvenile rock carp (Procypris Rabaudi Tchang). J. Food Agric. Environ. 2013, 11, 1390–1393. [Google Scholar]
- Weitkamp, D.E. Total Dissolved Gas Supersaturation Biological Effects, Review of Literature 1980–2007; Parametrix Inc.: Washington, DC, USA, 2008. [Google Scholar]
- Chen, Y.B.; Peng, Q.D.; Liao, W.G. The evolvement study on supersaturation of dissolved gas in the middle reaches of Yangtze River after the Three Gorges project running. J. Hydroecol. 2009, 2, 1–5. (In Chinese) [Google Scholar]
- Stenberg, S.K. Effects of Gas Supersaturation on Migrating Atlantic Salmon Smolt (Salmo salar) in Evangervatnet. Master’s Thesis, The University of Bergen, Bergen, Norway, 2016. [Google Scholar]
- Brosnan, I.G.; Welch, D.W.; Jacobs, S.M. Survival rates of out-migrating yearling Chinook salmon in the lower Columbia River and plume after exposure to gas-supersaturated water. J. Aquat. Anim. Health 2016, 28, 240–251. [Google Scholar] [CrossRef] [PubMed]
- Wang, Y.; Politano, M.; Weber, L. Spillway jet regime and total dissolved gas prediction with a multiphase flow model. J. Hydraul. Res. 2019, 12, 26–38. [Google Scholar] [CrossRef]
- Li, R.; Li, J.; Li, K.F.; Deng, Y.; Feng, J.J. Prediction for supersaturated total dissolved gas in high-dam hydropower projects. Sci. China 2009, 52, 3661–3667. (In Chinese) [Google Scholar] [CrossRef]
- Kamal, R.; Zhu, D.Z.; McArthur, M.; Leake, A. Field study on the dissipation of supersaturated total dissolved gases in a cascade reservoir system. In Proceedings of the World Environmental and Water Resources Congress, West Palm Beach, FL, USA, 22–26 May 2016. [Google Scholar]
- Witt, A.; Stewart, K.; Hadjerioua, B. Predicting total dissolved gas travel time in hydropower reservoirs. J. Environ. Eng. 2017, 143, 06017011. [Google Scholar] [CrossRef]
- Ma, Q.; Li, R.; Feng, J.J.; Lu, J.Y.; Zhou, Q. Cumulative effects of cascade hydropower stations on total dissolved gas supersaturation. Environ. Sci. Pollut. Res. 2018, 25, 13536–13547. [Google Scholar] [CrossRef] [PubMed]
- Liu, J.K.; Cao, W.X. Fish resources of the Yangtze River basin and the tactics for their conservation. Resour. Environ. Yangtze Val. 1992, 1, 17–23. (In Chinese) [Google Scholar]
- Luo, H.H.; Yang, Q.R.; Li, Q.; Li, C.; Chen, B.Y.; Lv, P.Y. A preliminary study on fish habitat characteristics in the National Nature Reserve for rare and endemic fishes in the upper reaches of the Yangtze River. Freshw. Fish. 2014, 6, 44–48. (In Chinese) [Google Scholar]
- Shen, C.; Lv, P.Y.; Wang, Y.C.; Ni, G.H.; Feng, S.X. Spatial and temporal distribution of dissolved oxygen in the main stream of the National Nature Reserve for Rare and Endemic Fish in the Upper Reaches of the Yangtze River after reservoir impounding. J. Tsinghua Univ. Sci. Technol. 2015, 1, 39–45. (In Chinese) [Google Scholar]
- Wang, C. Research conception of ecological protection and restoration of high dams and large reservoirs construction and hydropower cascade development in southwestern china. Adv. Eng. Sci. 2017, 49, 19–26. (In Chinese) [Google Scholar]
- Tan, D.C.; Ni, C.H.; Zheng, Y.H.; Li, L.Y.; Li, Y.F. Dissolved gas supersaturation downstream of dam and its effects on fish. Freshw. Fish. 2006, 36, 56–59. (In Chinese) [Google Scholar]
- Qu, L.; Li, R.; Li, J.; Li, K.F.; Deng, Y. Field observation of total dissolved gas supersaturation of high-dams. Sci. China Ser. E Technol. Sci. 2011, 54, 156–162. [Google Scholar] [CrossRef]
- CCTV (China Central Television). Available online: http://news.cntv.cn/2014/07/19/ARTI1405750580177886.shtml (accessed on 19 July 2014).
- Cui, L. Hydropower development and ecological environmental protection in Yangtze River basin. Water Power 2017, 43, 10–12. (In Chinese) [Google Scholar]
- Wang, Y.M.; Li, K.F.; Li, J.; Li, R.; Deng, Y. Tolerance and avoidance characteristics of Prenant’s schizothoracin Schizothorax prenanti to total dissolved gas supersaturated water. N. Am. J. Fish. Manag. 2015, 35, 827–834. [Google Scholar] [CrossRef]
- Cao, L.; Li, K.F.; Liang, R.F.; Chen, S.C.; Jiang, W.; Li, R. The tolerance threshold of Chinese sucker to total dissolved gas supersaturation. Aquac. Res. 2016, 47, 2804–2813. [Google Scholar] [CrossRef]
- Yuan, Y.; Wang, Y.M.; Zhou, C.Y.; An, R.D.; Li, K.F. Tolerance of Prenant’s schizothoracin Schizothorax prenanti to total dissolved gas supersaturated water at varying temperature. N. Am. J. Aquac. 2018, 80, 107–115. [Google Scholar] [CrossRef]
- Zhang, Y.R.; Du, Q.C.; Wang, Y.M.; Li, K.F. Effects of TDG supersaturated water with sediment on juvenile Schizothorax prenanti. J. Hydraul. Eng. 2014, 45, 1029–1037. (In Chinese) [Google Scholar]
- Jiang, W.; Liu, X.Q.; Zhang, Y.X.; Chen, S.C.; Zhang, Z.G.; Li, K.F. Tolerances of Different Fish Species Exposed to Total Dissolved Gas Supersaturated Water. In Proceedings of the 2013 IAHR world congress, Chengdu, China, 8–13 September 2013. [Google Scholar]
- Wang, Y.M.; Zhang, L.L.; Zeng, C.; Li, K.F. Tolerance and avoidance responses of Schizothorax pernanti to total dissolved gas supersaturation. J. Hydraul. Eng. 2015, 46, 480–488. (In Chinese) [Google Scholar]
- Liang, R.F.; Li, B.; Li, K.F.; Tuo, Y.C. Effect of total dissolved gas supersaturated water on early life of David’s schizothoracin (Schizothorax davidi). J. Zhejiang Univ. Sci. B Biomed. Biotechnol. 2013, 14, 632–639. [Google Scholar] [CrossRef]
- Chen, S.C.; Liu, X.Q.; Jiang, W.; Li, K.F.; Du, J.; Shen, D.Z.; Gong, Q. Effects of total dissolved gas supersaturated water on lethality and catalase activity of Chinese sucker (myxocyprinus asiaticus bleeker). J. Zhejiang Univ. Sci. B Biomed. Biotechnol. 2012, 13, 791–796. [Google Scholar] [CrossRef]
- Sun, J.P.; Shi, H.R.; Liu, X.Q.; Wang, J.J.; Yuan, Y. Tolerance of fish to TDG supersaturated water with sediments. Adv. Sci. Technol. Water Resour. 2019, 39, 28–33. (In Chinese) [Google Scholar]
- Huang, X.; Li, K.F.; Du, J.; Li, R. Effects of gas supersaturation on lethality and avoidance responses in juvenile rock carp (procypris rabaudi Tchang). J. Zhejiang Univ. Sci. B 2010, 11, 806–811. [Google Scholar] [CrossRef] [PubMed]
- Xie, J. Research advances on Schizothorax prenanti in China. J. Anhui Agric. Sci. 2010, 25, 13721–13722. (In Chinese) [Google Scholar]
- Li, J.D.; Huang, W.B.; Zhan, Y.; Ma, G.W.; Liu, G. Optimized daily total allocation of cascade hydropower stations based on nested optimization mechanism. Adv. Eng. Sci. 2017, S1, 59–65. (In Chinese) [Google Scholar]
- Huo, X.P.; Ma, Z.Y.; Chen, J.; Wang, W. Anti-vibration analysis of upper ground powerhouse structure for hydropower projects. Yellow River 2016, 38, 95–98. (In Chinese) [Google Scholar]
- Wang, Y.M.; Li, Y.; An, R.D.; Li, K.F. Effects of total dissolved gas supersaturation on the swimming performance of two endemic fish species in the upper Yangtze River. Sci. Rep. 2018, 8, 10063. [Google Scholar] [CrossRef] [PubMed]
- Shetty, A.J.; Alwar, M.C. Acute toxicity studies and determination of median lethal dose. Curr. Sci. 2007, 93, 917–920. [Google Scholar]
- Kleinbaum, D.G.; Klein, M. Survival analysis. Stat. Biol. Health 2005, 76, 507–508. [Google Scholar]
- Weitkamp, D.E.; Sullivan, R.D.; Swant, T.; Dossantos, J. Behavior of resident fish relative to total dissolved gas supersaturation in the lower Clark Rork River. Trans. Am. Fish. Soc. 2003, 132, 856–864. [Google Scholar] [CrossRef]
- Liu, X.Q.; Li, K.F.; Jiang, W.; Wu, S. Biochemical responses and survival of rock carp (procypris rabaudi) to total dissolved gas supersaturated water. Ichthyol. Res. 2015, 62, 171–176. [Google Scholar] [CrossRef]
- Barlow, G.W. Fish behavior. Science 1977, 27, 212. [Google Scholar]







| Case | Low TDG | Cycle for Low TDG | High TDG | Cycle for high TDG |
|---|---|---|---|---|
| FT-1a | 110% | 6 h | 120% | 6 h |
| FT-1b | 110% | 8 h | 120% | 8 h |
| FT-1c | 110% | 12 h | 120% | 12 h |
| FT-2a | 115% | 6 h | 125% | 6 h |
| FT-2b | 115% | 8 h | 125% | 8 h |
| FT-2c | 115% | 12 h | 125% | 12 h |
| FT-3a | 110% | 6 h | 130% | 6 h |
| FT-3b | 110% | 8 h | 130% | 8 h |
| FT-3c | 110% | 12 h | 130% | 12 h |
| Cases | Mortality | Fish Weight (g) | Fish Length (cm) | Prevalence of GBD | ||
|---|---|---|---|---|---|---|
| Pectoral Fin Bubbles | Dorsal Fin Bubbles | Caudal Fin Bubbles | ||||
| CT-1 | 5.0% | 11.7 | 10.3 | 100% | 100% | 100% |
| CT-2 | 70.0% | 13.2 ± 6.0 | 11.2 ± 2.2 | 75.6% | 71.4% | 78.6% |
| FT-1a | 60.0% | 11.0 ± 6.3 | 10.7 ± 2.5 | 75.0% | 83.3% | 83.3% |
| FT-1b | 80.0% | 11.6 ± 6.7 | 11 ± 2.5 | 81.3% | 100.0% | 87.5% |
| FT-1c | 70.0% | 16.4 ± 10.1 | 12.25 ± 2.9 | 71.4% | 85.7% | 71.4% |
| FT-2a | 100.0% | 11.8 ± 7.8 | 11 ± 3.6 | 75.0% | 90.0% | 85.0% |
| FT-2b | 100.0% | 10.9 ± 5.5 | 10.6 ± 1.9 | 85.0% | 95.0% | 65.0% |
| FT-2c | 100.0% | 11.1 ± 5.9 | 10.5 ± 1.9 | 60.0% | 70.0% | 75.0% |
| FT-3a | 100.0% | 16.9 ± 6.3 | 12.05 ± 1.9 | 60.0% | 80.0% | 85.0% |
| FT-3b | 100.0% | 13.8 ± 7.0 | 11.3 ± 2.0 | 85.0% | 85.0% | 100.0% |
| FT-3c | 100.0% | 15.8 ± 9.7 | 11.7 ± 3.2 | 70.0% | 80.0% | 70.0% |
| Case | Fluctuation Range | Cycle Time | Fish Weight (g) | Length (cm) | Percent Survival | LT50 (h) |
|---|---|---|---|---|---|---|
| CT-2 | 13.2 ± 6.0 | 11.2 ± 2.2 | 30% | 37.7 | ||
| FT-1a | 110–120% | 6 h–6 h | 11.0 ± 6.3 | 10.7 ± 2.5 | 40% | 53.8 |
| FT-1b | 8 h–8 h | 11.6 ± 6.7 | 11 ± 2.5 | 20% | 38.2 | |
| FT-1c | 12 h–12 h | 16.4 ± 10.1 | 12.25 ± 2.9 | 30% | 40.9 | |
| FT-2a | 115–125% | 6 h–6 h | 11.8 ± 7.8 | 11 ± 3.6 | 0% | 13.6 |
| FT-2b | 8 h–8 h | 10.9 ± 5.5 | 10.6 ± 1.9 | 0% | 17.6 | |
| FT-2c | 12 h–12 h | 11.1 ± 5.9 | 10.5 ± 1.9 | 0% | 18.5 | |
| FT-3a | 110–130% | 6 h–6 h | 16.9 ± 6.3 | 12.05 ± 1.9 | 0% | 15.6 |
| FT-3b | 8 h–8 h | 13.8 ± 7.0 | 11.3 ± 2.0 | 0% | 19.2 | |
| FT-3c | 12 h–12 h | 15.8 ± 9.7 | 11.7 ± 3.2 | 0% | 18.3 |
| Case | CT-2 | FT-1a | FT-1b | FT-1c | FT-2a | FT-2b | FT-2c | FT-3a | FT-3b | FT-3c | |
|---|---|---|---|---|---|---|---|---|---|---|---|
| CT-2 | χ2 | ||||||||||
| P | |||||||||||
| FT-1a | χ2 | 0.854 | |||||||||
| P | 0.355 | ||||||||||
| FT-1b | χ2 | 0.062 | 1.342 | ||||||||
| P | 0.804 | 0.247 | |||||||||
| FT-1c | χ2 | 0.008 | 0.538 | 0.189 | |||||||
| P | 0.927 | 0.463 | 0.664 | ||||||||
| FT-2a | χ2 | 18.344 | 33.325 | 19.146 | 28.537 | ||||||
| P | 0.000 | 0.000 | 0.000 | 0.000 | |||||||
| FT-2b | χ2 | 11.407 | 21.059 | 13.515 | 13.923 | 4.912 | |||||
| P | 0.001 | 0.000 | 0.000 | 0.000 | 0.027 | ||||||
| FT-2c | χ2 | 13.456 | 26.609 | 14.333 | 26.490 | 1.910 | 0.454 | ||||
| P | 0.000 | 0.000 | 0.000 | 0.000 | 0.167 | 0.501 | |||||
| FT-3a | χ2 | 15.920 | 29.363 | 15.778 | 27.560 | 0.001 | 1.925 | 1.307 | |||
| P | 0.000 | 0.000 | 0.000 | 0.000 | 0.978 | 0.165 | 0.253 | ||||
| FT-3b | χ2 | 12.120 | 24.637 | 12.852 | 24.833 | 12.774 | 0.355 | 4.615 | 7.361 | ||
| P | 0.000 | 0.000 | 0.000 | 0.000 | 0.000 | 0.551 | 0.032 | 0.007 | |||
| FT-3c | χ2 | 12.576 | 25.591 | 14.672 | 25.591 | 0.059 | 0.179 | 0.035 | 0.020 | 3.469 | |
| P | 0.000 | 0.000 | 0.000 | 0.000 | 0.808 | 0.672 | 0.851 | 0.888 | 0.063 | ||
| Species | Length (cm) | Weight (g) | Age | T (°C) | LT50 (h) | ||
|---|---|---|---|---|---|---|---|
| 120% | 125% | 130% | |||||
| Silver carp [39] | 6.2 ± 0.4 | 5.3 ± 0.6 | 22.0 ± 0.5 | 12.04 | |||
| Rock carp [12,35,39] | 7.9 ± 0.5 | 7.8 ± 0.6 | 22.0 ± 0.5 | 6.78 | |||
| 6.6–7.2 | 2.4–2.5 | 25 | 18.7 | 15.4 | 8.2 | ||
| 9.2 ± 0.9 | 8.1 ± 0.8 | Yearling | 21–23 | 14.6 | 7.8 | 4.7 | |
| 5.5 ± 0.6 | 3.3 ± 0.9 | Yearling | 22 ± 0.6 | 11.14 | 6.39 | 4.32 | |
| Chinese sucker [37] | 11.5 ± 0.9 | 39.5 ± 7.6 | 6 months old | 22 ± 0.6 | 49.06 | 9.19 | 7.81 |
| David’s Schizothoracin [36] | 7 days old | 20 ± 0.5 | 35.38 | ||||
| Prenant’s Schizothoracin [30,33,34,35] | 5.9–9.1 | 3.1–8.2 | Yearling | 20 ± 0.5 | 21.45 | 16.75 | 15.3 |
| 6.2 ± 1.0 | 4.5 ± 1.7 | Yearling | 22 ± 0.6 | 19.14 | 13.67 | ||
| 14 ± 2 | 50 ± 18 | 2 years old | 20 | 10.7 | 9.5 | 6.5 | |
| 6.0 ± 0.6 | 4.0 ± 1.3 | Yearling | 20 | 23.88 | 9.66 | 8.74 | |
© 2019 by the authors. Licensee MDPI, Basel, Switzerland. This article is an open access article distributed under the terms and conditions of the Creative Commons Attribution (CC BY) license (http://creativecommons.org/licenses/by/4.0/).
Share and Cite
Ji, Q.; Xue, S.; Yuan, Q.; Yuan, Y.; Wang, Y.; Liang, R.; Feng, J.; Li, K.; Li, R. The Tolerance Characteristics of Resident Fish in the Upper Yangtze River under Varying Gas Supersaturation. Int. J. Environ. Res. Public Health 2019, 16, 2021. https://doi.org/10.3390/ijerph16112021
Ji Q, Xue S, Yuan Q, Yuan Y, Wang Y, Liang R, Feng J, Li K, Li R. The Tolerance Characteristics of Resident Fish in the Upper Yangtze River under Varying Gas Supersaturation. International Journal of Environmental Research and Public Health. 2019; 16(11):2021. https://doi.org/10.3390/ijerph16112021
Chicago/Turabian StyleJi, Qianfeng, Shudan Xue, Quan Yuan, Yuan Yuan, Yuanming Wang, Ruifeng Liang, Jingjie Feng, Kefeng Li, and Ran Li. 2019. "The Tolerance Characteristics of Resident Fish in the Upper Yangtze River under Varying Gas Supersaturation" International Journal of Environmental Research and Public Health 16, no. 11: 2021. https://doi.org/10.3390/ijerph16112021
APA StyleJi, Q., Xue, S., Yuan, Q., Yuan, Y., Wang, Y., Liang, R., Feng, J., Li, K., & Li, R. (2019). The Tolerance Characteristics of Resident Fish in the Upper Yangtze River under Varying Gas Supersaturation. International Journal of Environmental Research and Public Health, 16(11), 2021. https://doi.org/10.3390/ijerph16112021

