Temporal Variation of Earthworm Impacts on Soil Organic Carbon under Different Tillage Systems
Abstract
1. Introduction
2. Materials and Methods
2.1. Soil and Earthworm Collection
2.2. Incubation Experiment
2.3. Soil Sampling and Measurements in the Incubation Experiment
2.4. Data analysis
3. Results
3.1. Soil Respiration under Different Treatments
3.2. The Impact of Earthworm and Residue on Total SOC
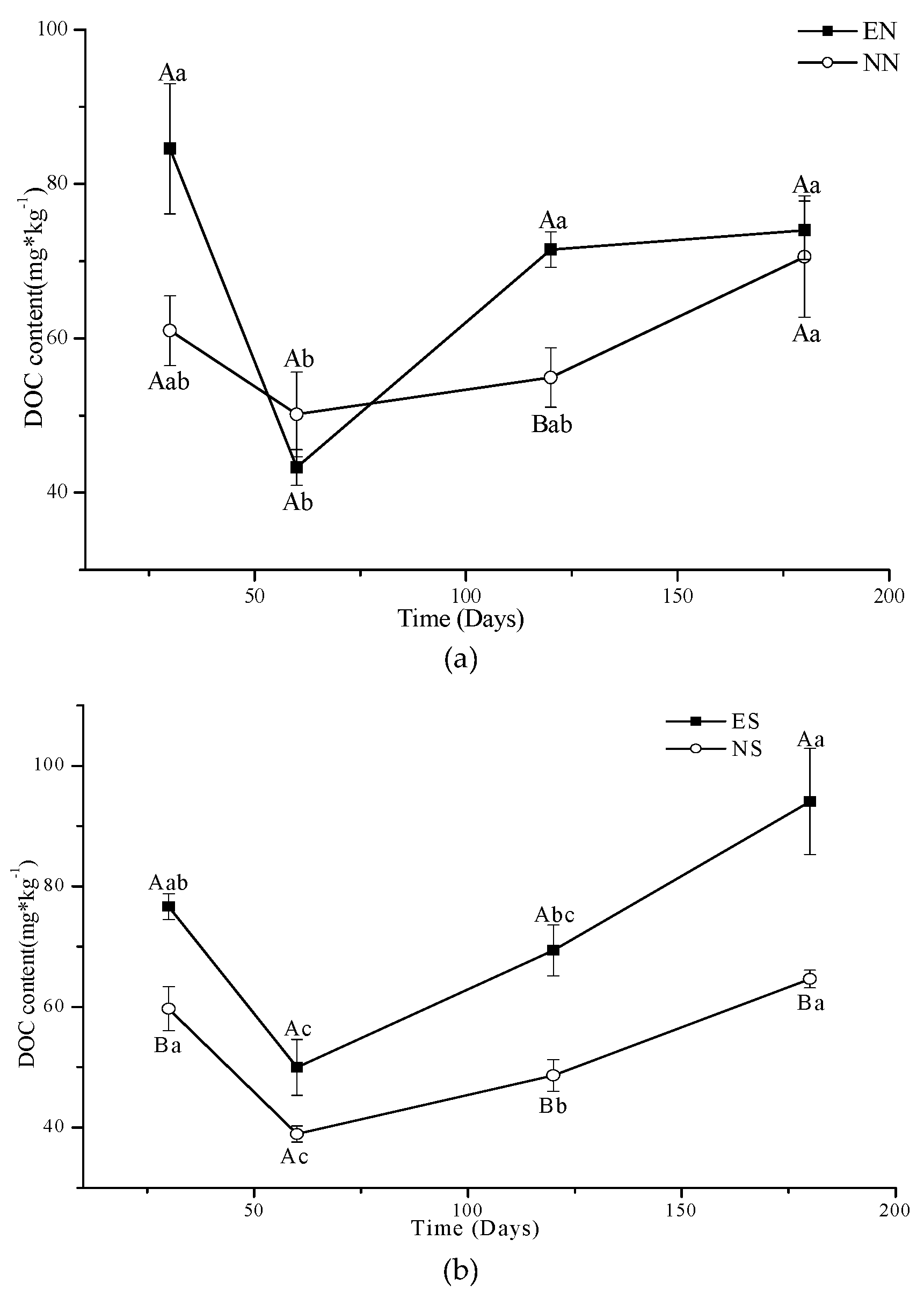
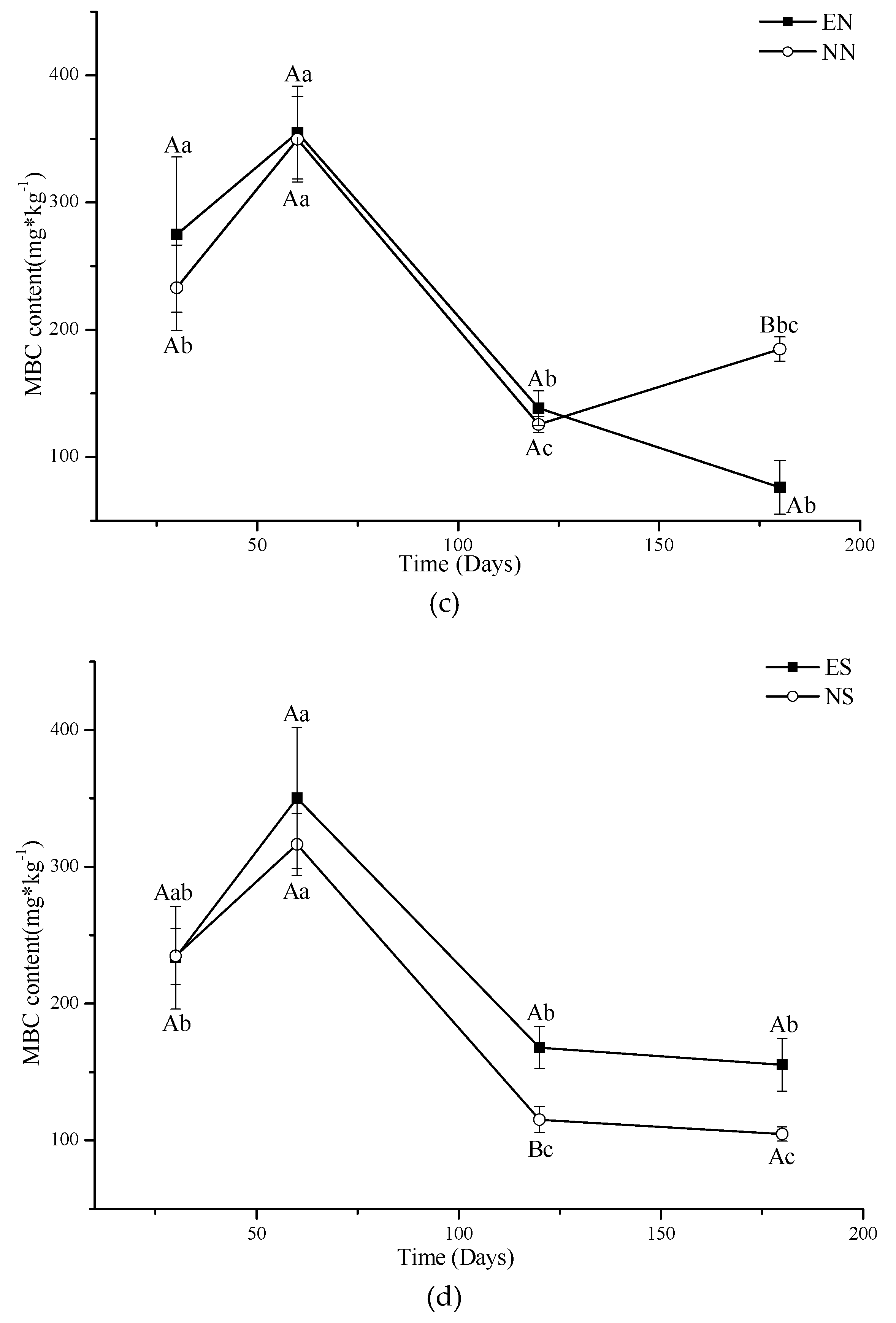
3.3. The Impact of Earthworm and Residue on Active SOC Fractions
4. Discussion
4.1. The Effect of Earthworms and Residue on Soil Respiration
4.2. The Impact of Earthworm on SOC without and with Residue Returned
4.3. The Impact of Earthworm on Active Fractions in the Soil
5. Conclusions
Author Contributions
Funding
Acknowledgments
Conflicts of Interest
References
- Dyson, F.J. Can we control the carbon dioxide in the atmosphere? Energy 1997, 2, 287–291. [Google Scholar] [CrossRef]
- Smith, P. Soils as carbon sinks: The global context. Soil Use Manag. 2004, 20, 212–218. [Google Scholar] [CrossRef]
- Millennium Ecosystem Assessment (MEA). Ecosystems and Human Well-Being: Biodiversity Synthesis; World Resources Institute: Washington, DC, USA, 2005; p. 86. [Google Scholar]
- Blouin, M.; Hodson, M.E.; Delgado, E.A.; Baker, G.; Brussaard, l.; Butt, K.R.; Dai, J.; Dendooven, L.; Pérès, G.; Tondoh, J.E.; et al. A review of earthworm impact on soil function and ecosystem services. Eur. J. Soil Sci. 2013, 64, 161–182. [Google Scholar] [CrossRef]
- Fonte, S.J.; Winsome, T.; Six, J. Earthworm populations in relation to organic matter dynamics and management in California tomato cropping systems. Appl. Soil Ecol. 2009, 41, 206–214. [Google Scholar] [CrossRef]
- Eisenhauer, N.; Partsch, S.; Parkinson, D.; Scheu, S. Invasion of a deciduous forest by earthworms: Changes in soil chemistry, microflora, microarthropods and vegetation. Soil Biol. Biochem. 2007, 39, 1099–1110. [Google Scholar] [CrossRef]
- Jones, C.G.; Lawton, J.H.; Shachak, M. Organisms as ecosystem engineers. Oikos 1994, 69, 373–386. [Google Scholar] [CrossRef]
- Lavelle, P.; Decaëns, T.; Aubert, M.; Barot, S.; Blouin, M.; Bureau, F.; Margerie, P.; Mora, P.; Rossi, J.-P. Soil invertebrates and ecosystem services. Eur. J. Soil Biol. 2006, 42, 3–15. [Google Scholar] [CrossRef]
- Fahey, T.J.; Yavitt, J.B.; Sherman, R.E.; Maerz, J.C.; Groffman, P.M.; Fisk, M.C.; Bohlen, P.J. Earthworms, litter and soil carbon in a northern hardwood forest. Biogeochemistry 2013, 114, 269–280. [Google Scholar] [CrossRef]
- Jouquet, P.; Dauber, J.; Lagerlof, J.; Lavelle, P.; Lepage, M. Soil invertebrates as ecosystem engineers: Intended and accidental effects on soil and feedback loops. Appl. Soil Ecol. 2006, 32, 153–164. [Google Scholar] [CrossRef]
- Bohlen, P.J.; Groffman, P.M.; Fahey, T.J.; Fisk, M.C.; Suarez, E.; Pelletier, D.M.; Fahey, R.T. Ecosystem consequences of exotic earthworm invasion of north temperate forests. Ecosystems 2004, 7, 1–12. [Google Scholar] [CrossRef]
- Hale, C.M. Evidence for human-mediated dispersal of exotic earthworms: Support for exploring strategies to limit further spread. Mol. Ecol. 2008, 17, 1165–1169. [Google Scholar] [CrossRef]
- Lubbers, I.M.; Pulleman, M.M.; Van Groenigen, J.W. Can earthworms simultaneously enhance decomposition and stabilization of plant residue carbon? Soil Biol. Biochem. 2017, 105, 12–24. [Google Scholar] [CrossRef]
- Curry, J.P.; Schmidt, O. The feeding ecology of earthworms—A review. Pedobiologia 2007, 50, 463–477. [Google Scholar] [CrossRef]
- Bossuyt, H.; Six, J.; Hendrix, P.F. Protection of soil carbon by microaggregates within earthworm casts. Soil Biol. Biochem. 2005, 37, 251–258. [Google Scholar] [CrossRef]
- Pulleman, M.M.; Six, J.; Uyl, A.; Marinissen, J.C.Y.; Jongmans, A.G. Earthworms and management affect organic matter incorporation and microaggregate formation in agricultural soils. Appl. Soil Ecol. 2005, 29, 1–15. [Google Scholar] [CrossRef]
- Pulleman, M.M.; Six, J.; Van Breemen, N.; Jongmans, A.G. Soil organic matter distribution and microaggregate characteristics as affected by agricultural management and earthworm activity. Eur. J. Soil Sci. 2005, 56, 453–467. [Google Scholar] [CrossRef]
- Binet, F.; Fayolle, L.; Pussard, M.; Crawford, J.J.; Traina, S.J.; Tuovinen, O.H. Significance of earthworms in stimulating soil microbial activity. Biol. Fertil. Soils 1998, 27, 79–84. [Google Scholar] [CrossRef]
- Wachendorf, C.; Potthoff, M.; Ludwig, B.; Joergensena, R.G. Effects of addition of maize litter and earthworms on C mineralization and aggregate formation in single and mixed soils differing in soil organic carbon and clay content. Pedobiologia 2014, 57, 161–169. [Google Scholar] [CrossRef]
- Edwards, C.A. Earthworm Ecology, 2nd ed.; CRC Press LLC: Washington, DC, USA, 2004. [Google Scholar]
- Nieminen, M.; Hurme, T.; Mikola, J.; Regina, K.; Nuutinen, V. Impact of earthworm Lumbricus terrestris living sites on the greenhouse gas balance of no-till arable soil. Biogeosciences 2015, 12, 5481–5493. [Google Scholar] [CrossRef]
- Lubbers, I.M.; van Groenigen, K.J.; Fonte, S.J.; Six, J.; Brussaard, L.; van Groenigen, J.W. Greenhouse-gas emissions from soils increased by earthworms. Nat. Clim. Chang. 2013, 3, 187–194. [Google Scholar] [CrossRef]
- Zhang, W.; Hendrix, P.F.; Dame, L.E.; Burke, R.A.; Wu, J.; Neher, D.A.; Li, J.; Shao, Y.; Fu, S. Earthworms facilitate carbon sequestration through unequal amplification of carbon stabilization compared with mineralization. Nat. Commun. 2013, 4, 2576. [Google Scholar] [CrossRef]
- Hedde, M.; Bureau, F.; Delporte, P.; Cécillon, L.; Decaëns, T. The effects of earthworm species on soil behaviour depend on land use. Soil Biol. Biochem. 2013, 65, 264–273. [Google Scholar] [CrossRef]
- Hugh, R.; Reidun, P.; Ragnar, E.; Sissel, H.; Audun, K. Soil structure, organic matter and earthworm activity in a comparison of cropping systems with contrasting tillage, rotations, fertilizer levels and manure use. Agric. Ecosyst. Environ. 2008, 124, 275–284. [Google Scholar] [CrossRef]
- Lubbers, I.M.; Kees, J.V.G.; Lijbert, B.; van Groenigen, J.W. Reduced greenhouse gas mitigation potential of no-tillage soils through earthworm activity. Sci. Rep. 2015, 5, 13787. [Google Scholar] [CrossRef]
- Bohlen, P.J.; Scheu, S.; Hale, C.M.; McLean, M.A.; Migge, S.; Groffman, P.M.; Parkinson, D. Non-native invasive earthworms as agents of change in northern temperate forests. Front. Ecol. Environ. 2004, 2, 427–435. [Google Scholar] [CrossRef]
- McLean, M.A.; Miggekleian, S.; Parkinson, D. Earthworm invasions of ecosystems devoid of earthworms: Effects on soil microbes. Biol. Invasions 2006, 8, 1257–1273. [Google Scholar] [CrossRef]
- Joël, A.; Pascal, T.; Roxane, K.M.; Jean-Michel, G.; Renée-Claire, L.B. Effects of endogeic earthworms on the soil organic matter dynamics and the soil structure in urban and alluvial soil materials. Geoderma 2015, 243, 50–57. [Google Scholar] [CrossRef]
- Zhu, X.Y.; Chang, L.; Liu, J.; Zhou, M.; Li, J.; Gao, B.; Wu, D. Exploring the relationships between soil fauna, different tillage regimes and CO2 and N2O emissions from black soil in China. Soil Biol. Biochem. 2016, 103, 106–116. [Google Scholar] [CrossRef]
- Vance, E.D.; Brookes, P.C.; Jenkinson, D.S. An extraction method for measuring soil microbial biomass-C. Soil Biol. Biochem. 1987, 19, 703–707. [Google Scholar] [CrossRef]
- Zhang, S.X.; Li, Q.; Lü, Y.; Zhang, X.P.; Liang, W.J. Contributions of soil biota to C sequestration varied with aggregate fractions under different tillage systems. Soil Biol. Biochem. 2013, 62, 147–156. [Google Scholar] [CrossRef]
- Rizhiya, E.; Bertora, C.; Van Vliet, P.C.J.; Kuikman, P.J.; Faber, J.H.; Groenigen, J.W. Earthworm activity as a determinant for N2O emission from crop residue. Soil Biol. Biochem. 2007, 39, 2058–2069. [Google Scholar] [CrossRef]
- Chapuis-Lardy, L.; Brauman, A.; Bernard, L.; Pablo, A.L.; Toucet, J.; Mano, M.J.; Weber, L.; Brunet, D.; Razafimbelo, T.; Chotte, J.L.; et al. Effect of the endogeic earthworm Pontoscolex corethrurus on the microbial structure and activity related to CO2 and N2O fluxes from a tropical soil (Madagascar). Appl. Soil Ecol. 2010, 45, 201–208. [Google Scholar] [CrossRef]
- Giannopoulos, G.; Pulleman, M.M.; Van Groenigen, J.W. Interactions between residue placement and earthworm ecological strategy affect aggregate turnover and N2O dynamics in agricultural soil. Soil Biol. Biochem. 2010, 42, 618–625. [Google Scholar] [CrossRef]
- Frouz, J.; Špaldoňová, A.; Fričová, K.; Bartuška, M. The effect of earthworms (Lumbricus rubellus) and simulated tillage on soil organic carbon in a long-term microcosm experiment. Soil Biol. Biochem. 2014, 78, 58–64. [Google Scholar] [CrossRef]
- Drake, H.L.; Horn, M.A. Earthworms as a transient heaven for terrestrial denitrifying microbes: A review. Eng. Life Sci. 2006, 6, 261–265. [Google Scholar] [CrossRef]
- Speratti, A.B.; Whalen, J.K. Carbon dioxide and nitrous oxide fluxes from soil as influenced by anecic and endogeic earthworms. Appl. Soil Ecol. 2008, 38, 27–33. [Google Scholar] [CrossRef]
- Nebert, L.D.; Bloem, J.; Lubbers, I.M.; van Groenigen, J.W. Association of earthworm-denitrifier interactions with increased emission of nitrous oxide from soil mesocosms amended with crop residue. Appl. Environ. Microb. 2011, 77, 4097–4104. [Google Scholar] [CrossRef]
- Wu, H.T.; Lu, M.Z.; Lu, X.G.; Guan, Q.; He, X.H. Interactions between earthworms and mesofauna has no significant effect on emissions of CO2 and N2O from soil. Soil Biol. Biochem. 2015, 88, 294–297. [Google Scholar] [CrossRef]
- Depkat-Jakob, P.S.; Hunger, S.; Schulz, K.; Brown, G.G.; Tsai, S.M.; Drake, H.L. Emission of methane by Eudrilus eugeniae and other earthworms from Brazil. Appl. Environ. Microb. 2012, 78, 3014–3019. [Google Scholar] [CrossRef]
- Kammann, C.; Hepp, S.; Lenhart, K.; Müller, C. Stimulation of methane consumption by endogenous CH4 production in aerobic grassland soil. Soil Biol. Biochem. 2009, 41, 622–629. [Google Scholar] [CrossRef]
- Koubova, A.; Goberna, M.; Simek, M.; Chroňáková, A.; Pižl, V.; Insam, H.; Elhottová, D. Effects of the earthworm Eisenia andrei on methanogens in a cattle-impacted soil: A microcosm study. Eur. J. Soil Biol. 2012, 48, 32–40. [Google Scholar] [CrossRef]
- Bradley, R.L.; Chronakova, A.; Elhottova, D.; Šimek, M. Interactions between land-use history and earthworms control gross rates of soil methane production in an overwintering pasture. Soil Biol. Biochem. 2012, 53, 64–71. [Google Scholar] [CrossRef]
- Bohlen, P.J.; Pelletier, D.M.; Groffman, P.M.; Fahey, T.J.; Fisk, M.C. Influence of earthworm invasion on redistribution and retention of soil carbon and nitrogen in northern temperate forests. Ecosystems 2004, 7, 13–27. [Google Scholar] [CrossRef]
- Kuzyakov, Y. Sources of CO2 efflux from soil and review of partitioning methods. Soil Biol. Biochem. 2006, 38, 425–448. [Google Scholar] [CrossRef]
- Hoyle, F.C.; Murphy, D.W.; Brookes, P.C. Microbial response to the addition of glucose in low-fertility soils. Biol. Fertil. Soils 2008, 44, 571–579. [Google Scholar] [CrossRef]
- Anderson, T.H.; Domsch, K.H. Ratios of microbial biomass carbon to total organic carbon in arable soils. Soil Biol. Biochem. 1989, 21, 471–479. [Google Scholar] [CrossRef]
- Vineela, C.; Wani, S.P.; Srinivasarao, C.; Padmaja, B.; Vittal, K.P.R. Microbial properties of soils as affected by cropping and nutrient management practices in several long-term manurial experiments in the semi-arid tropics of India. Appl. Soil Ecol. 2008, 40, 165–173. [Google Scholar] [CrossRef]
- Wang, Q.L.; Cao, G.M.; Wang, C.T. Quantitative characters of soil microbes and microbial biomass under different vegetations in alpine meadow. Chin. J. Ecol. 2007, 26, 1002–1008. [Google Scholar] [CrossRef]
- Devi, N.B.; Yadava, P. Seasonal dynamics in soil microbial biomass C, N and P in a mixed-oak forest ecosystem of Manipur, Northeast India. Appl. Soil Ecol. 2006, 31, 220–227. [Google Scholar] [CrossRef]
- Edwards, K.A.; McCulloch, J.; Kershaw, G.P.; Jefferies, R.L. Soil microbial and nutrient dynamics in a wet Arctic sedge meadow in late winter and early spring. Soil Biol. Biochem. 2006, 38, 2843–2851. [Google Scholar] [CrossRef]
- Castellanos-Navarrete, A.; Rodríguez-Aragones, C.; De Goede, R.G.M.; Kooistra, M.J.; Sayre, K.D.; Brussaard, L.; Pulleman, M.M. Earthworm activity and soil structural changes under conservation agriculture in central Mexico. Soil Tillage Res. 2012, 123, 61–70. [Google Scholar] [CrossRef]
- Chan, K.Y. An overview of some tillage impacts on earthworm population abundance and diversity—Implications for functioning in soils. Soil Tillage Res. 2001, 57, 179–191. [Google Scholar] [CrossRef]
- Bastida, F.; Torres, I.F.; Hernandez, T.; Bombach, P.; Richnow, H.H.; García, C. Can the labile carbon contribute to carbon immobilization in semiarid soils? Priming effects and microbial community dynamics. Soil Biol. Biochem. 2013, 57, 892–902. [Google Scholar] [CrossRef]
- Fischer, H.; Ingwersen, J.; Kuzyakov, Y. Microbial uptake of low-molecular-weight organic substances out-competes sorption in soil. Eur. J. Soil Sci. 2010, 61, 504–513. [Google Scholar] [CrossRef]
- Kuzyakov, Y.; Friedel, J.K.; Stahr, K. Review of mechanisms and quantification of priming effects. Soil Biol. Biochem. 2000, 32, 1485–1498. [Google Scholar] [CrossRef]
- Perelo, L.W.; Munch, J.C. Microbial immobilization and turnover of 13C labeled substrates in two arable soils under field and laboratory conditions. Soil Biol. Biochem. 2005, 37, 2263–2272. [Google Scholar] [CrossRef]
- Yu, W.T.; Ma, Q.; Zhao, X.; Zhou, H.; Li, J.D. Changes of soil active organic carbon pool under different land use type. Chin. J. Ecol. 2007, 26, 2013–2016. [Google Scholar] [CrossRef]
- Frey, S.D.; Drijber, R.; Smith, H.; Melillo, J. Microbial biomass, functional capacity, and community structure after 12 years of soil warming. Soil Biol. Biochem. 2008, 40, 2904–2907. [Google Scholar] [CrossRef]
- Cui, F.J.; Liu, J.H.; Li, L.J.; Gao, J.; Li, Q. Effect of zero tillage with mulching on active soil organic carbon. Acta Agric. Boreal.-Occident. Sin. 2012, 21, 195–200. [Google Scholar]
- Mohanram, A.; Ray, C.; Metge, D.W.; Barber, L.B.; Ryan, J.N.; Harvey, R.W. Effect of dissolved organic carbon on the transport and attachment behaviors of cryptosporidium parvum oocysts and carboxylate-modified microspheres advected through temperate humic and tropical volcanic agricultural soil. Environ. Sci. Technol. 2011, 46, 2088–2094. [Google Scholar] [CrossRef]
- Brown, G.G.; Barois, I.; Lavelle, P. Regulation of organic matter dynamics and microbial activity in the drilosphere and the role of interactions with other edaphic functional domains. Eur. J. Soil Biol. 2000, 36, 177–198. [Google Scholar] [CrossRef]
- Marhan, S.; Kandeler, E.; Scheu, S. Phospholipid fatty acid profiles and xylanase activity in particle size fractions of forest soil and casts of Lumbricus terrestris L. (Oligochaeta, Lumbricidae). Appl. Soil Ecol. 2007, 35, 412–422. [Google Scholar] [CrossRef]
- Helgason, B.L.; Walley, F.L.; Germida, J.J. Long-term no-till management affects microbial biomass but not community composition in Canadian prairie agroecosystems. Soil Biol. Biochem. 2010, 42, 2192–2202. [Google Scholar] [CrossRef]
- Sundermeier, A.P.; Islam, K.R.; Raut, Y.; Reeder, R.C.; Dick, W.A. Continuous no-till impacts on soil biophysical carbon sequestration. Soil Sci. Soc. Am. J. 2011, 75, 1779–1788. [Google Scholar] [CrossRef]
- Neher, D.A. Soil community composition and ecosystem processes: Comparing agricultural ecosystems with natural ecosystems. Agrofor. Syst. 1999, 45, 159–185. [Google Scholar] [CrossRef]
- Post, W.M.; Kwon, K.C. Soil carbon sequestration and land-use change: Processes and potential. Glob. Chang. Biol. 2000, 6, 317–327. [Google Scholar] [CrossRef]
- White, P.A.; Rice, C.W. Tillage effects on microbial and carbon dynamics during plant residue decomposition. Soil Sci. Soc. Am. J. 2009, 73, 138–145. [Google Scholar] [CrossRef]
- Van Capelle, C.; Schrader, S.; Brunotte, J. Tillage-induced changes in the functional diversity of soil biota—A review with a focus on German data. Eur. J. Soil Biol. 2012, 50, 165–181. [Google Scholar] [CrossRef]
- Frouz, J. Effects of soil development time and litter quality on soil carbon sequestration: Assessing soil carbon saturation with a field transplant experiment along a post-mining chronosequence. Land Degrad. Dev. 2017, 28, 664–672. [Google Scholar] [CrossRef]
- Fisk, M.C.; Fahey, T.J.; Groffman, P.M.; Bohlen, P.J. Earthworm invasion, fine-root distributions, and soil respiration in north temperate forests. Ecosystems 2004, 7, 55–62. [Google Scholar] [CrossRef]
- Aira, M.; Sampedro, L.; Monroy, F.; Domínguez, J. Detritivorous earthworms directly modify the structure, thus altering the functioning of a micro-decomposer food web. Soil Biol. Biochem. 2008, 40, 2511–2516. [Google Scholar] [CrossRef]








| Tillage | Coefficient | NS | NN | ES | EN |
|---|---|---|---|---|---|
| CT | a (pmol·g−1·s−1) | 2.15 (0.74) | 1.34 (1.09) | 2.03 (0.46) | 0.88 (0.31) |
| b (pmol·g−1·s−1) | 14.94 (1.03) | 3.13 (0.94) | 10.30 (0.52) | 2.45 (0.33) | |
| c (days) | 33.45 (6.48) | 71.02 (61.44) | 40.91 (6.42) | 45.07 (19.28) | |
| NT | a (pmol·g−1·s−1) | 3.66 (0.36) | 2.82 (0.23) | 3.21 (0.42) | 1.65 (0.92) |
| b (pmol·g−1·s−1) | 18.50 (1.22) | 5.15 (0.44) | 12.89 (0.95) | 4.08 (0.79) | |
| c (days) | 11.57 (1.27) | 24.19 (4.89) | 19.90 (3.19) | 73.75 (40.30) |
| Treatment | CT | NT | ||||||
|---|---|---|---|---|---|---|---|---|
| R | SOC | DOC | MBC | R | SOC | DOC | MBC | |
| NS | 0.000 | 0.196 | 0.002 | 0.001 | 0.000 | 0.034 | 0.000 | 0.000 |
| NN | 0.000 | 0.313 | 0.000 | 0.636 | 0.000 | 0.571 | 0.195 | 0.001 |
| ES | 0.000 | 0.039 | 0.000 | 0.000 | 0.000 | 0.005 | 0.003 | 0.017 |
| EN | 0.000 | 0.191 | 0.000 | 0.000 | 0.000 | 0.084 | 0.002 | 0.003 |
© 2019 by the authors. Licensee MDPI, Basel, Switzerland. This article is an open access article distributed under the terms and conditions of the Creative Commons Attribution (CC BY) license (http://creativecommons.org/licenses/by/4.0/).
Share and Cite
Guo, Y.; Zhang, X.; Zhang, Y.; Wu, D.; McLaughlin, N.; Zhang, S.; Chen, X.; Jia, S.; Liang, A. Temporal Variation of Earthworm Impacts on Soil Organic Carbon under Different Tillage Systems. Int. J. Environ. Res. Public Health 2019, 16, 1908. https://doi.org/10.3390/ijerph16111908
Guo Y, Zhang X, Zhang Y, Wu D, McLaughlin N, Zhang S, Chen X, Jia S, Liang A. Temporal Variation of Earthworm Impacts on Soil Organic Carbon under Different Tillage Systems. International Journal of Environmental Research and Public Health. 2019; 16(11):1908. https://doi.org/10.3390/ijerph16111908
Chicago/Turabian StyleGuo, Yafei, Xiaoping Zhang, Yan Zhang, Donghui Wu, Neil McLaughlin, Shixiu Zhang, Xuewen Chen, Shuxia Jia, and Aizhen Liang. 2019. "Temporal Variation of Earthworm Impacts on Soil Organic Carbon under Different Tillage Systems" International Journal of Environmental Research and Public Health 16, no. 11: 1908. https://doi.org/10.3390/ijerph16111908
APA StyleGuo, Y., Zhang, X., Zhang, Y., Wu, D., McLaughlin, N., Zhang, S., Chen, X., Jia, S., & Liang, A. (2019). Temporal Variation of Earthworm Impacts on Soil Organic Carbon under Different Tillage Systems. International Journal of Environmental Research and Public Health, 16(11), 1908. https://doi.org/10.3390/ijerph16111908

