Are Engaged Workaholics Protected against Job-Related Negative Affect and Anxiety before Sleep? A Study of the Moderating Role of Gender
Abstract
1. Introduction
1.1. The Relationship between Workaholism and Sleep Disorders
1.2. The Mediating Role of Job-Related Negative Affect in the Relationship between Workaholism and Anxiety before Sleep
1.3. The Interaction between Workaholism and Work Engagement on Job-Related Negative Affect, Moderated by Gender
2. Materials and Methods
2.1. Recruitment
2.2. Participants
2.3. Questionnaire Administration
2.4. Measures
2.4.1. Workaholism
2.4.2. Work Engagement
2.4.3. Job-related Negative Affect
2.4.4. Anxiety before Sleep
2.4.5. Workload
2.5. Data Analysis
2.6. Ethical Aspects
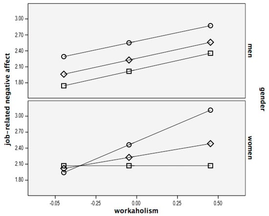
3. Results
4. Discussion
4.1. Limitations and Directions for Future Research
4.2. Practical Implications
5. Conclusions
Author Contributions
Funding
Conflicts of Interest
References
- Burke, R.J.; Cooper, C.L. The Long Work Hours Culture: Causes, Consequences and Choices; Emerald Publishers: Bingley, UK, 2008. [Google Scholar]
- Clark, M.A.; Stevens, G.; Michel, J.; Zimmerman, L. Workaholism among Leaders: Implications for their own and their followers’ well-being. In The Role of Leadership in Occupational Stress; Gentry, W.A., Clerkin, C., Perrewé, P.L., Halbesleben, J.R.B., Rosen, C.C., Eds.; Emerald Group Publishing Limited: Bingley, UK, 2016; Volume 14, pp. 1–31. ISBN 978-1-78635-062-6. [Google Scholar]
- Oates, W. Confessions of a Workaholic: The Facts about Work Addiction; World Publishing Company: New York, NY, USA, 1971. [Google Scholar]
- Burke, R.J. It’s not how hard you work but how you work hard: Evaluating workaholism components. Int. J. Stress Manag. 1999, 6, 225–239. [Google Scholar] [CrossRef]
- Burke, R.J. Workaholism in organizations: Psychological and physical well-being consequences. Stress Med. 2000, 16, 11–16. [Google Scholar] [CrossRef]
- Van Beek, I.; Taris, T.W.; Schaufeli, W.B. Workaholic and work engaged employees: Dead ringers or worlds apart? J. Occup. Health Psychol. 2011, 16, 468–482. [Google Scholar] [CrossRef] [PubMed]
- Shimazu, A.; Schaufeli, W.B.; Kamiyama, K.; Kawakami, N. Workaholism vs. work engagement: The two different predictors of future well-being and performance. Int. J. Behav. Med. 2015, 22, 18–23. [Google Scholar] [CrossRef] [PubMed]
- Kubota, K.; Shimazu, A.; Kawakami, N.; Takahashi, M.; Nakata, A.; Schaufeli, W.B. Association between workaholism and sleep problems among hospital nurses. Ind. Health 2010, 48, 864–871. [Google Scholar] [CrossRef] [PubMed]
- Kubota, K.; Shimazu, A.; Kawakami, N.; Takahashi, M. Workaholism and sleep quality among Japanese employees: A prospective cohort study. Int. J. Behav. Med. 2014, 20, 1–11. [Google Scholar] [CrossRef] [PubMed]
- Taris, T.W.; Van Beek, I.; Schaufeli, W.B. The beauty versus the beast: On the motives of engaged and workaholic employees. In Heavy Work Investment: Its Nature, Sources, Outcomes, and Future Direction; Harpaz, I., Snir, R., Eds.; Routledge: New York, NY, USA, 2014; pp. 121–138. [Google Scholar]
- Loscalzo, Y.; Giannini, M. Clinical conceptualization of workaholism: A comprehensive model. Organ. Psychol. Rev. 2017, 7, 306–329. [Google Scholar] [CrossRef]
- Snir, R.; Harpaz, I. Beyond workaholism: Towards a general model of heavy work investment. Hum. Resour. Manag. Rev. 2012, 22, 232–243. [Google Scholar] [CrossRef]
- Andreassen, C.S.; Hetland, J.; Molde, H.; Pallesen, S. Workaholism and potential outcomes in wellbeing and health in a cross-occupational sample. Stress and Health 2011, 27, 209–214. [Google Scholar] [CrossRef]
- Andreassen, C.S.; Pallesen, S.; Torsheim, T. Workaholism as a Mediator between Work-Related Stressors and Health Outcomes. Int. J. Environ. Res. Public Health 2018, 15, 73. [Google Scholar] [CrossRef] [PubMed]
- Costa, G.; Accattoli, M.P.; Garbarino, S.; Magnavita, N.; Roscelli, F. Sleep disorders and work: Guidelines for health surveillance, risk management and prevention. La Medicina del Lavoro 2013, 104, 251–266. [Google Scholar] [PubMed]
- Magnavita, N.; Garbarino, S. Sleep, health and wellness at work: A scoping review. Int. J. Environ. Res. Public Health 2017, 14, 1347. [Google Scholar] [CrossRef] [PubMed]
- Ilies, R.; Dimotakis, N.; De Pater, I. Psychological and Physiological Reactions to High Workloads: Implications for Well-Being. Pers. Psychol. 2010, 63, 407–436. [Google Scholar] [CrossRef]
- Casesens, G.; Stinglhamber, F.; Luypaert, G. The impact of work engagement and workaholism on well-being, the role of work-related social support. Career Dev. Int. 2014, 19, 813–835. [Google Scholar] [CrossRef]
- Salanova, M.; Lopez-Gonzalez, A.A.; Llorens, S.; del Libano, M.; Vincente-Herrero, T.; Tomas-Salva, M. Your work may be killing you! Workaholism, sleep problems and cardiovascular risk. Work Stress 2016, 30, 228–242. [Google Scholar] [CrossRef]
- Soldatos, C.R.; Allaert, F.A.; Ohta, T.; Dikeos, D.G. How do individuals sleep around the world? Results from a single-day survey in ten countries. Sleep Med. 2005, 6, 5–13. [Google Scholar] [CrossRef] [PubMed]
- Fulda, S.; Schulz, H. Cognitive dysfunction in sleep disorders. Sleep Med. Rev. 2002, 5, 423–445. [Google Scholar] [CrossRef] [PubMed]
- Karacan, I.; Thornby, J.I.; Williams, R.L. Sleep disturbances: A community survey. In Sleep/Wake Disorders: Natural History, Epidemiology, and Long-Term Evolution; Guilleminault, C., Lugaresi, E., Eds.; Raven Press: New York, NY, USA, 1983; pp. 37–60. [Google Scholar]
- Meijman, F.T.; Mulder, G. Psychological aspects of workload. In Handbook of Work and Organizational Psychology; Drenth, P.J.D., Thierry, H., Eds.; Psychology Press: Hove, UK, 1998; Volume 2, pp. 5–33. [Google Scholar]
- Lazarus, R.S. Stress and Emotion: A New Synthesis; Springer: New York, NY, USA, 2006. [Google Scholar]
- Perrewé, P.; Zellars, K.L. An examination of attributions and emotions in the transactional approach to the organizational stress process. J. Organ. Behav. 1999, 20, 739–752. [Google Scholar] [CrossRef]
- Ganster, D.C.; Rosen, C.C. Work stress and employee health: A multidisciplinary review. J. Manag. 2013, 39, 1085–1122. [Google Scholar] [CrossRef]
- Balducci, C.; Avanzi, L.; Fraccaroli, F. The individual “costs” of workaholism: An analysis based on multisource and prospective data. J. Manag. 2016, 20, 1–26. [Google Scholar] [CrossRef]
- Clark, M.A.; Michel, J.S.; Stevens, G.W.; Howell, J.W.; Scruggs, R.S. Workaholism, Work Engagement and Work—Home Outcomes: Exploring the Mediating Role of Positive and Negative Emotions. Stress Health 2014, 30, 287–300. [Google Scholar] [CrossRef] [PubMed]
- Clark, M.A.; Lelchook, A.M.; Taylor, M.L. Beyond the Big Five: How narcissism, perfectionism, and dispositional affect relate to workaholism. Personal. Individ. Differ. 2010, 48, 786–791. [Google Scholar] [CrossRef]
- Matsudaira, K.; Shimazu, A.; Fujii, T.; Kubota, K.; Sawada, T.; Kikuchi, N.; Takahashi, M. Workaholism as a risk factor for depressive mood, disabling back pain, and sickness absence. PLoS ONE 2013, 8, e75140. [Google Scholar] [CrossRef] [PubMed]
- Wojdylo, K.; Baumann, N.; Buczny, J.; Owens, G.; Kuhl, J. Work craving: A conceptualization and measurement. Basic Appl. Soc. Psychol. 2013, 35, 547–568. [Google Scholar] [CrossRef]
- Tachibana, H.; Izumi, T.; Honda, S.; Takemoto, T. The prevalence and pattern of insomnia in Japanese industrial workers: Relationship between psychosocial stress and type of insomnia. Psychiatry Clin. Neurosci. 1998, 52, 397–402. [Google Scholar] [CrossRef] [PubMed]
- Kahn, M.; Sheppes, G.; Sadeh, A. Sleep and Emotions: Bidirectional Links and Underlying Mechanisms. Int. J. Psychophysiol. 2013, 89, 218–228. [Google Scholar] [CrossRef] [PubMed]
- Åkerstedt, T.; Kecklund, G.; Gillberg, M. Sleep and sleepiness in relation to stress and displaced work hours. Physiol. Behav. 2007, 92, 250–255. [Google Scholar] [CrossRef] [PubMed]
- Galambos, N.L.; Howard, A.; Maggs, J. Rise and Fall of Sleep Quantity and Quality with Student Experiences Across the First Year of University. J. Res. Adolesc. 2010, 21, 342–349. [Google Scholar] [CrossRef]
- Lundh, L.G.; Broman, J.E. Insomnia as an interaction between sleep-interfering and sleep-interpreting processes. J. Psychosom. Res. 2000, 49, 299–310. [Google Scholar] [CrossRef]
- Roberts, E.R.; Roberts, R.C.; Xing, Y. Restricted Sleep Among Adolescents: Prevalence, Incidence, Persistence, and Associated Factors. Behav. Sleep Med. 2011, 9, 18–30. [Google Scholar] [CrossRef] [PubMed]
- Sadeh, A. Evaluating Night Wakings in Sleep-Disturbed Infants: A Methodological Study of Parental Reports and Actigraphy. Sleep 1996, 19, 757–762. [Google Scholar] [CrossRef] [PubMed]
- Van Reeth, O.; Weibel, L.; Spiegel, K.; Leproult, R.; Dugovic, C.; Maccari, S. Physiology of sleep (review)—Interactions between stress and sleep: From basic research to clinical situations. Sleep Med. Rev. 2000, 4, 201–219. [Google Scholar] [CrossRef]
- LeBlanc, M.; Mérette, C.; Savard, J.; Ivers, H.; Baillargeon, L.; Morin, C.M. Incidence and risk factors of insomnia in a population-based sample. Sleep 2009, 32, 1027–1037. [Google Scholar] [CrossRef] [PubMed]
- Vandekerckhove, M.; Weiss, R.; Schotte, C.; Exadaktylos, V.; Haex, B.; Verbraecken, J.; Cluydts, R. The role of presleep negative emotion in sleep physiology. Psychophysiology 2011, 48, 1738–1744. [Google Scholar] [CrossRef] [PubMed]
- Tang, N.K.; Harvey, A.G. Effects of cognitive arousal and physiological arousal on sleep perception. Sleep 2004, 27, 69–78. [Google Scholar] [CrossRef] [PubMed]
- Spence, J.T.; Robbins, A.S. Workaholics: Definition, measurement, and preliminary results. J. Personal. Assess. 1992, 58, 160–178. [Google Scholar] [CrossRef] [PubMed]
- Maslach, C.; Schaufeli, W.B.; Leiter, M.P. Job Burnout. Ann. Rev. Psychol. 2001, 52, 397–422. [Google Scholar] [CrossRef] [PubMed]
- Schaufeli, W.B.; Bakker, A.B.; Van der Heijden, F.M.M.A.; Prins, J.T. Workaholism, burnout, and well-being among junior doctors: The mediating role of role conflict. Work Stress 2009, 23, 155–172. [Google Scholar] [CrossRef]
- Schaufeli, W.B.; Salanova, M.; Gonzalez-Roma, V.; Bakker, A.B. The measurement of engagement and burnout: A two-sample confirmatory factor analytic approach. J. Happiness Stud. 2002, 3, 71–92. [Google Scholar] [CrossRef]
- Schaufeli, W.B.; Taris, T.W.; Bakker, A.B. Dr Jekyll or Mr Hyde? On the differences between work engagement and workaholism. In Research Companion to Working Time and Work Addiction; Burke, R.J., Ed.; Edward Elgar Publishing: Cheltenham, UK, 2006; pp. 193–217. [Google Scholar]
- Schaufeli, W.B.; Taris, T.W.; Van Rhenen, W. Workaholism, burnout, and work engagement: Three of a kind or three different kinds of employee well-being? Appl. Psychol. 2008, 57, 173–203. [Google Scholar] [CrossRef]
- Sonnentag, S. Recovery, work engagement, and proactive behavior: A new look at the interface between nonwork and work. J. Appl. Psychol. 2003, 88, 518–528. [Google Scholar] [CrossRef] [PubMed]
- Salanova, M.; Agut, S.; Peiro, J.M. Linking organizational resources and work engagement to employee performance and customer loyalty: The mediation of service climate. J. Appl. Psychol. 2005, 90, 1217–1227. [Google Scholar] [CrossRef] [PubMed]
- Xanthopoulou, D.; Bakker, A.B.; Demerouti, E.; Schaufeli, W.B. Work engagement and financial returns: A diary study on the role of job and personal resources. J. Occup. Organ. Psychol. 2009, 82, 183–200. [Google Scholar] [CrossRef]
- Schaufeli, W.B.; Bakker, A.B. Job demands, job resources, and their relationship with burnout and engagement: A multi-sample study. J. Organ. Behav. 2004, 25, 293–315. [Google Scholar] [CrossRef]
- Schaufeli, W.B.; Bakker, A.B.; Van Rhenen, W. How changes in job demands and resources predict burnout, work engagement, and sickness absenteeism. J. Organ. Behav. 2009, 30, 893–917. [Google Scholar] [CrossRef]
- Schaufeli, W.B.; Taris, T.W.; Le Blanc, P.M.; Peeters, M.; Bakker, A.; De Jonge, J. Maakt arbeid gezond? Op zoek naar de bevlogen werknemer. [Does work make healthy? The quest for the engaged worker]. De Psycholoog 2001, 36, 422–428. [Google Scholar]
- Schaufeli, W.B.; Salanova, M. Efficacy or inefficacy, that’s the question: Burnout and work engagement, and their relationship with efficacy beliefs. Anxiety Stress Coping 2007, 20, 177–196. [Google Scholar] [CrossRef] [PubMed]
- Schaufeli, W.B. General engagement: Conceptualization and measurement with the Utrecht General Engagement Scale (UGES). J. Well Being Assess. 2017, 1, 9–24. [Google Scholar] [CrossRef]
- Billieux, J.; Schimmenti, A.; Khazaal, Y.; Maurage, P.; Heeren, A. Are we overpathologizing everyday life? A tenable blueprint for behavioral addiction research. J. Behav. Addict. 2015, 4, 119–123. [Google Scholar] [CrossRef] [PubMed]
- Watson, D.; Clark, L.A. Negative affectivity: The disposition to experience aversive emotional states. Psychol. Bull. 1984, 96, 465–490. [Google Scholar] [CrossRef] [PubMed]
- Burke, R.; Matthiesen, S. Short communication: Workaholism among Norwegian journalists: Antecedents and consequences. Stress Health 2004, 20, 301–308. [Google Scholar] [CrossRef]
- Van Wijhe, C.I.; Peeters, M.C.W.; Schaufeli, W.B. To stop or not to stop, that’s the question: About persistence and mood of workaholics and work engaged employees. Int. J. Behav. Med. 2011, 18, 361–372. [Google Scholar] [CrossRef] [PubMed]
- Schaufeli, W.B.; Van Rhenen, W. Over de rol van positieve en negatieve emoties bij het welbevinden van managers: Een studie met de Job-related Affective Well-being Scale (JAWS) [About the role of positive and negative emotions in managers’ well-being: A study using the Job-related Affective Well-being Scale (JAWS)]. Gedrag Organ. 2006, 19, 223–244. [Google Scholar]
- Pleck, J.H. Paternal involvement: Levels, sources, and consequences. In The Role of the Father in Child Development; Lamb, M.E., Ed.; John Wiley & Sons Inc.: Hoboken, NJ, USA, 1997; pp. 66–103. [Google Scholar]
- Blair-Loy, M.; Jacobs, J.A. Globalization, work hours, and the care deficit among stockbrokers. Gend. Soc. 2003, 17, 230–249. [Google Scholar] [CrossRef]
- Harpaz, I.; Snir, R. Workaholism: Its definition and nature. Hum. Relat. 2003, 56, 292–320. [Google Scholar] [CrossRef]
- Snir, R.; Harpaz, I. The workaholism phenomenon: A cross-national perspective. Career Dev. Int. 2006, 11, 374–393. [Google Scholar] [CrossRef]
- Burke, R.J. Workaholism in organizations: Concepts, results and future research directions. Int. J. Manag. Rev. 2000, 2, 48–59. [Google Scholar] [CrossRef]
- Porter, G. Workaholic tendencies and high potential for stress among co-workers. Int. J. Stress Manag. 2001, 8, 147–164. [Google Scholar] [CrossRef]
- Burke, R.; Burgess, Z.; Oberklaid, F. Workaholism and divorce among Australian psychologists. Psychol. Rep. 2003, 93, 91–92. [Google Scholar] [CrossRef] [PubMed]
- Burke, R.; Oberklaid, F.; Burgess, Z. Workaholism among Australian women psychologists: Antecedents and consequences. Women Manag. Rev. 2004, 19, 252–259. [Google Scholar] [CrossRef]
- Taris, T.W.; Schaufeli, W.B.; Verhoeven, L.C. Workaholism in the Netherlands: Measurement and implications for job strain and work-nonwork conflict. Appl. Psychol. 2005, 54, 37–60. [Google Scholar] [CrossRef]
- Cunningham, C.J.L.; De La Rosa, G.M.; Jex, S.M. The dynamic influence of individual characteristics on employee well-being: A review of the theory, research, and future directions. In The Individual in the Changing Working Life; Naswall, K., Hellgren, J., Sverke, M., Eds.; Cambridge University Press: Cambridge, UK, 2008; pp. 258–283. ISBN 9780521879460. [Google Scholar]
- Burgess, Z.; Burke, R.J.; Oberklaid, F. Workaholism among Australian psychologists: Gender differences. Equal Oppor. Int. 2006, 25, 48–59. [Google Scholar] [CrossRef]
- Retna, K.S.; Smith, A.; Davies, J. Gender and Workaholism in New Zealand. New Zeal. J. Hum. Res. Manag. 2017, 17, 36–53. [Google Scholar]
- Buelens, M.; Poelmans, S.A.Y. Enriching the Spence and Robbins’ typology of workaholism: Demographic, motivational, and organizational correlates. J. Organ. Chang. Manag. 2004, 17, 440–458. [Google Scholar] [CrossRef]
- Brody, L.R.; Hall, J.A. Gender and emotion. In Handbook of Emotions; Lewis, M., Haviland, J.M., Eds.; Guilford Press: New York, NY, USA, 1993; pp. 447–460. [Google Scholar]
- Kring, A.M.; Gordon, A.H. Sex differences in emotion: Expression, experience, and physiology. J. Personal. Soc. Psychol. 1998, 74, 686–703. [Google Scholar] [CrossRef]
- Choti, S.E.; Marston, A.R.; Holston, S.G.; Hart, J.T. Gender and personality variables in film-induced sadness and crying. J. Soc. Clin. Psychol. 1987, 5, 535–544. [Google Scholar] [CrossRef]
- Archer, J. Sex Differences in Aggression in Real-World Settings: A Meta-Analytic Review. Rev. Gen. Psychol. 2004, 8, 291–322. [Google Scholar] [CrossRef]
- Chaplin, T.M.; Cole, P.M. The role of emotion regulation in the development of psychopathology. In Development of Psychopathology: A Vulnerability-Stress Perspective; Hankin, B.L., Abela, J.R.Z., Eds.; Sage Publications, Inc.: Thousand Oaks, CA, USA, 2005; pp. 49–74. [Google Scholar]
- Banihani, M.; Lewis, P.; Syed, J. Is work engagement gendered? Gend. Manag. Int. J. 2013, 28, 400–423. [Google Scholar] [CrossRef]
- Taris, T.W.; Van Beek, I.; Schaufeli, W.B. Demographic and occupational correlates of workaholism. Psychol. Rep. 2012, 110, 547–554. [Google Scholar] [CrossRef] [PubMed]
- Balducci, C.; Avanzi, L.; Consiglio, C.; Fraccaroli, F.; Schaufeli, W. A Cross-National Study on the Psychometric Quality of the Italian Version of the Dutch Work Addiction Scale (DUWAS). Eur. J. Psychol. Assess. 2015, 33, 1–7. [Google Scholar] [CrossRef]
- Schaufeli, W.B.; Bakker, A.B.; Salanova, M. The measurement of work engagement with a short questionnaire: A cross-national study. Educ. Psychol. Meas. 2006, 66, 701–716. [Google Scholar] [CrossRef]
- Balducci, C.; Fraccaroli, F.; Schaufeli, W.B. Psychometric Properties of the Italian Version of the Utrecht Work Engagement Scale (UWES-9): A Cross-Cultural Analysis. Eur. J. Psychol. Assess. 2010, 26, 143–149. [Google Scholar] [CrossRef]
- Van Katwyk, P.T.; Fox, S.; Spector, E.P.; Kelloway, K.E. Using the Job-Related Affective Well-Being Scale (JAWS) to Investigate Affective Responses to Work Stressors. J. Occup. Health Psychol. 2000, 5, 219–230. [Google Scholar] [CrossRef] [PubMed]
- Espie, C.; Inglis, J.S.; Harvey, L.; Tessier, S. Insomniacs’ attributions. Psychometric properties of the Dysfunctional Beliefs and Attitudes about Sleep Scale and the Sleep Disturbance Questionnaire. J. Psychosom. Res. 2000, 48, 141–148. [Google Scholar] [CrossRef]
- Karasek, R.; Brisson, C.; Kawakami, N.; Houtman, I.; Bongers, P.; Amick, B. The Job Content Questionnaire (JCQ): An instrument for internationally comparative assessments of psychosocial job characteristics. J. Occup. Health Psychol. 1998, 3, 322–355. [Google Scholar] [CrossRef] [PubMed]
- Brislin, R.W. Back-Translation for Cross-Cultural Research. J. Cross Cult. Psychol. 1970, 1, 185–216. [Google Scholar] [CrossRef]
- Rios, J.; Wells, C. Validity evidence based on internal structure. Psicothema 2014, 26, 108–116. [Google Scholar] [CrossRef] [PubMed]
- Sijtsma, K. On the Use, the Misuse, and the Very Limited Usefulness of Cronbach’s Alpha. Psychometrika 2009, 74, 107–120. [Google Scholar] [CrossRef] [PubMed]
- Bentler, P.M. Comparative fit indexes in structural models. Psychol. Bull. 1990, 107, 238–246. [Google Scholar] [CrossRef] [PubMed]
- McDonald, R.P.; Marsh, H.W. Choosing a multivariate model: Noncentrality and goodness of fit. Psychol. Bull. 1990, 107, 247–255. [Google Scholar] [CrossRef]
- Hopper, D.; Coughlan, J.; Mullen, M.R. Structural equation modeling: Guidelines for determining model fit. Electron. J. Bus. Res. Methods 2008, 6, 53–60. [Google Scholar]
- Hu, L.T.; Bentler, P.M. Cutoff criteria for fit indexes in covariance structure analysis: Conventional criteria versus new alternatives. Struct. Equ. Model. 1999, 6, 1–55. [Google Scholar] [CrossRef]
- Steiger, J.H. Understanding the limitations of global fit assessment in structural equation modeling. Personal. Individ. Differ. 2007, 42, 893–898. [Google Scholar] [CrossRef]
- Ullman, J.B. Structural equation modeling. In Using Multivariate Statistics, 4th ed.; Tabachnick, B.G., Fidell, L.S., Eds.; Allyn & Bacon: Needham Heights, MA, USA, 2001; pp. 653–771. [Google Scholar]
- Schumacker, R.E.; Lomax, R.G. A Beginner’s Guide to Structural Equation Modeling, 2nd ed.; Lawrence Erlbaum: Mahwah, NJ, USA, 2004. [Google Scholar]
- Heene, M.; Hilbert, S.; Draxler, C.; Ziegler, M.; Buehner, M. Masking Misfit in Confirmatory Factor Analysis by Increasing Unique Variances: A Cautionary Note on the Usefulness of Cutoff Values of Fit Indices. Psychol. Methods 2011, 16, 319–336. [Google Scholar] [CrossRef] [PubMed]
- Hayes, A.F. Introduction to Mediation, Moderation, and Conditional Process Analysis, 2nd ed.; A Regression-Based Approach; Guilford Publications: New York, NY, USA, 2017. [Google Scholar]
- Preacher, J.K.; Hayes, F.A. SPSS and SAS Procedures for Estimating Indirect Effects in Simple Mediation Models. Behav. Res. Methods Instrum. Comp. 2004, 36, 717–731. [Google Scholar] [CrossRef]
- Banihani, M.; Syed, J. Gendered work engagement: Qualitative insights from Jordan. Int. J. Hum. Res. Manag. 2017, 1–27. [Google Scholar] [CrossRef]
- Podsakoff, M.P.; MacKenzie, S.; Jeong-Yeon, L.; Podsakoff, P.N. Common Method Biases in Behavioral Research: A Critical Review of the Literature and Recommended Remedies. J. Appl. Psychol. 2003, 88, 879–903. [Google Scholar] [CrossRef] [PubMed]
- Williams, L.J.; McGonagle, A.K. Four Research Designs and a Comprehensive Analysis Strategy for Investigating Common Method Variance with Self-Report Measures Using Latent Variables. J. Bus. Psychol. 2016, 31, 339–359. [Google Scholar] [CrossRef]
- Littman-Ovadia, H.; Balducci, C.; Ben-Moshe, T. Psychometric properties of the Hebrew version of the Dutch Work Addiction Scale (DUWAS-10). J. Psychol. 2014, 140, 327–346. [Google Scholar] [CrossRef] [PubMed]
- Halbesleben, J.R.B.; Wheeler, A.R.; Buckley, M.R. Clarifying the relationship between organizational commitment and job performance. In Applied Psychology Research Trends; Kiefer, K.H., Ed.; Nova Science: New York, NY, USA, 2008; pp. 35–58. [Google Scholar]
- American Psychiatric Association (APA). Dsm-5: Diagnostic and Statistical Manual of Mental Disorders, 5th ed.; American Psychiatric Association: Washington, DC, USA, 2013. [Google Scholar]


| Variables | Mean | St. Dev. | 1 | 2 | 3 | 4 | 5 | 6 | 7 | 8 | 9 |
|---|---|---|---|---|---|---|---|---|---|---|---|
| 1. Gender 1,# | - | - | - | ||||||||
| 2. Age | 45.65 | 11.61 | −0.07 | - | |||||||
| 3. Sector ## | - | - | −0.16 | −0.40 2,** | - | ||||||
| 4. Tenure | 18.83 | 11.76 | −0.10 | 0.80 ** | −0.26 ** | - | |||||
| 5. Workaholism | 2.46 | 0.51 | −0.15 | −0.22 ** | 0.34 ** | −0.06 | 0.92 | ||||
| 6. Work engagement | 4.95 | 0.99 | 0.15 | −0.17 1,* | −0.05 | −0.01 | 0.12 | 0.93 | |||
| 7. Job-related negative affect | 2.35 | 0.87 | −0.07 | 0.65 | 0.08 | 0.02 | 0.30 ** | −0.20 * | 0.89 | ||
| 8. Anxiety before sleep | 2.61 | 0.89 | −0.02 | 0.21 * | 0.10 | 0.21 * | 0.26 ** | −0.12 | 0.28 ** | 0.89 | |
| 9. Workload | 3.73 | 0.75 | −0.01 | −0.11 | 0.19 * | −0.05 | 0.38 ** | 0.26 ** | 0.16 | 0.15 | 0.84 |
| Variables | Gender | N | Media | F |
|---|---|---|---|---|
| Workaholism | Men | 73 | 2.53 | |
| Women | 73 | 2.38 | 3.542 § | |
| Work engagement | Men | 73 | 4.79 | |
| Women | 73 | 5.10 | 3.562 § | |
| Anxiety before sleep | Men | 73 | 2.63 | |
| Women | 73 | 2.59 | 0.06 | |
| Job-related negative affect | Men | 73 | 3.51 | |
| Women | 73 | 3.39 | 0.82 | |
| Workload | Men | 73 | 3.74 | |
| Women | 73 | 3.72 | 0.03 |
| Models | B | LLCI | ULCI | R2 |
|---|---|---|---|---|
| Model 1: Mediation of job-related negative affect in the relationship between workaholism and anxiety before sleep Outcome variable: job-related negative affect | 0.12 ** | |||
| workaholism | 0.53 ** | 0.21 | 0.84 | |
| Covariate: workload | 0.05 | −0.75 | 0.87 | |
| Covariate: age | 0.02 | 0.09 | −0.003 | |
| Covariate: sector | 0.06 | −0.26 | 0.38 | |
| Covariate: tenure | −0.01 | −0.03 | 0.01 | |
| Covariate: gender | −0.08 | −0.37 | 0.21 | |
| Model 1 bis: Mediation of job-related negative affect in the relationship between workaholism and anxiety before sleep Outcome variable: anxiety before sleep | 0.19 ** | |||
| Workaholism | 0.36 * | 0.03 | 0.69 | |
| Job-related negative affect | 0.19 * | 0.02 | 0.37 | |
| Covariate: workload | 0.03 | −0.17 | 0.23 | |
| Covariate: age | 0.02 | −0.003 | 0.05 | |
| Covariate: sector | 25 | −0.07 | 0.57 | |
| Covariate: tenure | 0.00 | −0.02 | 0.02 | |
| Covariate: gender | 0.17 | −0.12 | 0.46 | |
| Indirect effect | 0.10 | 0.01 | 0.24 | |
| c. Model 2: Mediation model including interaction between workaholism and work engagement on job-related negative affect, moderated by gender Outcome variable: Job-related negative affect | 0.25 ** | |||
| Workaholism | 0.69 ** | 0.37 | 10.01 | |
| Work engagement | −0.30 ** | −0.45 | −0.14 | |
| Gender | −0.02 ** | −0.30 | −0.26 | |
| Workaholism *work engagement | −0.38 ** | −0.67 | −0.09 | |
| Workaholism *gender | 0.06 | −0.52 | 0.64 | |
| Work engagement *gender | 0.04 | −0.24 | 0.34 | |
| Workaholism *work engagement *gender | −0.80 ** | −1.40 | −0.22 | |
| Covariate: workload | 0.17 | −0.03 | 0.38 | |
| Covariate: age | −0.00 | −0.02 | 0.02 | |
| Covariate: sector | −0.12 | −0.43 | 0.20 | |
| Covariate: Tenure | 0.00 | −0.01 | 0.02 | |
| Test of conditional workaholism *work engagement interaction at value(s) of gender | Effect | F | p | |
| Men | 0.02 | 0.02 | 0.88 | |
| Women | −0.78 | 8.97 | 0.003 | |
| d. Modello 2 bis: Interaction between workaholism and work engagement on job-related negative affect, moderated by gender Outcome variable: Anxiety before sleep | 0.18 ** | |||
| Workaholism | 0.33 * | 0.001 | 0.66 | |
| Job-related negative affect | 0.19 * | 0.02 | 0.36 | |
| Workload | 0.04 | −0.16 | 0.24 | |
| Age | 0.02 | 0.001 | 0.04 | |
| Sector | 0.21 | −0.10 | 0.53 | |
| Tenure Index of moderated mediation Index od conditional moderated mediation by work engagement Men | 0.00 Index −0.15 0.003 | −0.02 −0.39 −0.09 | 0.02 −0.006 0.07 | |
| Women | 0.50 | −0.39 | −0.02 |
© 2018 by the authors. Licensee MDPI, Basel, Switzerland. This article is an open access article distributed under the terms and conditions of the Creative Commons Attribution (CC BY) license (http://creativecommons.org/licenses/by/4.0/).
Share and Cite
Spagnoli, P.; Balducci, C.; Scafuri Kovalchuk, L.; Maiorano, F.; Buono, C. Are Engaged Workaholics Protected against Job-Related Negative Affect and Anxiety before Sleep? A Study of the Moderating Role of Gender. Int. J. Environ. Res. Public Health 2018, 15, 1996. https://doi.org/10.3390/ijerph15091996
Spagnoli P, Balducci C, Scafuri Kovalchuk L, Maiorano F, Buono C. Are Engaged Workaholics Protected against Job-Related Negative Affect and Anxiety before Sleep? A Study of the Moderating Role of Gender. International Journal of Environmental Research and Public Health. 2018; 15(9):1996. https://doi.org/10.3390/ijerph15091996
Chicago/Turabian StyleSpagnoli, Paola, Cristian Balducci, Liliya Scafuri Kovalchuk, Francesco Maiorano, and Carmela Buono. 2018. "Are Engaged Workaholics Protected against Job-Related Negative Affect and Anxiety before Sleep? A Study of the Moderating Role of Gender" International Journal of Environmental Research and Public Health 15, no. 9: 1996. https://doi.org/10.3390/ijerph15091996
APA StyleSpagnoli, P., Balducci, C., Scafuri Kovalchuk, L., Maiorano, F., & Buono, C. (2018). Are Engaged Workaholics Protected against Job-Related Negative Affect and Anxiety before Sleep? A Study of the Moderating Role of Gender. International Journal of Environmental Research and Public Health, 15(9), 1996. https://doi.org/10.3390/ijerph15091996

