Temporal Variation and Ecological Risk Assessment of Metals in Soil Nearby a Pb–Zn Mine in Southern China
Abstract
1. Introduction
2. Materials and Methods
2.1. Study Area
2.2. Sample Collection
2.3. Analysis Methods
2.4. Ecological Risk Assessment
2.5. Statistical Analysis
3. Results
3.1. Concentrations of Metals
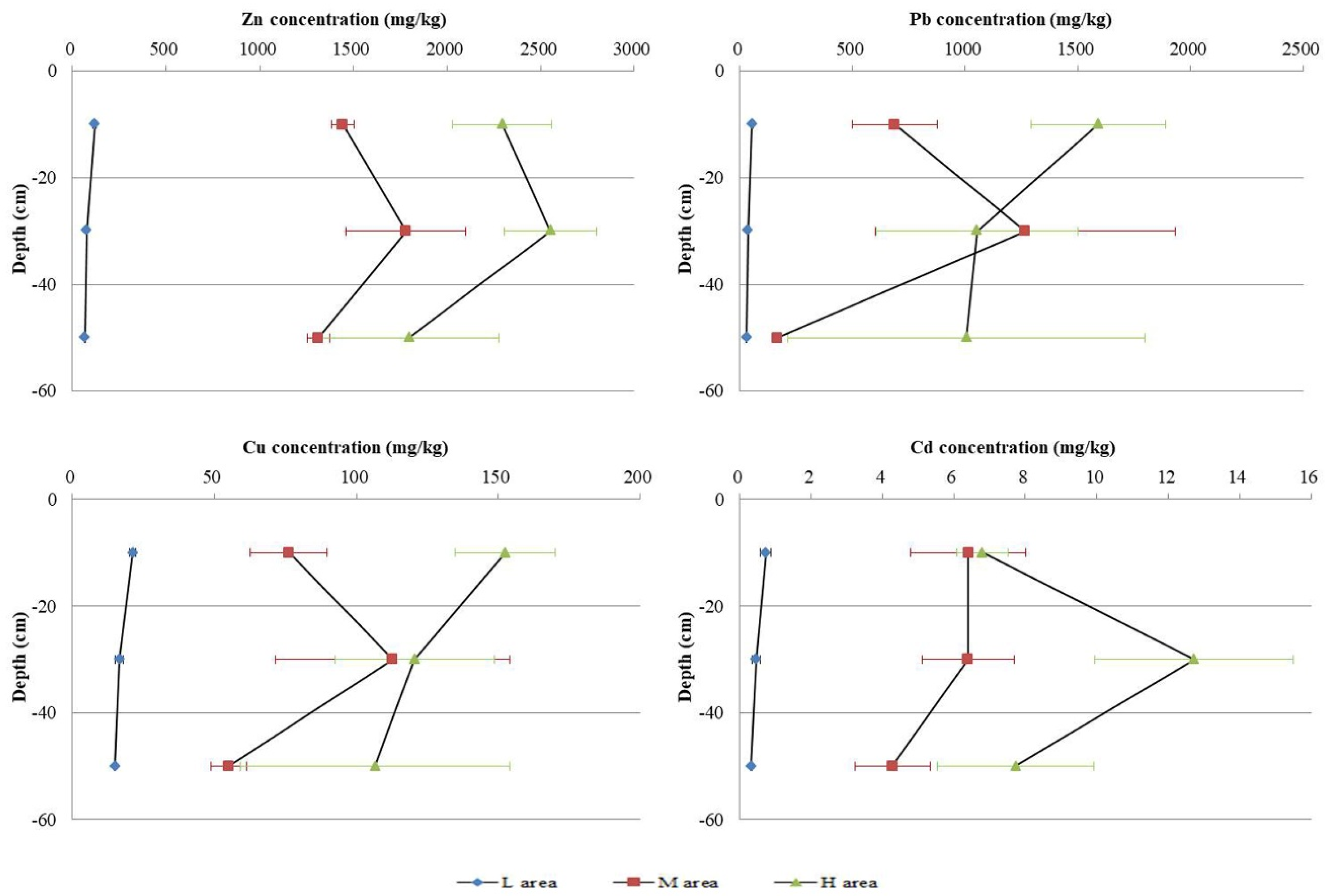
3.2. Horizontal and Vertical Distribution (0–60 cm) of Metals in 2015
3.3. Potential Ecological Risk Assessment of Zn, Pb, Cu, and Cd in Topsoil between 1986 and 2015
4. Discussion
5. Conclusions
Supplementary Materials
Author Contributions
Acknowledgments
Conflicts of Interest
References
- Wang, Q.R.; Dong, Y.; Cui, Y.; Liu, X. Instances of soil and crop heavy metal contamination in China. Soil Sediment Contam. 2001, 10, 497–510. [Google Scholar]
- Dong, J.; Yang, Q.W.; Sun, L.N.; Zeng, Q.; Liu, S.J.; Pan, J.; Liu, X.L. Assessing the concentration and potential dietary risk of heavy metals in vegetables at a Pb/Zn mine site, China. Environ. Earth Sci. 2011, 64, 1317–1321. [Google Scholar] [CrossRef]
- Nabulo, G.; Young, S.D.; Black, C.R. Assessing risk to human health from tropical leafy vegetables grown on contaminated urban soils. Sci. Total Environ. 2010, 408, 5338–5351. [Google Scholar] [CrossRef] [PubMed]
- Wang, M.; Song, H.; Chen, W.Q.; Lu, C.Y.; Hu, Q.S.; Ren, Z.F.; Yang, Y.; Xu, Y.J.; Zhong, A.M.; Ling, W.H. Cancer mortality in a Chinese population surrounding a multi-metal sulphide mine in Guangdong province: An ecologic study. BMC Public Health 2011, 11, 319. [Google Scholar] [CrossRef] [PubMed]
- Dieter, H.H.; Bayer, T.A.; Multhaup, G. Environmental copper and manganese in the pathophysiology of neurologic diseases (Alzheimer’s disease and Manganism). Acta Hydrochim. Hydrobiol. 2005, 33, 72–78. [Google Scholar] [CrossRef]
- Muhammad, S.; Shah, M.T.; Khan, S. Health risk assessment of heavy metals and their source apportionment in drinking water of Kohistan region, northern Pakistan. Microchem. J. 2011, 98, 334–343. [Google Scholar] [CrossRef]
- Zhang, X.W.; Yang, L.S.; Li, Y.H.; Li, H.R.; Wang, W.Y.; Ye, B.X. Impacts of lead/zinc mining and smelting on the environment and human health in China. Environ. Monit. Assess. 2012, 184, 2261–2273. [Google Scholar] [CrossRef] [PubMed]
- Ministry of Environmental Protection of the People’s Republic of China; Ministry of Land and Resources of the People’s Republic of China (CMEP and CMLR). National Soil Pollution Survey Communique. Available online: http://www.zhb.gov.cn/gkml/hbb/qt/201404/t20140417_270670.htm (accessed on 17 April 2014).
- Zhang, C.Q.; Liu, H.; Wang, D.H.; Chen, Y.C.; Rui, Z.Y.; Lou, D.B.; Wu, Y.; Jia, F.D.; Chen, Z.H.; Meng, X.Y. A preliminary review on the metallogeny of Pb-Zn deposits in China. Acta Geol. Sin.-Engl. 2015, 89, 1333–1358. [Google Scholar] [CrossRef]
- Pascaud, G.; Boussen, S.; Soubrand, M.; Joussein, E.; Fondaneche, P.; Abdeljaouad, S.; Bril, H. Particulate transport and risk assessment of Cd, Pb and Zn in a Wadi contaminated by runoff from mining wastes in a carbonated semi-arid context. J. Geochem. Explor. 2015, 152, 27–36. [Google Scholar] [CrossRef]
- Johnson, A.W.; Gutiérrez, M.; Gouzie, D.; McAlily, L.R. State of remediation and metal toxicity in the tri-state mining district, USA. Chemosphere 2016, 144, 1132–1141. [Google Scholar] [CrossRef] [PubMed]
- Fields, S. The Earth’s open wounds: Abandoned and orphaned mines. Environ. Health Perspect. 2003, 111, A154–A161. [Google Scholar] [CrossRef] [PubMed]
- Hudson-Edwards, K.A.; Jamieson, H.E.; Lottermoser, B.G. Mine wastes: Past, present, future. Elements 2011, 7, 375–380. [Google Scholar] [CrossRef]
- Zeng, Q.R.; Zhou, X.H.; Tie, B.Q.; Yang, R.B. Study on characteristics of heavy metal pollution and its controlling measures in lead–zinc mine area. Rural Eco-Environ. 1997, 13, 12–15. (In Chinese) [Google Scholar]
- Liu, H.Y.; Probst, A.; Liao, B.H. Metal contamination of soils and crops affected by the Chenzhou lead/zinc mine spill (Hunan, China). Sci. Total Environ. 2005, 339, 153–166. [Google Scholar] [CrossRef] [PubMed]
- Ministry of Environmental Protection of the People’s Republic of China (CMEP). Farmland Environmental Quality Evaluation Standards for Edible Agricultural Products (HJ/T 332-2006). Available online: http://kjs.mep.gov.cn/hjbhbz/bzwb/stzl/200611/t20061122_96418.htm (accessed on 17 November 2006).
- Lin, B.Y. Study of cadmium pollution in soil-crop system of lead-zinc deposit in Guangxi province, China. Chin. J. Soil Sci. 1997, 28, 235–237, 240. (In Chinese) [Google Scholar] [CrossRef]
- Jin, Z.J.; Li, Z.Y.; Li, Q.; Hu, Q.J.; Yang, R.M.; Tang, H.F.; Li, M.; Huang, B.F.; Zhang, J.Y.; Li, G.W. Canonical correspondence analysis of soil heavy metal pollution, microflora and enzyme activities in the Pb–Zn mine tailing dam collapse area of Sidi village, SW China. Environ. Earth Sci. 2015, 73, 267–274. [Google Scholar] [CrossRef]
- Qin, C.K.; Li, Y.; Wei, S.; Huang, G.Y. Analysis on present environmental situation and treatment model of tailing waste water in Yangshuo lead-zinc deposit. Min. Resour. Geol. 2005, 107, 99–102. (In Chinese) [Google Scholar]
- Rauret, G.; Lopez-Sanchez, J.F.; Sahuquillo, A.; Rubio, R.; Davidson, C.; Ure, A.; Quevauviller, P. Improvement of the BCR three step sequential extraction procedure prior to the certification of new sediment and soil reference materials. J. Environ. Monit. 1999, 1, 57–61. [Google Scholar] [CrossRef] [PubMed]
- He, Z.L.L.; Yang, X.E.; Stoffella, P.J. Trace elements in agroecosystems and impacts on the environment. J. Trace Elem. Med. Biol. 2005, 19, 125–140. [Google Scholar] [CrossRef] [PubMed]
- Bakircioglu, D.; Kurtulus, Y.B.; Ibar, H. Investigation of major and trace elements in agricultural soils by BCR sequential extraction method and its transfer to wheat plants. Environ. Monit. Assess. 2011, 175, 303–314. [Google Scholar] [CrossRef] [PubMed]
- Hakanson, L. An ecological risk index for aquatic pollution control: A sedimentological approach. Water Res. 1980, 14, 975–1001. [Google Scholar] [CrossRef]
- Yuan, G.L.; Sun, T.H.; Han, P.; Li, J.; Lang, X.X. Source identification and ecological risk assessment of heavy metals in topsoil using environmental geochemical mapping: Typical urban renewal area in Beijing, China. J. Geochem. Explor. 2014, 136, 40–47. [Google Scholar] [CrossRef]
- Zhao, W.T.; Ding, L.; Gu, X.W.; Luo, J.; Liu, Y.L.; Guo, L.; Shi, Y.; Huang, T.; Cheng, S.G. Levels and ecological risk assessment of metals in soils from a typical e-waste recycling region in southeast China. Ecotoxicology 2015, 24, 1947–1960. [Google Scholar] [CrossRef] [PubMed]
- Pan, L.B.; Ma, J.; Hu, Y.; Su, B.Y.; Fang, G.L.; Wang, Y.; Wang, Z.S.; Wang, L.; Xiang, B. Assessments of levels, potential ecological risk, and human health risk of heavy metals in the soils from a typical county in Shanxi Province, China. Environ. Sci. Pollut. Res. 2016, 23, 19330–19340. [Google Scholar] [CrossRef] [PubMed]
- Tepanosyan, G.; Sahakyan, L.; Belyaeva, O.; Saghatelyan, A. Origin identification and potential ecological risk assessment of potentially toxic inorganic elements in the topsoil of the city of Yerevan, Armenia. J. Geochem. Explor. 2016, 167, 1–11. [Google Scholar] [CrossRef]
- Wang, S.F.; Jia, Y.F.; Wang, S.Y.; Wang, X.; Wang, H.; Zhao, Z.X.; Liu, B.Z. Fractionation of heavy metals in shallow marine sediments from Jinzhou Bay, China. J. Environ. Sci. 2010, 22, 23–31. [Google Scholar] [CrossRef]
- Nemati, K.; Bakar, N.K.A.; Abas, M.R.B.; Sobhanzadeh, E.; Low, K.H. Comparison of unmodified and modified BCR sequential extraction schemes for the fractionation of heavy metals in shrimp aquaculture sludge from Selangor, Malaysia. Environ. Monit. Assess. 2011, 176, 313–320. [Google Scholar] [CrossRef] [PubMed]
- Fathollahzadeh, H.; Kaczala, F.; Bhatnagar, A.; Hogland, W. Speciation of metals in contaminated sediments from Oskarshamn Harbor, Oskarshamn, Sweden. Environ. Sci. Pollut. Res. 2014, 21, 2455–2464. [Google Scholar] [CrossRef] [PubMed]
- Ma, X.L.; Zuo, H.; Tian, M.J.; Zhang, L.Y.; Meng, J.; Zhou, X.N.; Min, N.; Chang, X.Y.; Liu, Y. Assessment of heavy metals contamination in sediments from three adjacent regions of the Yellow River using metal chemical fractions and multivariate analysis techniques. Chemosphere 2016, 144, 264–272. [Google Scholar] [CrossRef] [PubMed]
- Gutiérrez, M.; Mickus, K.; Camacho, L.M. Abandoned Pb-Zn mining wastes and their mobility as proxy to toxicity: A review. Sci. Total Environ. 2016, 565, 392–400. [Google Scholar] [CrossRef] [PubMed]
- Liang, Y.Y.; Yi, X.Y.; Dang, Z.; Wang, Q.; Luo, H.M.; Tang, J. Heavy metal contamination and health risk assessment in the vicinity of a tailing pond in Guangdong, China. Int. J. Environ. Res. Public Health 2017, 14, 1557. [Google Scholar] [CrossRef] [PubMed]
- Hou, D.Y.; O’Connor, D.; Nathanail, P.; Tian, L.; Ma, Y. Integrated GIS and multivariate statistical analysis for regional scale assessment of heavy metal soil contamination: A critical review. Environ. Pollut. 2017, 231, 1188–1200. [Google Scholar] [CrossRef] [PubMed]
- Byrne, P.; Reid, I.; Wood, P.J. Sediment geochemistry of streams draining abandoned lead/zinc mines in central Wales: The Afon Twymyn. J. Soils Sediments 2010, 10, 683–697. [Google Scholar] [CrossRef]
- Ciszewski, D.; Aleksander-Kwaterczak, U.; Pociecha, A.; Szarek-Gwiazda, E.; Waloszek, A.; Wilk-Woźniak, E. Small effects of a large sediment contamination with heavy metals on aquatic organisms in the vicinity of an abandoned lead and zinc mine. Environ. Monit. Assess. 2013, 185, 9825–9842. [Google Scholar] [CrossRef] [PubMed]
- Liénard, A.; Colinet, G. Assessment of vertical contamination of Cd, Pb and Zn in soils around a former ore smelter in Wallonia, Belgium. Environ. Earth. Sci. 2016, 75, 1322. [Google Scholar] [CrossRef]
- Qi, J.Y.; Zhang, H.L.; Li, X.P.; Lu, J.; Zhang, G.S. Concentrations, spatial distribution, and risk assessment of soil heavy metals in a Zn-Pb mine district in southern China. Environ. Monit. Assess. 2016, 188, 413. [Google Scholar] [CrossRef] [PubMed]
- Qu, L.; Xie, Y.Y.; Lu, G.N.; Yang, C.F.; Zhou, J.N.; Yi, X.Y.; Dang, Z. Distribution, fractionation, and contamination assessment of heavy metals in paddy soil related to acid mine drainage. Paddy Water Environ. 2017, 15, 553–562. [Google Scholar] [CrossRef]
- Zhang, W.T.; You, M.; Hu, Y.H. The distribution and accumulation characteristics of heavy metals in soil and plant from Huainan coalfield, China. Environ. Progress Sustain. Energy 2016, 35, 1098–1104. [Google Scholar] [CrossRef]
- Ruan, X.L.; Zhang, G.L.; Zhao, Y.G.; Yuan, D.G.; Wu, Y.J. Distribution and migration of heavy metals in soil profiles by high-resolution sampling. Environ. Sci. 2006, 27, 1020–1025. (In Chinese) [Google Scholar] [CrossRef]
- Schaider, L.A.; Senn, D.B.; Brabander, D.J.; McCarthy, K.D.; Shine, J.P. Characterization of zinc, lead and cadmium in mine waste: Implications for transport, exposure, and bioavailability. Environ. Sci. Technol. 2007, 41, 4164–4171. [Google Scholar] [CrossRef] [PubMed]
- Kapusta, P.; Szarek-Lukaszewska, G.; Stefanowicz, A.M. Direct and indirect effects of metal contamination on soil biota in a Zn-Pb post-mining and smelting area (S Poland). Environ. Pollut. 2011, 159, 1516–1522. [Google Scholar] [CrossRef] [PubMed]
- Galende, M.A.; Becerri, J.M.; Barrutia, O.; Artetxe, U.; Garbisu, C.; Hernández, A. Field assessment of the effectiveness of organic amendments for aided phytostabilization of a Pb-Zn contaminated mine soil. J. Geochem. Explor. 2014, 145, 181–189. [Google Scholar] [CrossRef]
- Anju, M.; Banerjee, D.K. Associations of cadmium, zinc, and lead in soils from a lead and zinc mining area as studied by single and sequential extractions. Environ. Monit. Assess. 2011, 176, 67–85. [Google Scholar] [CrossRef] [PubMed]
- Kerolli-Mustafa, M.; Fajković, H.; Rončević, S.; Ćurković, L. Assessment of metal risks from different depths of jarosite tailing waste of Trepça zinc industry, Kosovo, based on BCR procedure. J. Geochem. Explor. 2015, 148, 161–168. [Google Scholar] [CrossRef]
- Li, P.Z.; Lin, C.Y.; Cheng, H.G.; Duan, X.L.; Lei, K. Contamination and health risks of soil heavy metals around a lead/zinc smelter in southwestern China. Ecotoxicol. Environ. Saf. 2015, 113, 391–399. [Google Scholar] [CrossRef] [PubMed]
- Liu, X.; Liu, S.Q.; Wang, S.A. Distribution of Cadmium and Lead forms and its affecting factors in soils of Hebei province. Acta Pedol. Sin. 2003, 40, 393–400. (In Chinese) [Google Scholar]
- Davis, H.T.; Aelion, C.M.; McDermott, S.; Lawson, A.B. Identifying natural and anthropogenic sources of metals in urban and rural soils using GIS-based data, PCA, and spatial interpolation. Environ. Pollut. 2009, 157, 2378–2385. [Google Scholar] [CrossRef] [PubMed]
- Kheir, R.B.; Greve, M.H.; Abdallah, C.; Dalgaard, T. Spatial soil zinc content distribution from terrain parameters: A GIS-based decision-tree model in Lebanon. Environ. Pollut. 2010, 158, 520–528. [Google Scholar] [CrossRef] [PubMed]



| Metals and Soil pH | 1986 [17] 1 | 2015 2 | p | National Standards [16] | ||
|---|---|---|---|---|---|---|
| Mean | Range | Mean | Range | |||
| Zn | 3935.60 | 1703.20–7216.60 | 1301.79 | 107.68–2822.98 | 0.004 | ≤200 |
| Pb | 2006.60 | 886.20–3579.20 | 768.41 | 46.54–2024.00 | 0.015 | ≤50 |
| Cu | 238.50 | 167.80–420.40 | 82.60 | 19.35–171.80 | 0.002 | ≤50 |
| Cd | 13.90 | 11.80–18.50 | 4.82 | 0.47–11.20 | 0.000 | ≤0.3 |
| soil pH | 4.90 | 4.90–5.00 | 6.24 | 4.98–7.45 | 0.001 | <6.5 |
| Metals | 1986 [17] | 2015 | p | ||
|---|---|---|---|---|---|
| Mean | Range | Mean | Range | ||
| Zn | 628.60 | 418.00–1192.00 | 547.23 | 15.33–1601.17 | 0.757 |
| Pb | 989.50 | 453.00–2617.00 | 188.60 | 0.76–635.49 | 0.122 |
| Cu | 63.50 | 31.70–172.00 | 14.38 | 0.550–52.99 | 0.146 |
| Cd | 7.80 | 5.90–9.40 | 2.60 | 0.18–5.68 | 0.000 |
| Index | -1986 | -2015 | -1986 | -2015 | ||||||
|---|---|---|---|---|---|---|---|---|---|---|
| Zn | Pb | Cu | Cd | Zn | Pb | Cu | Cd | |||
| Min | 9 | 89 | 17 | 1180 | 1 | 5 | 2 | 47 | ||
| Max | 36 | 358 | 42 | 1850 | 14 | 202 | 17 | 1120 | ||
| Mean | 20 | 201 | 24 | 1390 | 6 | 78 | 8 | 464 | 1634 | 557 |
| PERI 3 [23] | 1 < 40; 2 < 150 | Low potential ecological risk | ||||||||
| 40 ≤ < 80; 150 ≤ < 300 | Moderate potential ecological risk | |||||||||
| 80 ≤ < 160; 300 ≤ < 600 | Considerable potential ecological risk | |||||||||
| 160 ≤ < 320; ≥ 600 | Very high potential ecological risk | |||||||||
| ≥ 320 | Dangerous | |||||||||
© 2018 by the authors. Licensee MDPI, Basel, Switzerland. This article is an open access article distributed under the terms and conditions of the Creative Commons Attribution (CC BY) license (http://creativecommons.org/licenses/by/4.0/).
Share and Cite
Cao, C.; Wang, L.; Li, H.; Wei, B.; Yang, L. Temporal Variation and Ecological Risk Assessment of Metals in Soil Nearby a Pb–Zn Mine in Southern China. Int. J. Environ. Res. Public Health 2018, 15, 940. https://doi.org/10.3390/ijerph15050940
Cao C, Wang L, Li H, Wei B, Yang L. Temporal Variation and Ecological Risk Assessment of Metals in Soil Nearby a Pb–Zn Mine in Southern China. International Journal of Environmental Research and Public Health. 2018; 15(5):940. https://doi.org/10.3390/ijerph15050940
Chicago/Turabian StyleCao, Congcong, Li Wang, Hairong Li, Binggan Wei, and Linsheng Yang. 2018. "Temporal Variation and Ecological Risk Assessment of Metals in Soil Nearby a Pb–Zn Mine in Southern China" International Journal of Environmental Research and Public Health 15, no. 5: 940. https://doi.org/10.3390/ijerph15050940
APA StyleCao, C., Wang, L., Li, H., Wei, B., & Yang, L. (2018). Temporal Variation and Ecological Risk Assessment of Metals in Soil Nearby a Pb–Zn Mine in Southern China. International Journal of Environmental Research and Public Health, 15(5), 940. https://doi.org/10.3390/ijerph15050940

